Modeling Electrochemical Impedance Spectroscopy Results of Cu and Cu-Thiosemicarbizide-Boron Nitride Nanosheets Electrodes in 3.5 wt% NaCl Solution, Based on an Electrochemical Reaction Mechanism
Abstract
1. Introduction
2. Materials and Methods
2.1. Formation of Boron Nitride Nano-Sheets and Functionalization with Thiosemicarbazide
2.2. Preparation of the Copper and Composite Copper-Thiosemicarbazide-BNNS Films
2.3. Electrochemical Measurements
2.4. Microstructural Characterization
3. Results and Discussion
3.1. Morphology of Copper and Composite Film after Deposition
3.2. Polarization Results
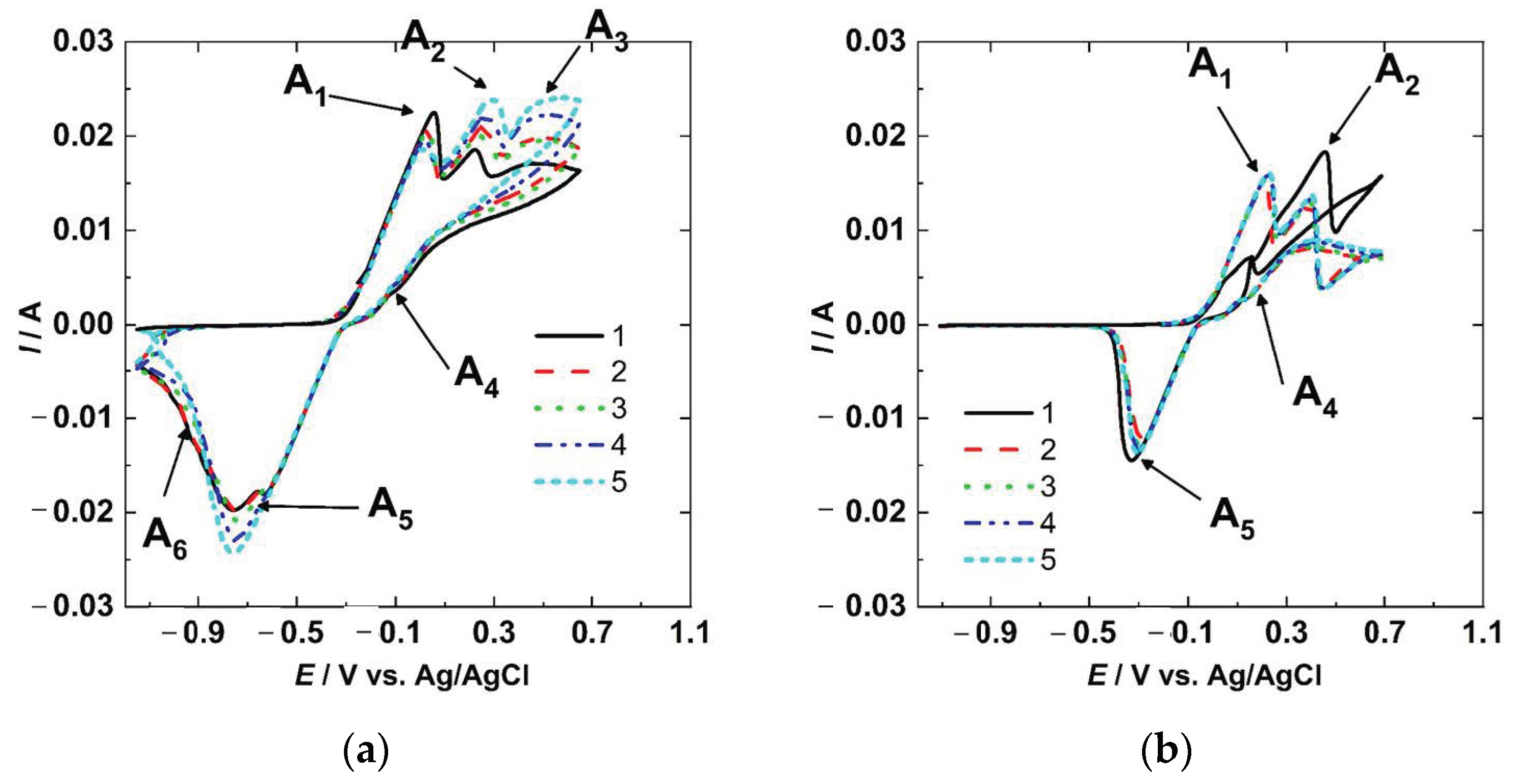
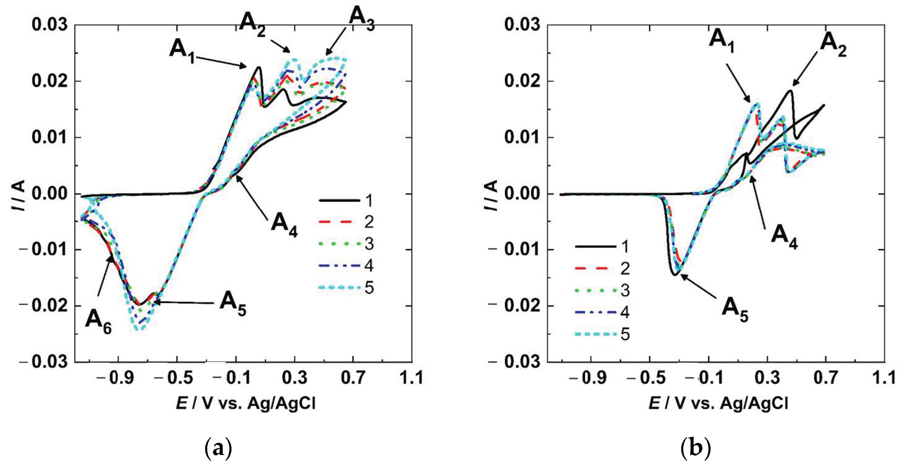
3.3. Cyclic Voltammetry Results
3.4. Impedance Electrochemical Model at the Open Circuit Potential
3.5. Impedance Electrochemical Model for Active Anodic Polarization (Section I in the Figure 2)
3.6. Qualitative Analysis of the Impedance Results
3.7. Quantitative Analysis of the Impedance Results
4. Conclusions
Author Contributions
Funding
Institutional Review Board Statement
Informed Consent Statement
Data Availability Statement
Conflicts of Interest
References
- Huang, Y.-C.; Lo, T.-Y.; Chao, C.-G.; Whang, W.-T. Anti-corrosion characteristics of polyimide/h-boron nitride composite films with different polymer configurations. Surf. Coat. Technol. 2014, 260, 113–117. [Google Scholar] [CrossRef]
- Husain, E.; Narayanan, T.N.; Taha-Tijerina, J.J.; Vinod, S.; Vajtai, R.; Ajayan, P.M. Marine Corrosion Protective Coatings of Hexagonal Boron Nitride Thin Films on Stainless Steel. ACS Appl. Mater. Interfaces 2013, 5, 4129–4135. [Google Scholar] [CrossRef] [PubMed]
- Li, L.H.; Xing, T.; Chen, Y.; Jones, R. Boron Nitride Nanosheets for Metal Protection. Adv. Mater. Interfaces 2014, 1, 1300132. [Google Scholar] [CrossRef]
- Liu, Z.; Gong, Y.; Zhou, W.; Ma, L.; Yu, J.; Idrobo, J.C.; Jung, J.; MacDonald, A.H.; Vajtai, R.; Lou, J.; et al. Ultrathin high-temperature oxidation-resistant coatings of hexagonal boron nitride. Nat. Commun. 2013, 4, 2541–2548. [Google Scholar] [CrossRef] [PubMed]
- MaCafferty, E. Introduction to Corrosion Science; Springer: New York, NY, USA, 2010. [Google Scholar]
- Macdonald, D.D. Reflections on the history of electrochemical impedance spectroscopy. Electrochim. Acta 2006, 51, 1376–1388. [Google Scholar] [CrossRef]
- Van Ingelgem, Y.; Tourwé, E.; Vereecken, J.; Hubin, A. Application of multisine impedance spectroscopy, FE-AES and FE-SEM to study the early stages of copper corrosion. Electrochim. Acta 2008, 53, 7523–7530. [Google Scholar] [CrossRef]
- Van Ingelgem, Y.; Hubin, A.; Vereecken, J. Investigation of the first stages of the localized corrosion of pure copper combining EIS, FE-SEM and FE-AES. Electrochim. Acta 2007, 52, 7642–7650. [Google Scholar] [CrossRef]
- Amin, M.A. Weight loss, polarization, electrochemical impedance spectroscopy, SEM and EDX studies of the corrosion inhibition of copper in aerated NaCl solutions. J. Appl. Electrochem. 2006, 36, 215–226. [Google Scholar] [CrossRef]
- Benedeti, A.; Sumodjo, P.; Nobe, K.; Cabot, P.; Proud, W. Electrochemical studies of copper, copper-aluminium and copper-aluminium-silver alloys: Impedance results in 0.5M NaCl. Electrochim. Acta 1995, 40, 2657–2668. [Google Scholar] [CrossRef]
- Khaled, K. Studies of the corrosion inhibition of copper in sodium chloride solutions using chemical and electrochemical measurements. Mater. Chem. Phys. 2011, 125, 427–433. [Google Scholar] [CrossRef]
- Epelboin, I.; Wiart, R. Mechanism of the Electrocrystallization of Nickel and Cobalt in Acidic Solution. J. Electrochem. Soc. 1971, 118, 1577–1582. [Google Scholar] [CrossRef]
- Keddam, M.; Mottos, O.R.; Takenouti, H. Reaction Model for Iron Dissolution Studied by Electrode Impedance: I. Experimental Results and Reaction Model. J. Electrochem. Soc. 1981, 128, 257–266. [Google Scholar] [CrossRef]
- Macdonald, D.D.; Real, S.; Smedley, S.I.; Urquidi-Macdonald, M. Evaluation of Alloy Anodes for Aluminum-Air Batteries: IV. Electrochemical Impedance Analysis of Pure Aluminum in 4m-Koh at 25 °C. J. Electrochem. Soc. 1988, 135, 2410–2414. [Google Scholar] [CrossRef]
- Yegin, C.; Nagabandi, N.; Feng, X.; King, C.; Catalano, M.; Oh, J.K.; Talib, A.J.; Scholar, E.A.; Verkhoturov, S.V.; Cagin, T.; et al. Metal–Organic–Inorganic Nanocomposite Thermal Interface Materials with Ultralow Thermal Resistances. ACS Appl. Mater. Interfaces 2017, 9, 10120–10127. [Google Scholar] [CrossRef]
- Lee, H.P.; Nobe, K. Kinetics and Mechanisms of Cu Electrodissolution in Chloride Media. J. Electrochem. Soc. 1986, 133, 2035–2043. [Google Scholar] [CrossRef]
- Braun, M.; Nobe, K. Electrodissolution Kinetics of Copper in Acidic Chloride Solutions. J. Electrochem. Soc. 1979, 126, 1666–1671. [Google Scholar] [CrossRef]
- Dhar, H.P.; White, R.E.; Burnell, G.; Cornwell, L.R.; Griffin, R.B.; Darby, R. Corrosion of Cu and Cu-Ni Alloys in 0.5M NaCl and in Synthetic Seawater. Corrosion 1985, 41, 317–323. [Google Scholar] [CrossRef]
- Kear, G.; Barker, B.; Walsh, F. Electrochemical corrosion of unalloyed copper in chloride media––A critical review. Corros. Sci. 2004, 46, 109–135. [Google Scholar] [CrossRef]
- Moreau, A. Etude du mecanisme d’oxydo-reduction du cuivre dans les solutions chlorurees acides—I. Systeme Cu-Cu Cl−2. Electrochim. Acta 1981, 26, 497–504. [Google Scholar] [CrossRef]
- Deslouis, C.; Tribollet, B.; Mengoli, G.; Musiani, M.M. Electrochemical behaviour of copper in neutral aerated chloride solution. I. Steady-state investigation. J. Appl. Electrochem. 1988, 18, 374–383. [Google Scholar] [CrossRef]
- Bard, J.A.; Faulkner, L.R. Electrochemical Methods: Fundamentals and Applications; John Wiley & Sons: Hoboken, NJ, USA, 2001. [Google Scholar]
- Li, J. Inhibition Film Formed by 2-mercaptobenzothiazole on Copper Surface and Its Degradation Mechanism in Sodium Chloride Solution. Int. J. Electrochem. Sci. 2016, 11, 10690–10705. [Google Scholar] [CrossRef]
- Betova, I.; Bojinov, M.; Lilja, C. Influence of chloride on the long-term interaction of copper with deoxygenated neutral aqueous solutions. Corros. Sci. 2013, 76, 192–205. [Google Scholar] [CrossRef]
- Zhao, Y.; Lin, C.; Li, Y.; Du, R.; Wang, J. Electrochemical Corrosion Behavior of Copper Clad Laminate in NaCl Solution. Acta Phys.-Chim. Sin. 2007, 23, 1342–1346. [Google Scholar] [CrossRef]
- Nakayama, S.; Notoya, T.; Osakai, T. Highly Selective Determination of Copper Corrosion Products by Voltammetric Reduction in a Strongly Alkaline Electrolyte. Anal. Sci. 2012, 28, 323–331. [Google Scholar] [CrossRef]
- Li, D.; Chen, S.; Zhao, S.; Ma, H. The corrosion inhibition of the self-assembled Au, and Ag nanoparticles films on the surface of copper. Colloids Surf. A Physicochem. Eng. Asp. 2006, 273, 16–23. [Google Scholar] [CrossRef]
- Deyab, M.; Keera, S. Cyclic voltammetric studies of carbon steel corrosion in chloride-formation water solution and effect of some inorganic salts. Egypt. J. Pet. 2012, 21, 31–36. [Google Scholar] [CrossRef]
- Satpati, A.K.; Reddy, A.V.R. Electrochemical Study on Corrosion Inhibition of Copper in Hydrochloric Acid Medium and the Rotating Ring-Disc Voltammetry for Studying the Dissolution. Int. J. Electrochem. 2011, 2011, 173462. [Google Scholar] [CrossRef]
- Zhang, D.-Q.; Cai, Q.-R.; He, X.-M.; Gao, L.-X.; Kim, G.S. The corrosion inhibition of copper in hydrochloric acid solutions by a tripeptide compound. Corros. Sci. 2009, 51, 2349–2354. [Google Scholar] [CrossRef]
- Epelboin, I.; Keddam, M.; Lestrade, J.C. Faradaic impedances and intermediates in electrochemical reactions. Faraday Discuss. Chem. Soc. 1973, 56, 264–275. [Google Scholar] [CrossRef]
- Macdonald, D.D. Transient Techniques in Electrochemistry; Springer: New York, NY, USA, 1977. [Google Scholar]
- Rosas, O.; Saunders, J.; Castaneda, H. Interfacial electrochemical analysis on LiCoO2/carbon nanotubes layers as cathode active composite in aqueous electrolytes. Electrochim. Acta 2013, 113, 77–86. [Google Scholar] [CrossRef]
- Macdonald, D.D. Application of Electrochemical Impedance Spectroscopy in Electrochemistry and Corrosion Science. In Techniques for Characterization of Electrodes and Electrochemical Processes; Varma, R., Selman, J.R., Eds.; Wiley: Hoboken, NJ, USA, 1991; pp. 515–580. ISBN 9780471824992. [Google Scholar]
- Hibbert, D.B.; Murphy, S.V. Kinetic Model of Iron Corrosion and Passivity. J. Electrochem. Soc. 1991, 138, L30–L32. [Google Scholar] [CrossRef]
- Baril, G.; Galicia, G.; Deslouis, C.; Pébère, N.; Tribollet, B.; Vivier, V. An Impedance Investigation of the Mechanism of Pure Magnesium Corrosion in Sodium Sulfate Solutions. J. Electrochem. Soc. 2007, 154, C108–C113. [Google Scholar] [CrossRef]
- Preston, G.; Bircumshaw, L.L.I. Studies on the oxidation of metals. Lond. Edinb. Dublin Philos. Mag. J. Sci. 1935, 20, 706–720. [Google Scholar] [CrossRef]
- Song, G.; Atrens, A.; John, D.; Wu, X.; Nairn, J. The anodic dissolution of magnesium in chloride and sulphate solutions. Corros. Sci. 1997, 39, 1981–2004. [Google Scholar] [CrossRef]
- Lal, H.; Thirsk, H.R. 538. The anodic behaviour of copper in neutral and alkaline chloride solutions. J. Chem. Soc. 1953, 2638–2644. [Google Scholar] [CrossRef]
- Cao, C.-N. On the impedance plane displays for irreversible electrode reactions based on the stability conditions of the steady-state—II. Two state variables besides electrode potential. Electrochim. Acta 1990, 35, 837–844. [Google Scholar] [CrossRef]
- Taylor, M.L. Technological Aspects of Corrosion Control in Metallic Systems. Ph.D. Thesis, The Pennsylvania State University, State College, PA, USA, 2012. [Google Scholar]
- Shao, H.; Wang, J.; Zhang, Z.; Zhang, J.; Cao, C. Electrochemical impedance spectroscopy analysis on the electrochemical dissolution of aluminum in an alkaline solution. J. Electroanal. Chem. 2003, 549, 145–150. [Google Scholar] [CrossRef]





| Material/ Parameter | β1 (mol cm−2) | β2 (mol cm−2) | (cm s−1) | (mol cm−2 s−1) | (cm s−1) | (cm s−1) | (cm s−1) |
|---|---|---|---|---|---|---|---|
| Cu | 1 × 10−6 | 4.24 × 10−7 | 8.70 × 10−2 | 7.73 × 10−4 | 1.89 × 10−4 | 8.39 × 10−6 | 1000 |
| Cu-BNNS | 3.28 × 10−7 | 5.18 × 10−7 | 3.27 × 10−4 | 9.95 × 10−4 | 9.35 × 10−2 | 3.01 × 10−2 | 1000 |
| Material/ Parameter | (cm s−1) | (cm s−1) | b1 (V−1) | b2 (V−1) | b3 (V−1) | b4 (V−1) | b7 (V−1) |
| Cu | 1.33 × 10−7 | 0.046 | 21.60 | 19 | 16.10 | 23.64 | 16.46 |
| Cu-BNNS | 5 × 10−6 | 0.025 | 19.21 | 11.31 | 18.77 | 14.87 | 15.12 |
| Material/ Parameter | [H+] (mol cm−3) | [O2] (mol cm−3) | [Cl−] (mol cm−3) | DCuCl (cm2 s−1) | [CuCl2−] (mol cm−3) | σ (Ω s−1) | Qdl (F cm−2 s1-n) |
| Cu | 7.23 × 10−11 | 2.44 × 10−7 | 6.76 × 10−7 | 3.64 × 10−6 | 1.40 × 10−14 | 124.25 | 4.86 × 10−7 |
| Cu-BNNS | 1 × 10−10 | 1.71 × 10−7 | 9.56 × 10−8 | 5.49 × 10−6 | 8.84 × 10−17 | 285.96 | 9.28 × 10−5 |
| Material/ Parameter | ndl | (cm) | θ1 | θ2 | E (V) | ||
| Cu | 0.82 | 5.85 × 10−4 | 6.84 × 10−7 | 5.83 × 10−8 | 0 | ||
| Cu-BNNS | 0.75 | 1 × 10−5 | 9.34 × 10−8 | 1.75 × 10−9 | 0 |
| Material/ Parameter | Re (Ω cm−2) | β3 (mol cm−2) | (cm s−1) | (mol cm−2 s−1) | (cm s−1) | (cm s−1) |
|---|---|---|---|---|---|---|
| Cu | 12.30 | 4.76 × 10−8 | 1.02 × 10−4 | 1.01 × 10−4 | 4.45 × 10−4 | 2.95 × 10−6 |
| Cu-BNNS | 7.94 | 5.03 × 10−8 | 2.19 × 10−4 | 2.49 × 10−4 | 4.49 × 10−4 | 4.85 × 10−6 |
| Material/ Parameter | b1 (V−1) | b2 (V−1) | E (V) | DCuCl (cm2 s−1) | [Cl−] (mol cm−3) | [CuCl2−] (mol cm−3) |
| Cu | 15.20 | 15.54 | 0.25 | 4.36 × 10−9 | 9.99 × 10−4 | 2.44 × 10−2 |
| Cu-BNNS | 10.07 | 16.35 | 0.25 | 6.60 × 10−9 | 9.96 × 10−4 | 3.89 × 10−2 |
| Material/ Parameter | Qdl (F cm−2 s1−n) | ndl | L (cm) | θ3 | θ4 | |
| Cu | 3.96 × 10−9 | 0.97 | 7.87 × 10−3 | 0.19 | 2.05 × 10−3 | |
| Cu-BNNS | 9.43 × 10−12 | 0.75 | 8.00 × 10−3 | 0.49 | 2.25 × 10−3 |
Disclaimer/Publisher’s Note: The statements, opinions and data contained in all publications are solely those of the individual author(s) and contributor(s) and not of MDPI and/or the editor(s). MDPI and/or the editor(s) disclaim responsibility for any injury to people or property resulting from any ideas, methods, instructions or products referred to in the content. |
© 2023 by the authors. Licensee MDPI, Basel, Switzerland. This article is an open access article distributed under the terms and conditions of the Creative Commons Attribution (CC BY) license (https://creativecommons.org/licenses/by/4.0/).
Share and Cite
Barraza-Fierro, J.I.; López-Martínez, E.; Vázquez–Gómez, O.; Galicia-García, M.; Cruz-Mejía, H.; Villalobos, J.C. Modeling Electrochemical Impedance Spectroscopy Results of Cu and Cu-Thiosemicarbizide-Boron Nitride Nanosheets Electrodes in 3.5 wt% NaCl Solution, Based on an Electrochemical Reaction Mechanism. Crystals 2023, 13, 809. https://doi.org/10.3390/cryst13050809
Barraza-Fierro JI, López-Martínez E, Vázquez–Gómez O, Galicia-García M, Cruz-Mejía H, Villalobos JC. Modeling Electrochemical Impedance Spectroscopy Results of Cu and Cu-Thiosemicarbizide-Boron Nitride Nanosheets Electrodes in 3.5 wt% NaCl Solution, Based on an Electrochemical Reaction Mechanism. Crystals. 2023; 13(5):809. https://doi.org/10.3390/cryst13050809
Chicago/Turabian StyleBarraza-Fierro, Jesus Israel, Edgar López-Martínez, Octavio Vázquez–Gómez, Mónica Galicia-García, Héctor Cruz-Mejía, and Julio C. Villalobos. 2023. "Modeling Electrochemical Impedance Spectroscopy Results of Cu and Cu-Thiosemicarbizide-Boron Nitride Nanosheets Electrodes in 3.5 wt% NaCl Solution, Based on an Electrochemical Reaction Mechanism" Crystals 13, no. 5: 809. https://doi.org/10.3390/cryst13050809
APA StyleBarraza-Fierro, J. I., López-Martínez, E., Vázquez–Gómez, O., Galicia-García, M., Cruz-Mejía, H., & Villalobos, J. C. (2023). Modeling Electrochemical Impedance Spectroscopy Results of Cu and Cu-Thiosemicarbizide-Boron Nitride Nanosheets Electrodes in 3.5 wt% NaCl Solution, Based on an Electrochemical Reaction Mechanism. Crystals, 13(5), 809. https://doi.org/10.3390/cryst13050809

