An Attempt to Design Thermosalient Crystals by Co-Crystallization: The Twisted Angle between Aromatic Rings
Abstract
1. Introduction
2. Experimental Part
2.1. Single Crystal Preparation
2.2. Characterization
2.3. Theoretical Calculation
3. Results and Discussion
3.1. Observing TS Effect
3.2. Differential Scanning Calorimetry and Thermogravimetric Analysis
3.3. Variable-Temperature Powder X-ray Diffraction (VT-PXRD)
3.4. Thermal Expansion Coefficients
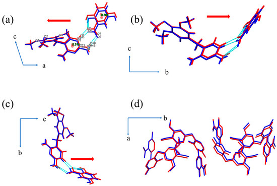
3.5. Molecular Conformation and Packing Comparison
4. Conclusions
Supplementary Materials
Author Contributions
Funding
Data Availability Statement
Acknowledgments
Conflicts of Interest
References
- Naumov, P.; Karothu, D.P.; Ahmed, E.; Catalano, L.; Commins, P.; Mahmoud Halabi, J.; Al-Handawi, M.B.; Li, L. The Rise of the Dynamic Crystals. J. Am. Chem. Soc. 2020, 142, 13256–13272. [Google Scholar] [CrossRef]
- Karamertzanis, P.G.; Price, S.L. Energy Minimization of Crystal Structures Containing Flexible Molecules. J. Chem. Theory Comput. 2006, 2, 1184–1199. [Google Scholar] [CrossRef]
- Rath, B.B.; Vittal, J.J. Photoreactive Crystals Exhibiting [2 + 2] Photocycloaddition Reaction and Dynamic Effects. Acc. Chem. Res. 2022, 55, 1445–1455. [Google Scholar] [CrossRef] [PubMed]
- Abendroth, J.M.; Bushuyev, O.S.; Weiss, P.S.; Barrett, C.J. Controlling Motion at the Nanoscale: Rise of the Molecular Machines. ACS Nano 2015, 9, 7746–7768. [Google Scholar] [CrossRef] [PubMed]
- Li, L.; Commins, P.; Al-Handawi, M.B.; Karothu, D.P.; Halabi, J.M.; Schramm, S.; Weston, J.; Rezgui, R.; Naumov, P. Martensitic Organic Crystals as Soft Actuators. Chem. Sci. 2019, 10, 7327–7332. [Google Scholar] [CrossRef] [PubMed]
- Dong, Y.; Wang, J.; Guo, X.; Yang, S.; Ozen, M.O.; Chen, P.; Liu, X.; Du, W.; Xiao, F.; Demirci, U.; et al. Multi-Stimuli-Responsive Programmable Biomimetic Actuator. Nat Commun 2019, 10, 4087. [Google Scholar] [CrossRef]
- Dattler, D.; Fuks, G.; Heiser, J.; Moulin, E.; Perrot, A.; Yao, X.; Giuseppone, N. Design of Collective Motions from Synthetic Molecular Switches, Rotors, and Motors. Chem. Rev. 2020, 120, 310–433. [Google Scholar] [CrossRef]
- Naumov, P.; Chizhik, S.; Panda, M.K.; Nath, N.K.; Boldyreva, E. Mechanically Responsive Molecular Crystals. Chem. Rev. 2015, 115, 12440–12490. [Google Scholar] [CrossRef]
- Desta, I.T.; Chizhik, S.A.; Sidelnikov, A.A.; Karothu, D.P.; Boldyreva, E.V.; Naumov, P. Mechanically Responsive Crystals: Analysis of Macroscopic Strain Reveals “Hidden” Processes. J. Phys. Chem. A 2020, 124, 300–310. [Google Scholar] [CrossRef]
- Karothu, D.P.; Mahmoud Halabi, J.; Li, L.; Colin-Molina, A.; Rodríguez-Molina, B.; Naumov, P. Global Performance Indices for Dynamic Crystals as Organic Thermal Actuators. Adv. Mater. 2020, 32, 1906216. [Google Scholar] [CrossRef]
- Hean, D.; Alde, L.G.; Wolf, M.O. Photosalient and Thermosalient Crystalline Hemithioindigo-Anthracene Based Isomeric Photoswitches. J. Mater. Chem. C 2021, 9, 6789–6795. [Google Scholar] [CrossRef]
- Duan, Y.; Semin, S.; Tinnemans, P.; Xu, J.; Rasing, T. Fully Controllable Structural Phase Transition in Thermomechanical Molecular Crystals with a Very Small Thermal Hysteresis. Small 2021, 17, 2006757. [Google Scholar] [CrossRef] [PubMed]
- Hagiwara, H.; Konomura, S. Thermosalience Coupled to Abrupt Spin Crossover with Dynamic Ligand Motion in an Iron(II) Molecular Crystal. CrystEngComm 2022, 24, 4224–4234. [Google Scholar] [CrossRef]
- Takazawa, K.; Inoue, J.; Matsushita, Y. Repeatable Actuations of Organic Single Crystal Fibers Driven by Thermosalient-Phase-Transition-Induced Buckling. Small 2022, 18, 2204500. [Google Scholar] [CrossRef] [PubMed]
- Chen, Y.; Jing, B.; Chang, Z.; Gong, J. Desolvation Induced Crystal Jumping: Reversible Hydration and Dehydration of a Spironolactone–Saccharin Cocrystal with Water as the Jumping-Mate. CrystEngComm 2021, 23, 6838–6842. [Google Scholar] [CrossRef]
- Sahoo, S.C.; Panda, M.K.; Nath, N.K.; Naumov, P. Biomimetic Crystalline Actuators: Structure–Kinematic Aspects of the Self-Actuation and Motility of Thermosalient Crystals. J. Am. Chem. Soc. 2013, 135, 12241–12251. [Google Scholar] [CrossRef]
- Klaser, T.; Popović, J.; Fernandes, J.; Tarantino, S.; Zema, M.; Skoko, Ž. Does Thermosalient Effect Have to Concur with a Polymorphic Phase Transition? The Case of Methscopolamine Bromide. Crystals 2018, 8, 301. [Google Scholar] [CrossRef]
- Colin-Molina, A.; Karothu, D.P.; Jellen, M.J.; Toscano, R.A.; Garcia-Garibay, M.A.; Naumov, P.; Rodríguez-Molina, B. Thermosalient Amphidynamic Molecular Machines: Motion at the Molecular and Macroscopic Scales. Matter 2019, 1, 1033–1046. [Google Scholar] [CrossRef]
- Seki, T.; Mashimo, T.; Ito, H. Anisotropic Strain Release in a Thermosalient Crystal: Correlation between the Microscopic Orientation of Molecular Rearrangements and the Macroscopic Mechanical Motion. Chem. Sci. 2019, 10, 4185–4191. [Google Scholar] [CrossRef]
- Tamboli, M.I.; Karothu, D.P.; Shashidhar, M.S.; Gonnade, R.G.; Naumov, P. Effect of Crystal Packing on the Thermosalient Effect of the Pincer-Type Diester Naphthalene-2,3-Diyl-Bis(4-Fluorobenzoate): A New Class II Thermosalient Solid. Chem. Eur. J. 2018, 24, 4133–4139. [Google Scholar] [CrossRef]
- Sahoo, S.C.; Sinha, S.B.; Kiran, M.S.R.N.; Ramamurty, U.; Dericioglu, A.F.; Reddy, C.M.; Naumov, P. Kinematic and Mechanical Profile of the Self-Actuation of Thermosalient Crystal Twins of 1,2,4,5-Tetrabromobenzene: A Molecular Crystalline Analogue of a Bimetallic Strip. J. Am. Chem. Soc. 2013, 135, 13843–13850. [Google Scholar] [CrossRef] [PubMed]
- Skoko, Ž.; Zamir, S.; Naumov, P.; Bernstein, J. The Thermosalient Phenomenon. “Jumping Crystals” and Crystal Chemistry of the Anticholinergic Agent Oxitropium Bromide. J. Am. Chem. Soc. 2010, 132, 14191–14202. [Google Scholar] [CrossRef] [PubMed]
- Takeda, T.; Ozawa, M.; Akutagawa, T. Jumping Crystal of a Hydrogen-Bonded Organic Framework Induced by the Collective Molecular Motion of a Twisted π System. Angew. Chem. Int. Ed. 2019, 58, 10345–10352. [Google Scholar] [CrossRef] [PubMed]
- Shibuya, Y.; Itoh, Y.; Aida, T. Jumping Crystals of Pyrene Tweezers: Crystal-to-Crystal Transition Involving π / π -to-CH/ π Assembly Mode Switching. Chem. Asian J. 2017, 12, 811–815. [Google Scholar] [CrossRef] [PubMed]
- Jin, M.; Yamamoto, S.; Seki, T.; Ito, H.; Garcia-Garibay, M.A. Anisotropic Thermal Expansion as the Source of Macroscopic and Molecular Scale Motion in Phosphorescent Amphidynamic Crystals. Angew. Chem. Int. Ed. 2019, 58, 18003–18010. [Google Scholar] [CrossRef] [PubMed]
- Seki, T.; Mashimo, T.; Ito, H. Crystal Jumping of Simple Hydrocarbons: Cooling-Induced Salient Effect of Bis-, Tri-, and Tetraphenylethene through Anisotropic Lattice Dimension Changes without Thermal Phase Transitions. Chem. Lett. 2020, 49, 174–177. [Google Scholar] [CrossRef]
- Kato, K.; Seki, T.; Ito, H. (9-Isocyanoanthracene)Gold(I) Complexes Exhibiting Two Modes of Crystal Jumps by Different Structure Change Mechanisms. Inorg. Chem. 2021, 60, 10849–10856. [Google Scholar] [CrossRef]
- Miura, Y.; Takeda, T.; Yoshioka, N.; Akutagawa, T. Thermosalient Effect of 5-Fluorobenzoyl-4-(4-Methoxyphenyl)Ethynyl-1-Methylimidazole without Phase Transition. Crystal Growth Design 2022, 22, 5904–5911. [Google Scholar] [CrossRef]
- Spackman, P.R.; Turner, M.J.; McKinnon, J.J.; Wolff, S.K.; Grimwood, D.J.; Jayatilaka, D.; Spackman, M.A. CrystalExplorer: A Program for Hirshfeld Surface Analysis, Visualization and Quantitative Analysis of Molecular Crystals. J. Appl. Crystallogr. 2021, 54, 1006–1011. [Google Scholar] [CrossRef]
- Omoto, K.; Nakae, T.; Nishio, M.; Yamanoi, Y.; Kasai, H.; Nishibori, E.; Mashimo, T.; Seki, T.; Ito, H.; Nakamura, K.; et al. Thermosalience in Macrocycle-Based Soft Crystals via Anisotropic Deformation of Disilanyl Architecture. J. Am. Chem. Soc. 2020, 142, 12651–12657. [Google Scholar] [CrossRef]
- Rath, B.B.; Gallo, G.; Dinnebier, R.E.; Vittal, J.J. Reversible Thermosalience in a One-Dimensional Coordination Polymer Preceded by Anisotropic Thermal Expansion and the Shape Memory Effect. J. Am. Chem. Soc. 2021, 143, 2088–2096. [Google Scholar] [CrossRef] [PubMed]
- Decremps, F.; Fischer, M.; Polian, A.; Itié, J.P.; Sieskind, M. Ionic Layered PbFCl-Type Compounds under High Pressure. Phys. Rev. B 1999, 59, 4011–4022. [Google Scholar] [CrossRef]
- Ardit, M.; Cruciani, G.; Dondi, M.; Garbarino, G.L.; Nestola, F. Phase Transitions during Compression of Thaumasite, Ca3Si(OH)6(CO3)(SO4)·12H2O: A High-Pressure Synchrotron Powder X-Ray Diffraction Study. Mineral. Mag. 2014, 78, 1193–1208. [Google Scholar] [CrossRef]
- Arkhipov, S.G.; Losev, E.A.; Nguyen, T.T.; Rychkov, D.A.; Boldyreva, E.V. A Large Anisotropic Plasticity of L -Leucinium Hydrogen Maleate Preserved at Cryogenic Temperatures. Acta Crystallogr. B Struct. Sci. Cryst. Eng. Mater. 2019, 75, 143–151. [Google Scholar] [CrossRef] [PubMed]
- Cliffe, M.J.; Goodwin, A.L. PASCal: A Principal Axis Strain Calculator for Thermal Expansion and Compressibility Determination. J. Appl. Crystallogr. 2012, 45, 1321–1329. [Google Scholar] [CrossRef]
- Spackman, M.A.; Jayatilaka, D. Hirshfeld Surface Analysis. CrystEngComm 2009, 11, 19–32. [Google Scholar] [CrossRef]
- McKinnon, J.J.; Mitchell, A.S.; Spackman, M.A. Hirshfeld Surfaces: A New Tool for Visualising and Exploring Molecular Crystals. Chem. Eur. J. 1998, 4, 2136–2141. [Google Scholar] [CrossRef]
- Mackenzie, C.F.; Spackman, P.R.; Jayatilaka, D.; Spackman, M.A. CrystalExplorer Model Energies and Energy Frameworks: Extension to Metal Coordination Compounds, Organic Salts, Solvates and Open-Shell Systems. IUCrJ 2017, 4, 575–587. [Google Scholar] [CrossRef]











| Direction | |||||
|---|---|---|---|---|---|
| Axes | α (MK−1) | σα (MK−1) | a | b | c |
| X1 | −19.0021 | 1.0841 | −0.9994 | 0.0000 | −0.0349 |
| X2 | 7.3277 | 0.1673 | 0.0000 | 1.0000 | 0.0000 |
| X3 | 82.9283 | 1.4665 | 0.2691 | 0.0000 | 0.9631 |
| V | 71.4168 | 1.5963 |
| Direction | |||||
|---|---|---|---|---|---|
| Axes | α (MK−1) | σα (MK−1) | a | b | c |
| X1 | −168.6973 | 19.7555 | −0.2108 | 0.9757 | −0.0596 |
| X2 | 35.3957 | 7.1966 | 0.4194 | 0.5539 | 0.7192 |
| X3 | 334.5309 | 52.3126 | −0.8506 | −0.5225 | 0.0585 |
| V | 243.9352 | 42.2856 |
Disclaimer/Publisher’s Note: The statements, opinions and data contained in all publications are solely those of the individual author(s) and contributor(s) and not of MDPI and/or the editor(s). MDPI and/or the editor(s) disclaim responsibility for any injury to people or property resulting from any ideas, methods, instructions or products referred to in the content. |
© 2023 by the authors. Licensee MDPI, Basel, Switzerland. This article is an open access article distributed under the terms and conditions of the Creative Commons Attribution (CC BY) license (https://creativecommons.org/licenses/by/4.0/).
Share and Cite
Hu, X.; Xiao, Y.; Qi, L.; Bai, Y.; Sun, Y.; Ye, Y.; Xie, C. An Attempt to Design Thermosalient Crystals by Co-Crystallization: The Twisted Angle between Aromatic Rings. Crystals 2023, 13, 701. https://doi.org/10.3390/cryst13040701
Hu X, Xiao Y, Qi L, Bai Y, Sun Y, Ye Y, Xie C. An Attempt to Design Thermosalient Crystals by Co-Crystallization: The Twisted Angle between Aromatic Rings. Crystals. 2023; 13(4):701. https://doi.org/10.3390/cryst13040701
Chicago/Turabian StyleHu, Xingchen, Yuntian Xiao, Luguang Qi, Yunhe Bai, Ying Sun, Yang Ye, and Chuang Xie. 2023. "An Attempt to Design Thermosalient Crystals by Co-Crystallization: The Twisted Angle between Aromatic Rings" Crystals 13, no. 4: 701. https://doi.org/10.3390/cryst13040701
APA StyleHu, X., Xiao, Y., Qi, L., Bai, Y., Sun, Y., Ye, Y., & Xie, C. (2023). An Attempt to Design Thermosalient Crystals by Co-Crystallization: The Twisted Angle between Aromatic Rings. Crystals, 13(4), 701. https://doi.org/10.3390/cryst13040701

