Effect of Annealing on the Structure of Composite Passivation Films Prepared by Magnetron Sputtering Deposition on the Surface of HgCdTe
Abstract
:1. Introduction
2. Materials and Methods
3. Results and Discussion
3.1. Surface Morphological Features
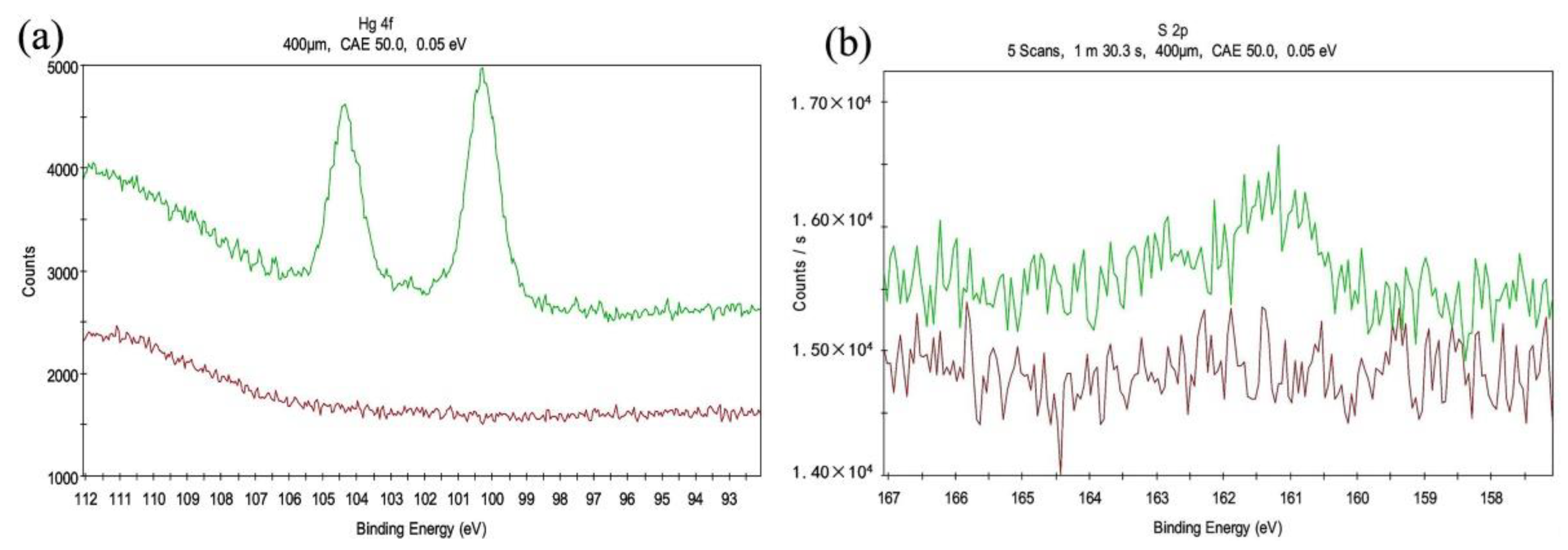
3.2. Structural Analysis of Composite Passivation Films
4. Conclusions
Author Contributions
Funding
Institutional Review Board Statement
Informed Consent Statement
Data Availability Statement
Conflicts of Interest
References
- Lei, W.; Antoszewski, J.; Faraone, L. Progress, challenges, and opportunities for HgCdTe infrared materials and detectors. Appl. Phys. Rev. 2015, 2, 041303. [Google Scholar] [CrossRef]
- Rogalski, A. Progress in focal plane array technologies. Prog. Quantum Electron. 2012, 36, 342–473. [Google Scholar] [CrossRef]
- Wang, H.; Hong, J.; Yue, F.G.; Jing, C.B.; Chu, J.H. Optical homogeneity analysis of Hg1–xCdxTe epitaxial layers: How to circumvent the influence of impurity absorption bands. Infrared Phys. Technol. 2017, 82, 1–7. [Google Scholar] [CrossRef]
- Sun, C.H.; Zhang, P.T.; Zhang, N.; Chen, X.; Chen, Y.Y.; Ye, Z.H. ZnS thin films grown by atomic layer deposition on GaAs and HgCdTe substrates at very low temperature. Infrared Phys. Technol. 2017, 85, 280–286. [Google Scholar] [CrossRef]
- Li, X.J.; Han, F.Z.; Li, D.S.; Li, L.H.; Hu, Y.B.; Kong, J.C.; Zhao, J.; Zhu, Y.F.; Zhuang, J.S.; Gi, R.B. Variable-area diodes with LW HgCdTe. J. Infrared Millim. Waves 2016, 35, 412–417. [Google Scholar]
- Sheng, F.F.; Zhou, C.H.; Sun, S.W.; Yang, J.R. Influences of Te-Rich and Cd-Rich precipitates of CdZnTe substrates on the surface defects of HgCdTe liquid-phase epitaxy materials. J. Electron. Mater. 2014, 43, 1397–1402. [Google Scholar] [CrossRef]
- Li, Q.; He, J.L.; Hu, W.D.; Chen, L.; Chen, X.S.; Lu, W. Influencing Sources for Dark Current Transport and Avalanche Mechanisms in Planar and Mesa HgCdTe p-i-n Electron-Avalanche Photodiodes. IEEE Trans. Electron Devices 2018, 865, 572–576. [Google Scholar] [CrossRef]
- Wang, X.; Zhou, S.M.; Sun, C.H.; Wei, Y.F.; Shen, H.; Lin, C. Annealing of au doped HgCdTe covered by electron beam evaporated CdTe. J. Infrared Millim. Waves 2018, 37, 399–402. [Google Scholar]
- Haakenaasen, R.; Selvig, E.; Heier, A.C.; Lorentzen, T.; Trosdahl-Iversen, L. Improved passivation effect due to controlled smoothing of the CdTe-HgCdTe interface gradient by thermal annealing. J. Electron. Mater. 2019, 48, 6099–6107. [Google Scholar] [CrossRef]
- Wang, X.; He, K.; Chen, X.; Li, Y.; Lin, C.; Zhang, Q.Y.; Ye, Z.H.; Xin, L.W.; Gao, G.L.; Yan, X.; et al. Effect of annealing on the electrophysical properties of CdTe/HgCdTe passivation interface by the capacitance–voltage characteristics of the metal—Insulator-semiconductor structures. AIP Adv. 2020, 10, 105102. [Google Scholar] [CrossRef]
- Lu, Q.; Wang, X.; Wei, Y.F.; Sun, Q.Z.; Lin, C. Investigation of the influence of graded-gap layer formed by annealing on the electrical properties of the near-surface of LPE HgCdTe using MIS structure. Mater. Res. Express 2021, 8, 015903. [Google Scholar] [CrossRef]
- White, J.K.; Antoszewski, J.; Pal, R.; Musca, C.A.; Dell, J.M.; Faraone, L.; Piotrowski, J. Passivation Effects on Reactive Ion Etch Formed n-on-p Junctions In HgCdTe. J. Electron. Mater. 2002, 31, 743–748. [Google Scholar] [CrossRef]
- Subrina, R.; Han, L.; Neal, A.T.; Shin, M.; John, B.; Zhao, H.P. Towards High-Mobility Heteroepitaxial β-Ga2O3 on Sapphire—Dependence on The Substrate Off-Axis Angle. Phys. Status Solidi A 2018, 215, 1700467. [Google Scholar]
- Wang, Y.; Pu, T.F.; Li, X.B.; Li, L.A.; Ao, J.P. Application of p-type NiO deposited by magnetron reactive sputtering on GaN vertical diodes. Mater. Sci. Semicond. Process. 2021, 125, 105628. [Google Scholar] [CrossRef]
- Zhang, X.L.; Li, Z.Z.; Fan, J.J. An effect of rapid post-annealing temperature on the properties of cupric oxide thin films deposited by a remote plasma sputtering technique. Mater. Sci. Semicond. Process. 2022, 137, 106227. [Google Scholar] [CrossRef]
- Wei, Y.F.; Xu, Q.Q.; Chen, X.J.; Zhang, C.J.; Sun, S.W.; Fang, W.Z.; Yang, J.R. Control of surface defects in HgCdTe film grown by liquid phase epitaxy. J. Infrared Millim. Waves 2009, 28, 246–248. [Google Scholar] [CrossRef]
- Zhang, Y.; Wu, J.; Mu, S.; Zuo, D.F.; Li, D.S. Surface defects of Liquid Phase Epitaxial growth of HgCdTe film induced by Te-rich precipitates in CdZnTe substrates. J. Infrared Millim. Waves 2018, 37, 728–733. [Google Scholar]
- Yu, W.; He, J.; Sun, Y.T.; Zhu, H.F.; Han, L.; Fu, G.S. Raman Spectra of Nano-SiC Thin Film Prepared by Plllse Laser Crystallization. Chin. J. Iasers 2004, 31, 513–515. [Google Scholar]
- Aoki, T.; Chang, Y.; Badano, G.; Zhao, J.; Grein, C.; Sivananthan, S.; David, J.S. Electron Microscopy of Surface-Crater Defects on HgCdTe/CdZnTe(211)B Epilayers Grown by Molecular-Beam Epitaxy. J. Electron. Mater. 2003, 32, 703–709. [Google Scholar] [CrossRef]










| Name | Start BE | Peak BE | End BE | Height CPS | FWHM eV | Area (P) CPS.eV | Atomic % | Q |
|---|---|---|---|---|---|---|---|---|
| Cd3d | 421.03 | 404.90 | 401.13 | 104,645.23 | 1.12 | 231,266.55 | 32.86 | 1 |
| Te3d | 598.03 | 575.96 | 560.13 | 170,974.04 | 1.36 | 604,372.70 | 67.02 | 1 |
| Hg4f | 105.98 | 101.26 | 98.18 | 597.21 | 0.00 | 768.10 | 0.12 | 1 |
| Name | Start BE | Peak BE | End BE | Height CPS | FWHM eV | Area (P) CPS.eV | Atomic % | Q |
|---|---|---|---|---|---|---|---|---|
| Hg4f | 107.08 | 100.27 | 96.58 | 8738.66 | 1.04 | 18,417.98 | 3.10 | 1 |
| S2p | 164.53 | 161.39 | 158.63 | 887.55 | 0.69 | 1903.53 | 3.73 | 1 |
| Cd3d | 421.03 | 404.98 | 401.13 | 103,100.64 | 1.13 | 226,192.04 | 33.62 | 1 |
| Te3d | 598.03 | 576.04 | 560.13 | 144,604.55 | 1.35 | 513,247.98 | 59.54 | 1 |
| Name | Start BE | Peak BE | End BE | Height CPS | FWHM eV | Area (P) CPS.eV | Atomic % | Q |
|---|---|---|---|---|---|---|---|---|
| Te metal | 598.03 | 572.34 | 560.13 | 36,497.42 | 1.38 | 54,862.17 | 16.02 | 1 |
| Te sub–oxide | 598.03 | 573.60 | 560.13 | 17,660.14 | 1.44 | 27,553.86 | 8.05 | 1 |
| TeO2 | 598.03 | 575.94 | 560.13 | 166,164.48 | 1.44 | 259,254.56 | 75.93 | 1 |
| Name | Start BE | Peak BE | End BE | Height CPS | FWHM eV | Area (P) CPS.eV | Atomic % | Q |
|---|---|---|---|---|---|---|---|---|
| Te metal | 598.03 | 572.49 | 560.13 | 36,104.67 | 1.38 | 54,386.64 | 18.73 | 1 |
| Te sub–oxide | 598.03 | 573.79 | 560.13 | 11,222.34 | 1.45 | 17,524.55 | 6.04 | 1 |
| TeO2 | 598.03 | 576.03 | 560.13 | 139,482.67 | 1.45 | 217,812.92 | 75.23 | 1 |
Publisher’s Note: MDPI stays neutral with regard to jurisdictional claims in published maps and institutional affiliations. |
© 2022 by the authors. Licensee MDPI, Basel, Switzerland. This article is an open access article distributed under the terms and conditions of the Creative Commons Attribution (CC BY) license (https://creativecommons.org/licenses/by/4.0/).
Share and Cite
Lin, Y.; Qin, Q.; Wang, X.; Chen, J.; Li, L.; Jiang, J.; He, Y.; Wang, X.; Zhao, P.; Yuan, S. Effect of Annealing on the Structure of Composite Passivation Films Prepared by Magnetron Sputtering Deposition on the Surface of HgCdTe. Crystals 2022, 12, 983. https://doi.org/10.3390/cryst12070983
Lin Y, Qin Q, Wang X, Chen J, Li L, Jiang J, He Y, Wang X, Zhao P, Yuan S. Effect of Annealing on the Structure of Composite Passivation Films Prepared by Magnetron Sputtering Deposition on the Surface of HgCdTe. Crystals. 2022; 12(7):983. https://doi.org/10.3390/cryst12070983
Chicago/Turabian StyleLin, Yang, Qiang Qin, Xiangqian Wang, Jiyuan Chen, Lu Li, Jun Jiang, Yuanhuai He, Xiao Wang, Peng Zhao, and Shouzhang Yuan. 2022. "Effect of Annealing on the Structure of Composite Passivation Films Prepared by Magnetron Sputtering Deposition on the Surface of HgCdTe" Crystals 12, no. 7: 983. https://doi.org/10.3390/cryst12070983
APA StyleLin, Y., Qin, Q., Wang, X., Chen, J., Li, L., Jiang, J., He, Y., Wang, X., Zhao, P., & Yuan, S. (2022). Effect of Annealing on the Structure of Composite Passivation Films Prepared by Magnetron Sputtering Deposition on the Surface of HgCdTe. Crystals, 12(7), 983. https://doi.org/10.3390/cryst12070983
