Microwave Roasting Characteristics of Cuprous Chloride Residue from Zinc Hydrometallurgy
Abstract
:1. Introduction
2. Materials and Methods
2.1. Materials
2.2. Experimental Device
2.2.1. Permittivity Measurement System
2.2.2. Microwave Reactor
2.3. Data Analysis
2.3.1. Roasting Kinetics
2.3.2. Complex Permittivity
3. Results and Discussion
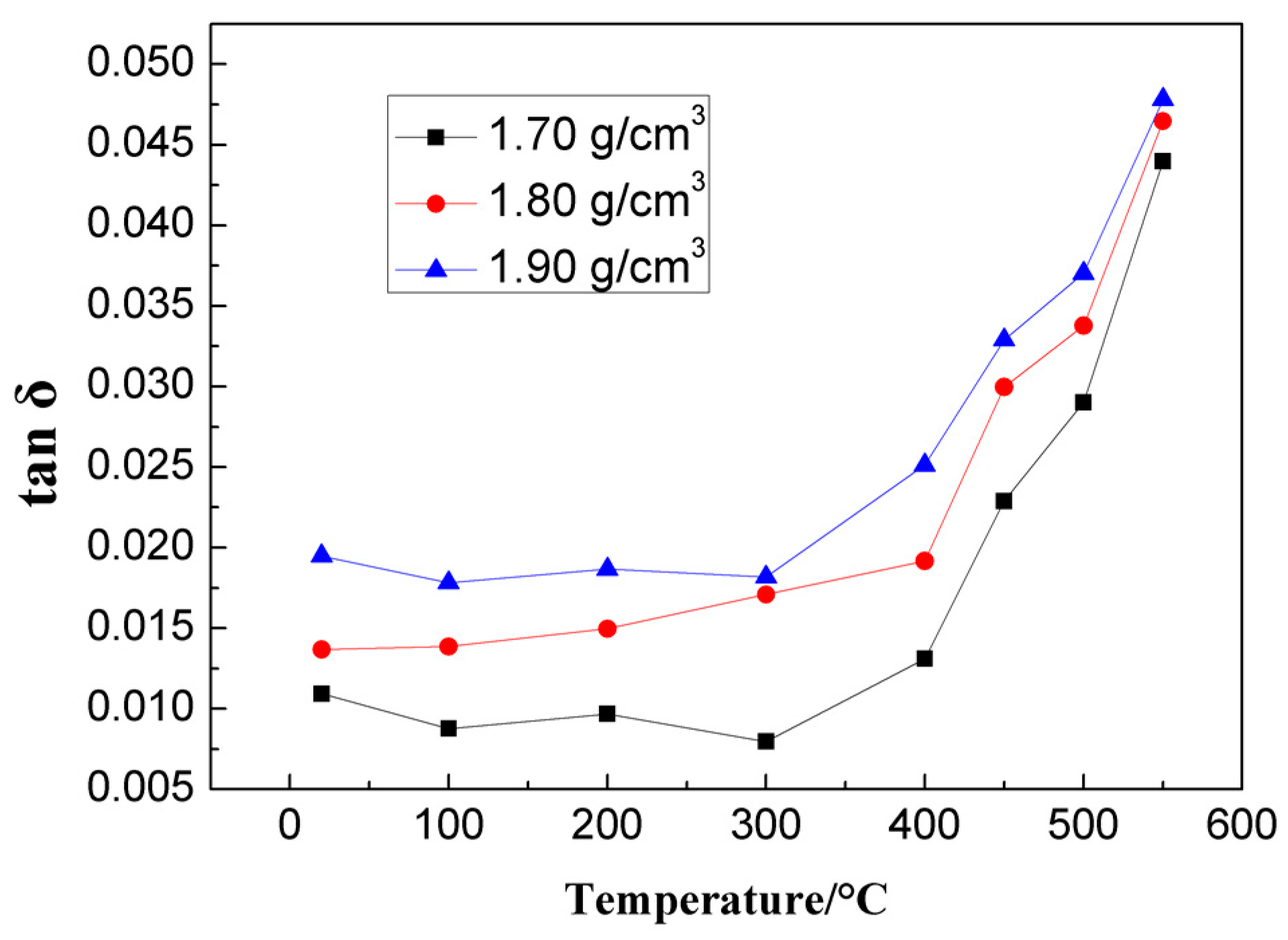
3.1. Measurement of Permittivity
3.2. Microwave Heating Curves
3.3. TG-DTA Analysis
3.4. Microwave Roasting
3.5. XRD Analyses
3.6. SEM-EDS
3.7. Tail Gas Composition Analysis
3.8. Analysis of Microwave-Enhanced Dechlorination Process
4. Conclusions
Author Contributions
Funding
Institutional Review Board Statement
Informed Consent Statement
Data Availability Statement
Conflicts of Interest
References
- Liu, W.; Zhang, R.; Liu, Z.; Li, C. Removal of chloride from simulated zinc sulfate electrolyte by ozone oxidation. Hydrometallurgy 2016, 160, 147–151. [Google Scholar] [CrossRef]
- Zhang, X.; Hu, Y.; Xia, Z.; Zhao, X.; Zhou, Z.; Ye, L. Green and circular method for chloride separation from acid wastewater: Application in zinc smelter. Sep. Purif. Technol. 2022, 283, 120221. [Google Scholar] [CrossRef]
- Guo, Z.; Ju, S.; Peng, J.; Zhang, L.; Lei, T. Optimization of microwave roasting for dechlorination of CuCl residue under oxygen-enriched condition. High Temp. Mater. Process. 2016, 35, 135–143. [Google Scholar]
- Chu, G.; Wang, L.; Liu, W.; Zhang, G.; Luo, D.; Wang, L.; Liang, B.; Li, C. Indirect mineral carbonation of chlorinated tailing derived from Ti-bearing blast-furnace slag coupled with simultaneous dechlorination and recovery of multiple value-added products. Greenh. Gases 2019, 9, 52–66. [Google Scholar] [CrossRef] [Green Version]
- Lu, S.; Sun, S.; Lv, J.; Tu, G.; Srinivasakannan, C.; Ju, S.; Peng, J. Optimization of microwave roasting for dechlorination of CuCl residue from zinc hydrometallurgy. J. Microw. Power Energy 2014, 48, 61–70. [Google Scholar] [CrossRef]
- Raveendran, A.; Sebastian, M.T.; Raman, S. Applications of microwave materials: A review. J. Electron. Mater. 2019, 48, 2601–2634. [Google Scholar] [CrossRef] [Green Version]
- Fu, Y.; He, Y.; Yang, Y.; Qu, L.; Zhou, R. Microwave reduction enhanced leaching of valuable metals from spent lithium-ion batteries. J. Alloys Compd. 2020, 832, 154920. [Google Scholar] [CrossRef]
- Galeazzi Isasmendi, R.; Gonzalez Panzo, I.J.; Morales-Ruiz, C.; Romano Trujillo, R.; Rosendo, E.; García, I.; Coyopol, A.; García-Salgado, G.; Silva-González, R.; Oliva Arias, I.; et al. Copper oxide films deposited by microwave assisted alkaline chemical bath. Crystals 2021, 11, 968. [Google Scholar] [CrossRef]
- Haque, K.E. Microwave energy for mineral treatment processes—A brief review. Int. J. Miner. Process. 1999, 57, 1–24. [Google Scholar] [CrossRef]
- Liu, C.; Peng, J.; Li, Z.; Zhang, L.; Hu, T. Removal of F and Cl from zinc oxide fume from fuming furnace by microwave roasting. Arab. J. Sci. Eng. 2017, 42, 1413–1418. [Google Scholar]
- Lu, S.D.; Xia, Y.; Huang, C.Y.; Wu, G.Q.; Peng, J.H.; Ju, S.H.; Zhang, L.B. Removing chlorine of CuCl residue from zinc hydrometallurgy by microwave roasting. J. Cent. South Univ. 2014, 21, 1290–1295. [Google Scholar] [CrossRef]
- Lu, S.; Ju, S.; Peng, J.; Zhu, X.; Srinivasakannan, C.; Zhang, L.; Tu, G. Dechlorination mechanism of cucl residue from zinc hydrometallurgy by microwave roasting. High Temp. Mater. Process. 2015, 34, 147–154. [Google Scholar] [CrossRef]
- He, G.; Li, S.; Yang, K.; Liu, J.; Liu, P.; Zhang, L.; Peng, J. Dielectric Properties of Zinc Sulfide Concentrate during the Roasting at Microwave Frequencies. Minerals 2017, 7, 31. [Google Scholar] [CrossRef] [Green Version]
- Le, T.; Ju, S.; Lu, L.; Koppala, S.; Peng, J. Microwave drying of CuCl residue from hydrometallurgical zinc recovery process. Dry. Technol. 2019, 37, 47–58. [Google Scholar] [CrossRef]
- Ma, A.Y.; Zheng, X.M.; Peng, J.H.; Zhang, L.B.; Chandrasekar, S.; Li, J.; Wei, C.L. Dechlorination of zinc oxide dust derived from zinc leaching residue by microwave roasting in a rotary kiln. Braz. J. Chem. Eng. 2017, 34, 193–202. [Google Scholar]
- Zhang, L.B.; Ma, A.Y.; Liu, C.H.; Qu, W.W.; Peng, J.H.; Luo, Y.G.; Zuo, Y.G. Dielectric properties and temperature increase characteristics of zinc oxide dust from fuming furnace. Trans. Nonferrous Met. Soc. 2014, 24, 4004–4011. [Google Scholar] [CrossRef]
- Lin, G.; Liu, C.; Zhang, L.; Hu, T.; Peng, J.; Li, J.; Wang, S. High temperature dielectric properties of spent adsorbent with zinc sulfate by cavity perturbation technique. J. Hazard. Mater. 2017, 330, 36–45. [Google Scholar] [CrossRef]
- Jiang, Y.; Liu, B.; Liu, P.; Peng, J.; Zhang, L. Dielectric properties and oxidation roasting of molybdenite concentrate by using microwave energy at 2.45 GHz frequency. Metall. Mater. Trans. B 2017, 48, 3047–3057. [Google Scholar]
- Spencer, W.D.; Topley, B. Chemical kinetics of the system Ag2CO3 = Ag2O + CO2. J. Chem. Soc. 1929, 2633–2651. [Google Scholar] [CrossRef]
- Tathavadkar, V.D.; Jha, A.; Antony, M.P. The soda-ash roasting of chromite minerals: Kinetics considerations. Metall. Mater. Trans. B 2001, 32, 593–602. [Google Scholar] [CrossRef]
- Guo, Z.; Li, F.; Su, G.; Zhai, D.; Chen, F.; Ju, S.; Peng, J. Permittivity study of a CuCl Residue at 13–450 °C and elucidation of the microwave intensification mechanism for its dechlorination. High Temp. Mater. Process. 2018, 38, 135–142. [Google Scholar]
- Näther, C.; Jeß, I.; Greve, J. Synthesis and thermal properties of the inorganic–organic transition metal halogenides CuCl-pyrazine and Cu2Cl2-pyrazine. Polyhedron 2001, 20, 1017–1022. [Google Scholar] [CrossRef]
- Nixon, A.; Ferrandon, M.; Kaye, M.H.; Trevani, L. Thermochemical production of hydrogen: Synthesis, characterization, and decomposition of copper oxychloride. J. Herm. Anal. Calorim. 2011, 110, 1095–1105. [Google Scholar] [CrossRef]
- Sharkey, J.B.; Lewin, S.Z. Thermochemical properties of the copper hydroxychlorides. Thermochim. Acta 1972, 3, 189–201. [Google Scholar] [CrossRef]



















| Composition | Element Composition (Measured by ICP) | |||||||
|---|---|---|---|---|---|---|---|---|
| Cu | Cl | Pb | Zn | S | Ca | Si | Mg | |
| Content (wt.%) | 48.62 | 15.12 | 5.44 | 6.25 | 5.54 | 1.34 | 0.79 | 0.71 |
| Experiment (the Weight of CuCl in the Residue Was about 50%) | Literature | ||||
|---|---|---|---|---|---|
| Temperature | Reaction | Weight Loss | Temperature | Reaction | Weight Loss |
| 310–361 ℃ | 4CuCl (s) + O2 (g) → 2Cu2OCl2 (s) | +2.5% | 325–400 ℃ | 4CuCl (s) + O2 (g) → 2Cu2OCl2 (s) | +4.8% |
| 361–500 ℃ | Cu2OCl2 (s) + O2 = 2CuO (s) + Cl2 (g) | −13.3% | 400–470 ℃ | 2Cu2OCl2 → CuCl2(s) + CuCl (s or l) + 2CuO (s) + Cl2 (g) | −12.8% |
| Cu2OCl2 (s) + O2 = 2CuO (s) + Cl2 (g) | −23.7% | ||||
| Models | Microwave Roasting | Conventional Roasting | ||||
|---|---|---|---|---|---|---|
| T (K) | kd | R2 | T (K) | kd | R2 | |
| 1 − (1 − x)1/3 = kdt | 673 | 0.0032 | 0.9993 | 673 | 0.0018 | 0.9949 |
| 698 | 0.0044 | 0.9971 | 698 | 0.0027 | 0.9971 | |
| 723 | 0.0057 | 0.9925 | 723 | 0.0037 | 0.9989 | |
| 748 | 0.0070 | 0.9912 | 748 | 0.0046 | 0.9938 | |
| 773 | 0.0086 | 0.9902 | 773 | 0.0063 | 0.9925 | |
| 1 − 2/3x − (1 − x)2/3 = kdt | 673 | 0.0006 | 0.9913 | 673 | 0.0014 | 0.9885 |
| 698 | 0.0009 | 0.9873 | 698 | 0.0019 | 0.9889 | |
| 723 | 0.0014 | 0.9891 | 723 | 0.0026 | 0.9890 | |
| 748 | 0.0018 | 0.9869 | 748 | 0.0030 | 0.9773 | |
| 773 | 0.0027 | 0.9786 | 773 | 0.0035 | 0.9635 | |
| [1 − (1 − x)1/3]2 = kdt | 673 | 0.0021 | 0.9687 | 673 | 0.0008 | 0.9871 |
| 698 | 0.0032 | 0.9678 | 698 | 0.0012 | 0.9846 | |
| 723 | 0.0050 | 0.9760 | 723 | 0.0021 | 0.9728 | |
| 748 | 0.0059 | 0.9701 | 748 | 0.0029 | 0.9757 | |
| 773 | 0.0075 | 0.9715 | 773 | 0.0039 | 0.9372 | |
| [(1 − x)−1/3 − 1]2 = kdt | 673 | 0.0078 | 0.8548 | 673 | 0.0018 | 0.9455 |
| 698 | 0.0185 | 0.8241 | 698 | 0.0031 | 0.9341 | |
| 723 | 0.0540 | 0.7571 | 723 | 0.0074 | 0.8940 | |
| 748 | 0.0585 | 0.7964 | 748 | 0.0143 | 0.8862 | |
| 773 | 0.0880 | 0.7985 | 773 | 0.0223 | 0.7850 | |
| Ea (kJ/mol) | lnA | R2 | |
|---|---|---|---|
| Microwave | 42.36 | 1.8549 | 0.9952 |
| Conventional | 52.69 | 3.1299 | 0.9926 |
| Time (min) | 0–20 | 20–40 | 40–60 | 60–90 |
|---|---|---|---|---|
| Cl2 content (mg/L) | 10.99 | 203.25 | 160.6 | 25.72 |
| Hyperactive | Active | Difficult to Heat | Inactive |
|---|---|---|---|
| CuCl | CuO | ZnO | SiO2 |
| ZnS |
Publisher’s Note: MDPI stays neutral with regard to jurisdictional claims in published maps and institutional affiliations. |
© 2022 by the authors. Licensee MDPI, Basel, Switzerland. This article is an open access article distributed under the terms and conditions of the Creative Commons Attribution (CC BY) license (https://creativecommons.org/licenses/by/4.0/).
Share and Cite
Guo, Z.; Li, F.; Zhang, Q.; Su, G.; Chang, J.; Zhou, H. Microwave Roasting Characteristics of Cuprous Chloride Residue from Zinc Hydrometallurgy. Crystals 2022, 12, 116. https://doi.org/10.3390/cryst12010116
Guo Z, Li F, Zhang Q, Su G, Chang J, Zhou H. Microwave Roasting Characteristics of Cuprous Chloride Residue from Zinc Hydrometallurgy. Crystals. 2022; 12(1):116. https://doi.org/10.3390/cryst12010116
Chicago/Turabian StyleGuo, Zhanyong, Fachuang Li, Qian Zhang, Guang Su, Jun Chang, and Huilin Zhou. 2022. "Microwave Roasting Characteristics of Cuprous Chloride Residue from Zinc Hydrometallurgy" Crystals 12, no. 1: 116. https://doi.org/10.3390/cryst12010116
APA StyleGuo, Z., Li, F., Zhang, Q., Su, G., Chang, J., & Zhou, H. (2022). Microwave Roasting Characteristics of Cuprous Chloride Residue from Zinc Hydrometallurgy. Crystals, 12(1), 116. https://doi.org/10.3390/cryst12010116
