The Growth Process and Photocatalytic Properties of h-MoO3 and α-MoO3 under Different Conditions
Abstract
:1. Introduction
2. Materials and Methods
2.1. Materials
2.2. Sample Preparation
2.3. Characterization
2.4. Evaluation of Photocatalytic Activity
3. Results and Discussion
3.1. Phase Composition Analysis
3.2. SEM Morphology Study
3.3. Growth Mechanisms
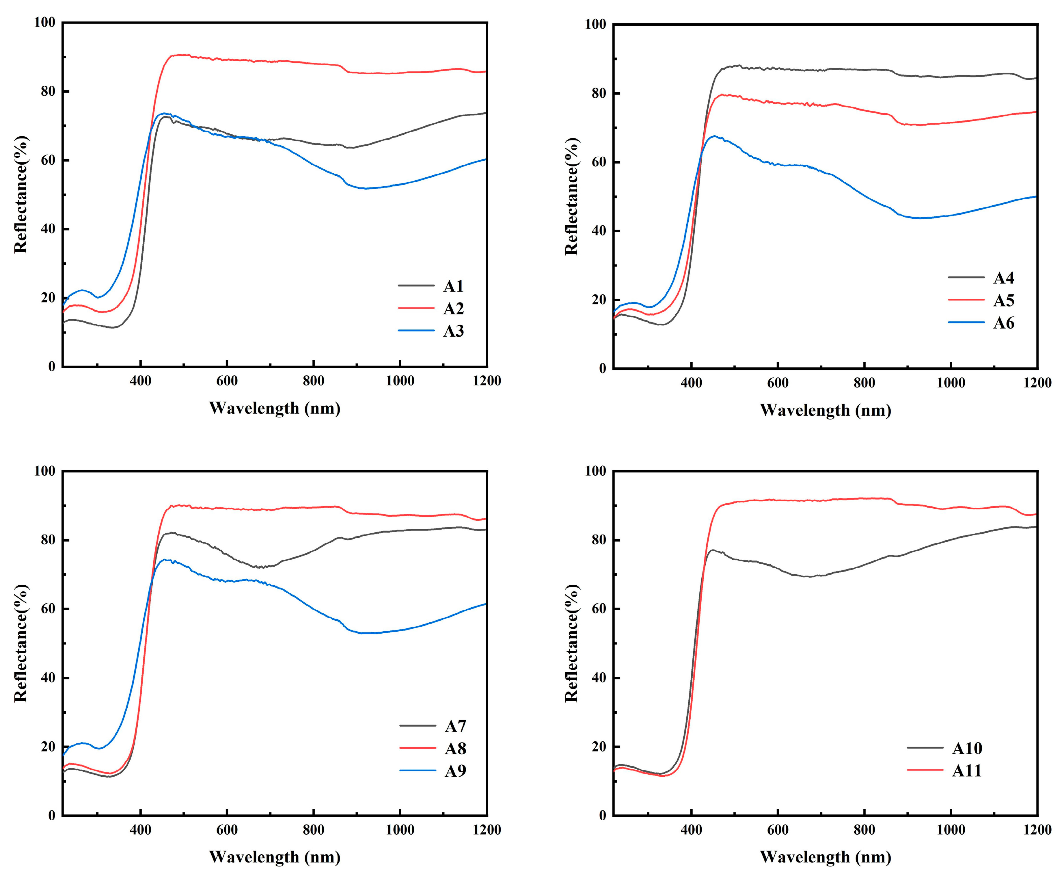
3.4. UV–Vis Diffuse Reflectance Spectra Study
3.5. Photocatalytic Study of MB Degradation
4. Conclusions
Author Contributions
Funding
Data Availability Statement
Acknowledgments
Conflicts of Interest
References
- Zhang, J.; Li, H.; Jiao, G.; Wang, J.; Li, J.; Li, M.; Jiang, H. Spatial Pattern of Technological Innovation in the Yangtze River Delta Region and Its Impact on Water Pollution. Int. J. Environ. Res. Public Health 2022, 19, 7437. [Google Scholar] [CrossRef]
- Liu, Y.; Wang, P.; Gojenko, B.; Yu, J.; Wei, L.; Luo, D.; Xiao, T. A review of water pollution arising from agriculture and mining activities in Central Asia: Facts, causes and effects. Environ. Pollut. 2021, 291, 118209. [Google Scholar] [CrossRef]
- Gomes-Silva, G.; Cyubahiro, E.; Wronski, T.; Riesch, R.; Apio, A.; Plath, M. Water pollution affects fish community structure and alters evolutionary trajectories of invasive guppies (Poecilia reticulata). Sci. Total. Environ. 2020, 730, 138912. [Google Scholar] [CrossRef]
- Wang, H.; Guan, N.; Feng, Z.; Xiang, W.; Zhao, H.; Zhang, X. Constructing defect engineered 2D/2D MoO3/g-C3N4 Z-scheme heterojunction for enhanced photocatalytic activity. J. Alloys Compd. 2022, 926, 166964. [Google Scholar] [CrossRef]
- Ali, A.; Shoeb, M.; Li, B.; Khan, M.A. Photocatalytic degradation of antibiotic drug and dye pollutants under visible-light irradiation by reduced graphene oxide decorated MoO3/TiO2 nanocomposite. Mater. Sci. Semicond. Process. 2022, 150, 106974. [Google Scholar] [CrossRef]
- Ren, P.; Ren, X.; Xu, J.; Li, H.; Zheng, Y.; Hong, Y.; Lin, Y.; Zhou, Y.; Chen, Y.; Zhang, W. Excellent adsorption property and mechanism of oxygen vacancies-assisted hexagonal MoO3 nanosheets for methylene blue and rhodamine b dyes. Appl. Surf. Sci. 2022, 597, 153699. [Google Scholar] [CrossRef]
- Kateshiya, M.R.; Malek, N.I.; Kailasa, S.K. Green fluorescent carbon dots functionalized MoO3 nanoparticles for sensing of hypochlorite. J. Mol. Liq. 2022, 351, 118628. [Google Scholar] [CrossRef]
- Liu, S.; Yang, Z.; Zhao, L.; Zhang, Y.; Xing, Y.; Fei, T.; Zhang, H.; Zhang, T. Glucose-assisted combustion synthesis of oxygen vacancy enriched α-MoO3 for ethanol sensing. J. Alloys Compd. 2022, 902, 163711. [Google Scholar] [CrossRef]
- Santhosh, S.; Kumar, A.N.; Kennedy, J.; Subramanian, B. Electrochromic response of pulsed laser deposited oxygen deficient monoclinic β-MoO3 thin films. Electrochim. Acta 2022, 354, 136745. [Google Scholar] [CrossRef]
- Chua, W.H.; Yaacob, M.H.; Tan, C.Y.; Ong, B.H. Chemical bath deposition of h-MoO3 on optical fibre as room-temperature ammonia gas sensor. Ceram. Int. 2021, 47, 32828–32836. [Google Scholar] [CrossRef]
- Ghalehghafi, E.; Rahmani, M.B. Hydrothermal temperature effect on the growth of h-MoO3 thin films using seed layers and their photoluminescence properties. Mater. Sci. Semicon. Proc. 2022, 137, 1–10. [Google Scholar] [CrossRef]
- Chithambararaj, A.; Rajeswari Yogamalar, N.; Bose, A.C. Hydrothermally synthesized h-MoO3 and α-MoO3 nanocrystals: New findings on crystal-structure-dependent charge transport. Cryst. Growth Des. 2016, 16, 1984–1995. [Google Scholar] [CrossRef]
- Chot, C.Y.; Chong, M.N.; Soh, A.K.; Ocon, J.D. Unravelling the roles of H+, Na+ and K+ cations over the self-photorechargeability of a Pt-mediated MoO3 photoanode-driven photoelectrochemical system: Experimental and DFT study. J. Environ. Chem. Eng. 2022, 10, 107252. [Google Scholar] [CrossRef]
- Niu, Y.; Li, X.; Su, H.; Li, J.; Qi, Y. Formation of three dimensional porous h-MoO3 architecture and its application in supercapacitors. Mater. Lett. 2022, 316, 132062. [Google Scholar] [CrossRef]
- Li, X.; Yang, H.; Hu, X.; Wu, Q.; Xiong, W.; Qin, Z.; Xie, C.; Zeng, D. Exposed Mo atoms induced by micropores enhanced H2S sensing of MoO3 nanoflowers. J. Hazard. Mater. 2022, 429, 128270. [Google Scholar] [CrossRef]
- Cai, Z.; Song, Y.; Jin, X.; Wang, C.C.; Ji, H.; Liu, W.; Sun, X. Highly efficient AgBr/h-MoO3 with charge separation tuning for photocatalytic degradation of trimethoprim: Mechanism insight and toxicity assessment. Sci. Total Environ. 2021, 781, 146754. [Google Scholar] [CrossRef]
- Kumar, N.; Kumar, R. Efficient adsorption of methylene blue on hybrid structural phase of MoO3 nanostructures. Mater. Chem. Phys. 2022, 275, 125211. [Google Scholar] [CrossRef]
- Kamble, B.B.; Ajalkar, B.D.; Tawade, A.K.; Sharma, K.K.; Mali, S.S.; Hong, C.K.; Bathula, C.; Kadam, A.N.; Tayade, S.N. Ionic liquid assisted synthesis of h-MoO3 hollow microrods and their application for electrochemical sensing of Imidacloprid pesticide in vegetables. J. Mol. Liq. 2021, 324, 115119. [Google Scholar] [CrossRef]
- Wang, Y.; Yu, Y.; Liu, Z.; Qiao, H.; Zhang, Z.; Ishizaki, T.; Hu, X. Catalytic performance of oxygen vacancies-enriched h-MoO3 in lithium-oxygen batteries. J. Alloys Compd. 2022, 927, 166927. [Google Scholar] [CrossRef]
- Jamshaid, M.; Khan, H.M.; Nazir, M.A.; Wattoo, M.A.; Shahzad, K.; Malik, M.; Rehman, A.U. A novel bentonite–cobalt doped bismuth ferrite nanoparticles with boosted visible light induced photodegradation of methyl orange: Synthesis, characterization and analysis of physiochemical changes. Int. J. Environ. Anal. Chem. 2022, 805, 139939. [Google Scholar] [CrossRef]
- Paraguay-Delgado, F.; Mendoza Duarte, M.E.; Kalu, O.; Estrada Moreno, I.A.; Alonso-Lemus, I.; Lardizábal-G, D. h-MoO3 phase transformation by four thermal analysis techniques. J. Therm. Anal. Calorim. 2022, 140, 735–741. [Google Scholar] [CrossRef]
- Sen, S.K.; Paul, T.C.; Dutta, S.; Hossain, M.N.; Mia, M.N.H. XRD peak profile and optical properties analysis of Ag-doped h-MoO3 nanorods synthesized via hydrothermal method. J. Mater. Sci. Mater. Electron. 2020, 31, 1768–1786. [Google Scholar] [CrossRef]
- Kumar, S.; Singh, A.; Singh, R.; Singh, S.; Kumar, P.; Kumar, R. Facile h-MoO3 synthesis for NH3 gas sensing application at moderate operating temperature. Sens. Actuators B Chem. 2020, 325, 128974. [Google Scholar] [CrossRef]
- Wang, L.; Li, H.; Xue, Z. Synthesis of h-MoO3 nanorods and h-/α-MoO3 composites, and their photocatalytic performance. T Nonferr. Metal Soc. 2022, 32, 1–22. [Google Scholar]
- Markov, I.V. Crystal Growth for Beginners Fundamentals of Nuclestion, Crystal Growth and Epitaxy; Beijing Education Press: Beijing, China, 2018; pp. 50–90. [Google Scholar]
- Moura, J.V.B.; Silveira, J.V.; da Silva Filho, J.G.; Souza Filho, A.G.; Luz-Lima, C.; Freire, P.T.C. Temperature-induced phase transition in h-MoO3: Stability loss mechanism uncovered by Raman spectroscopy and DFT calculations. Vib. Spectrosc. 2018, 98, 98–104. [Google Scholar] [CrossRef]
- de Sá, M.L.; Nobre, F.X.; Silva, L.D.S.; Sousa, G.D.S.; Takeno, M.L.; Júnior, E.A.A.; de Matos, J.M.E.; de Santos, M.R.M.C. Preparation of new h-MoO3 rod-like microcrystals for effective removal of cationic dye in aqueous solution. Int. J. Environ. Res. 2021, 15, 105–124. [Google Scholar] [CrossRef]
- Kumar, P.S.; Selvakumar, M.; Babu, S.G.; Karuthapandian, S.; Chattopadhyay, S. CdO nanospheres: Facile synthesis and bandgap modification for the superior photocatalytic activity. Mater. Lett. 2015, 151, 45–48. [Google Scholar] [CrossRef]
- Chithambararaj, A.; Bose, A.C. Hydrothermal synthesis of hexagonal and orthorhombic MoO3 nanoparticles. J. Alloys Compd. 2011, 509, 8105–8110. [Google Scholar] [CrossRef]
- Shahzad, K.; Najam, T.; Bashir, M.S.; Nazir, M.A.; Rehman, A.U.; Shah, S.S.A. Fabrication of Periodic Mesoporous Organo Silicate (PMOS) composites of Ag and ZnO: Photo-catalytic degradation of methylene blue and methyl orange. Inorg. Chem. Commun. 2020, 123, 108357. [Google Scholar] [CrossRef]









| Level | A AHM/g | B Acid | C Temperature/°C | D Time/h |
|---|---|---|---|---|
| 1 | 5 | HCl | 140 | 4 |
| 2 | 7 | HNO3 | 170 | 8 |
| 3 | 9 | H2SO4 | 200 | 12 |
| Sample No | A AHM/g | B Acid | C Temperature/°C | D Time/h |
|---|---|---|---|---|
| A1 | 5 | HCl | 140 | 4 |
| A2 | 5 | HNO3 | 170 | 8 |
| A3 | 5 | H2SO4 | 200 | 12 |
| A4 | 7 | HCl | 170 | 12 |
| A5 | 7 | HNO3 | 200 | 4 |
| A6 | 7 | H2SO4 | 140 | 8 |
| A7 | 9 | HCl | 200 | 8 |
| A8 | 9 | HNO3 | 140 | 12 |
| A9 | 9 | H2SO4 | 170 | 4 |
| Sample No | AHM/g | Hydrochloric Acid/mL | Nitric Acid /mL | Temperature/°C | Time/h |
|---|---|---|---|---|---|
| A10 | 9 | 10 | 0 | 140 | 4 |
| A11 | 9 | 0 | 10 | 170 | 14 |
| Sample No | A1 | A2 | A3 | A4 | A5 | A6 | A7 | A8 | A9 | A10 | A11 |
|---|---|---|---|---|---|---|---|---|---|---|---|
| Eg/eV | 3.10 | 3.16 | 3.35 | 3.14 | 3.15 | 3.31 | 3.15 | 3.14 | 3.30 | 3.15 | 3.18 |
| degradation rate/% | 49 | 62 | 100 | 58 | 98 | 99 | 91 | 65 | 100 | 97 | 100 |
| rate constant/min−1 | 0.00285 | 0.02246 | 0.93295 | 0.00428 | 0.01784 | 0.01310 | 0.01162 | 0.00515 | 0.01840 | 0.01610 | 0.02254 |
| R2 | 0.64 | 0.82 | 0.90 | 0.79 | 0.89 | 0.41 | 0.83 | 0.81 | 0.74 | 0.88 | 0.95 |
Disclaimer/Publisher’s Note: The statements, opinions and data contained in all publications are solely those of the individual author(s) and contributor(s) and not of MDPI and/or the editor(s). MDPI and/or the editor(s) disclaim responsibility for any injury to people or property resulting from any ideas, methods, instructions or products referred to in the content. |
© 2023 by the authors. Licensee MDPI, Basel, Switzerland. This article is an open access article distributed under the terms and conditions of the Creative Commons Attribution (CC BY) license (https://creativecommons.org/licenses/by/4.0/).
Share and Cite
Wu, J.; Chen, Z.; Xu, X.; Wei, P.; Xie, G.; Zhang, X. The Growth Process and Photocatalytic Properties of h-MoO3 and α-MoO3 under Different Conditions. Crystals 2023, 13, 603. https://doi.org/10.3390/cryst13040603
Wu J, Chen Z, Xu X, Wei P, Xie G, Zhang X. The Growth Process and Photocatalytic Properties of h-MoO3 and α-MoO3 under Different Conditions. Crystals. 2023; 13(4):603. https://doi.org/10.3390/cryst13040603
Chicago/Turabian StyleWu, Jianfeng, Zhichao Chen, Xiaohong Xu, Peng Wei, Guobin Xie, and Xinyi Zhang. 2023. "The Growth Process and Photocatalytic Properties of h-MoO3 and α-MoO3 under Different Conditions" Crystals 13, no. 4: 603. https://doi.org/10.3390/cryst13040603
APA StyleWu, J., Chen, Z., Xu, X., Wei, P., Xie, G., & Zhang, X. (2023). The Growth Process and Photocatalytic Properties of h-MoO3 and α-MoO3 under Different Conditions. Crystals, 13(4), 603. https://doi.org/10.3390/cryst13040603
