Synthesis, Crystal Structures and Magnetic Properties of Trinuclear {Ni2Ln} (LnIII = Dy, Ho) and {Ni2Y} Complexes with Schiff Base Ligands
Abstract
:1. Introduction
2. Materials and Methods
2.1. Compound Preparations
2.2. Single Crystal X-ray Crystallography
3. Results
3.1. Synthesis and IR Spectroscopic Characterization
3.2. Description of the Structures
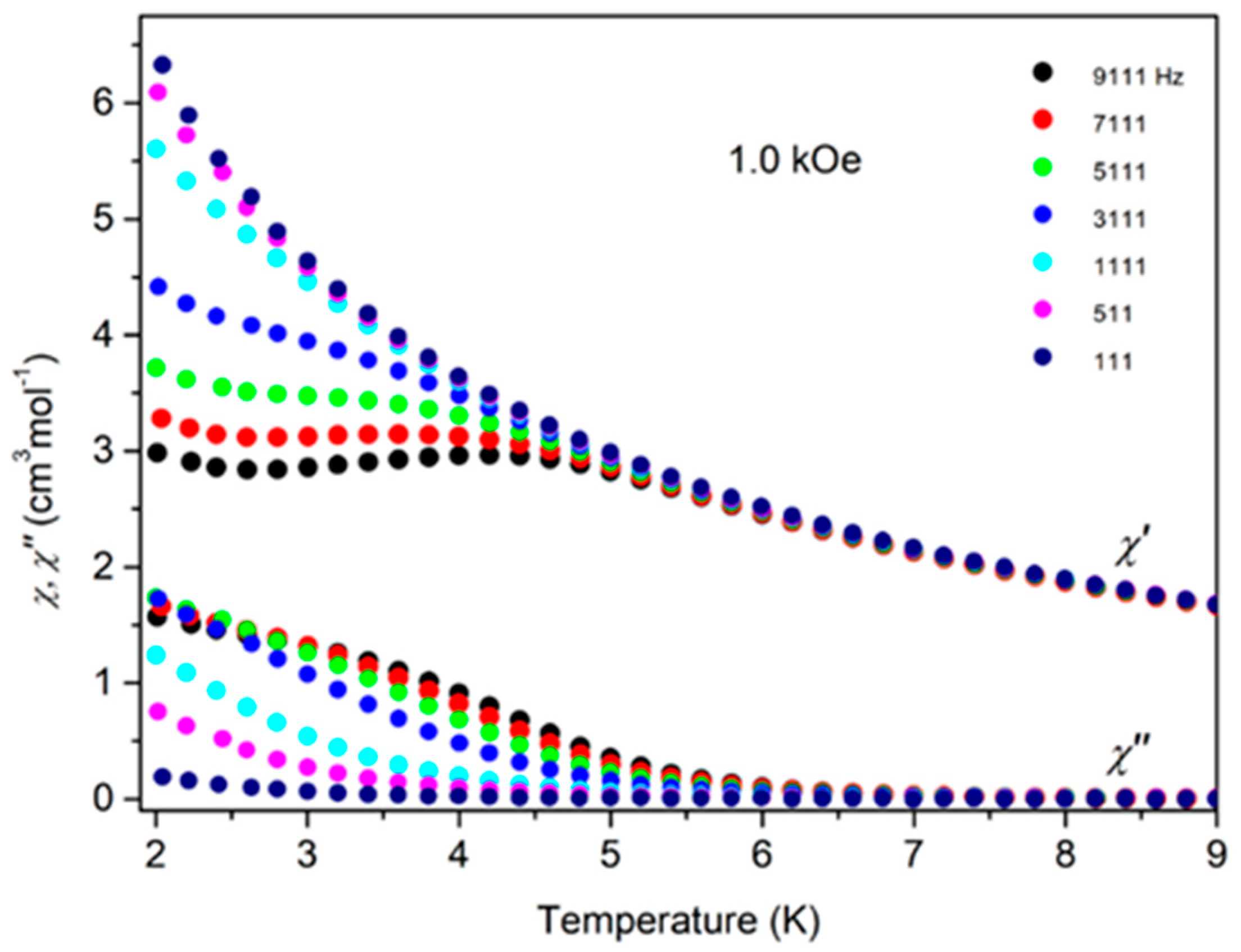
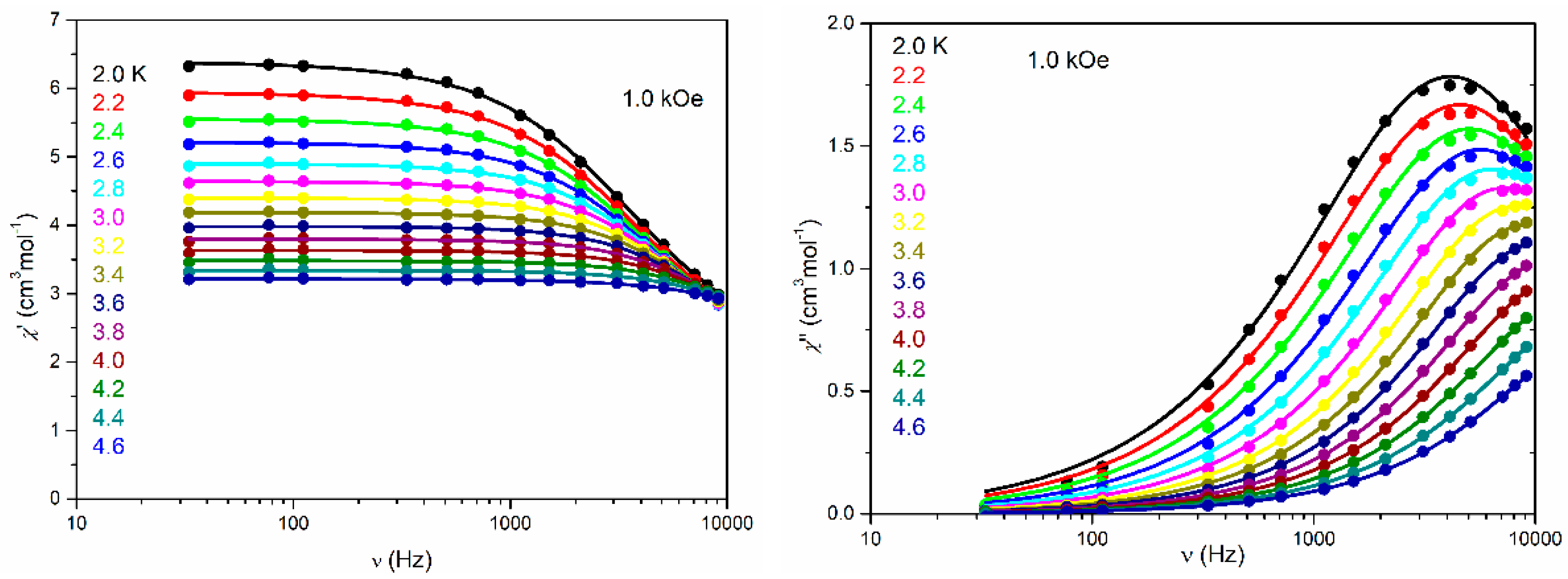
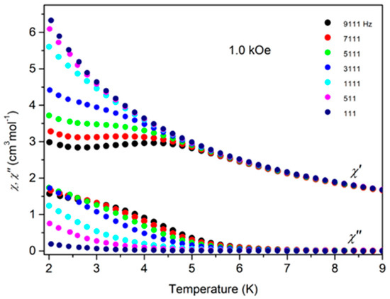
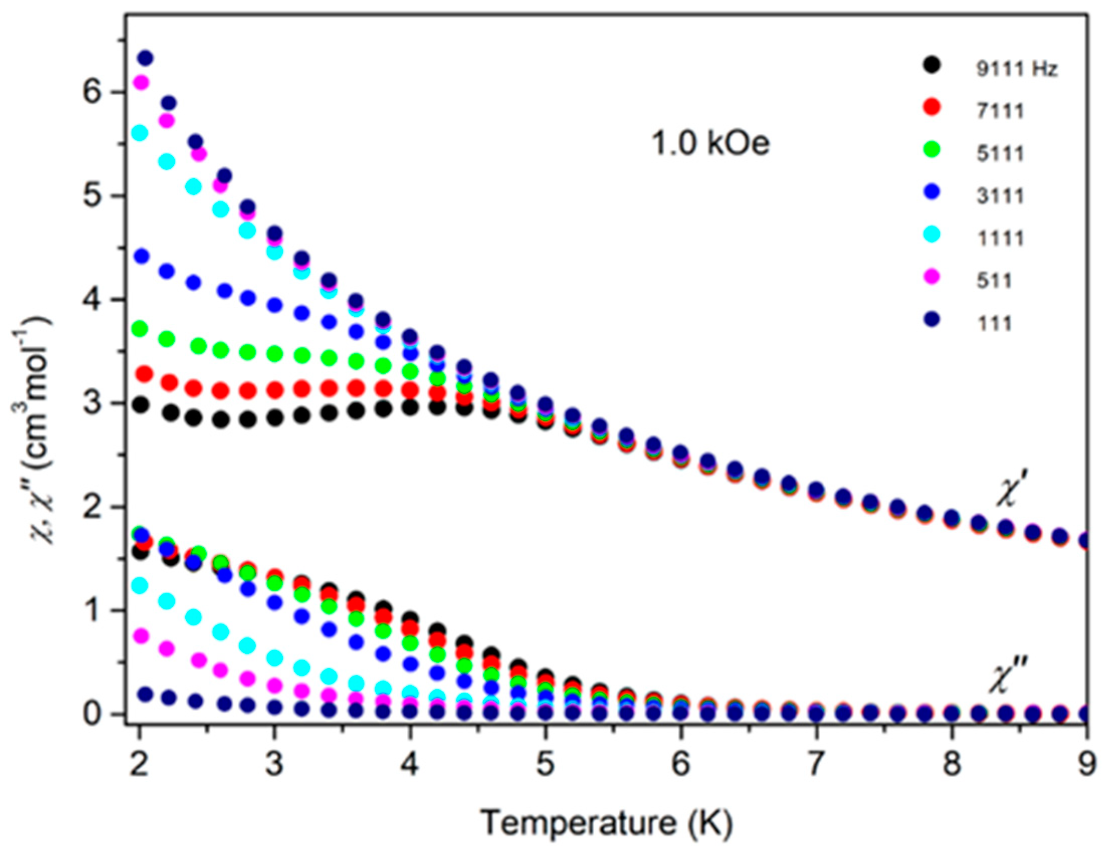
3.3. Magnetic Measurements
4. Concluding Comments
Supplementary Materials
Author Contributions
Funding
Institutional Review Board Statement
Informed Consent Statement
Data Availability Statement
Acknowledgments
Conflicts of Interest
Appendix A
References
- Vopson, M.M. Fundamentals of Multiferroic Materials and Their Possible Applications. Crit. Rev. Solid State Mater. Sci. 2015, 40, 223–250. [Google Scholar] [CrossRef] [Green Version]
- Train, C.; Gruselle, M.; Verdaguer, M. The fruitful introduction of chirality and control of absolute configurations in molecular magnets. Chem. Soc. Rev. 2011, 40, 3297–3312. [Google Scholar] [CrossRef]
- Cosquer, G.; Shen, Y.; Almeida, M.; Yamashita, M. Conducting single-molecule magnet materials. Dalton Trans. 2018, 47, 7616–7627. [Google Scholar] [CrossRef] [PubMed]
- Bhatt, P.; Mukadam, M.D.; Meena, S.S.; Mishra, S.K.; Mittal, R.; Sastry, P.U.; Mandal, B.P.; Yusuf, S.M. Room temperature ferroelectricity in one-dimensional single chain molecular magnets [{M(Δ)M(Λ)}(ox)2(phen)2]n (M = Fe and Mn). Appl. Phys. Let. 2017, 110, 102901. [Google Scholar] [CrossRef]
- Guo, P.H.; Liu, J.L.; Jia, J.H.; Wang, J.; Guo, F.-S.; Chen, Y.-C.; Lin, W.-Q.; Leng, J.-D.; Bao, D.-H.; Zhang, X.-D.; et al. Multifunctional DyIII4 cluster exhibiting white-emitting, ferroelectric and single-molecule magnet behavior. Chem. Eur. J. 2013, 19, 8769–8773. [Google Scholar] [CrossRef]
- Jia, J.-H.; Li, Q.-W.; Chen, Y.-C.; Liu, J.-L.; Tong, M.-L. Luminescent single-molecule magnets based on lanthanides: Design strategies, recent advances and magneto-luminescent studies. Coord. Chem. Rev. 2019, 378, 365–381. [Google Scholar] [CrossRef]
- Inglis, R.; White, F.; Piligkos, P.; Wernsdorfer, W.; Brechin, E.K.; Papaefstathiou, G.S. Chiral single-molecule magnets: A partial Mn(III) supertetrahedron from achiral components. Chem. Commun. 2011, 47, 3090–3092. [Google Scholar] [CrossRef] [PubMed]
- Mazarakioti, E.C.; Poole, K.M.; Cunha-Silva, L.; Christou, G.; Stamatatos, T.C. A new family of Ln₇ clusters with an ideal D3h metal-centered trigonal prismatic geometry, and SMM and photoluminescence behaviors. Dalton Trans. 2014, 43, 11456–11460. [Google Scholar] [CrossRef] [PubMed]
- Zaleski, C.M.; Depperman, E.C.; Kampf, J.W.; Kirk, M.L.; Pecoraro, V.L. Synthesis, structure, and magnetic properties of a large lanthanide-transition-metal single-molecule magnet. Angew. Chem. Int. Ed. Engl. 2004, 43, 3912–3914. [Google Scholar] [CrossRef] [PubMed]
- Zhao, L.; Wu, J.; Xue, S.; Tang, J. A linear 3d-4f tetranuclear CoIII2DyIII2 single-molecule magnet: Synthesis, structure, and magnetic properties. Chem. Asian J. 2012, 7, 2419–2423. [Google Scholar] [CrossRef]
- Peng, Y.; Kaemmerer, H.; Powell, A.K. From the {FeIII2Ln2} butterfly’s perspective: The magnetic benefits and challenges of cooperativity within 3d-4f based coordination clusters. Chem. Eur. J. 2021, 27, 15043–15065. [Google Scholar] [CrossRef]
- Peng, J.-B.; Zhang, Q.-C.; Kong, X.-J.; Ren, Y.-P.; Long, L.-S.; Huang, R.-B.; Zheng, L.-S.; Zheng, Z. A 48-metal cluster exhibiting a large magnetocaloric effect. Angew. Chem. Int. Ed. Engl. 2011, 45, 10837–10840. [Google Scholar] [CrossRef]
- Song, X.-Q.; Liu, P.-P.; Wang, C.-Y.; Liu, Y.-A.; Liu, W.-S.; Zhang, M. Three sandwich-type zinc(ii)-lanthanide(iii) clusters: Structures, luminescence and magnetic properties. RSC Adv. 2017, 7, 22692–22698. [Google Scholar] [CrossRef] [Green Version]
- Li, Q.; Qian, J.; Tian, C.; Lin, P.; He, Z.; Wang, N.; Shen, J.; Zhang, H.; Chu, T.; Yuan, D.; et al. Butterfly-like enantiomerically homochiral {CoII6CoIII4} clusters exhibiting both slow magnetic relaxation and ferroelectric property. Dalton Trans. 2014, 43, 3238–3243. [Google Scholar] [CrossRef] [PubMed]
- Long, J.; Rouquette, J.; Thibaud, J.-M.; Ferreira, R.A.S.; Carlos, L.D.; Donnadieu, B.; Vieru, V.; Chibotaru, L.F.; Konczewicz, L.; Haines, J.; et al. A high-temperature molecular ferroelectric Zn/Dy complex exhibiting single-ion-magnet behavior and lanthanide luminescence. Angew. Chem. Int. Ed. Engl. 2015, 54, 2236–2240. [Google Scholar] [CrossRef]
- Chandrasekhar, V.; Pandian, B.M.; Azhakar, R.; Vittal, J.J.; Clérac, R. Linear trinuclear mixed-metal CoII-GdIII-CoII single-molecule magnet: [L2Co2Gd][NO3].2CHCl3 (LH3 =(S)P[N(Me)N=CH-C6H3-2-OH-3-OMe]3). Inorg. Chem. 2007, 46, 5140–5142. [Google Scholar] [CrossRef] [PubMed] [Green Version]
- Jesudas, J.J.; Pham, C.T.; Hagenbach, A.; Abram, U.; Nguyen, H.H. Trinuclear CoIILnIIICoII complexes (Ln = La, Ce, Nd, Sm, Gd, Dy, Er, and Yb) with 2,6-dipicolinoylbis(N,N-diethylthiourea): Synthesis, structures, and magnetism. Inorg. Chem. 2020, 59, 386–395. [Google Scholar] [CrossRef]
- Raptopoulou, C.P. Heterometallic complexes containing the NiII-LnIII-NiII moiety- structures and magnetic properties. Crystals 2020, 10, 1117. [Google Scholar] [CrossRef]
- Georgopoulou, A.N.; Pissas, M.; Psycharis, V.; Sanakis, Y.; Raptopoulou, C.P. Trinuclear NiII-LnIII-NiII complexes with Schiff base ligands: Synthesis, structure, and magnetic rroperties. Molecules 2020, 25, 2280. [Google Scholar] [CrossRef]
- Chandrasekhar, V.; Pandian, B.M.; Boomishankar, R.; Steiner, A.; Vittal, J.J.; Houri, A.; Clérac, R. Trinuclear heterobimetallic Ni2Ln complexes [L2Ni2Ln][ClO4] (Ln = La, Ce, Pr, Nd, Sm, Eu, Gd, Tb, Dy, Ho, and Er; LH3 = (S)P[N(Me)N=CH-C6H3-2-OH-3-OMe]3): From simple paramagnetic complexes to single-molecule magnet behavior. Inorg. Chem. 2008, 47, 4918–4929. [Google Scholar] [CrossRef] [PubMed]
- Yao, M.-X.; Zhu, Z.-X.; Lu, X.-Y.; Deng, X.-W.; Jing, S. Rare single-molecule magnets with six-coordinate LnIII ions exhibiting a trigonal antiprism configuration. Dalton Trans. 2016, 45, 10689–10695. [Google Scholar] [CrossRef] [PubMed]
- Wen, H.-R.; Zhang, J.-L.; Liang, F.-Y.; Yang, K.; Liu, S.-J.; Liao, J.-S.; Liu, C.-M. TbIII/3d-TbIII clusters derived from a 1,4,7-triazacyclononane-based hexadentate ligand with field-induced slow magnetic relaxation and oxygen-sensitive luminescence. New J. Chem. 2019, 43, 4067–4074. [Google Scholar] [CrossRef]
- Upadhyay, A.; Das, C.; Langley, S.K.; Murray, K.S.; Srivastava, A.K.; Shanmugam, M. Heteronuclear Ni(II)-Ln(III) (Ln = La, Pr, Tb, Dy) complexes: Synthesis and single-molecule magnet behaviour. Dalton Trans. 2016, 45, 3616–3626. [Google Scholar] [CrossRef] [PubMed]
- Upadhyay, A.; Komatireddy, N.; Ghirri, A.; Tuna, F.; Langley, S.K.; Srivastava, A.K.; Sañudo, E.C.; Moubaraki, B.; Murray, K.S.; McInnes, E.J.L.; et al. Synthesis and magnetothermal properties of a ferromagnetically coupled NiII-GdIII-NiII cluster. Dalton Trans. 2014, 43, 259–266. [Google Scholar] [CrossRef] [PubMed]
- Costes, J.-P.; Yamaguchi, T.; Kojima, M.; Vendier, L. Experimental evidence for the participation of 5d GdIII orbitals in the magnetic interaction in Ni-Gd complexes. Inorg. Chem. 2009, 48, 5555–5561. [Google Scholar] [CrossRef]
- Comba, P.; Enders, M.; Großhauser, M.; Hiller, M.; Müller, D.; Wadepohl, H. Solution and solid state structures and magnetism of a series of linear trinuclear compounds with a hexacoordinate LnIII and two terminal NiII centers. Dalton Trans. 2017, 46, 138–149. [Google Scholar] [CrossRef] [PubMed]
- Raptopoulou, C.P.; Sanakis, Y.; Psycharis, V.; Pissas, M. Zig-zag [MnIII4] clusters from polydentate Schiff base ligands. Polyhedron 2013, 64, 181–188. [Google Scholar] [CrossRef]
- Rigaku/MSC. CrystalClear; Rigaku/MSC Inc.: The Woodlands, TX, USA, 2005. [Google Scholar]
- Sheldrick, G.M. A short history of SHELX. Acta Cryst. 2008, A64, 112–122. [Google Scholar]
- Sheldrick, G.M. Crystal structure refinement with SHELXL. Acta Cryst. 2015, C71, 3–8. [Google Scholar]
- Impact, C. DIAMOND—Crystal and Molecular Structure Visualization. Ver. 3.1. Cryst. Impact 2014. [Google Scholar]
- Mounika, K.; Anupama, B.; Pragathi, J.; Gyanakumari, C. Synthesis, characterization and biological activity of a Schiff base derived from 3-ethoxy salicylaldehyde and 2-amino benzoic acid and its transition metal complexes. J. Sci. Res. 2010, 2, 513–524. [Google Scholar] [CrossRef] [Green Version]
- Deacon, G.B.; Phillips, R.J. Relationships between the carbon-oxygen stretching frequencies of carboxylato complexes and the type of carboxylate coordination. Coord. Chem. Rev. 1980, 33, 227–250. [Google Scholar] [CrossRef]
- Patil, K.C.; Chandrashekhar, G.V.; George, M.V.; Rao, C.N.R. Infrared spectra and thermal decompositions of metal acetates and dicarboxylates. Can. J. Chem. 1968, 46, 257–265. [Google Scholar] [CrossRef] [Green Version]
- Ribot, F.; Toledano, P.; Sanchez, C. X-Ray and spectroscopic investigations of the structure of yttrium acetate tetrahydrate. Inorg. Chim. Acta 1991, 185, 239–245. [Google Scholar] [CrossRef]
- Nakamoto, K. Infrared and Raman Spectra of Inorganic and Coordination Compounds, 4th ed.; Wiley: New York, NY, USA, 1986. [Google Scholar]
- Llunell, M.; Casanova, D.; Girera, J.; Alemany, P.; Alvarez, S. SHAPE, version 2.0; Universitat de Barcelona: Barcelona, Spain, 2010. [Google Scholar]
- Pissas, M.; Psycharis, V.; Raptopoulou, C.; Sanakis, Y. Unique Magnetic Properties in Single-Molecule Magnets: Molecular Architectures and Building Blocks for Spintronics; Wiley-VCH Verlag GmbH & Co.: Weinheim, Germany, 2019. [Google Scholar]
- Car, P.-E.; Favre, A.; Caneschi, A.; Sessoli, R. Single molecule magnet behaviour in a rare trinuclear {CrIIIDyIII2} methoxo-bridged complex. Dalton Trans. 2015, 44, 15769–15773. [Google Scholar] [CrossRef] [PubMed]
- Then, P.L.; Takehara, C.; Kataoka, Y.; Nakano, M.; Yamamura, T.; Kaziwara, T. Structural switching from paramagnetic to single-molecule magnet behaviour of LnZn2 trinuclear complexes. Dalton Trans. 2015, 44, 18038–18048. [Google Scholar] [CrossRef] [PubMed]
- Mayans, J.; Saetz, Q.; Font-Bardia, M.; Escuer, A. Enhancement of magnetic relaxation properties with 3d diamagnetic cations in [ZnIILnIII] and [NiIILnIII], LnIII = Kramers lanthanides. Dalton Trans. 2019, 48, 641–652. [Google Scholar] [CrossRef]
- Xi, L.; Sun, J.; Wang, K.; Lu, J.; Jing, P.; Li, L. Slow magnetic relaxation in CoII-LnIII heterodinuclear complexes achieved through a functionalized nitronyl nitroxide biradical. Dalton Trans. 2020, 49, 1089–1096. [Google Scholar] [CrossRef]
- Abragam, A.; Bleaney, B. Electron Paramagnetic Resonance of Transition Ions; Dover Publ.: New York, NY, USA, 1986. [Google Scholar]
- Chilton, N.F.; Anderson, R.P.; Turner, L.D.; Soncini, A.; Murray, K.S. PHI: A powerful new program for the analysis of anisotropic monomeric and exchange-coupled polynuclear d- and f-block complexes. J. Comput. Chem. 2013, 34, 1164–1175. [Google Scholar] [CrossRef]










| 1∙3MeOH∙H2O | 2∙2EtOH∙3H2O | 3∙3MeOH∙H2O | |
|---|---|---|---|
| Formula | C48H62DyN5Ni2O23·3(CH4O)·(H2O) | C48H62HoN5Ni2O23·2(C2H6O)·3(H2O) | C48H62N5Ni2O23Y·3(CH4O)·(H2O) |
| F.w. | 1471.08 | 1505.56 | 1397.49 |
| Space group | Pna21 | Pna21 | Pna21 |
| a (Å) | 26.4216(5) | 26.4211(5) | 26.4052(5) |
| b (Å) | 10.1714(2) | 10.1651(2) | 10.1074(2) |
| c (Å) | 22.9439(4) | 22.8249(4) | 22.8177(4) |
| V (Å3) | 6166.1(2) | 6130.2(2) | 6089.8(2) |
| Z | 4 | 4 | 4 |
| T (°C) | −113 | −113 | −113 |
| Radiation | Cu Kα 1.54178 | Cu Kα 1.54178 | Cu Kα 1.54178 |
| ρcalcd, g cm−3 | 1.585 | 1.631 | 1.524 |
| μ, mm−1 | 7.845 | 3.806 | 2.728 |
| Reflections with I > 2σ(I) | 9688 | 9548 | 9392 |
| R1 a | 0.0457 | 0.0319 | 0.0611 |
| wR2 a | 0.1251 | 0.0793 | 0.1651 |
| 1∙3MeOH∙H2O | 2∙2EtOH∙3H2O | 3∙3MeOH∙H2O | |
| Ln(1)-O(11) | 2.312(4) | 2.293(3) | 2.298(6) |
| Ln(1)-O(31) | 2.306(5) | 2.300(4) | 2.297(6) |
| Ln(1)-O(21) | 2.354(5) | 2.347(3) | 2.341(6) |
| Ln(1)-O(1) | 2.355(5) | 2.330(4) | 2.341(6) |
| Ln(1)-O(41) | 2.429(5) | 2.421(4) | 2.419(6) |
| Ln(1)-O(44) | 2.435(5) | 2.416(3) | 2.425(6) |
| Ln(1)-O(43) | 2.454(5) | 2.446(4) | 2.443(6) |
| Ln(1)-O(42) | 2.468(5) | 2.443(4) | 2.446(6) |
| Ni(1)-N(1) | 2.033(6) | 2.023(4) | 2.038(8) |
| Ni(1)-N(11) | 2.048(7) | 2.044(4) | 2.041(8) |
| Ni(1)-O(11) | 2.056(5) | 2.049(4) | 2.050(7) |
| Ni(1)-O(1) | 2.053(5) | 2.053(4) | 2.045(6) |
| Ni(1)-O(2) | 2.079(6) | 2.075(4) | 2.076(7) |
| Ni(1)-O(12) | 2.085(6) | 2.090(4) | 2.116(7) |
| Ni(2)-N(31) | 2.037(7) | 2.050(4) | 2.038(8) |
| Ni(2)-N(21) | 2.035(6) | 2.037(4) | 2.024(8) |
| Ni(2)-O(21) | 2.057(5) | 2.053(4) | 2.055(6) |
| Ni(2)-O(31) | 2.062(5) | 2.063(4) | 2.062(7) |
| Ni(2)-O(32) | 2.082(5) | 2.076(4) | 2.069(7) |
| Ni(2)-O(22) | 2.091(6) | 2.091(4) | 2.086(8) |
| Interaction | D···A (Å) | H···A (Å) | D-H···A (°) | Symmetry Operation |
|---|---|---|---|---|
| 1∙3MeOH∙H2O | ||||
| Intramolecular | ||||
| O(4)-H(4O)···O(42) | 2.695 | 1.879 | 163.5 | x, y, z |
| O(13)-H(13O)···O(44) | 2.672 | 1.837 | 172.4 | x, y, z |
| O(22)-H(22O)···O(52) | 2.947 | 2.154 | 157.2 | x, y, z |
| O(23)-H(23O)···O(43) | 2.666 | 1.921 | 147.2 | x, y, z |
| O(34)-H(34O)···O(41) | 2.670 | 1891 | 153.1 | x, y, z |
| Intermolecular among complexes | ||||
| O(3)-H(3O)···O(33) | 2.703 | 1.911 | 156.7 | 0.5 − x, −0.5 + y, −0.5 + z |
| O(14)-H(14O)···O(34) | 2.672 | 1.836 | 173.6 | 0.5 + x, 2.5 − y, z |
| O(24)···O(14) | 2.919 | 1 − x, 2 − y, 0.5 + z | ||
| O(33)-H(33O)···O(13) | 2.678 | 1.715 | 161.0 | −0.5 + x, 2.5 − y, z |
| Intermolecular among complexes and lattice solvents | ||||
| O(12)-H(12O)···O(1 m) | 2.731 | 2.242 | 117.2 | 0.5 − x, 0.5 + y, −0.5 + z |
| O(2)-H(2O)···O(1 w) | 2.618 | 1.858 | 149.7 | 0.5 − x, 1.5 − y, z |
| O(32)-H(32O)···O(2 m) | 2.627 | 1.797 | 169.5 | x, 1 + y, z |
| 2∙2EtOH∙3H2O | ||||
| Intramolecular | ||||
| O(4)-H(4O)···O(42) | 2.712 | 1.882 | 169.6 | x, y, z |
| O(13)-H(13O)···O(44) | 2.682 | 1.849 | 170.9 | x, y, z |
| O(22)-H(22O)···O(53) | 2.855 | 2.061 | 157.5 | x, y, z |
| O(23)-H(23O)···O(43) | 2.685 | 1.850 | 172.0 | x, y, z |
| O(34)-H(34O)···O(41) | 2.669 | 1.837 | 170.4 | x, y, z |
| Intermolecular among complexes | ||||
| O(3)-H(3O)···O(33) | 2.726 | 1.895 | 169.6 | 0.5 − x, −0.5 + y, −0.5 + z |
| O(14)-H(14O)···O(34) | 2.661 | 1.823 | 174.7 | 0.5 + x, 2.5 − y, z |
| O(24)-H(24O)···O(14) | 2.805 | 1.979 | 167.6 | 1 − x, 2 − -y, 0.5 + z |
| O(33)-H(33O)···O(13) | 2.679 | 1.841 | 176.0 | −0.5 + x, 2.5 − y, z |
| Intermolecular among complexes and lattice solvents | ||||
| O(12)-H(12O)···O(2 e) | 2.649 | 1.835 | 162.6 | 0.5 − x, 0.5 + y, −0.5 + z |
| O(2)-H(2O)···O(1 e) | 2.623 | 1.812 | 161.7 | 0.5 + x, 1.5 − y, z |
| O(32)-H(32O)···O(1 w) | 2.657 | 1.833 | 166.3 | x, 1 + y, z |
| O(1e)-H(1Oe)···O(2 w) | 2.651 | 1.843 | 160.9 | 0.5 − x, 0.5 + y, −0.5 + z |
| O(2e)-H(2Oe)···O(23) | 2.774 | 1.951 | 166.2 | −0.5 + x, 1.5 − y, z |
| 3∙3MeOH∙H2O | ||||
| Intramolecular | ||||
| O(4)-H(4O)···O(42) | 2.685 | 1.854 | 170.1 | x, y, z |
| O(13)-H(13O)···O(44) | 2.672 | 1.865 | 160.8 | x, y, z |
| O(22)-H(22O)···O(52) | 2.994 | 2.199 | 157.8 | x, y, z |
| O(23)-H(23O)···O(43) | 2.686 | 1.894 | 156.5 | x, y, z |
| O(34)-H(34O)···O(41) | 2.657 | 1.872 | 154.8 | x, y, z |
| Intermolecular among complexes | ||||
| O(3)-H(3O)···O(33) | 2.710 | 1.871 | 177.1 | 0.5 − x, −0.5 + y, −0.5 + z |
| O(14)···O(34) | 2.645 | 0.5 + x, 2.5 − y, z | ||
| O(24)···O(14) | 2.927 | 1 − x, 2 − y, 0.5 + z | ||
| O(33)-H(33O)···O(13) | 2.671 | 1.926 | 147.2 | −0.5 + x, 2.5 − y, z |
| Intermolecular among complexes and lattice solvents | ||||
| O(12)-H(12O)···O(2) | 3.060 | 2.593 | 116.4 | x, y, z |
| O(2)-H(2O)···O(1 w) | 2.568 | 1.771 | 157.6 | 0.5 + x, 1.5 − y, z |
| O(32)-H(32O)···O(2 m) | 2.690 | 1.865 | 167.3 | x, 1 + y, z |
Publisher’s Note: MDPI stays neutral with regard to jurisdictional claims in published maps and institutional affiliations. |
© 2022 by the authors. Licensee MDPI, Basel, Switzerland. This article is an open access article distributed under the terms and conditions of the Creative Commons Attribution (CC BY) license (https://creativecommons.org/licenses/by/4.0/).
Share and Cite
Dermitzaki, D.; Panagiotopoulou, A.; Pissas, M.; Sanakis, Y.; Psycharis, V.; Raptopoulou, C.P. Synthesis, Crystal Structures and Magnetic Properties of Trinuclear {Ni2Ln} (LnIII = Dy, Ho) and {Ni2Y} Complexes with Schiff Base Ligands. Crystals 2022, 12, 95. https://doi.org/10.3390/cryst12010095
Dermitzaki D, Panagiotopoulou A, Pissas M, Sanakis Y, Psycharis V, Raptopoulou CP. Synthesis, Crystal Structures and Magnetic Properties of Trinuclear {Ni2Ln} (LnIII = Dy, Ho) and {Ni2Y} Complexes with Schiff Base Ligands. Crystals. 2022; 12(1):95. https://doi.org/10.3390/cryst12010095
Chicago/Turabian StyleDermitzaki, Despina, Angeliki Panagiotopoulou, Michael Pissas, Yiannis Sanakis, Vassilis Psycharis, and Catherine P. Raptopoulou. 2022. "Synthesis, Crystal Structures and Magnetic Properties of Trinuclear {Ni2Ln} (LnIII = Dy, Ho) and {Ni2Y} Complexes with Schiff Base Ligands" Crystals 12, no. 1: 95. https://doi.org/10.3390/cryst12010095
APA StyleDermitzaki, D., Panagiotopoulou, A., Pissas, M., Sanakis, Y., Psycharis, V., & Raptopoulou, C. P. (2022). Synthesis, Crystal Structures and Magnetic Properties of Trinuclear {Ni2Ln} (LnIII = Dy, Ho) and {Ni2Y} Complexes with Schiff Base Ligands. Crystals, 12(1), 95. https://doi.org/10.3390/cryst12010095

