Enhanced Ferromagnetism Induced by Chemical Doping and Epitaxial Strain in La0.8Sr0.2CoO3 Films
Abstract
1. Introduction
2. Experimental Details
3. Results and Discussion
3.1. Structural and Morphological Characteristics of LCO Films
3.2. Thermal Decomposition Characteristics of 50% PEI
3.3. The Structural and Epitaxial Properties of La0.8Sr0.2CoO3 Films
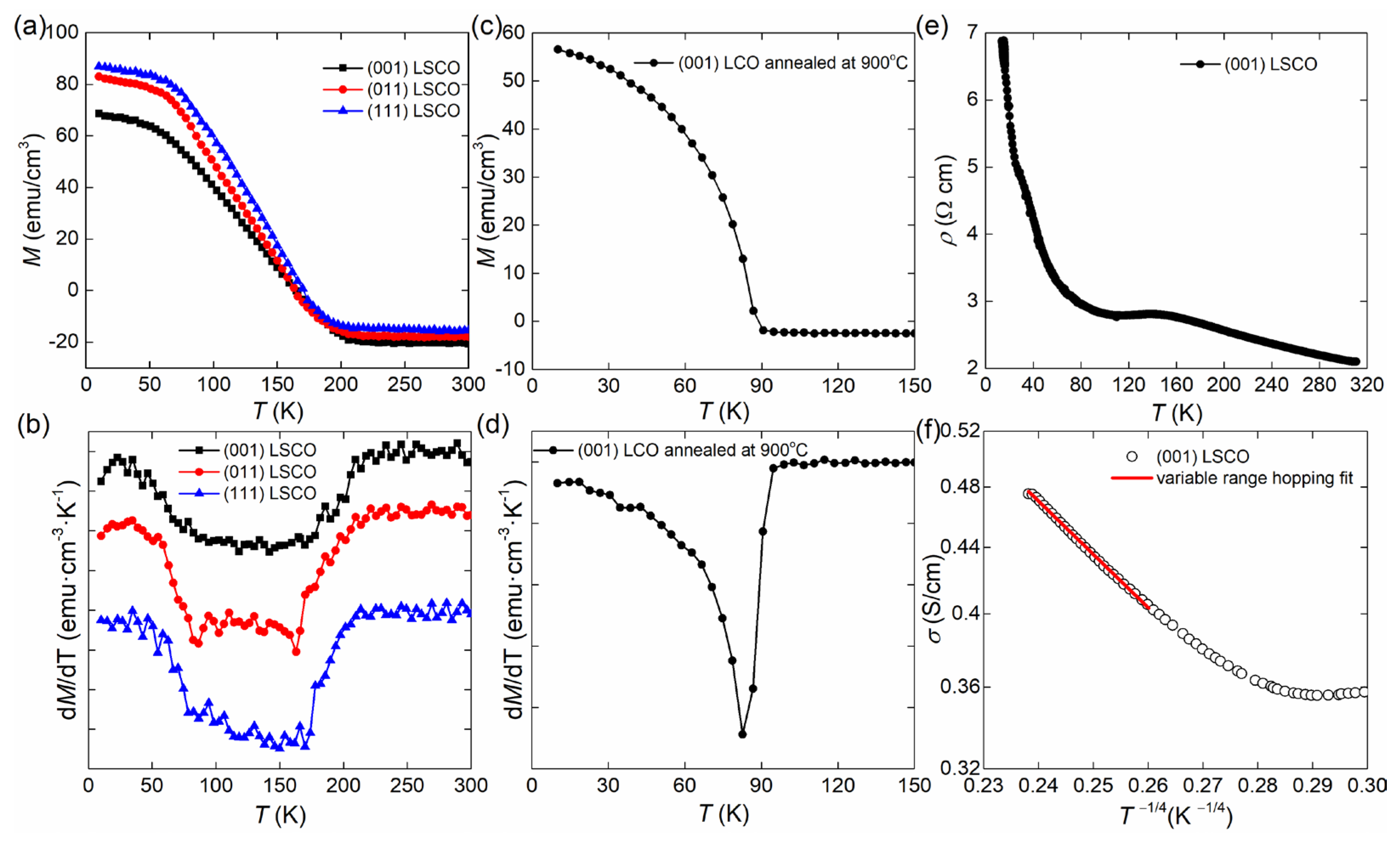
3.4. The Spin State and Magnetic Transport Properties of LCO and LSCO Films
4. Conclusions
Author Contributions
Funding
Data Availability Statement
Conflicts of Interest
References
- Chen, J.; Mao, W.; Gao, L.; Yan, F.; Yajima, T.; Chen, N.; Chen, Z.; Dong, H.; Ge, B.; Zhang, P.; et al. Electron-Doping Mottronics in Strongly Correlated Perovskite. Adv. Mater. 2019, 32, 1905060. [Google Scholar] [CrossRef] [PubMed]
- Bristowe, N.C.; Varignon, J.; Fontaine, D.; Bousquet, E.; Ghosez, P. Ferromagnetism induced by entangled charge and orbital orderings in ferroelectric titanate perovskites. Nat. Commun. 2015, 6, 6677. [Google Scholar] [CrossRef]
- Li, J.; Green, R.J.; Zhang, Z.; Sutarto, R.; Sadowski, J.T.; Zhu, Z.; Zhang, G.; Zhou, D.; Sun, Y.; He, F.; et al. Sudden collapse of magnetic order in oxygen deficient nickelate films. Phys. Rev. Lett. 2021, 126, 187602. [Google Scholar] [CrossRef] [PubMed]
- Chen, J.; Mao, W.; Ge, B.; Wang, J.; Ke, X.; Wang, V.; Wang, Y.; Döbeli, M.; Geng, W.; Matsuzaki, H.; et al. Revealing the role of lattice distortions in the hydrogen-induced metal-insulator transition of SmNiO3. Nat. Commun. 2019, 10, 694. [Google Scholar] [CrossRef]
- Seyfi, B.; Baghalha, M.; Kazemian, H. Engineering Oxygen Vacancies into LaCoO3 Perovskite for Efficient Electrocatalytic Oxygen Evolution. Chem. Eng. J. 2019, 148, 306–311. [Google Scholar] [CrossRef]
- Wang, M.; Han, B.; Deng, J.; Jiang, Y.; Zhou, M.; Lucero, M.; Wang, Y.; Chen, Y.; Yang, Z.; N’Diaye, A.T.; et al. Influence of Fe Substitution into LaCoO3 Electrocatalysts on Oxygen-Reduction Activity. ACS Appl. Mater. Interfaces 2019, 11, 5682–5686. [Google Scholar] [CrossRef] [PubMed]
- Fuchs, D.; Pinta, C.; Schwarz, T.; Schweiss, P.; Nagel, P.; Schuppler, S.; Schneider, R.; Merz, M.; Roth, G.; Löhneysen, H.v. Ferromagnetic order in epitaxially strained LaCoO3 thin films. Phys. Rev. B 2007, 75, 144402. [Google Scholar] [CrossRef]
- Herklotz, A.; Rata, A.D.; Schultz, L.; Dörr, K. Reversible strain effect on the magnetization of LaCoO3 films. Phys. Rev. B 2009, 79, 092409. [Google Scholar] [CrossRef]
- Park, S.; Ryan, P.; Karapetrova, E.; Kim, J.W.; Ma, J.X.; Shi, J.; Freeland, J.W.; Wu, W. Microscopic evidence of a strain-enhanced ferromagnetic state in LaCoO3 thin films. Appl. Phys. Lett. 2009, 95, 072508. [Google Scholar] [CrossRef]
- Fuchs, D.; Dieterle, L.; Arac, E.; Eder, R.; Adelmann, P.; Eyert, V.; Kopp, T.; Schneider, R.; Gerthsen, D.; Lohneysen, H.v. Suppression of the ferromagnetic state in LaCoO3 films by rhombohedral distortion. Phys. Rev. B 2009, 79, 024424. [Google Scholar] [CrossRef]
- Choi, W.S.; Kwon, J.-H.; Jeen, H.; Hamann-Borrero, J.E.; Radi, A.; Macke, S.; Sutarto, R.; He, F.; Sawatzky, G.A.; Hinkov, V.; et al. Strain-Induced Spin States in Atomically Ordered Cobaltites. Nano Lett. 2012, 12, 4966–4970. [Google Scholar] [CrossRef] [PubMed]
- Liu, G.; Li, X.; Wang, Y.; Liang, W.; Liu, B.; Feng, H.; Sun, J. Nanoscale domains of ordered oxygen-vacancies in LaCoO3 films. Appl. Surf. Sci. 2017, 425, 121–129. [Google Scholar] [CrossRef]
- Zhang, N.; Zhu, Y.; Li, D.; Pan, D.; Tang, Y.; Han, M.; Ma, J.; Wu, B.; Zhang, Z.; Ma, X. Oxygen Vacancy Ordering Modulation of Magnetic Anisotropy in Strained LaCoO3–x Thin Films. ACS Appl. Mater. Interfaces 2019, 10, 38230–38238. [Google Scholar] [CrossRef] [PubMed]
- Zhu, L.; Chen, S.; Zhang, H.; Zhang, J.; Sun, Y.; Li, X.; Xu, Z.; Wang, L.; Sun, J.; Gao, P.; et al. Strain-inhibited electromigration of oxygen vacancies in LaCoO3. ACS Appl. Mater. Interfaces 2019, 11, 36800–36806. [Google Scholar] [CrossRef] [PubMed]
- Ajmal, S.; Bibi, I.; Majid, F.; Ata, S.; Kamran, K.; Jilani, K.; Nouren, S.; Kamal, S.; Ali, A.; Iqbal, M. Effect of Fe and Bi doping on LaCoO3 structural, magnetic, electric and catalytic properties. J. Mater. Res. Technol. 2019, 8, 4831–4842. [Google Scholar] [CrossRef]
- Shin, D.; Yoon, S.; Song, S.; Park, S.; Lee, H.N.; Choi, W.S. Tunable ferromagnetism in LaCoO3 epitaxial thin films. Adv. Mater. Interfaces 2022, 9, 2200433. [Google Scholar] [CrossRef]
- Xie, C.; Shi, L.; Zhao, J.; Zhou, S.; Li, Y.; Guo, J. Insight into the enhancement of transport property for oriented La0.9MnO3 films. J. Phys. D Appl. Phys. 2017, 50, 205306. [Google Scholar] [CrossRef]
- Ridha, S.; Essebti, D.; Hlil, K. Impact of annealing temperature on the physical properties of the lanthanum deficiency manganites. Crystals 2017, 7, 301. [Google Scholar] [CrossRef]
- Xie, C.; Shi, L.; Zhao, J.; Li, Y.; Zhou, S.; Yao, D. The influence of substrate orientation and annealing condition on the properties of LaMnO3 thin films grown by polymer-assisted deposition. Appl. Surf. Sci. 2015, 351, 188–192. [Google Scholar] [CrossRef]
- Fuchs, D.; Arac, E.; Pinta, C.; Schuppler, S.; Schneider, R.; Löhneysen, H.v. Tuning the magnetic properties of LaCoO3 thin films by epitaxial strain. Phys. Rev. B 2008, 77, 014434. [Google Scholar] [CrossRef]
- Liu, H.; Shi, L.; Guo, Y.; Zhou, S.; Zhao, J.; Wang, C.; He, L.; Li, Y. Nature of ferromagnetic ordered state in LaCoO3 epitaxial nano-thin film on LaAlO3 substrate. J. Alloys Compd. 2014, 594, 158–164. [Google Scholar] [CrossRef]
- Liu, H.; Shi, L.; Zhou, S.; Zhao, J.; Guo, Y.; Wang, C.; He, L. Simple polymer assisted deposition and strain-induced ferromagnetism of LaCoO3 epitaxial thin films, Surf. Coat. Technol. 2013, 226, 108–112. [Google Scholar] [CrossRef]
- Kuhns, P.L.; Hoch, M.J.R.; Moulton, W.G.; Reyes, A.P.; Wu, J.; Leighton, C. Magnetic phase separation in La1−xSrxCoO3 by 59Conuclear magnetic resonance. Phys. Rev. Lett. 2003, 91, 127202. [Google Scholar] [CrossRef] [PubMed]
- Hoch, M.J.R.; Kuhns, P.L.; Moulton, W.G.; Reyes, A.P.; Lu, J.; Wu, J.; Leighton, C. Evolution of the ferromagnetic and nonferromagnetic phases with temperaturein phase-separated La1−xSrxCoO3 by high-field 139La NMR. Phys. Rev. B 2004, 70, 174443. [Google Scholar] [CrossRef]
- Nam, D.N.H.; Jonason, K.; Nordblad, P.; Khiem, N.V.; Phuc, N.X. Coexistence offerromagnetic and glassy behavior in the La0.5Sr0.5CoO3 perovskitecompound. Phys. Rev. B 1999, 59, 4189. [Google Scholar] [CrossRef]
- Wu, J.; Leighton, C. Pressure-inducedinsulating state in (La,Sr)CoO3. Phys. Rev. B 2003, 67, 174408. [Google Scholar] [CrossRef]
- Fita, I.; Szymczak, R.; Puzniak, R.; Wisniewski, A.; Troyanchuk, I.O.; Karpinsky, D.V.; Markovich, V.; Szymczak, H. Ferromagnetic state of La1−xBaxCoO3 under applied pressure: Factors controlling the sign reversal of pressure effect in cobaltites. Phys. Rev. B 2011, 83, 064414. [Google Scholar] [CrossRef]
- Sterbinsky, G.E.; Ryan, P.J.; Kim, J.-W.; Karapetrova, E.; Ma, J.X.; Shi, J.; Woicik, J.C. Local atomic and electronic structures of epitaxial strained LaCoO3 thin films. Phys. Rev. B 2012, 85, 020403. [Google Scholar] [CrossRef]







| Annealing Temperature (°C) | 500 | 600 | 700 | 800 | 900 |
|---|---|---|---|---|---|
| cfilm (Å) | 3.808 (1) | 3.792 (4) | 3.782 (7) | 3.782 (0) | 3.781 (3) |
| Orientation | abulk (Å) | Substract as (Å) | cfilm (Å) | ε (%) |
|---|---|---|---|---|
| (001) | 3.820 | 3.905 | 3.785 (4) | −0.92 |
| (011) | 2.701 | 2.761 | 2.685 (1) | −0.60 |
| (111) | 2.205 | 2.254 | 2.183 (2) | −1.00 |
Disclaimer/Publisher’s Note: The statements, opinions and data contained in all publications are solely those of the individual author(s) and contributor(s) and not of MDPI and/or the editor(s). MDPI and/or the editor(s) disclaim responsibility for any injury to people or property resulting from any ideas, methods, instructions or products referred to in the content. |
© 2023 by the authors. Licensee MDPI, Basel, Switzerland. This article is an open access article distributed under the terms and conditions of the Creative Commons Attribution (CC BY) license (https://creativecommons.org/licenses/by/4.0/).
Share and Cite
Xie, C.; Chen, Z.; Wang, X.; Meng, Y.; Wang, Y. Enhanced Ferromagnetism Induced by Chemical Doping and Epitaxial Strain in La0.8Sr0.2CoO3 Films. Crystals 2023, 13, 623. https://doi.org/10.3390/cryst13040623
Xie C, Chen Z, Wang X, Meng Y, Wang Y. Enhanced Ferromagnetism Induced by Chemical Doping and Epitaxial Strain in La0.8Sr0.2CoO3 Films. Crystals. 2023; 13(4):623. https://doi.org/10.3390/cryst13040623
Chicago/Turabian StyleXie, Changzheng, Zhijie Chen, Xinghua Wang, Ying Meng, and Yihao Wang. 2023. "Enhanced Ferromagnetism Induced by Chemical Doping and Epitaxial Strain in La0.8Sr0.2CoO3 Films" Crystals 13, no. 4: 623. https://doi.org/10.3390/cryst13040623
APA StyleXie, C., Chen, Z., Wang, X., Meng, Y., & Wang, Y. (2023). Enhanced Ferromagnetism Induced by Chemical Doping and Epitaxial Strain in La0.8Sr0.2CoO3 Films. Crystals, 13(4), 623. https://doi.org/10.3390/cryst13040623

