Effects of Methane Pre-Reforming Percentage and Flow Arrangement on the Distribution of Temperature and Thermal Stress in Solid Oxide Fuel Cell
Abstract
:1. Introduction
2. Model Development
- (1)
- The SOFC is running in a steady state.
- (2)
- All gas species are deemed as ideal gases, and gas flow is assumed to be laminar flow.
- (3)
- The electrochemical reaction area is uniformly distributed. The electronic and ionic conducting phases are continuous and homogeneous in the porous electrodes.
- (4)
- Electrochemical reactions only take place on the active layer. H2 and CO have the same electrochemical reaction mechanism.
- (5)
- Ignoring the redox reaction of Ni–NiO.
2.1. Internal Reforming Reaction Mechanism
2.2. Electrochemical Reaction Mechanism
2.3. Transfer Process and Governing Equations
2.4. Thermal Stress Model
2.5. Geometric Model
2.6. Boundary Conditions
3. Solution Methodology and Model Validation
3.1. Solution Methodology
3.2. Model Validation
4. Results and Discussion
4.1. The Effects of Methane pre-reforming Percentage
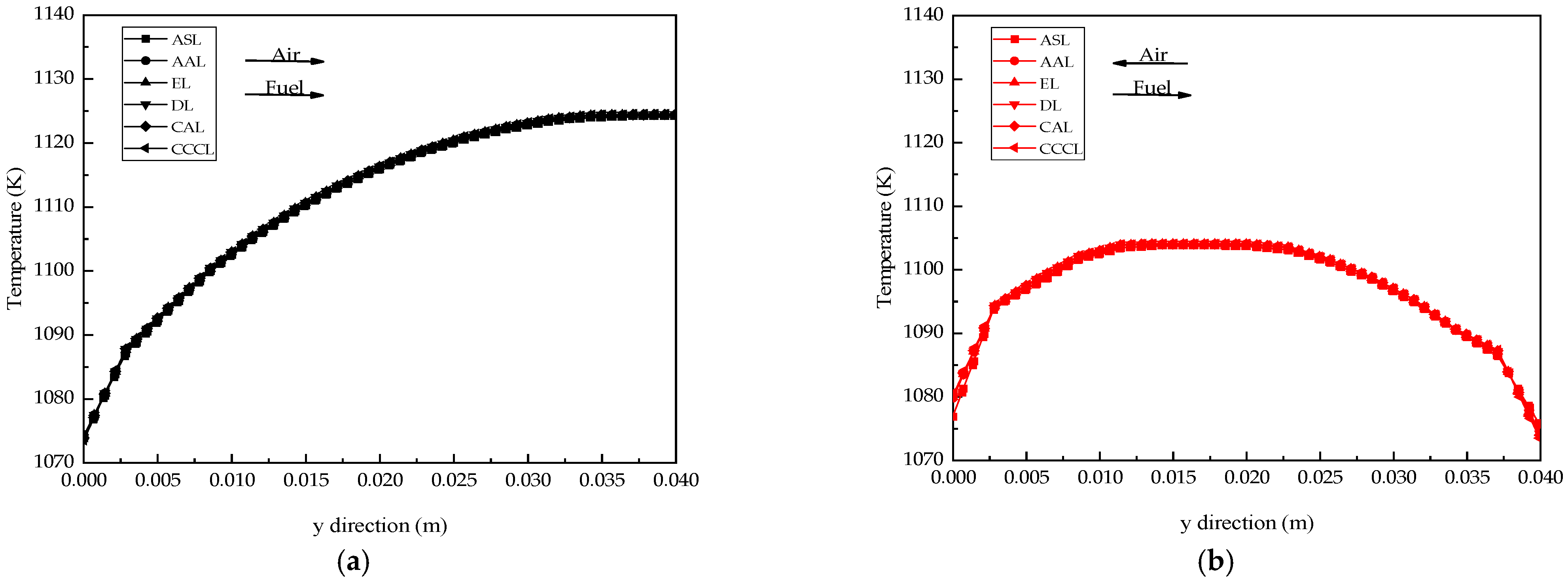
4.2. The Effects of Flow Arrangements
5. Conclusions
Author Contributions
Funding
Institutional Review Board Statement
Informed Consent Statement
Data Availability Statement
Acknowledgments
Conflicts of Interest
References
- Lee, S.; Kim, H.; Yoon, K.J.; Son, J.W.; Lee, J.H.; Kim, B.K.; Choi, W.; Hong, J. The effect of fuel utilization on heat and mass transfer within solid oxide fuel cells examined by three-dimensional numerical simulations. Int. J. Heat Mass Transf. 2016, 97, 77–93. [Google Scholar] [CrossRef]
- Wu, Y.; Shi, Y.; Cai, N.; Ni, M. Thermal Modeling and Management of Solid Oxide Fuel Cells Operating with Internally Reformed Methane. J. Therm. Sci. 2018, 27, 203–212. [Google Scholar] [CrossRef]
- Tseronis, K.; Fragkopoulos, I.; Bonis, I.; Theodoropoulos, C. Detailed Multi-dimensional Modeling of Direct Internal Reforming Solid Oxide Fuel Cells. Fuel Cells 2016, 16, 294–312. [Google Scholar] [CrossRef] [PubMed] [Green Version]
- Mogensen, D.; Grunwaldt, J.-D.; Hendriksen, P.; Dam-Johansen, K.; Nielsen, J. Internal steam reforming in solid oxide fuel cells: Status and opportunities of kinetic studies and their impact on modelling. J. Power Sources 2011, 196, 25–38. [Google Scholar] [CrossRef]
- Guo, M.T.; Lin, Z.J. Long-term evolution of mechanical performance of solid oxide fuel cell stack and the underlying mechanism. Int. J. Hydrog. Energy 2021, 46, 23293–24304. [Google Scholar] [CrossRef]
- Nakajo, A.; Mueller, F.; Brouwer, J.; Van Herle, J.; Favrat, D. Mechanical reliability and durability of SOFC stacks. Part II: Modelling of mechanical failures during ageing and cycling. Int. J. Hydrog. Energy 2012, 37, 9269–9286. [Google Scholar] [CrossRef] [Green Version]
- Yakabe, H.; Baba, Y.; Sakurai, T.; Yoshitaka, Y. Evaluation of the residual stress for anode-supported SOFCs. J. Power Sources 2003, 135, 9–16. [Google Scholar] [CrossRef]
- Tran, D.L.; Tran, Q.T.; Sakamoto, M.; Sasaki, K.; Shiratori, Y. Modelling of CH4 multiple-reforming within the Ni-YSZ anode of a solid oxide fuel cell. J. Power Sources 2017, 359, 507–519. [Google Scholar] [CrossRef]
- Xu, H.; Chen, B.; Tan, P.; Zhang, Y.; He, Q.; Wu, Z.; Ni, M. The thermal effects of all porous solid oxide fuel cells. J. Power Sources 2019, 440, 227102.1–227102.12. [Google Scholar] [CrossRef]
- Xie, J.M.; Wang, F.H. Thermal Stress Analysis of Solid Oxide Fuel Cell with Anode Functional Layer. J. Inorg. Mater. 2017, 32, 400–406. [Google Scholar] [CrossRef]
- Jiang, C.; Gu, Y.; Guan, W.; Zheng, J.; Ni, M.; Zhong, Z. 3D thermo-electro-chemo-mechanical coupled modeling of solid oxide fuel cell with double-sided cathodes. Int. J. Hydrog. Energy 2020, 45, 904–915. [Google Scholar] [CrossRef]
- Xu, M.; Li, T.; Yang, M.; Andersson, M. Solid oxide fuel cell interconnect design optimization considering the thermal stresses. Sci. Bull. 2016, 61, 1333–1344. [Google Scholar] [CrossRef] [PubMed] [Green Version]
- Clague, R.; Marquis, A.J.; Brandon, N.P. Finite element and analytical stress analysis of a solid oxide fuel cell. J. Power Sources 2012, 210, 224–232. [Google Scholar] [CrossRef]
- Schluckner, C.; Subotić, V.; Lawlor, V.; Hochenauer, C. Three-dimensional numerical and experimental investigation of an industrial-sized SOFC fueled by diesel reformat-Part II: Detailed reforming chemistry and carbon deposition analysis. Int. J. Hydrog. Energy 2015, 40, 10943–10959. [Google Scholar] [CrossRef]
- Ong, K.M.; Lee, W.Y.; Hanna, J.; Ghoniem, A.F. Isolating the impact of CO concentration in syngas mixtures on SOFC performance via internal reforming and direct oxidation. Int. J. Hydrog. Energy 2016, 41, 9035–9047. [Google Scholar] [CrossRef]
- Eveloy, V. Numerical analysis of an internal methane reforming solid oxide fuel with fuel recycling. Appl. Energy 2012, 93, 107–115. [Google Scholar] [CrossRef]
- Klein, J.-M.; Bultel, Y.; Pons, M.; Ozil, P. Modelling of a solid oxide fuel cell fueled by methane: Analysis of carbon deposition. J. Electrochem. Energy Convers. Storage 2007, 4, 425–434. [Google Scholar]
- Vakouftsi, E.; Marnellos, G.; Athanasiou, C.; Coutelieris, F. CFD modeling of a biogas fuelled SOFC. Solid State Ion. 2011, 192, 458–463. [Google Scholar] [CrossRef]
- Ni, M. Modeling of SOFC running on partially pre-reformed gas mixture. Int. J. Hydrog. Energy 2012, 37, 1731–1745. [Google Scholar] [CrossRef] [Green Version]
- Andersson, M.; Nakajima, H.; Kitahara, T.; Shimizu, A.; Koshiyama, T.; Paradis, H.; Yuan, J.; Sundén, B. Comparison of humidified hydrogen and partly pre-reformed natural gas as fuel for solid oxide fuel cells applying computational fluid dynamics. Int. J. Heat Mass Transf. 2014, 77, 1008–1022. [Google Scholar] [CrossRef] [Green Version]
- Kirtley, J.; Singh, A.; Halat, D.; Oswell, T.; Hill, J.M.; Walker, R.A. In Situ Raman Studies of Carbon Removal from High Temperature Ni-YSZ Cermet Anodes by Gas Phase Reforming Agents. J. Phys. Chem. C 2013, 117, 25908–25916. [Google Scholar] [CrossRef]
- Fang, Q.; Blum, L.; Batfalsky, P.; Menzler, N.H.; Packbier, U.; Stolten, D. Durability test and degradation behavior of a 2 5 kW SOFC stack with internal reforming of LNG. Int. J. Hydrog. Energy 2013, 38, 16344–16353. [Google Scholar] [CrossRef]
- Haberman, B.A.; Young, J.B. Three-dimensional simulation of chemically reacting gas flows in the porous support structure of an integrated-planar solid oxide fuel cell. Int. J. Heat Mass Transf. 2004, 47, 3617–3629. [Google Scholar] [CrossRef]
- Suwanwarangkul, R.; Croiset, E.; Entchev, E.; Charojrochkul, S.; Pritzker, M.; Fowler, M.; Douglas, P.; Chewathanakup, S.; Mahaudom, H. Experimental and modeling study of solid oxide fuel cell operating with syngas fuel. J. Power Sources 2006, 161, 308–322. [Google Scholar] [CrossRef]
- Xie, Y.Y.; Ding, H.P.; Xue, X.J. Direct methane fueled solid oxide fuel cell model with detailed reforming reactions. Chem. Eng. J. 2013, 228, 917–924. [Google Scholar] [CrossRef]
- Hsieh, C.L.; Tuan, W.H. Elastic and thermal expansion behavior of two-phase composites. Mater. Sci. Eng. A 2006, 425, 349–360. [Google Scholar] [CrossRef]
- Jin, H.Y. Non-Equilibrium Thermodynamics of Solid Oxide Fuel Cells. Master’s Thesis, Dalian University of Technology, Dalian, China, 2020. [Google Scholar]
- Lin, Y.; Zhan, Z.; Liu, J.; Barnett, S.A. Direct operation of solid oxide fuel cells with methane fuel. Solid State Ion. 2005, 176, 1827–1835. [Google Scholar] [CrossRef]














| Reaction Rate | Expression |
|---|---|
| Methane steam reforming reaction rate |
|
| Water–gas shift reaction rate |
|
| The Governing Equation | The Source Term |
|---|---|
| Mass conservation: | |
| Momentum conservation: | |
| Energy conservation: | Anode/cathode active layer (Electrochemical reaction): |
| Species conservation: | |
| Electrons conservation: | |
| Ions conservation: |
| T | Ni | NiO | YSZ | LSCF | GDC | |
|---|---|---|---|---|---|---|
| Young’s modulus E (GPa) | 20 °C | 0.09 | 110 | 215 | 10 | 110 |
| 800 °C | 0.25 | 90 | 185 | 10 a | 90 | |
| Poisson’s ratio v | 20 °C | 0.3 | 0.34 | 0.308 | 0.32 | 0.32 |
| 800 °C | 0.3 | 0.34 | 0.313 | 0.32 a | 0.32 | |
| Coefficient of thermal expansion α (10−6 K−1) | 20 °C | 16.2 | 13.0 | 7.6 | 15.34 | 12.63 |
| 800 °C | 16.2 | 13.0 | 10.5 | 15.34 a | 12.63 a |
| Parameters | Values | Parameters | Values |
|---|---|---|---|
| Cell length (y-axis) | 4 × 10−2 m | Rib width (x-axis) | 1 × 10−3 m |
| Channel height (z-axis) | 1 × 10−3 m | Channel width (x-axis) | 1 × 10−3 m |
| Thickness of ASL (z-axis) | 4 × 10−4 m | Thickness of AAL (z-axis) | 1 × 10−5 m |
| Thickness of EL (z-axis) | 1 × 10−5 m | Thickness of DL (z-axis) | 3 × 10−6 m |
| Thickness of CAL (z-axis) | 1 × 10−5 m | Thickness of CCCL (z-axis) | 1.5 × 10−5 m |
| ASL | AAL | EL | DL | CAL | CCCL | |
|---|---|---|---|---|---|---|
| Thermal conductivity k (W·m−1·K−1) | 6 | 6 | 2 | 2 | 2 | 2 |
| Porosity ε | 0.38 | 0.2 | 0.27 | 0.27 | ||
| Volume fraction of electronic conductor in the composite θ | 0.4 | 0.4 | 0.5 | |||
| Tortuosity τ | 5 | 13.3 | 3.5 | 3.5 | ||
| Permeability β (m2) | 5.4 × 10−15 | 3 × 10−16 | 9 × 10−16 | 9 × 10−16 | ||
| Pore radius rpore (m) | 7 × 10−7 | 7 × 10−7 | 2 × 10−7 | 2 × 10−7 | ||
| Active surface area to volume ratio Ave (m−1) | 1.08 × 105 | 1.3 × 105 | 2.44 × 106 | 2.44 × 106 |
| Boundary Conditions | Temperature/K | Species | Ions | Electrons | |
|---|---|---|---|---|---|
| Anode channel inlet | Sccm: 200 sccm | 1073 | Fuel | None | None |
| Cathode channel inlet | Sccm: 800 sccm | 1073 | YO2 = 0.233, YN2 = 0.727 | None | None |
| Top of upper interconnect | Wall | Adiabatic | None | None | 0 V |
| Bottom of lower interconnect | wall | Adiabatic | None | None | 0.7 V |
| Both sides of the cell | wall | Adiabatic | None | None | None |
| Anode channel outlet | Pout = Patm = 1 atm | Convection | Convection | None | None |
| Cathode channel outlet | Pout = Patm = 1 atm | Convection | Convection | None | None |
| Pre-Reforming Percentage | CH4 | CO | CO2 | H2 | H2O |
|---|---|---|---|---|---|
| 20% (Case A) | 0.2 | 0.035 | 0.025 | 0.15 | 0.55 |
| 30% (Case B) | 0.171 | 0.0294 | 0.0436 | 0.263 | 0.493 |
| 50% (Case C) | 0.115 | 0.027 | 0.089 | 0.399 | 0.37 |
| 70% (Case D) | 0.09 | 0.0245 | 0.1855 | 0.45 | 0.225 |
Publisher’s Note: MDPI stays neutral with regard to jurisdictional claims in published maps and institutional affiliations. |
© 2022 by the authors. Licensee MDPI, Basel, Switzerland. This article is an open access article distributed under the terms and conditions of the Creative Commons Attribution (CC BY) license (https://creativecommons.org/licenses/by/4.0/).
Share and Cite
Cai, W.; Zheng, Q.; Yu, W.; Yin, Z.; Yuan, J.; Zhang, Z.; Pei, Y. Effects of Methane Pre-Reforming Percentage and Flow Arrangement on the Distribution of Temperature and Thermal Stress in Solid Oxide Fuel Cell. Crystals 2022, 12, 953. https://doi.org/10.3390/cryst12070953
Cai W, Zheng Q, Yu W, Yin Z, Yuan J, Zhang Z, Pei Y. Effects of Methane Pre-Reforming Percentage and Flow Arrangement on the Distribution of Temperature and Thermal Stress in Solid Oxide Fuel Cell. Crystals. 2022; 12(7):953. https://doi.org/10.3390/cryst12070953
Chicago/Turabian StyleCai, Weiqiang, Qingrong Zheng, Wanneng Yu, Zibin Yin, Jinliang Yuan, Zhonggang Zhang, and Yuyao Pei. 2022. "Effects of Methane Pre-Reforming Percentage and Flow Arrangement on the Distribution of Temperature and Thermal Stress in Solid Oxide Fuel Cell" Crystals 12, no. 7: 953. https://doi.org/10.3390/cryst12070953
APA StyleCai, W., Zheng, Q., Yu, W., Yin, Z., Yuan, J., Zhang, Z., & Pei, Y. (2022). Effects of Methane Pre-Reforming Percentage and Flow Arrangement on the Distribution of Temperature and Thermal Stress in Solid Oxide Fuel Cell. Crystals, 12(7), 953. https://doi.org/10.3390/cryst12070953

