Structural, Thermal and Functional Properties of a Hybrid Dicyanamide-Perovskite Solid Solution
Abstract
:1. Introduction
2. Materials and Methods
2.1. Materials and Synthesis
2.2. Powder X-ray Diffraction
2.3. Single-Crystal X-ray Diffraction
2.4. Differential Scanning Calorimetry (DSC)
2.5. Thermogravimetric Analysis (TGA)
2.6. Dielectric Measurements
2.7. Ultraviolet–Visible (U-VIS) Spectroscopy
2.8. Scanning Electron Microscopy (SEM) and Energy-Dispersive X-ray Spectroscopy (EDS)
2.9. Transmission Electron Microscopy (TEM)
3. Results and Discussion
3.1. Compositional and Structural Characterization
3.1.1. Energy-Dispersive X-ray Spectroscopy (EDS) Results
3.1.2. Powder X-ray Diffraction
3.1.3. Single-Crystal X-ray Diffraction
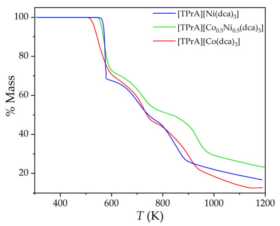
3.2. Thermal Properties
3.3. Functional Properties
3.3.1. Dielectric Properties
3.3.2. Optical Properties
3.4. Precursor Materials for CNTs
4. Conclusions
Supplementary Materials
Author Contributions
Funding
Institutional Review Board Statement
Informed Consent Statement
Data Availability Statement
Acknowledgments
Conflicts of Interest
References
- Li, W.; Wang, Z.; Deschler, F.; Gao, S.; Friend, R.H.; Cheetham, A.K. Chemically Diverse and Multifunctional Hybrid Organic-Inorganic Perovskites. Nat. Rev. Mater. 2017, 2, 16099. [Google Scholar] [CrossRef]
- Saparov, B.; Mitzi, D.B. Organic-Inorganic Perovskites: Structural Versatility for Functional Materials Design. Chem. Rev. 2016, 116, 4558–4596. [Google Scholar] [CrossRef] [PubMed]
- Jain, P.; Dalal, N.S.; Toby, B.H.; Kroto, H.W.; Cheetham, A.K. Order-Disorder Antiferroelectric Phase Transition in a Hybrid Inorganic-Organic Framework with the Perovskite Architecture. J. Am. Chem. Soc. 2008, 130, 10450–10451. [Google Scholar] [CrossRef] [PubMed]
- Jain, P.; Ramachandran, V.; Clark, R.J.; Zhou, H.D.; Toby, B.H.; Dalal, N.S.; Kroto, H.W.; Cheetham, A.K. Multiferroic Behavior Associated with an Order-Disorder Hydrogen Bonding Transition in Metal-Organic Frameworks (MOFs) with the Perovskite ABX3 Architecture. J. Am. Chem. Soc. 2009, 131, 13625–13627. [Google Scholar] [CrossRef]
- Sánchez-Andújar, M.; Presedo, S.; Yáñez-Vilar, S.; Castro-García, S.; Shamir, J.; Señarís-Rodríguez, M.A. Characterization of the Order-Disorder Dielectric Transition in the Hybrid Organic-Inorganic Perovskite-like Formate Mn(HCOO)3[(CH3)2NH2]. Inorg. Chem. 2010, 49, 1510–1516. [Google Scholar] [CrossRef] [PubMed]
- Mączka, M.; Gągor, A.; Ptak, M.; Paraguassu, W.; Da Silva, T.A.; Sieradzki, A.; Pikul, A. Phase Transitions and Coexistence of Magnetic and Electric Orders in the Methylhydrazinium Metal Formate Frameworks. Chem. Mater. 2017, 29, 2264–2275. [Google Scholar] [CrossRef]
- Hughey, K.D.; Clune, A.J.; Yokosuk, M.O.; Li, J.; Abhyankar, N.; Ding, X.; Dalal, N.S.; Xiang, H.; Smirnov, D.; Singleton, J.; et al. Structure-Property Relations in Multiferroic [(CH3)2NH2] M(HCOO)3 (M = Mn, Co, Ni). Inorg. Chem. 2018, 57, 11569–11577. [Google Scholar] [CrossRef]
- Lee, M.M.; Teuscher, J.; Miyasaka, T.; Murakami, T.N.; Snaith, H.J. Efficient Hybrid Solar Cells Based on Meso-Superstructured Organometal Halide Perovskites. Science 2012, 338, 643–647. [Google Scholar] [CrossRef] [Green Version]
- Burschka, J.; Pellet, N.; Moon, S.-J.; Humphry-Baker, R.; Gao, P.; Nazeeruddin, M.K.; Grätzel, M. Sequential Deposition as a Route to High-Performance Perovskite-Sensitized Solar Cells. Nature 2013, 499, 316–319. [Google Scholar] [CrossRef]
- Bermúdez-García, J.M.; Sánchez-Andújar, M.; Castro-García, S.; López-Beceiro, J.; Artiaga, R.; Señarís-Rodríguez, M.A. Giant Barocaloric Effect in the Ferroic Organic-Inorganic Hybrid [TPrA][Mn(dca)3] Perovskite under Easily Accessible Pressures. Nat. Commun. 2017, 8, 15715. [Google Scholar] [CrossRef] [Green Version]
- Salgado-Beceiro, J.; Nonato, A.; Silva, R.X.; García-Fernández, A.; Sánchez-Andújar, M.; Castro-García, S.; Stern-Taulats, E.; Señarís-Rodríguez, M.A.; Moya, X.; Bermúdez-García, J.M. Near-Room-Temperature Reversible Giant Barocaloric Effects in [(CH3)4N]Mn[N3]3 Hybrid Perovskite. Mater. Adv. 2020, 1, 3167–3170. [Google Scholar] [CrossRef]
- Li, J.; Barrio, M.; Dunstan, D.J.; Dixey, R.; Lou, X.; Tamarit, J.L.; Phillips, A.E.; Lloveras, P. Colossal Reversible Barocaloric Effects in Layered Hybrid Perovskite (C10H21NH3)2MnCl4 under Low Pressure Near Room Temperature. Adv. Funct. Mater. 2021, 31, 2105154. [Google Scholar] [CrossRef]
- Galasso, F.S. Structure, Properties and Preparation of Perovskite-Type Compounds; Pergamon Press: Oxford, UK, 1969; ISBN 9780080127446. [Google Scholar]
- Rao, C.N.R. Chemistry of High Temperature Superconductors; World Scientific: Singapore, 1991; ISBN 978-981-02-0805-9. [Google Scholar]
- Rao, C.N.R.; Raveau, B. Colossal Magnetoresistance, Charge Ordering and Related Properties of Manganese Oxides; World Scientific: Singapore, 1998; ISBN 978-981-02-3276-4. [Google Scholar]
- Weber, O.J.; Charles, B.; Weller, M.T. Phase Behaviour and Composition in the Formamidinium-Methylammonium Hybrid Lead Iodide Perovskite Solid Solution. J. Mater. Chem. A 2016, 4, 15375–15382. [Google Scholar] [CrossRef] [Green Version]
- Chen, S.; Shang, R.; Wang, B.W.; Wang, Z.M.; Gao, S. An A-Site Mixed-Ammonium Solid Solution Perovskite Series of [(NH2NH3)x(CH3NH3)1−x][Mn(HCOO)3] (X = 1.00–0.67). Angew. Chem. Int. Ed. 2015, 54, 11093–11096. [Google Scholar] [CrossRef]
- Drozdowski, D.; Gągor, A.; Stefańska, D.; Zarȩba, J.K.; Fedoruk, K.; Mączka, M.; Sieradzki, A. Three-Dimensional Methylhydrazinium Lead Halide Perovskites: Structural Changes and Effects on Dielectric, Linear, and Nonlinear Optical Properties Entailed by the Halide Tuning. J. Phys. Chem. C 2022, 126, 1600–1610. [Google Scholar] [CrossRef]
- Wu, Y.; Halat, D.M.; Wei, F.; Binford, T.; Seymour, I.D.; Gaultois, M.W.; Shaker, S.; Wang, J.; Grey, C.P.; Cheetham, A.K. Mixed X-Site Formate–Hypophosphite Hybrid Perovskites. Chem. A Eur. J. 2018, 24, 11309–11313. [Google Scholar] [CrossRef]
- Donlan, E.A.; Boström, H.L.B.; Geddes, H.S.; Reynolds, E.M.; Goodwin, A.L. Compositional Nanodomain Formation in Hybrid Formate Perovskites. Chem. Commun. 2017, 53, 11233–11236. [Google Scholar] [CrossRef] [Green Version]
- Li, W.; Stroppa, A.; Wang, Z.-M.; Gao, S. Hybrid Organic-Inorganic Perovskites; Wiley-VCH: Weinheim, Germany, 2020; ISBN 978-3-527-34431-4. [Google Scholar]
- Rao, C.N.R.; Gopalakrishnan, J. New Directions in Solid State Chemistry, 2nd ed.; Cambridge University Press: Cambridge, UK, 1997; ISBN 9780521499071. [Google Scholar]
- García-Ben, J.; McHugh, L.N.; Bennett, T.D.; Bermúdez-García, J.M. Dicyanamide-Perovskites at the Edge of Dense Hybrid Organic–Inorganic Materials. Coord. Chem. Rev. 2022, 455, 214337. [Google Scholar] [CrossRef]
- Bermúdez-García, J.M.; Sánchez-Andújar, M.; Yáñez-Vilar, S.; Castro-García, S.; Artiaga, R.; López-Beceiro, J.; Botana, L.; Alegría, A.; Señarís-Rodríguez, M.A. Multiple Phase and Dielectric Transitions on a Novel Multi-Sensitive [TPrA][M(dca)3] (M: Fe2+, Co2+ and Ni2+) Hybrid Inorganic-Organic Perovskite Family. J. Mater. Chem. C 2016, 4, 4889–4898. [Google Scholar] [CrossRef] [Green Version]
- Schlueter, J.A.; Manson, J.L.; Geiser, U. Structural and Magnetic Diversity in Tetraalkylammonium Salts of Anionic M[N(CN) 2] 3 (M = Mn and Ni) Three-Dimensional Coordination Polymers. Inorg. Chem. 2005, 44, 3194–3202. [Google Scholar] [CrossRef]
- Mączka, M.; Gagor, A.; Ptak, M.; Stefańska, D.; MacAlik, L.; Pikul, A.; Sieradzki, A. Structural, Phonon, Magnetic and Optical Properties of Novel Perovskite-like Frameworks of TriBuMe[M(dca)3] (TriBuMe = Tributylmethylammonium; dca = Dicyanamide; M = Mn2+, Fe2+, Co2+, Ni2+). Dalton Trans. 2019, 48, 13006–13016. [Google Scholar] [CrossRef] [PubMed]
- Zhao, M.M.; Zhou, L.; Shi, P.P.; Zheng, X.; Chen, X.G.; Gao, J.X.; Geng, F.J.; Ye, Q.; Fu, D.W. Halogen Substitution Effects on Optical and Electrical Properties in 3D Molecular Perovskites. Chem. Commun. 2018, 54, 13275–13278. [Google Scholar] [CrossRef]
- Mączka, M.; Collings, I.E.; Leite, F.F.; Paraguassu, W. Raman and Single-Crystal X-ray Diffraction Evidence of Pressure-Induced Phase Transitions in a Perovskite-like Framework of [(C3H7)4N] [Mn(N(CN)2)3]. Dalton Trans. 2019, 48, 9072–9078. [Google Scholar] [CrossRef] [PubMed]
- Bermúdez-García, J.M.; Yáñez-Vilar, S.; García-Fernández, A.; Sánchez-Andújar, M.; Castro-García, S.; Mira, J.; Moreira, J.A.; Centeno, T.A.; Señarís-Rodríguez, M.A. A Simple in Situ Synthesis of Magnetic M@CNTs by Thermolysis of the Hybrid Perovskite [TPrA][M(dca)3]. New J. Chem. 2017, 41, 3124–3133. [Google Scholar] [CrossRef] [Green Version]
- Shannon, R.D. Revised Effective Ionic Radii and Systematic Studies of Interatomie Distances in Halides and Chaleogenides. Acta Crystallogr. 1975, 32, 751–767. [Google Scholar] [CrossRef]
- White, W.B.; McCarthy, G.J.; Scheetz, B.E. Optical Spectra of Chromium, Nickel, and Cobalt-Containing Pyroxenes. Am. Mineral. 1971, 56, 72–89. [Google Scholar]
- Kumawat, N.K.; Dey, A.; Kumar, A.; Gopinathan, S.P.; Narasimhan, K.L.; Kabra, D. Band Gap Tuning of CH3NH3Pb(Br1−XClx)3 Hybrid Perovskite for Blue Electroluminescence. ACS Appl. Mater. Interfaces 2015, 7, 13119–13124. [Google Scholar] [CrossRef]










| Metal | T1 (K) | ΔH1 (J g−1) | ΔS1 (J K−1 kg−1) | T2 (K) | ΔH2 (J g−1) | ΔS2 (J K−1 kg−1) | T3 (K) | ΔH3 (J g−1) | ΔS3 (J K−1 kg−1) | TD (K) |
|---|---|---|---|---|---|---|---|---|---|---|
| Co | 246H | 4.0H | 16.5H | 301H | 3.0H | 10.1H | 341H | 4.8H | 14.0H | ~510 |
| 230C | 4.4C | 18.9C | 292C | 3.0C | 10.4C | 339C | 5.8C | 17.1C | - | |
| Co0.5Ni0.5 | 228H | 3.3H | 14.5H | 301H | 2.7H | 9.0H | 349H | 5.1H | 14.6H | ~540 |
| - | - | - | 290C | 2.6C | 9.1C | 347C | 5.1C | 14.7C | - | |
| Ni | 216H | 0.8H | 3.8H | 302H | 2.7H | 8.8H | 356H | 4.5H | 12.6H | ~560 |
| - | - | - | 291C | 2.7C | 9.3C | 355C | 4.8C | 13.5C | - |
Publisher’s Note: MDPI stays neutral with regard to jurisdictional claims in published maps and institutional affiliations. |
© 2022 by the authors. Licensee MDPI, Basel, Switzerland. This article is an open access article distributed under the terms and conditions of the Creative Commons Attribution (CC BY) license (https://creativecommons.org/licenses/by/4.0/).
Share and Cite
García-Ben, J.; Salgado-Beceiro, J.; Delgado-Ferreiro, I.; Dafonte-Rodríguez, P.; López-Beceiro, J.; Artiaga, R.; Castro-García, S.; Sánchez-Andújar, M.; Bermúdez-García, J.M.; Señarís-Rodríguez, M.A. Structural, Thermal and Functional Properties of a Hybrid Dicyanamide-Perovskite Solid Solution. Crystals 2022, 12, 860. https://doi.org/10.3390/cryst12060860
García-Ben J, Salgado-Beceiro J, Delgado-Ferreiro I, Dafonte-Rodríguez P, López-Beceiro J, Artiaga R, Castro-García S, Sánchez-Andújar M, Bermúdez-García JM, Señarís-Rodríguez MA. Structural, Thermal and Functional Properties of a Hybrid Dicyanamide-Perovskite Solid Solution. Crystals. 2022; 12(6):860. https://doi.org/10.3390/cryst12060860
Chicago/Turabian StyleGarcía-Ben, Javier, Jorge Salgado-Beceiro, Ignacio Delgado-Ferreiro, Pedro Dafonte-Rodríguez, Jorge López-Beceiro, Ramón Artiaga, Socorro Castro-García, Manuel Sánchez-Andújar, Juan Manuel Bermúdez-García, and María Antonia Señarís-Rodríguez. 2022. "Structural, Thermal and Functional Properties of a Hybrid Dicyanamide-Perovskite Solid Solution" Crystals 12, no. 6: 860. https://doi.org/10.3390/cryst12060860
APA StyleGarcía-Ben, J., Salgado-Beceiro, J., Delgado-Ferreiro, I., Dafonte-Rodríguez, P., López-Beceiro, J., Artiaga, R., Castro-García, S., Sánchez-Andújar, M., Bermúdez-García, J. M., & Señarís-Rodríguez, M. A. (2022). Structural, Thermal and Functional Properties of a Hybrid Dicyanamide-Perovskite Solid Solution. Crystals, 12(6), 860. https://doi.org/10.3390/cryst12060860

