How to Recognize the Universal Aspects of Mott Criticality?
Abstract
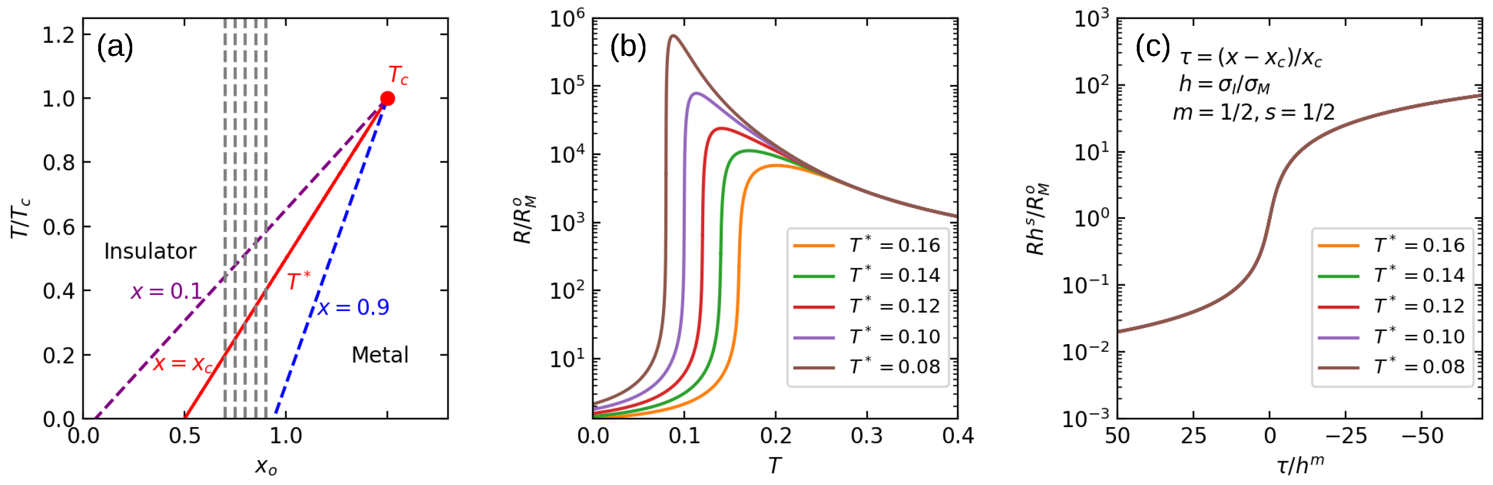
:1. Introduction
2. In Search of Mott Criticality
3. Experiments
3.1. Dilute 2DEG in Semiconductors
3.2. Organic Compounds
3.3. Moiré Materials
3.4. Universal Criticality
4. Competing Theoretical Pictures
4.1. Spin Liquid Picture of the Mott Point
4.2. Dynamical Mean Field Theory Picture of the Mott Point
4.3. Percolative Phase Coexistence Picture
5. Interpreting Resistivity Maxima
5.1. Resistivity Maxima from Thermally Destroying Coherent Quasiparticles
5.2. Percolation Scenario Due to Phase Coexistence
6. Conclusions
Author Contributions
Funding
Institutional Review Board Statement
Informed Consent Statement
Data Availability Statement
Acknowledgments
Conflicts of Interest
References
- Phillips, P. Mottness. Ann. Phys. 2006, 321, 1634–1650. [Google Scholar] [CrossRef]
- Mott, N. Metal-Insulator Transitions; Taylor & Francis: Abingdon, UK, 1990. [Google Scholar]
- Imada, M.; Fujimori, A.; Tokura, Y. Metal-insulator transitions. Rev. Mod. Phys. 1998, 70, 1039–1263. [Google Scholar] [CrossRef] [Green Version]
- Dobrosavljević, V.; Trivedi, N.; Valles Jr, J.M. Conductor Insulator Quantum Phase Transitions; Oxford University Press: Oxford, UK, 2012. [Google Scholar]
- Cao, Y.; Fatemi, V.; Demir, A.; Fang, S.; Tomarken, S.L.; Luo, J.Y.; Sanchez-Yamagishi, J.D.; Watanabe, K.; Taniguchi, T.; Kaxiras, E.; et al. Correlated insulator behaviour at half-filling in magic-angle graphene superlattices. Nature 2018, 556, 80–84. [Google Scholar] [CrossRef] [PubMed]
- Szentpéteri, B.; Rickhaus, P.; Vries, F.K.d.; Márffy, A.; Fülöp, B.; Tóvári, E.; Watanabe, K.; Taniguchi, T.; Kormányos, A.; Csonka, S.; et al. Tailoring the Band Structure of Twisted Double Bilayer Graphene with Pressure. Nano Lett. 2021, 21, 8777–8784. [Google Scholar] [CrossRef] [PubMed]
- Mooij, J.H. Electrical conduction in concentrated disordered transition metal alloys. Phys. Status Solidi A 1973, 17, 521–530. [Google Scholar] [CrossRef]
- Ciuchi, S.; Sante, D.D.; Dobrosavljević, V.; Fratini, S. The origin of Mooij correlations in disordered metals. NPJ Quantum Mater. 2018, 3, 1–6. [Google Scholar] [CrossRef]
- Evers, F.; Mirlin, A.D. Anderson transitions. Rev. Mod. Phys. 2008, 80, 1355–1417. [Google Scholar] [CrossRef] [Green Version]
- Lee, P.A.; Nagaosa, N.; Wen, X.G. Doping a Mott insulator: Physics of high-temperature superconductivity. Rev. Mod. Phys. 2006, 78, 17–85. [Google Scholar] [CrossRef]
- Balents, L. Spin liquids in frustrated magnets. Nature 2010, 464, 199–208. [Google Scholar] [CrossRef]
- Sondhi, S.L.; Girvin, S.M.; Carini, J.P.; Shahar, D. Continuous quantum phase transitions. Rev. Mod. Phys. 1997, 69, 315–333. [Google Scholar] [CrossRef] [Green Version]
- Saito, Y.; Nojima, T.; Iwasa, Y. Highly crystalline 2D superconductors. Nat. Rev. Mater. 2016, 2, 74. [Google Scholar] [CrossRef] [Green Version]
- Lee, P.A.; Ramakrishnan, T.V. Disordered electronic systems. Rev. Mod. Phys. 1985, 57, 287–337. [Google Scholar] [CrossRef]
- Belitz, D.; Kirkpatrick, T.R. The Anderson-Mott transition. Rev. Mod. Phys. 1994, 66, 261–380. [Google Scholar] [CrossRef]
- Abrahams, E.; Kravchenko, S.V.; Sarachik, M.P. Metallic behavior and related phenomena in two dimensions. Rev. Mod. Phys. 2001, 73, 251. [Google Scholar] [CrossRef] [Green Version]
- Spivak, B.; Kravchenko, S.V.; Kivelson, S.A.; Gao, X.P.A. Colloquium: Transport in strongly correlated two dimensional electron fluids. Rev. Mod. Phys. 2010, 82, 1743–1766. [Google Scholar] [CrossRef] [Green Version]
- Kravchenko, S. Strongly Correlated Electrons in Two Dimensions; Jenny Stanford Publishing: New York, NY, USA, 2017. [Google Scholar]
- Melnikov, M.Y.; Shashkin, A.A.; Dolgopolov, V.T.; Zhu, A.Y.X.; Kravchenko, S.V.; Huang, S.H.; Liu, C.W. Quantum phase transition in ultrahigh mobility SiGe/Si/SiGe two-dimensional electron system. Phys. Rev. B 2019, 99, 081106. [Google Scholar] [CrossRef] [Green Version]
- Pustogow, A.; Rösslhuber, R.; Tan, Y.; Uykur, E.; Böhme, A.; Wenzel, M.; Saito, Y.; Löhle, A.; Hübner, R.; Kawamoto, A.; et al. Low-temperature dielectric anomaly arising from electronic phase separation at the Mott insulator-metal transition. NPJ Quantum Mater. 2021, 6, 9. [Google Scholar] [CrossRef]
- Li, T.; Jiang, S.; Li, L.; Zhang, Y.; Kang, K.; Zhu, J.; Watanabe, K.; Taniguchi, T.; Chowdhury, D.; Fu, L.; et al. Continuous Mott transition in semiconductor moiré superlattices. Nature 2021, 597, 350–354. [Google Scholar] [CrossRef]
- Simonian, D.; Kravchenko, S.V.; Sarachik, M.P. Reflection symmetry at a B=0 metal-insulator transition in two dimensions. Phys. Rev. B 1997, 55, R13421–R13423. [Google Scholar] [CrossRef] [Green Version]
- Dobrosavljević, V.; Abrahams, E.; Miranda, E.; Chakravarty, S. Scaling Theory of Two-Dimensional Metal-Insulator Transitions. Phys. Rev. Lett. 1997, 79, 455–458. [Google Scholar] [CrossRef] [Green Version]
- Kravchenko, S.V.; Mason, W.E.; Bowker, G.E.; Furneaux, J.E.; Pudalov, V.M.; D’iorio, M. Scaling of an anomalous metal-insulator transition in a two-dimensional system in silicon at B=0. Phys. Rev. B 1995, 51, 7038–7045. [Google Scholar] [CrossRef] [PubMed] [Green Version]
- Furukawa, T.; Miyagawa, K.; Taniguchi, H.; Kato, R.; Kanoda, K. Quantum criticality of Mott transition in organic materials. Nat. Phys. 2015, 11, 221–224. [Google Scholar] [CrossRef] [Green Version]
- Ando, T.; Fowler, A.B.; Stern, F. Electronic properties of two-dimensional systems. Rev. Mod. Phys. 1982, 54, 437–672. [Google Scholar] [CrossRef]
- Camjayi, A.; Haule, K.; Dobrosavljević, V.; Kotliar, G. Coulomb correlations and the Wigner–Mott transition. Nat. Phys. 2008, 4, 932–935. [Google Scholar] [CrossRef] [Green Version]
- Amaricci, A.; Camjayi, A.; Haule, K.; Kotliar, G.; Tanasković, D.; Dobrosavljević, V. Extended hubbard model: Charge ordering and Wigner–Mott transition. Phys. Rev. B 2010, 82, 155102. [Google Scholar] [CrossRef] [Green Version]
- Radonjić, M.M.; Tanasković, D.; Dobrosavljević, V.; Haule, K.; Kotliar, G. Wigner–Mott scaling of transport near the two-dimensional metal-insulator transition. Phys. Rev. B 2012, 85, 085133. [Google Scholar] [CrossRef] [Green Version]
- Shashkin, A.; Melnikov, M.Y.; Dolgopolov, V.; Radonjić, M.; Dobrosavljević, V.; Huang, S.H.; Liu, C.; Zhu, A.Y.; Kravchenko, S. Manifestation of strong correlations in transport in ultraclean SiGe/Si/SiGe quantum wells. Phys. Rev. B 2020, 102, 081119. [Google Scholar] [CrossRef]
- Shashkin, A.; Melnikov, M.Y.; Dolgopolov, V.; Radonjić, M.; Dobrosavljević, V.; Huang, S.H.; Liu, C.; Zhu, A.Y.; Kravchenko, S. Spin effect on the low-temperature resistivity maximum in a strongly interacting 2D electron system. Sci. Rep. 2022, 12, 5080. [Google Scholar] [CrossRef]
- Moon, B.H.; Han, G.H.; Radonjić, M.M.; Ji, H.; Dobrosavljević, V. Quantum critical scaling for finite-temperature Mott-like metal-insulator crossover in few-layered MoS 2. Phys. Rev. B 2020, 102, 245424. [Google Scholar] [CrossRef]
- Popović, D.; Fowler, A.B.; Washburn, S. Metal-Insulator Transition in Two Dimensions: Effects of Disorder and Magnetic Field. Phys. Rev. Lett. 1997, 79, 1543–1546. [Google Scholar] [CrossRef]
- Bogdanovich, S.c.v.; Popović, D. Onset of Glassy Dynamics in a Two-Dimensional Electron System in Silicon. Phys. Rev. Lett. 2002, 88, 236401. [Google Scholar] [CrossRef] [PubMed] [Green Version]
- Shashkin, A.A.; Kravchenko, S.V.; Klapwijk, T.M. Metal-Insulator Transition in a 2D Electron Gas: Equivalence of Two Approaches for Determining the Critical Point. Phys. Rev. Lett. 2001, 87, 266402. [Google Scholar] [CrossRef] [PubMed] [Green Version]
- Shashkin, A.A.; Kravchenko, S.V.; Dolgopolov, V.T.; Klapwijk, T.M. Sharp increase of the effective mass near the critical density in a metallic two-dimensional electron system. Phys. Rev. B 2002, 66, 073303. [Google Scholar] [CrossRef] [Green Version]
- Smolenski, T.; Dolgirev, P.E.; Kuhlenkamp, C.; Popert, A.; Shimazaki, Y.; Back, P.; Lu, X.; Kroner, M.; Watanabe, K.; Taniguchi, T.; et al. Signatures of Wigner crystal of electrons in a monolayer semiconductor. Nature 2021, 595, 53. [Google Scholar] [CrossRef] [PubMed]
- Dressel, M.; Tomić, S. Molecular quantum materials: Electronic phases and charge dynamics in two-dimensional organic solids. Adv. Phys. 2020, 69, 1–120. [Google Scholar] [CrossRef]
- Jerome, D. The physics of organic superconductors. Science 1991, 252, 1509–1514. [Google Scholar] [CrossRef]
- Kagawa, F.; Sato, T.; Miyagawa, K.; Kanoda, K.; Tokura, Y.; Kobayashi, K.; Kumai, R.; Murakami, Y. Charge-cluster glass in an organic conductor. Nat. Phys. 2013, 9, 419–422. [Google Scholar] [CrossRef]
- Kurosaki, Y.; Shimizu, Y.; Miyagawa, K.; Kanoda, K.; Saito, G. Mott Transition from a Spin Liquid to a Fermi Liquid in the Spin-Frustrated Organic Conductor κ-(ET)2Cu2(CN)3. Phys. Rev. Lett. 2005, 95, 177001. [Google Scholar] [CrossRef] [Green Version]
- Pustogow, A.; Bories, M.; Löhle, A.; Rösslhuber, R.; Zhukova, E.; Gorshunov, B.; Tomić, S.; Schlueter, J.A.; Hübner, R.; Hiramatsu, T.; et al. Quantum spin liquids unveil the genuine Mott state. Nat. Mater. 2018, 17, 773–777. [Google Scholar] [CrossRef]
- Vučičević, J.; Terletska, H.; Tanasković, D.; Dobrosavljević, V. Finite-temperature crossover and the quantum Widom line near the Mott transition. Phys. Rev. B 2013, 88, 075143. [Google Scholar] [CrossRef] [Green Version]
- Pustogow, A.; Saito, Y.; Löhle, A.; Sanz Alonso, M.; Kawamoto, A.; Dobrosavljević, V.; Dressel, M.; Fratini, S. Rise and fall of Landau’s quasiparticles while approaching the Mott transition. Nat. Commun. 2021, 12, 1571. [Google Scholar] [CrossRef] [PubMed]
- Pomeranchuk, I. On the thery of He3. Zh. Eksp. Teor. Fiz. 1950, 20, 919. [Google Scholar]
- Terletska, H.; Vucicevic, J.; Tanasković, D.; Dobrosavljević, V. Quantum Critical Transport near the Mott Transition. Phys. Rev. Lett. 2011, 107, 026401. [Google Scholar] [CrossRef]
- Deng, X.; Mravlje, J.; Žitko, R.; Ferrero, M.; Kotliar, G.; Georges, A. How Bad Metals Turn Good: Spectroscopic Signatures of Resilient Quasiparticles. Phys. Rev. Lett. 2013, 110, 086401. [Google Scholar] [CrossRef] [PubMed] [Green Version]
- Emery, V.J.; Kivelson, S.A. Superconductivity in Bad Metals. Phys. Rev. Lett. 1995, 74, 3253–3256. [Google Scholar] [CrossRef] [PubMed] [Green Version]
- Hussey, N.E.; Takenaka, K.; Takagi, H. Universality of the Mott–Ioffe–Regel limit in metals. Philos. Mag. 2004, 84, 2847–2864. [Google Scholar] [CrossRef] [Green Version]
- Rademaker, L. Spin-Orbit Coupling in Transition Metal Dichalcogenide Heterobilayer Flat Bands. arXiv 2021, arXiv:2111.06208. [Google Scholar] [CrossRef]
- Ghiotto, A.; Shih, E.M.; Pereira, G.S.S.G.; Rhodes, D.A.; Kim, B.; Zang, J.; Millis, A.J.; Watanabe, K.; Taniguchi, T.; Hone, J.C.; et al. Quantum Criticality in Twisted Transition Metal Dichalcogenides. Nature 2021, 597, 345. [Google Scholar] [CrossRef]
- Savary, L.; Balents, L. Quantum spin liquids: A review. Rep. Prog. Phys. 2016, 80, 016502. [Google Scholar] [CrossRef]
- Senthil, T. Theory of a continuous Mott transition in two dimensions. Phys. Rev. B 2008, 78, 045109. [Google Scholar] [CrossRef] [Green Version]
- Georges, A.; Kotliar, G.; Krauth, W.; Rozenberg, M.J. Dynamical mean-field theory of strongly correlated fermion systems and the limit of infinite dimensions. Rev. Mod. Phys. 1996, 68, 13–125. [Google Scholar] [CrossRef] [Green Version]
- Spivak, B.; Kivelson, S.A. Phases intermediate between a two-dimensional electron liquid and Wigner crystal. Phys. Rev. B 2004, 70, 155114. [Google Scholar] [CrossRef]
- Spivak, B.; Kivelson, S.A. Transport in two dimensional electronic micro-emulsions. Ann. Phys. 2006, 321, 2071–2115. [Google Scholar] [CrossRef] [Green Version]
- Baskaran, G.; Zou, Z.; Anderson, P. The resonating valence bond state and high-Tc superconductivity—A mean field theory. Solid State Commun. 1987, 63, 973–976. [Google Scholar] [CrossRef]
- Jacko, A.; Fjærestad, J.; Powell, B. A unified explanation of the Kadowaki–Woods ratio in strongly correlated metals. Nat. Phys. 2009, 5, 422–425. [Google Scholar] [CrossRef] [Green Version]
- Podolsky, D.; Paramekanti, A.; Kim, Y.B.; Senthil, T. Mott Transition between a Spin-Liquid Insulator and a Metal in Three Dimensions. Phys. Rev. Lett. 2009, 102, 186401. [Google Scholar] [CrossRef]
- Xu, Y.; Wu, X.C.; Ye, M.X.; Luo, Z.X.; Jian, C.M.; Xu, C. Metal-Insulator Transition with Charge Fractionalization. arXiv 2021, arXiv:2106.14910. [Google Scholar]
- Musser, S.; Senthil, T.; Chowdhury, D. Theory of a Continuous Bandwidth-tuned Wigner–Mott Transition. arXiv 2021, arXiv:2111.09894. [Google Scholar]
- Vučičević, J.; Tanasković, D.; Rozenberg, M.; Dobrosavljević, V. Bad-metal behavior reveals Mott quantum criticality in doped Hubbard models. Phys. Rev. Lett. 2015, 114, 246402. [Google Scholar]
- Lee, T.H.; Florens, S.; Dobrosavljević, V. Fate of spinons at the Mott point. Phys. Rev. Lett. 2016, 117, 136601. [Google Scholar]
- Brinkman, W.F.; Rice, T.M. Application of Gutzwiller’s Variational Method to the Metal-Insulator Transition. Phys. Rev. B 1970, 2, 4302–4304. [Google Scholar] [CrossRef]
- Eisenlohr, H.; Lee, S.S.B.; Vojta, M. Mott quantum criticality in the one-band Hubbard model: Dynamical mean-field theory, power-law spectra, and scaling. Phys. Rev. B 2019, 100, 155152. [Google Scholar] [CrossRef] [Green Version]
- Radonjić, M.M.; Tanasković, D.; Dobrosavljević, V.; Haule, K. Influence of disorder on incoherent transport near the Mott transition. Phys. Rev. B 2010, 81, 075118. [Google Scholar] [CrossRef] [Green Version]
- Jamei, R.; Kivelson, S.; Spivak, B. Universal Aspects of Coulomb-Frustrated Phase Separation. Phys. Rev. Lett. 2005, 94, 056805. [Google Scholar] [CrossRef] [Green Version]
- Dagotto, E. Complexity in Strongly Correlated Electronic Systems. Science 2005, 309, 257–262. [Google Scholar] [CrossRef] [Green Version]
- Urai, M.; Furukawa, T.; Seki, Y.; Miyagawa, K.; Sasaki, T.; Taniguchi, H.; Kanoda, K. Disorder unveils Mott quantum criticality behind a first-order transition in the quasi-two-dimensional organic conductor κ-(ET)2Cu[N(CN)2]Cl. Phys. Rev. B 2019, 99, 245139. [Google Scholar] [CrossRef]
- Yamamoto, R.; Furukawa, T.; Miyagawa, K.; Sasaki, T.; Kanoda, K.; Itou, T. Electronic Griffiths Phase in Disordered Mott-Transition Systems. Phys. Rev. Lett. 2020, 124, 046404. [Google Scholar] [CrossRef]
- Aharony, A.; Imry, Y.; Ma, S.k. Lowering of Dimensionality in Phase Transitions with Random Fields. Phys. Rev. Lett. 1976, 37, 1364–1367. [Google Scholar] [CrossRef]
- Kim, S.; Senthil, T.; Chowdhury, D. Continuous Mott transition in moiré semiconductors: Role of long-wavelength inhomogeneities. arXiv 2022, arXiv:2204.10865. [Google Scholar]
- Economou, E.N. Green’s Functions in Quantum Physics; Springer: Berlin, Germany, 2005. [Google Scholar]
- Efros, A.L.; Shklovskii, B.I. Critical Behaviour of Conductivity and Dielectric Constant near the Metal-Non-Metal Transition Threshold. Phys. Stat. Sol. B 1976, 76, 475. [Google Scholar] [CrossRef]
- Miranda, E.; Dobrosavljević, V. Disorder-driven non-Fermi liquid behaviour of correlated electrons. Rep. Prog. Phys. 2005, 68, 2337. [Google Scholar] [CrossRef] [Green Version]













| System | Dilute 2DEG | Mott Organics | TMD Moiré Bilayers |
|---|---|---|---|
| Transition Type | continuous? | weakly first order (at ) | continuous? |
| , | , | ||
| ? | ? | ||
| , | , | , | |
| ? | , | ||
| , |
| Theory Predictions | 2D Spinon Theory | DMFT | Percolation Theory |
|---|---|---|---|
| Transition Type | continuous | weakly first order (at ) | first order |
| , | , | remains finite | |
| weak: | strong: | no divergence | |
| ? | constant (KW law obeyed) | diverges: ; | |
Publisher’s Note: MDPI stays neutral with regard to jurisdictional claims in published maps and institutional affiliations. |
© 2022 by the authors. Licensee MDPI, Basel, Switzerland. This article is an open access article distributed under the terms and conditions of the Creative Commons Attribution (CC BY) license (https://creativecommons.org/licenses/by/4.0/).
Share and Cite
Tan, Y.; Dobrosavljević, V.; Rademaker, L. How to Recognize the Universal Aspects of Mott Criticality? Crystals 2022, 12, 932. https://doi.org/10.3390/cryst12070932
Tan Y, Dobrosavljević V, Rademaker L. How to Recognize the Universal Aspects of Mott Criticality? Crystals. 2022; 12(7):932. https://doi.org/10.3390/cryst12070932
Chicago/Turabian StyleTan, Yuting, Vladimir Dobrosavljević, and Louk Rademaker. 2022. "How to Recognize the Universal Aspects of Mott Criticality?" Crystals 12, no. 7: 932. https://doi.org/10.3390/cryst12070932
APA StyleTan, Y., Dobrosavljević, V., & Rademaker, L. (2022). How to Recognize the Universal Aspects of Mott Criticality? Crystals, 12(7), 932. https://doi.org/10.3390/cryst12070932

