A Novel Structured Magnetic Field Sensor Based on Photonic Crystal Fiber Filled with Magnetic Fluid
Abstract
:1. Introduction
2. Structure and Principle
3. Results
3.1. Coupling Lengths
3.2. Birefringence Properties
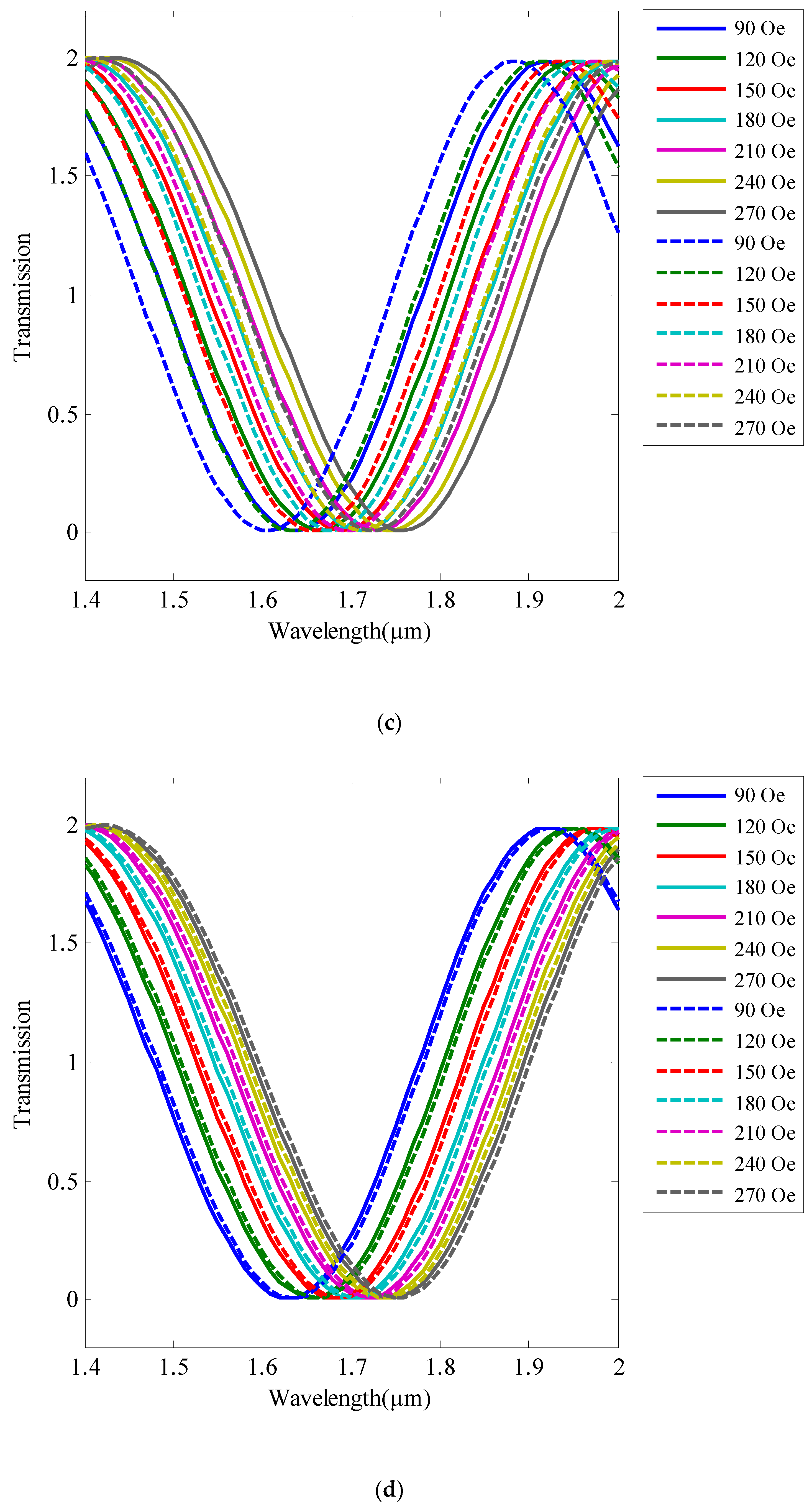
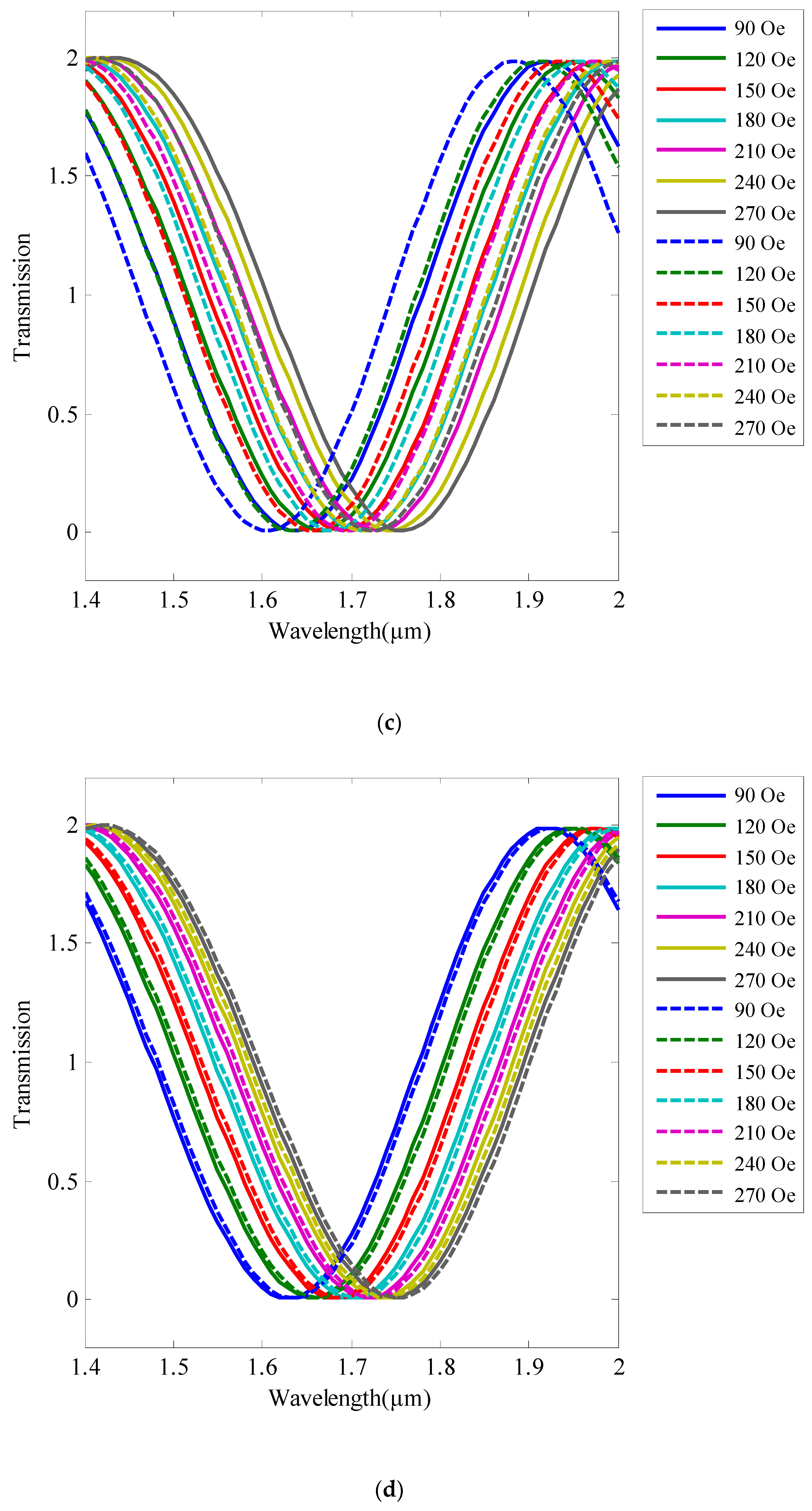
3.3. Output Optical Power, Magnetic Sensitivity, and Coupling Loss
4. Conclusions
Author Contributions
Funding
Conflicts of Interest
References
- Aly, A.H.; Hsu, H.; Yang, T.; Wu, C.; Hwangbo, C. Extraordinary optical properties of a superconducting periodic multilayer in near-zero-permittivity operation range. J. Appl. Phys. 2009, 105, 083917–083923. [Google Scholar] [CrossRef]
- Aly, A.H. Metallic and Superconducting Photonic Crystal. J. Supercond. Nov. Magn. 2008, 21, 421–425. [Google Scholar] [CrossRef]
- Aly, A.H.; Mohamed, D. BSCCO/SrTiO3 One Dimensional Superconducting Photonic Crystal for Many Applications. J. Supercond. Nov. Magn. 2015, 28, 1699–1703. [Google Scholar] [CrossRef]
- Aly, A.H.; Ghany, S.; Kamal, B.M.; Vigneswaran, D. Theoretical studies of hybrid multifunctional YaBa2Cu3O7 photonic crystals within visible and infra-red regions. Ceram. Int. 2020, 46, 365–369. [Google Scholar] [CrossRef]
- Malek, C.; Aly, A.H.; Alamri, S.; Sabra, W. Tunable PBGs with a cutoff frequency feature in Fibonacci quasi-periodic designs containing a superconductor material at THz region. Phys. Scr. 2021, 96, 105501. [Google Scholar] [CrossRef]
- Sabra, W.; Aly, A.H. A Comparative study of the effective surface impedance of an HTc superconducting thin film from visible to mid-IR region. Opt. Quantum Electron. 2021, 53, 416. [Google Scholar] [CrossRef]
- Aly, A.H.; Sayed, F.A. THz cutoff frequency and multifunction Ti2Ba2Ca2Cu3O10/GaAs photonic bandgap materials. Int. J. Mod. Phys. B 2020, 34, 2050091. [Google Scholar] [CrossRef]
- Sayed, H.; Krauss, T.F.; Aly, A.H. Versatile photonic band gap materials for water desalination. Opt. Int. J. Light Electron Opt. 2020, 219, 165160. [Google Scholar] [CrossRef]
- Zaky, Z.A.; Ahmed, A.M.; Shalaby, A.S.; Aly, A.H. Refractive index gas sensor based on the Tamm state in a one-dimensional photonic crystal: Theoretical optimisation. Sci. Rep. 2020, 10, 9736. [Google Scholar] [CrossRef]
- Aly, A.H.; Mohamed, D.; Mohaseb, M.A. Biophotonic sensor for the detection of creatinine concentration in blood serum based on 1D photonic crystal. RSC Adv. 2020, 10, 31765–31772. [Google Scholar] [CrossRef]
- Zaky, Z.A.; Aly, A.H. Modeling of a biosensor using Tamm resonance excited by graphene. Appl. Opt. 2021, 60, 1411–1419. [Google Scholar] [CrossRef] [PubMed]
- Trabelsi, Y.; Ali, N.B.; Aly, A.H.; Kanzari, M.A. Tunable high Tc superconducting photonic band gap resonators based on hybrid quasi-periodic multilayered stacks. Phys. C Supercond. Appl. 2020, 576, 1353706. [Google Scholar] [CrossRef]
- Trabelsi, Y.; Belhadj, W.; Ali, N.B.; Aly, A.H. Theoretical Study of Tunable Optical Resonators in Periodic and Quasiperiodic One-Dimensional Photonic Structures Incorporating a Nematic Liquid Crystal. Photonics 2021, 8, 150. [Google Scholar] [CrossRef]
- Aly, A.H.; Malek, C.; Elsayed, H.A. Transmittance properties of a quasi-periodic one-dimensional photonic crystals that incorporate nanocomposite material. Int. J. Mod. Phys. B 2018, 32, 1850220. [Google Scholar] [CrossRef]
- Aly, A.H.; Nagaty, A.; Khalifa, Z. Propagation of acoustic waves in 2D periodic and quasiperiodic phononic crystals. Int. J. Mod. Phys. B 2017, 31, 1750147. [Google Scholar] [CrossRef]
- Birks, T.A.; Knight, J.C.; Russell, P.S. Endlessly single-mode photonic crystal fiber. Opt. Lett. 1997, 22, 961–963. [Google Scholar] [CrossRef]
- Russell, P. Photonic crystal fibers. Science 2003, 299, 358–362. [Google Scholar] [CrossRef]
- Li, J.; Wang, R.; Wang, J.; Liu, Y. Highly birefringent photonic crystal fibers with selectively liquid-filled structure in cladding. Opt. Eng. 2011, 50, 025001. [Google Scholar] [CrossRef]
- Ortigosa-Blanch, A.; Knight, J.C.; Wadsworth, W.J.; Arriaga, J.; Mangan, B.J.; Birks, T.A.; Russell, P.S.J. Highly birefringent photonic crystal fibers. Opt. Photonics News 2001, 12, 17. [Google Scholar] [CrossRef]
- Kabir, M.A.; Hassan, M.M.; Ahmed, K.; Rajan, M.S.M.; Aly, A.H.; Hossain, M.N.; Paul, B.K. Novel spider web photonic crystal fiber for robust mode transmission applications with supporting orbital angular momentum transmission property. Opt. Quantum Electron. 2020, 52, 331. [Google Scholar] [CrossRef]
- Jegadeesan, S. Design of a Polarization Splitter Based on a Dual-core Hexagonal-shaped Photonic Crystal Fiber. Curr. Opt. Potonics 2019, 3, 304–310. [Google Scholar]
- Zhao, T.; Lou, S.; Wang, X.; Zhou, M.; Lian, Z. Ultrabroadband Polarization-Insensitive Coupler Based on Dual-Core Photonic Crystal Fiber. IEEE Photonics J. 2017, 9, 4500510. [Google Scholar] [CrossRef]
- Wang, J.; Pei, L.; Wang, J.; Ruan, Z.; Zheng, J.; Li, J.; Ning, T. Magnetic field and temperature dual-parameter sensor based on magnetic fluid materials filled photonic crystal fiber. Opt. Express 2020, 28, 1456–1471. [Google Scholar] [CrossRef] [PubMed]
- Li, P.; Zhao, J. Polarization-dependent coupling in gold-filled dual-core photonic crystal fibers. Opt. Express 2013, 21, 5232–5238. [Google Scholar] [CrossRef]
- Sun, B.; Chen, M.; Zhang, Y.; Zhou, J. Polarization-dependent coupling characteristics of metal-wire filled dual-core photonic crystal fiber. Opt. Quantum Electron. 2014, 47, 441–451. [Google Scholar] [CrossRef]
- Xu, Q.; Luo, W.; Li, K.; Copner, N.; Lin, S. Design of Polarization Splitter via Liquid and Ti Infiltrated Photonic Crystal Fiber. Crystals 2019, 9, 103. [Google Scholar] [CrossRef]
- Huang, Y.; Wang, Y.; Zhang, L.; Shao, Y.; Zhang, F.; Liao, C.; Wang, Y. Tunable Electro-Optical Modulator Based on a Photonic Crystal Fiber Selectively Filled with Liquid Crystal. J. Light. Technol. 2019, 37, 1903–1908. [Google Scholar] [CrossRef]
- Priya, K.R.; Raja, A.S.; Sundar, D.S. Design of a dual-core liquid-filled photonic crystal fiber coupler and analysis of its optical characteristics. J. Opt. Technol. 2016, 83, 569–573. [Google Scholar] [CrossRef]
- Wang, E.; Cheng, P.; Li, J.; Cheng, Q.; Zhou, X.; Jiang, H. High-sensitivity temperature and magnetic sensor based on magnetic fluid and liquid ethanol filled micro-structured optical fiber. Opt. Fiber Technol. 2020, 55, 102161. [Google Scholar] [CrossRef]
- Lou, J.; Cheng, T.; Li, S. High sensitivity photonic crystal fiber sensor based on dual-core coupling with circular lattice. Opt. Fiber Technol. 2019, 48, 110–116. [Google Scholar] [CrossRef]
- Wang, Y.; Li, S.; Li, J.; Zhang, Z.; Zhang, S.; Wu, J. High-sensitivity photonic crystal fiber refractive index sensor based on directional coupler. Opt. Fiber Technol. 2019, 49, 16–21. [Google Scholar] [CrossRef]
- Tao, Y.; Ye, H.; Ding, Y.; Ren, X.; Liu, X. Refractive Index Sensing Simulations of CsPbBr3 Quantum Dots/Gold Bilayer Coated Triangular-Lattice Photonic Crystal Fibers. Photonic Sens. 2022, 12, 220309. [Google Scholar] [CrossRef]
- Wang, S.; Liu, Y.; Wang, Z.; Han, T.; Xu, W.; Wang, Y.; Wang, S. Intermodal interferometer based on a fluid-filled two-mode photonic crystal fiber for sensing applications. Appl. Opt. 2013, 52, 3166–3171. [Google Scholar] [CrossRef] [PubMed]
- Amiri, I.S.; Paul, B.K.; Ahmed, K.; Aly, A.H.; Zakaria, R.; Yupapin, P.; Vigneswaran, D. Tri-core photonic crystal fiber based refractive index dual sensor for salinity and temperature detection. Microw. Opt. Technol. Lett. 2019, 61, 847–852. [Google Scholar] [CrossRef]
- Liu, H.; Wang, H.; Chen, C.; Zhang, W.; Zhang, S.; Wang, Q.; Ding, Y. Highly sensitive and temperature-compensated fiber bending sensing based on directional resonance coupling in photonic crystal fibers. Opt. Fiber Technol. 2019, 47, 164–171. [Google Scholar] [CrossRef]
- Liang, H.; Zhang, W.; Wang, H.; Geng, P.; Zhang, S.; Gao, S.; Yang, C.; Li, J. Fiber in-line Mach-Zehnder interferometer based on near-elliptical core photonic crystal fiber for temperature and strain sensing. Opt. Lett. 2013, 38, 4019–4022. [Google Scholar] [CrossRef]
- Paulabc, B.K.; Ahmed, K.; Dhasarathan, V.; Al-Zahrani, F.A.; Aktar, M.N.; Uddin, M.S.; Aly, A.H. Investigation of gas sensor based on differential optical absorption spectroscopy using photonic crystal fiber. Alex. Eng. J. 2020, 59, 5045–5052. [Google Scholar]
- An, G.; Li, S.; An, Y.; Wang, H.; Zhang, X. Glucose sensor realized with photonic crystal fiber-based Sagnac interferometer. Opt. Commun. 2017, 405, 143–146. [Google Scholar] [CrossRef]
- Natesan, A.; Govindasamy, K.P.; Gopal, T.R.; Dhasarathan, V.; Aly, A.H. Tricore photonic crystal fibre based refractive index sensor for glucose detection. IET Optoelectron. 2019, 13, 118–123. [Google Scholar] [CrossRef]
- Mathews, S.; Farrell, G.; Semenova, Y. Liquid crystal infiltrated photonic crystal fibers for electric field intensity measurements. Appl. Opt. 2011, 50, 2628–2635. [Google Scholar] [CrossRef]
- Gao, R.; Jiang, Y.; Abdelaziz, S. All-fiber magnetic field sensors based on magnetic fluid-filled photonic crystal fibers. Opt. Lett. 2013, 38, 1539–1541. [Google Scholar] [CrossRef] [PubMed]
- Li, J.H.; Wang, R.; Wang, J.; Zhang, B.; Xu, Z.; Wang, H. Novel magnetic field sensor based on magnetic fluids infiltrated dual-core photonic crystal fibers. Opt. Fiber Technol. 2014, 20, 100–105. [Google Scholar] [CrossRef]
- Gangwar, R.K.; Bhardwaj, V.; Singh, V.K. Magnetic field sensor based on selectively magnetic fluid infiltrated dual-core photonic crystal fiber. Opt. Eng. 2016, 55, 026111. [Google Scholar] [CrossRef]
- Chen, H.; Li, S.; Li, J.; Fan, Z. Magnetic Field Sensor Based on Magnetic Fluid Selectively Infilling Photonic Crystal Fibers. IEEE Photonics Technol. Lett. 2015, 27, 717–720. [Google Scholar] [CrossRef]
- De, M.; Singh, V.K. Magnetic fluid infiltrated dual core photonic crystal fiber based highly sensitive magnetic field sensor. Opt. Laser Technol. 2018, 106, 61–68. [Google Scholar] [CrossRef]
- Liu, Q.; Xing, L.; Wu, Z. The highly sensitive magnetic field sensor based on photonic crystal fiber filled with nano-magnetic fluid. Opt. Commun. 2019, 452, 238–246. [Google Scholar] [CrossRef]
- Guo, K.; Zhou, J.; He, J.; Liao, C.; Wang, Y.; Li, Z.; Yang, K.; Liu, S.; Wang, Y. An All-Fiber Fan-Out Device for Varying Twin-Core Fiber Types. J. Lightwave Technol. 2017, 35, 5121–5126. [Google Scholar] [CrossRef]
- Chen, Y.F.; Yang, S.Y.; Tse, W.S.; Horng, H.E.; Hong, C.Y.; Yang, H.C. Thermal effect on the field-dependent refractive index of the magnetic fluid film. Appl. Phys. Lett. 2003, 82, 3481–3483. [Google Scholar] [CrossRef]
- Wang, X.Y.; Li, S.; Cheng, T.; Li, J. Overview of photonic devices based on functional material-integrated photonic crystal fibers. J. Phys. D Appl. Phys. 2022, 55, 273001. [Google Scholar] [CrossRef]
- Saitoh, K.; Sato, Y.; Koshiba, M. Coupling characteristics of dual-core photonic crystal fiber couplers. Opt. Express 2003, 11, 3188–3195. [Google Scholar] [CrossRef]
- Huang, W.P. Coupled-mode theory for optical waveguides:an overview. J. Opt. Soc. Am. A 1994, 11, 963–983. [Google Scholar] [CrossRef]












| Publisher’s Note: MDPI stays neutral with regard to jurisdictional claims in published maps and institutional affiliations. | 
© 2022 by the authors. Licensee MDPI, Basel, Switzerland. This article is an open access article distributed under the terms and conditions of the Creative Commons Attribution (CC BY) license (https://creativecommons.org/licenses/by/4.0/).
Share and Cite
Xu, J.; Gao, Y.; You, H. A Novel Structured Magnetic Field Sensor Based on Photonic Crystal Fiber Filled with Magnetic Fluid. Crystals 2022, 12, 1383. https://doi.org/10.3390/cryst12101383
Xu J, Gao Y, You H. A Novel Structured Magnetic Field Sensor Based on Photonic Crystal Fiber Filled with Magnetic Fluid. Crystals. 2022; 12(10):1383. https://doi.org/10.3390/cryst12101383
Chicago/Turabian StyleXu, Jun, Yuanyuan Gao, and Haidong You. 2022. "A Novel Structured Magnetic Field Sensor Based on Photonic Crystal Fiber Filled with Magnetic Fluid" Crystals 12, no. 10: 1383. https://doi.org/10.3390/cryst12101383
APA StyleXu, J., Gao, Y., & You, H. (2022). A Novel Structured Magnetic Field Sensor Based on Photonic Crystal Fiber Filled with Magnetic Fluid. Crystals, 12(10), 1383. https://doi.org/10.3390/cryst12101383
 
        

 
       