Dielectric Anomaly and Charge Fluctuations in the Non-Magnetic Dimer Mott Insulator λ-(BEDT-STF)2GaCl4
Abstract
1. Introduction
2. Experimental Details
3. Results and Analysis
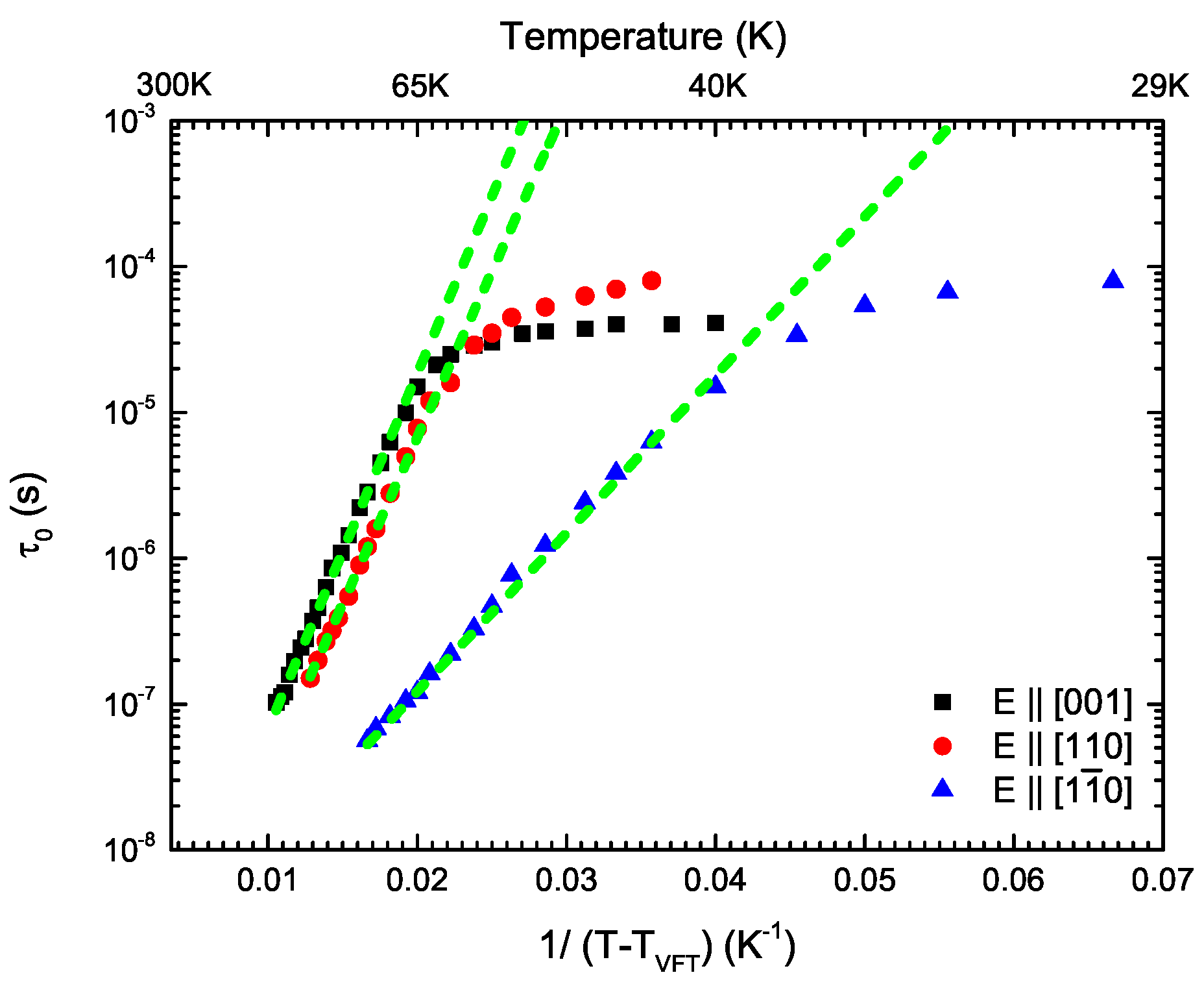
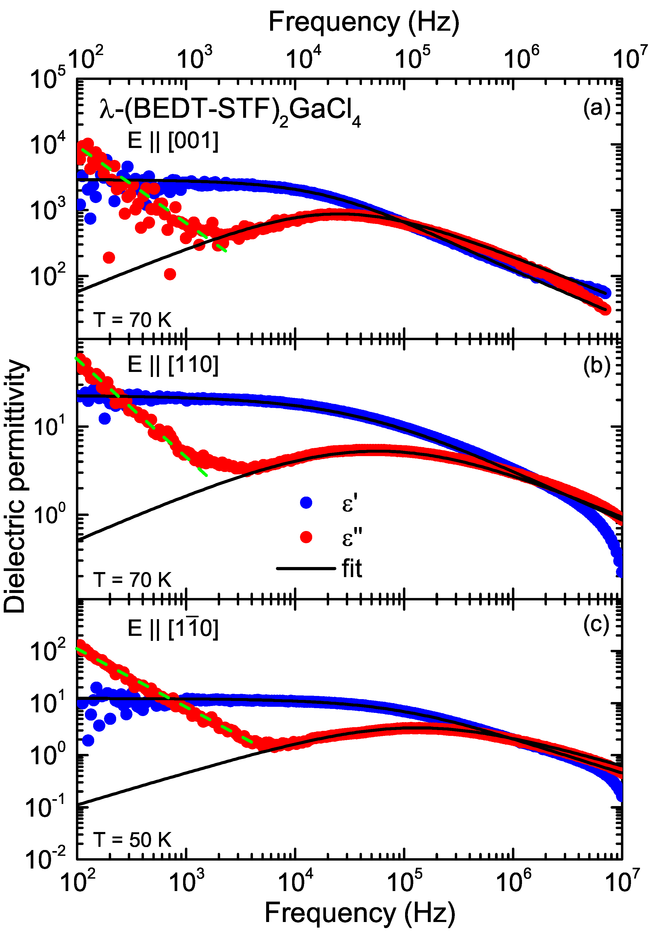
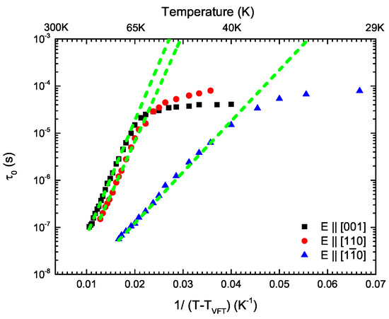
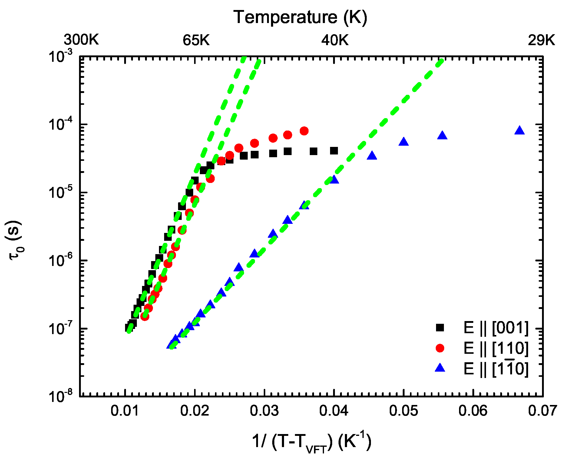
3.1. Dielectric Properties
3.2. Vibrational Spectroscopy
4. Conclusions
Author Contributions
Funding
Institutional Review Board Statement
Informed Consent Statement
Data Availability Statement
Acknowledgments
Conflicts of Interest
References
- Lebed, A.G. The Physics of Organic Superconductors and Conductors; Springer Series in Materials Science; Springer: Berlin/Heidelberg, Germany, 2008; Volume 110. [Google Scholar]
- Dressel, M. Quantum criticality in organic conductors? Fermi liquid versus non-Fermi-liquid behaviour. J. Phys. Condens. Matter 2011, 23, 293201. [Google Scholar] [CrossRef]
- Dressel, M.; Tomić, S. Molecular quantum materials: Electronic phases and charge dynamics in two-dimensional organic solids. Adv. Phys. 2020, 69, 1–120. [Google Scholar] [CrossRef]
- Powell, B.J.; McKenzie, R.H. Quantum Frustration in Organic Mott Insulators: From Spin Liquids to Unconventional Superconductors. Rep. Progr. Phys. 2011, 74, 056501. [Google Scholar] [CrossRef]
- Kurosaki, Y.; Shimizu, Y.; Miyagawa, K.; Kanoda, K.; Saito, G. Mott Transition from a Spin Liquid to a Fermi Liquid in the Spin-Frustrated Organic Conductor κ-(ET)2Cu2(CN)3. Phys. Rev. Lett. 2005, 95, 177001. [Google Scholar] [CrossRef] [PubMed]
- Uji, S.; Terashima, T.; Nishimura, M.; Takahide, Y.; Konoike, T.; Enomoto, K.; Cui, H.; Kobayashi, H.; Kobayashi, A.; Tanaka, H.; et al. Vortex dynamics and the Fulde-Ferrell-Larkin-Ovchinnikov state in a magnetic-field-induced organic superconductor. Phys. Rev. Lett. 2006, 97, 157001. [Google Scholar] [CrossRef]
- Uji, S.; Brooks, J.S. Magnetic-Field-Induced Superconductivity in Organic Conductors. J. Phys. Soc. Jpn. 2006, 75, 051014. [Google Scholar] [CrossRef]
- Uji, S.; Shinagawa, H.; Terashima, T.; Yakabe, T.; Terai, Y.; Tokumoto, M.; Kobayashi, A.; Tanaka, H.; Kobayashi, H. Magnetic-field-induced superconductivity in a two-dimensional organic conductor. Nature 2001, 410, 908. [Google Scholar] [CrossRef]
- Ardavan, A.; Brown, S.; Kagoshima, S.; Kanoda, K.; Kuroki, K.; Mori, H.; Ogata, M.; Uji, S.; Wosnitza, J. Recent Topics of Organic Superconductors. J. Phys. Soc. Jpn. 2012, 81, 011004. [Google Scholar] [CrossRef]
- Minamidate, T.; Oka, Y.; Shindo, H.; Yamazaki, T.; Matsunaga, N.; Nomura, K.; Kawamoto, A. Superconducting Phase in λ-(BEDT-STF)2GaCl4 at High Pressures. J. Phys. Soc. Jpn. 2015, 84, 063704. [Google Scholar] [CrossRef]
- Saito, Y.; Nakamura, H.; Sawada, M.; Yamazaki, T.; Fukuoka, S.; Matsunaga, N.; Nomura, K.; Dressel, M.; Kawamoto, A. Disordered quantum spin state in the stripe lattice system consisting of triangular and square tilings investigated by 13C NMR. arXiv 2019, arXiv:1910.09963. [Google Scholar]
- Saito, Y.; Fukuoka, S.; Kobayashi, T.; Kawamoto, A.; Mori, H. Antiferromagnetic Ordering in Organic Conductor λ-(BEDT-TTF)2GaCl4 Probed by 13C NMR. J. Phys. Soc. Jpn. 2018, 87, 013707. [Google Scholar] [CrossRef]
- Hotta, C. Quantum electric dipoles in spin-liquid dimer Mott insulator κ-ET2Cu2(CN)3. Phys. Rev. B 2010, 82, 241104. [Google Scholar] [CrossRef]
- Hotta, C. Theories on Frustrated Electrons in Two-Dimensional Organic Solids. Crystals 2012, 2, 1155–1200. [Google Scholar] [CrossRef]
- Dayal, S.; Clay, R.T.; Li, H.; Mazumdar, S. Paired electron crystal: Order from frustration in the quarter-filled band. Phys. Rev. B 2011, 83, 245106. [Google Scholar] [CrossRef]
- Clay, R.; Mazumdar, S. From charge- and spin-ordering to superconductivity in the organic charge-transfer solids. Phys. Rep. 2019, 788, 1–89. [Google Scholar] [CrossRef]
- Lunkenheimer, P.; Müller, J.; Krohns, S.; Schrettle, F.; Loidl, A.; Hartmann, B.; Rommel, R.; De Souza, M.; Hotta, C.; Schlueter, J.A.; et al. Multiferroicity in an organic charge-transfer salt that is suggestive of electric-dipole-driven magnetism. Nat. Mater. 2012, 11, 755–758. [Google Scholar] [CrossRef]
- Tomić, S.; Pinterić, M.; Ivek, T.; Sedlmeier, K.; Beyer, R.; Wu, D.; Schlueter, J.A.; Schweitzer, D.; Dressel, M. Magnetic ordering and charge dynamics in κ-(BEDT-TTF)2Cu[N(CN)2]Cl. J. Phys. Condens. Matter 2013, 25, 436004. [Google Scholar] [CrossRef] [PubMed]
- Abdel-Jawad, M.; Terasaki, I.; Sasaki, T.; Yoneyama, N.; Kobayashi, N.; Uesu, Y.; Hotta, C. Anomalous dielectric response in the dimer Mott insulator κ-(BEDT-TTF)2Cu2(CN)3. Phys. Rev. B 2010, 82, 125119. [Google Scholar] [CrossRef]
- Pinterić, M.; Čulo, M.; Milat, O.; Basletić, M.; Korin-Hamzić, B.; Tafra, E.; Hamzić, A.; Ivek, T.; Peterseim, T.; Miyagawa, K.; et al. Anisotropic charge dynamics in the quantum spin-liquid candidate κ-(BEDT-TTF)2Cu2(CN)3. Phys. Rev. B 2014, 90, 195139. [Google Scholar] [CrossRef]
- Pinterić, M.; Lazić, P.; Pustogow, A.; Ivek, T.; Kuveždić, M.; Milat, O.; Gumhalter, B.; Basletić, M.; Čulo, M.; Korin-Hamzić, B.; et al. Anion effects on electronic structure and electrodynamic properties of the Mott insulator κ-(BEDT-TTF)2Ag2(CN)3. Phys. Rev. B 2016, 94, 161105. [Google Scholar] [CrossRef]
- Pinterić, M.; Rivas Góngora, D.; Rapljenović, Ž.; Ivek, T.; Čulo, M.; Korin-Hamzić, B.; Milat, O.; Gumhalter, B.; Lazić, P.; Sanz Alonso, M.; et al. Electrodynamics in Organic Dimer Insulators Close to Mott Critical Point. Crystals 2018, 8, 190. [Google Scholar] [CrossRef]
- Dressel, M.; Lazić, P.; Pustogow, A.; Zhukova, E.; Gorshunov, B.; Schlueter, J.A.; Milat, O.; Gumhalter, B.; Tomić, S. Lattice vibrations of the charge-transfer salt κ-(BEDT-TTF)2Cu2(CN)3: Comprehensive explanation of the electrodynamic response in a spin-liquid compound. Phys. Rev. B 2016, 93, 081201. [Google Scholar] [CrossRef]
- Ivek, T.; Beyer, R.; Badalov, S.; Čulo, M.; Tomić, S.; Schlueter, J.A.; Zhilyaeva, E.I.; Lyubovskaya, R.N.; Dressel, M. Metal-insulator transition in the dimerized organic conductor κ-(BEDT-TTF)2Hg(SCN)2Br. Phys. Rev. B 2017, 96, 085116. [Google Scholar] [CrossRef]
- Nad, F.; Monceau, P. Dielectric Response of the Charge Ordered State in Quasi-One-Dimensional Organic Conductors. J. Phys. Soc. Jpn. 2006, 75, 051005. [Google Scholar] [CrossRef]
- Ishihara, S. Electronic ferroelectricity in molecular organic crystals. J. Phys. Condens. Matter 2014, 26, 493201. [Google Scholar] [CrossRef]
- Monceau, P.; Nad, F.Y.; Brazovskii, S. Ferroelectric Mott-Hubbard Phase of Organic (TMTTF)2X Conductors. Phys. Rev. Lett. 2001, 86, 4080–4083. [Google Scholar] [CrossRef]
- Horiuchi, S.; Tokura, Y. Organic ferrolectrics. Nat. Mater. 2008, 7, 357–366. [Google Scholar] [CrossRef]
- Mistewicz, K. Recent Advances in Ferroelectric Nanosensors: Toward Sensitive Detection of Gas, Mechanothermal Signals, and Radiation. J. Nanomater. 2018, 2018, 2651056. [Google Scholar] [CrossRef]
- Zhang, S.; Malič, B.; Li, J.F.; Rödel, J. Lead-free ferroelectric materials: Prospective applications. J. Mater. Res. 2021, 36, 985–995. [Google Scholar] [CrossRef]
- Asadi, K. (Ed.) Organic Ferroelectric Materials and Applications; Woodhead Publishing: Sawston, UK, 2021. [Google Scholar]
- Kim, T.Y.; Kim, S.K.; Kim, S.W. Application of ferroelectric materials for improving output power of energy harvesters. Nano Converg. 2018, 5, 30. [Google Scholar] [CrossRef]
- Dressel, M.; Drichko, N. Optical Properties of Two-Dimensional Organic Conductors: Signatures of Charge Ordering and Correlation Effects. Chem. Rev. 2004, 104, 5689–5715. [Google Scholar] [CrossRef] [PubMed]
- Drichko, N.; Kaiser, S.; Sun, Y.; Clauss, C.; Dressel, M.; Mori, H.; Schlueter, J.; Zhyliaeva, E.; Torunova, S.; Lyubovskaya, R. Evidence for charge order in organic superconductors obtained by vibrational spectroscopy. Phys. B 2009, 404, 490–493. [Google Scholar] [CrossRef]
- Girlando, A. Charge Sensitive vibrations and electron-molecular vibration coupling in bis (ethylenedithio)-tetrathiafulvalene (BEDT-TTF). J. Phys. Chem. C 2011, 115, 19371. [Google Scholar] [CrossRef]
- Girlando, A.; Masino, M.; Schlueter, J.; Drichko, N.; Kaiser, S.; Dressel, M. Spectroscopic characterization of charge order fluctuations in BEDT-TTF metals and superconductors. Phys. Stat. Sol. 2012, 249, 953–956. [Google Scholar] [CrossRef]
- Yakushi, K. Infrared and Raman Studies of Charge Ordering in Organic Conductors, BEDT-TTF Salts with Quarter-Filled Bands. Crystals 2012, 2, 1291–1346. [Google Scholar] [CrossRef]
- Girlando, A.; Masino, M.; Kaiser, S.; Sun, Y.; Drichko, N.; Dressel, M.; Mori, H. Charge-order fluctuations and superconductivity in two-dimensional organic metals. Phys. Rev. B 2014, 89, 174503. [Google Scholar] [CrossRef]
- Mori, H.; Suzuki, H.; Okano, T.; Moriyama, H.; Nishio, Y.; Kajita, K.; Kodani, M.; Takimiya, K.; Otsubo, T. Positional order and disorder of symmetric and unsymmetric BEDT-STF salts. J. Solid State Chem. 2002, 168, 626. [Google Scholar] [CrossRef]
- Kremer, F.; Schönhals, A. Broadband Dielectric Spectroscopy; Springer Science & Business Media: Berlin/Heidelberg, Germany, 2002. [Google Scholar]
- Yamamoto, T.; Uruichi, M.; Yamamoto, K.; Yakushi, K.; Kawamoto, A.; Taniguchi, H. Examination of the Charge-Sensitive Vibrational Modes in Bis(ethylenedithio)tetrathiafulvalene. J. Phys. Chem. B 2005, 109, 15226–15235. [Google Scholar] [CrossRef]
- Painelli, A.; Girlando, A. Electron–molecular vibration (e–mv) coupling in charge-transfer compounds and its consequences on the optical spectra: A theoretical framework. J. Chem. Phys. 1986, 84, 5655. [Google Scholar] [CrossRef]
- Iguchi, S.; Sasaki, S.; Yoneyama, N.; Taniguchi, H.; Nishizaki, T.; Sasaki, T. Relaxor ferroelectricity induced by electron correlations in a molecular dimer Mott insulator. Phys. Rev. B 2013, 87, 075107. [Google Scholar] [CrossRef]
- Tomić, S.; Dressel, M. Ferroelectricity in molecular solids: A review of electrodynamic properties. Rep. Prog. Phys. 2015, 78, 096501. [Google Scholar] [CrossRef] [PubMed]
- Jonscher, A.K. Dielectric Relaxation in Solids; Chelsea Dielectric Press: London, UK, 1983. [Google Scholar]
- Jonscher, A.K. Dielectric relaxation in solids. J. Phys. D 1999, 32, R57. [Google Scholar] [CrossRef]
- Lunkenheimer, P.; Loidl, A. Dielectric spectroscopy on organic charge-transfer salts. J. Phys. Condens. Matter 2015, 27, 373001. [Google Scholar] [CrossRef] [PubMed]
- Cross, L.E. Relaxor ferroelectrics. Ferroelectrics 1987, 76, 241. [Google Scholar] [CrossRef]
- Levstik, A.; Kutnjak, Z.; Filipič, C.; Pirc, R. Glassy freezing in relaxor ferroelectric lead magnesium niobate. Phys. Rev. B 1998, 57, 11204–11211. [Google Scholar] [CrossRef]
- Hattori, Y.; Iguchi, S.; Sasaki, T.; Iwai, S.; Taniguchi, H.; Kishida, H. Electric-field-induced intradimer charge disproportionation in the dimer-Mott insulator β′-(BEDT-TTF)2ICl2. Phys. Rev. B 2017, 95, 085149. [Google Scholar] [CrossRef]
- Saito, Y.; Rösslhuber, R.; Löhle, A.; Sanz Alonso, M.; Wenzel, M.; Kawamoto, A.; Pustogow, A.; Dressel, M. Bandwidth-tuning from insulating Mott quantum spin liquid to Fermi liquid via chemical substitution in κ-[(BEDT-TTF)1-x(BEDT-STF)x]2Cu2(CN)3. arXiv 2021, arXiv:1911.06766. [Google Scholar] [CrossRef]
- Shinaoka, H.; Imada, M. Theory of Electron Transport near Anderson–Mott Transitions. J. Phys. Soc. Jpn. 2010, 79, 113703. [Google Scholar] [CrossRef][Green Version]
- Iakutkina, O.; Uykur, E.; Kobayashi, T.; Kawamoto, A.; Dressel, M.; Saito, Y. Charge imbalance in λ-(BETS)2GaCl4 and their interplay with superconductivity. Phys. Rev. B 2021, 104, 045108. [Google Scholar] [CrossRef]
- Olejniczak, I.; Graja, A.; Kushch, N.D.; Cassoux, P.; Kobayashi, H. Polarized IR Reflectance Studies of the Organic Conductor κ-(BETS)2FeCl4. J. Phys. I Fr. 1996, 6, 1631–1641. [Google Scholar] [CrossRef]
- Dressel, M.; Dumm, M.; Knoblauch, T.; Masino, M. Comprehensive Optical Investigations of Charge Order in Organic Chain Compounds (TMTTF)2X. Crystals 2012, 2, 528–578. [Google Scholar] [CrossRef]
- Beyer, R.; Dengl, A.; Peterseim, T.; Wackerow, S.; Ivek, T.; Pronin, A.V.; Schweitzer, D.; Dressel, M. Pressure-dependent optical investigations of α-(BEDT-TTF)2I3: Tuning charge order and narrow gap towards a Dirac semimetal. Phys. Rev. B 2016, 93, 195116. [Google Scholar] [CrossRef]
- Hiraki, K.; Kitahara, M.; Takahashi, T.; Mayaffre, H.; Horvatić, M.; Berthier, C.; Uji, S.; Tanaka, H.; Zhou, B.; Kobayashi, A.; et al. Evidence of Charge Disproportionation in λ Type BETS Based Organic Superconductors. J. Phys. Soc. Jpn. 2010, 79, 074711. [Google Scholar] [CrossRef]
- Sedlmeier, K.; Elsässer, S.; Neubauer, D.; Beyer, R.; Wu, D.; Ivek, T.; Tomić, S.; Schlueter, J.A.; Dressel, M. Absence of charge order in the dimerized κ-phase BEDT-TTF salts. Phys. Rev. B 2012, 86, 245103. [Google Scholar] [CrossRef]
- Ivek, T.; Korin-Hamzić, B.; Milat, O.; Tomić, S.; Clauss, C.; Drichko, N.; Schweitzer, D.; Dressel, M. Collective Excitations in the Charge-Ordered Phase of α-(BEDT-TTF)2I3. Phys. Rev. Lett. 2010, 104, 206406. [Google Scholar] [CrossRef] [PubMed]
- Ivek, T.; Korin-Hamzić, B.; Milat, O.; Tomić, S.; Clauss, C.; Drichko, N.; Schweitzer, D.; Dressel, M. Electrodynamic response of the charge ordering phase: Dielectric and optical studies of α-(BEDT-TTF)2I3. Phys. Rev. B 2011, 83, 165128. [Google Scholar] [CrossRef]
- Yakushi, K.; Yamamoto, K.; Yamamoto, T.; Saito, Y.; Kawamoto, A. Raman spectroscopy study of charge fluctuation in the spin-liquid candidate κ-(BEDT-TTF)2Cu2(CN)3. J. Phys. Soc. Jpn. 2015, 84, 084711. [Google Scholar] [CrossRef]
- Hassan, N.; Cunningham, S.; Mourigal, M.; Zhilyaeva, E.I.; Torunova, S.A.; Lyubovskaya, R.N.; Schlueter, J.A.; Drichko, N. Evidence for a quantum dipole liquid state in an organic quasi–two-dimensional material. Science 2018, 360, 1101–1104. [Google Scholar] [CrossRef]
- Kobayashi, T.; Kawamoto, A. Evidence of antiferromagnetic fluctuation in the unconventional superconductor λ-(BETS)2GaCl4 by 13C NMR. Phys. Rev. B 2017, 96, 125115. [Google Scholar] [CrossRef]








| Directions of Measurement | τVFT (s) | ΔVFT (K) | TVFT (K) |
|---|---|---|---|
| -axis | 560 | 15 | |
| -axis | 525 | 15 | |
| -axis | 250 | 15 |
| Directions of Measurement | C (K) | TC (K) |
|---|---|---|
| -axis | 53 | |
| -axis | 420 | 15 |
Publisher’s Note: MDPI stays neutral with regard to jurisdictional claims in published maps and institutional affiliations. |
© 2021 by the authors. Licensee MDPI, Basel, Switzerland. This article is an open access article distributed under the terms and conditions of the Creative Commons Attribution (CC BY) license (https://creativecommons.org/licenses/by/4.0/).
Share and Cite
Iakutkina, O.; Rosslhuber, R.; Kawamoto, A.; Dressel, M. Dielectric Anomaly and Charge Fluctuations in the Non-Magnetic Dimer Mott Insulator λ-(BEDT-STF)2GaCl4. Crystals 2021, 11, 1031. https://doi.org/10.3390/cryst11091031
Iakutkina O, Rosslhuber R, Kawamoto A, Dressel M. Dielectric Anomaly and Charge Fluctuations in the Non-Magnetic Dimer Mott Insulator λ-(BEDT-STF)2GaCl4. Crystals. 2021; 11(9):1031. https://doi.org/10.3390/cryst11091031
Chicago/Turabian StyleIakutkina, Olga, Roland Rosslhuber, Atsushi Kawamoto, and Martin Dressel. 2021. "Dielectric Anomaly and Charge Fluctuations in the Non-Magnetic Dimer Mott Insulator λ-(BEDT-STF)2GaCl4" Crystals 11, no. 9: 1031. https://doi.org/10.3390/cryst11091031
APA StyleIakutkina, O., Rosslhuber, R., Kawamoto, A., & Dressel, M. (2021). Dielectric Anomaly and Charge Fluctuations in the Non-Magnetic Dimer Mott Insulator λ-(BEDT-STF)2GaCl4. Crystals, 11(9), 1031. https://doi.org/10.3390/cryst11091031

