Next Article in Journal
Paraffin Wax [As a Phase Changing Material (PCM)] Based Composites Containing Multi-Walled Carbon Nanotubes for Thermal Energy Storage (TES) Development
Next Article in Special Issue
Remarkable Increase of Fluorescence Quantum Efficiency by Cyano Substitution on an ESIPT Molecule 2-(2-Hydroxyphenyl)benzothiazole: A Highly Photoluminescent Liquid Crystal Dopant
Previous Article in Journal
Thermoelastic Properties and Elastocaloric Effect in Rapidly Quenched Ribbons of Ti2NiCu Alloy in the Amorphous and Crystalline State
Previous Article in Special Issue
Effect of Fluoroalkyl-Substituent in Bistolane-Based Photoluminescent Liquid Crystals on Their Physical Behavior
 
 
Font Type:
Arial Georgia Verdana
Font Size:
Aa Aa Aa
Line Spacing:
Column Width:
Background:
Article

Blue-Shifting Mechanofluorochromic Luminescent Behavior of Polymer Composite Films Using Gelable Mechanoresponsive Compound

Department of Applied Chemistry, Graduate School of Engineering, University of Hyogo, 2167 Shosha Himeji, Hyogo 671-2280, Japan
*
Authors to whom correspondence should be addressed.
Crystals 2021, 11(8), 950; https://doi.org/10.3390/cryst11080950
Submission received: 27 July 2021 / Revised: 12 August 2021 / Accepted: 14 August 2021 / Published: 15 August 2021

Abstract

:
Mechanochromic luminescent dyes change their luminescence color upon exposure to external mechanical stimuli. In this study, we synthesized a liquid crystalline mechanochromic luminescent dye containing a terminal cholesterol molecule. The dissolution of the dye in 1,4-dioxane resulted in the formation of a gel. The luminescence of the xerogel obtained from the dioxane solution changed from green to blue upon grinding, indicating mechanochromic luminescence behavior. The anisotropic patterning of short-wavelength-shifted luminescence color change by directional handwriting on surface layer of liquid crystal was successfully demonstrated. Furthermore, blue-shifting mechanoresponsive polymer composite surface was fabricated by using the luminophore.

Graphical Abstract

1. Introduction

Mechanochromic luminescence (MCL) is a phenomenon in which the photoluminescence (PL) color of a material changes in response to the mechanical stimuli (such as compression, stretching, shearing, bending, impact, and friction). MCL compounds utilize the macroscopic mechanical stimuli and result in microscopic optical properties in a stimulated area without affecting the size or shape of the MCL object. Therefore, MCL compounds can be introduced into various materials and can be applied in optical recordings [1], security inks [2], memory devices [3,4], and novel diagnostic tools [5,6]. It is a relatively new research field that has been actively studied over the last decade, and a variety of materials have been investigated, including crystals, liquid crystals (LCs) [7], gels [8,9], and polymers [10,11]. In the case of LCs, anisotropy and aggregation structures can be easily controlled by external stimuli. By combining these properties with the functions of MCL, it is possible to develop special MCL materials that exhibit multicolor emission [12,13,14], circularly polarized PL [15], and anisotropy. Previously, we studied MCL materials based on liquid crystalline cyanostilbenes and detected the grinding direction using the stress orientation of LCs [16,17] and emission color control using supramolecular LC complexes [18,19]. Recently, rod-shaped tolane-terminated cyanostilbene was prepared, and its mechanoresponsive change in luminescent behavior was evaluated. The luminescence color of the dye depended on the precipitation method, and the PL spectrum shifted to either longer or shorter wavelengths upon grinding. When the solution was recrystallized by removing the solvent, the color shifted from blue to green. In contrast, when the solution was precipitated by dropping it into a poor solvent, the color shifted from yellow to green indicating that multiple polishing responses can be induced from a single material [20]. Since dyes with cyanostilbene as a luminescent backbone exhibit various intra- and intermolecular interactions [21], it can be presumed that any or some of them may act during the formation of solids.
Since solids exhibiting short wavelength shifts can be obtained by precipitation, a technique that preferentially produces solids with low crystallinity, we focused on low-molecular-weight gels to stably produce thin films. Low-molecular-weight gels are materials with a continuous structure of macroscopic dimensions composed of a low concentration of gelling agent and solvent and exhibit solid-like rheological behavior. Gels formed by low-molecular-weight gelators can switch between flowing sols and solid-state gels depending on the external stimuli. In addition, gels retain their internal structure even after the solvent is dried; thus, thin films that inherit the solid structure on precipitation are formed by depositing them as gels and forming films. Such low-molecular-weight gels are developed by introducing long hydrophobic tails, such as cholesterol, alkyl, and alkoxy chains. In particular, cholesterol can form stable gels by the synergistic effect of cooperative non-covalent bonding. Thus, vigorous research has been conducted, and application development aimed at optical function and collection performance has been explored in materials with cholesterol molecule [22]. Conversely, cholesterol has a rigid ring-fused structure and alkyl chain; therefore, it can be used as a substituent to introduce LC properties, and gelation ability can be expected without impairing the LC properties. Tolane-terminated cyanostilbene produces stable LCs [23], and the liquid crystallinity of cholesterol can be effectively utilized, but no research has been conducted with regard to liquid crystallinity. In this study, we prepared gelable liquid crystalline cyanostilbene with terminal cholesterol molecule (2ECh) and investigated the change in the luminescence color of the prepared mechanochromic dye upon gelation.

2. Materials and Methods

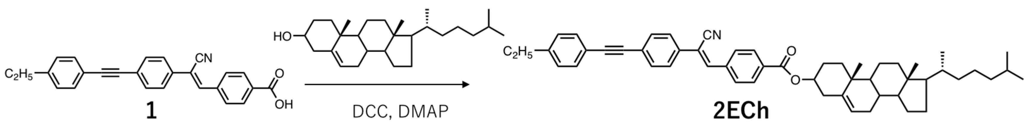
The synthesis of 2ECh is shown in Scheme 1. All starting materials and solvents were used as-received from Tokyo Kasei Chemicals and Aldrich Co. The polymeric composite was prepared using Poly (methyl methacrylate) purchased from Aldrich Co (182230-500G, Mw: 120,000, Tg: 90 °C) without any purification.

2.1. Synthesis of 1

Compound 1 was synthesized according to a previously reported procedure [20].
1H NMR (400 MHz, DMSO): δ (ppm) 8.18 (s, 1H), 8.05–7.99 (m, 5H), 7.81 (d, J = 5.9 Hz, 2H), 7.65 (d, J = 8.2 Hz, 2H), 7.47 (d, J = 2.3 Hz, 2H), 7.25 (d, J = 5.9 Hz, 2H), 2.60 (q, J = 6.4 Hz, 4H), and 1.15 (t, J = 7.5 Hz, 3H).
IR (KBr, cm−1): 2965, 2217, 1683, 1607, 1511, 1419, 1286, 1196, and 1125.

2.2. Synthesis of 2ECh

Compound 1 (1.1 g, 3 mmol), cholesterol (1.2 g, 3 mmol), and a trace amount of 4-dimethylaminopyridine were dissolved in tetrahydrofuran (30 mL). N, N’-dicyclohexylcarbodiimide (0.6 g, 3 mmol) was added dropwise to the solution while stirring, and the reaction mixture was stirred at room temperature (20–25 °C) for 16 h. The resulting suspension was evaporated, and the residue was dissolved in dichloromethane. The suspension was filtered to remove urea crystals. After the solvent was evaporated, the residue was purified by column chromatography (silica gel, eluent: chloroform). The resulting solid was recrystallized from chloroform/hexane to obtain 2ECh as a yellowish-green solid (0.23 g, M.p. 217 °C, 6.3% yield).
1H NMR (400 MHz, CDCl3): δ (ppm) 8.14-8.12 (m, 2H), 7.93 (d, J = 8.7 Hz, 2H), 7.69-7.67 (m, 2H), 7.59 (m, 3H), 7.47–7.45 (m, 2H), 7.19 (d, J = 8.7 Hz, 2H), 5.42 (d, J = 3.2 Hz, 1H), 4.88 (s, 1H), 2.67 (q, J = 7.6 Hz, 2H), 2.47 (d, J = 7.8 Hz, 2H), 2.04-0.85 (m, 46H), 0.68 (s, 3H).
13C NMR (101 MHz, CDCl3): δ (ppm) 145.3, 140.9, 139.6, 137.5, 133.4, 132.4, 132.3, 131.8, 130.2, 129.2, 128.1, 126.1, 125.1, 123.0, 120.0, 113.4, 88.1, 75.1, 56.8, 56.2, 50.1, 42.4, 39.8, 39.6, 38.3, 37.1, 36.7, 36.3, 35.9, 32.0, 32.0, 29.0, 28.3, 28.1, 27.9, 24.4, 23.9, 22.9, 22.7, 21.1, 19.5, 18.8, 15.4, 12.0
IR (KBr, cm−1): 3412, 2936, 2220, 1715, 1467, 1496, 1415, 1370, 1277, 1187, and 1112.

2.3. Equipment

The synthesized compounds were characterized using Fourier-transform nuclear magnetic resonance (FT-NMR; JEOL JNM-ECZ 400 MHz) (Tokyo, Japan) and infrared (FT-IR; JASCO FT-IR 6000) (Tokyo, Japan) spectroscopies. 1H and 13C NMR spectra were recorded for CDCl3 and DMSO-d6 at room temperature using tetramethylsilane (TMS; δ 0.00) as an internal standard. The mesomorphic properties were evaluated using a polarizing optical microscope (Olympus, BH50) (Tokyo, Japan) and differential scanning calorimetry (DSC, Hitachi High-Tech Science DSC7020) (Tokyo, Japan). PL spectra were collected using a luminescence spectrometer (Hitachi, F-4500) (Tokyo, Japan). The solid-state quantum yield of the luminophore was measured using a fluorescence spectrometer equipped with an integrating sphere (JASCO FP-6600) (Tokyo, Japan) with an excitation at 360 nm. The PL lifetimes of the composite films were measured using a nanosecond spectrofluorometer (Horiba, FluoroCube) (Kyoto, Japan) and an excitation wavelength of 370 nm. Powder X-ray diffraction (XRD) measurements were performed using a diffractometer (Rigaku SmartLab 3 kW) (Tokyo, Japan) with a standard parallel beam setup. The microscopic images of the xerogel were observed using a scanning electron microscope (Keyence V8800) (Osaka, Japan). The surface profile of the films was evaluated with an interferometric surface profiler (Ryoka Systems, VertScan R3300H) (Osaka, Japan). Thin layers for spectroscopy and XRD were prepared from dioxane solution on glass substrates using spin casting method. Thin layer of luminophore or polymer composite was ground by pen and the luminophore powder was ground using agate mortar.

3. Results and Discussion

The chemical structure of 2ECh is shown in Figure 1. Cyanostilbene, a typical MCL substituent, has a rod-like molecular shape with a high affinity for LC materials. In addition, the π-conjugated structure was extended by introducing tolane, which is widely used as a photoemissive mesogen substituent. The same structure has been used for the mechanoresponsive parts and tends to form antiparallel molecular pairs in crystals. The presence of cholesterol introduces intermolecular interactions; thus, one-dimensional bonds are expected to contribute to gel formation [24]. The DSC thermograph and polarized optical micrograph obtained at 260 °C are shown in Figure 2a. The polarized light micrograph shows typical oily stripes, indicating that the compound exhibits a chiral nematic phase from 217 °C to >300 °C. The LC properties were maintained at temperatures above 300 °C, and no clearing point was observed before decomposition. However, the compound in the LC phase showed a yellow melt and no obvious selective reflection was observed (Figure 2b).
The gelation ability of the dye was examined at room temperature. The mixture of 2ECh and solvent was heated up to the boiling point of the solvent (101 °C) to obtain a homogeneous solution. Then, the solution was cooled to room temperature, and the gelation ability of the dye was examined using an inversion test. The results are summarized in Table 1. Cholesterol-incorporated compounds can gel with a wide range of materials, but 2ECh gelled only at a high concentration of 10 mg/mL 2ECh in dioxane. It has been reported that intermolecular interactions between the alkyl groups (van der Waals forces) and hydrogen bonds are important for the formation of molecular assemblies [25]. 2ECh has a short alkyl chain, and thus, it is assumed that its gelation ability is not high.
The gels formed by dioxane were air-dried, and the mechanoresponsive behavior was examined in the thin-film state. The PL spectrum and fluorescence lifetime changes are shown in Figure 3a and 3b, respectively. It has been reported that materials whose color changed by gelation retained their luminescent color even in xerogels after the solvent was removed and showed a grinding response [26]. The powder in its initial state exhibited blue luminescence and no response to grinding. When the dioxane solution was heated to a sol state and a thin film was formed by spin coating, a uniform green-emitting thin layer was obtained.
In the initial state, the thin layer of the luminophore showed a maximum emission wavelength, fluorescence lifetime, and quantum yield of 500 nm, 35.0 ns, and 4%, respectively, and after mechanical grinding, the values shifted to 470 nm, 1.3 ns, and 2%, respectively. The fluorescence lifetime was longer (~10 ns) than that of the conventional tolane-terminated cyanostilbene, suggesting the formation of an excimer. Figure 4a shows the XRD patterns of the initial and ground glass substrate coated with the luminophore. The initial film had no diffraction peaks and was amorphous before and after grinding. The xerogel showed the same mechanical response when obtained as a powder and ground using agate mortar. However, no obvious change such as size and structure were observed by mechanical grinding (Figure 4b). Accordingly, the microstructures of the xerogels were observed by scanning electron microscopy (SEM, Figure 4c). SEM demonstrated that the xerogel had micrometer-scale fibrous aggregates, whereas the grinding powder showed no such structure. From the changes in the SEM images, it can be presumed that the amorphous fibrous structure on the solid surface derived from the xerogel induces the green luminescence, and that the luminescence color changes when these are destroyed by mechanical grinding.
The directional mechanochromic behavior of the 2ECh film was studied. As shown in Figure 5a, “T” was written on the film with a pen, and when MCL was induced, blue luminescence in the shape of the letter was observed. This letter was formed by applying mechanical pressure in two orthogonal directions. Figure 5(b) shows a photographic image of the film obtained using the linear polarizer. When the polarization direction of the polarizer is parallel to the grinding direction, the grinding area shows a high PL intensity. Furthermore, the maximum wavelength of the PL spectrum was larger in the parallel direction than in the perpendicular direction, indicating that the wavelength was blue-shifted. Figure 5c shows the polarized PL spectrum of the polished film. The PL parallel to the grinding direction was larger than that in the perpendicular direction. The polarization ratio P was calculated using the equation, P||/P, is up to 2.5, where P|| and P are the PL intensity at the respective maximum PL wavelengths measured with light polarized parallel and perpendicular to the grinding direction. The optical anisotropy was also observed by polarizing optical microscopy. As shown in Figure 5d, distinct bright lines are seen at 45° with respect to the analyzer by rotating the film, which confirms the polarized emission due to grinding. Figure 5e displays Surface profile of the luminophore layer. The xerogels were found to be aggregated and distributed in a speckled pattern to form chunks and approximate height of them are over 0.1 μm. These chunks were broken down and leveled out at ground area (upper green part of the figure). Since anisotropy is observed in the dye stretched into a paste at the ground area, it can be presumed that the stress orientation is partially inherited from the characteristics of liquid crystal.
The blue-shifted photoluminescence was maintained even when the glass substrate coated with the grinding luminophore was heated to 220 °C or lower. On the other hand, when heated above that temperature, green luminescence was again observed, and the luminescence color change could be repeated by additional grinding. As shown in Figure 6a, the maximum fluorescence wavelengths of the glass substrate coated with annealed and ground luminophore were 500 and 490 nm, respectively. Figure 6b shows the diffraction patterns of the annealed and post-grinding luminophore on glass substrate. The ground and heated thin films exhibited numerous diffraction peaks, indicating that they were crystalline. XRD results showed strong peaks in the 2θ = 3–30° region at 3.91, 4.71, 5.26, 8.50, 10.70, 13.43, 17.24, 18.61, 19.86, and 25.24°. These reflections were found to correspond to surface spacings of 22.6, 18.6, 16.8, 10.4, 8.3, 6.6, 5.1, 4.8, 4.5, and 3.5 Å, respectively. Among these spacings, the reflection at 3.5 Å is attributed to the distance between two π-stacked stilbene units in the self-assembled state. Further, the reflections at 4.8 and 4.5 Å are attributed to the presence of hydrogen-bonded β-sheet-like arrays of gelling agent molecules in the assembled gel state [24]. Grinding of this thin film resulted in a significant decrease in the diffraction intensity, but not a complete disappearance. However, the fluorescence lifetimes of the annealed and ground luminophore were 10 and 3 ns, respectively (Figure 6c). These results reveal that the color change was induced by heating, but the luminescent species were altered, and the color change in the thin film of the dye was irreversible for the dye alone.
Finally, to overcome the reproducibility drawback, a polymer composite film consisting of a gelling agent and a non-photoluminescent polymer was prepared. We have previously reported that thin films made of polymers induce area-selective grinding responses. Composites with polymers allow for easy preparation of thin films and acquisition of repeatable properties [16,17] however, the materials that could be thinned were limited to those that shifted to the long-wavelength side by grinding, as well as those that shifted to the short-wavelength side could not be fabricated. A blue-shifting MCL polymer composite film using an immiscible polymer matrix has been reported by Pucci et al. [27], but a grinding-responsive polymer composite using a miscible polymer has not been reported. A dioxane solution of a 1:1 (w/w) mixture of PMMA and dye was prepared and spincasted. Initially, the composite layer showed green luminescence with a maximum emission wavelength of 500 nm, and after grinding, it showed blue luminescence with a maximum emission wavelength of 470 nm. The ground film returned to its original wavelength when heated above 180 °C (Figure 7a). Figure 7b shows change in XRD profile after grinding and annealing. No new peaks were observed in the XRD patterns after grinding, suggesting that the film remained in the amorphous state. Upon heat treatment, a slight increase in the peak at 4.71 and 5.26° was observed, but no clear crystal peak was observed. It was presumed that the dye dissolved in the polymer became sol-like, and then gelled again. Figure 7c shows surface profile of the composite layer with partial grinding. It was found that the layer was composed of the similar structure to the luminophore. The height of dispersed chunks is over 0.1μm and no PMMA surface was found on the surface, indicating the composite did not form a film. It can be presumed that the gelation of the luminophore with the polymer inhibited the film formation. The composite succeeded in inhibiting crystallization, but failed to form a film, so further investigation of the material is needed. Gelation in the coexistence of a gel and polymer is expected to result in a film with excellent mechanical stability, processability, and formability, and is capable of withstanding bulk loads, such as stretching and compression.

4. Conclusions

We synthesized a liquid crystalline mechano-fluorochromic dye containing a terminal cholesterol molecule and explored its mechanoresponsive behavior. Film formation was improved by gelation, and the processability and responsiveness were also improved when thin film was mixed with polymer. Cholesterol, a typical biocompatible functional group, can be used to mimic lipid bilayers and interact with various functional materials in living organisms. In addition, cholesterol has many optically active sites; thus, it is expected to have extended functions beyond its use as a gelator, such as circularly polarized light emission and higher order LCs [28,29]. However, these functions are still under study.

Author Contributions

Conceptualization, N.K. and M.K.; methodology, M.K.; validation, Y.M., M.K.; investigation, Y.M.; resources, N.K.; writing—original draft preparation, M.K.; writing—review and editing, N.K.; visualization, M.K.; supervision, N.K. All authors have read and agreed to the published version of the manuscript.

Funding

This research received no external funding.

Data Availability Statement

Not applicable.

Acknowledgments

We are sincerely grateful to Kenji Iimura and Hiroshi Satone (University of Hyogo) for the SEM measurements.

Conflicts of Interest

The authors declare no conflict of interest.

References

  1. Lott, J.; Ryan, C.; Valle, B.; Johnson, J.R.; Schiraldi, D.A.; Shan, J.; Singer, K.D.; Weder, C. Two-Photon 3D Optical Data Storage via Aggregate Switching of Excimer-Forming Dyes. Adv. Mater. 2011, 23, 2425–2429. [Google Scholar] [CrossRef] [Green Version]
  2. Hou, X.; Ke, C.; Bruns, C.J.; Mcgonigal, P.R.; Pettman, R.B.; Stoddart, J.F. A two-dimensional π–d conjugated coordination polymer with extremely high electrical conductivity and ambipolar transport behavior. Nat. Commun. 2015, 6, 7408. [Google Scholar] [CrossRef] [Green Version]
  3. Olson, C.E.; Previte, M.J.R.; Fourkas, J.T. Efficient and robust multiphoton data storage in molecular glasses and highly crosslinked polymers. Nat. Mater. 2002, 1, 225–228. [Google Scholar] [CrossRef] [PubMed]
  4. Hirata, S.; Watanabe, T. Reversible Thermoresponsive Recording of Fluorescent Images (TRF). Adv. Mater. 2006, 18, 2725–2729. [Google Scholar] [CrossRef]
  5. Barbee, M.H.; Mondal, K.; Deng, J.Z.; Bharambe, V.; Neumann, T.V.; Adams, J.J.; Boecheler, N.; Dickey, M.D.; Craig, S.J. Mechanochromic Stretchable Electronics. ACS Appl. Mater. Interfaces 2018, 10, 29918–29924. [Google Scholar] [CrossRef]
  6. Lu, X.; Li, W.; Sottos, N.R.; Moore, J.S. Autonomous Damage Detection in Multilayered Coatings via Integrated Aggregation-Induced Emission Luminogens. ACS Appl. Mater. Interfaces 2018, 10, 40361–40365. [Google Scholar] [CrossRef]
  7. Yamane, S.; Sagara, Y.; Mutai, T.; Araki, K.; Kato, T. Mechanochromic luminescent liquid crystals based on a bianthryl moiety. J. Mater. Chem. C 2013, 1, 2648–2656. [Google Scholar] [CrossRef]
  8. Kato, S.; Ishizuki, K.; Aoki, D.; Goseki, R.; Otsuka, H. Freezing-Induced Mechanoluminescence of Polymer Gels. ACS Macro Letters 2018, 7, 1087–1091. [Google Scholar] [CrossRef]
  9. Jiang, N.; Ruan, S.-H.; Liu, X.-M.; Zhu, D.; Li, B.; Bryce, M.R. Supramolecular Oligourethane Gel with Multicolor Luminescence Controlled by Mechanically Sensitive Hydrogen-Bonding. Chem. Mater. 2020, 32, 5776–5784. [Google Scholar] [CrossRef] [PubMed]
  10. Wang, T.; Zhang, N.; Dai, J.; Li, Z.; Bai, W.; Bai, R. Novel Reversible Mechanochromic Elastomer with High Sensitivity: Bond Scission and Bending-Induced Multicolor Switching. ACS Appl. Mater. Interfaces 2017, 9, 11874–11881. [Google Scholar] [CrossRef]
  11. Calvino, C.; Sagara, Y.; Buclin, V.; Haehnel, A.P.; Prado, A.; Aeby, C.; Simon, Y.C.; Schrettl, S.; Weder, C. Mechanoresponsive, luminescent polymer blends based on an excimer-forming telechelic macromolecule. Macromol. Rapid Commun. 2019, 40, 1800705. [Google Scholar] [CrossRef] [PubMed]
  12. Yagai, S.; Okamura, S.; Nakano, Y.; Yamauchi, M.; Kishikawa, K.; Karatsu, T.; Kitamura, A.; Ueno, A.; Kuzuhara, D.; Yamada, H.; et al. Design amphiphilic dipolar p-systems for stimuli-responsive luminescent materials using metastable states. Nat. Commun. 2014, 5, 4013. [Google Scholar] [CrossRef] [Green Version]
  13. Sagara, Y.; Kato, T. Brightly tricolored mechanochromic luminescence from a single-luminophore liquid crystal: Reversible writing and erasing of images. Angew. Chem. Int. Ed. 2011, 50, 9128–9132. [Google Scholar] [CrossRef] [PubMed]
  14. Seki, A.; Yoshio, M. Multi-color photoluminescence based on mechanically and thermally induced liquid-crystalline phase transitions of a hydrogen-bonded benzodithiophene derivative. ChemPhysChem 2020, 21, 328–334. [Google Scholar] [CrossRef]
  15. Chen, S.; Jiang, S.; Qiu, J.; Guo, H.; Yang, F. Dual-responding circularly polarized luminescence based on mechanically and thermally induced assemblies of cyano-distyrylbenzene hydrogen bonding liquid crystals. Chem. Commun. 2020, 56, 7745–7748. [Google Scholar] [CrossRef] [PubMed]
  16. Kondo, M.; Nakanishi, T.; Matsushita, T.; Kawatsuki, N. Directional mechanochromic luminescent behavior in liquid crystalline composite polymeric films. Macromol. Chem. Phys. 2017, 218, 1600321. [Google Scholar] [CrossRef] [Green Version]
  17. Kondo, M.; Yamoto, T.; Tada, M.; Kawatsuki, N. Mechanoresponsive behavior of rod-like liquid crystalline luminophores on an alignment layer. Chem. Lett. 2021, 50, 812–815. [Google Scholar] [CrossRef]
  18. Kondo, M.; Yamoto, T.; Miura, S.; Hashimoto, M.; Kitamura, C.; Kawatsuki, N. Controlling the emergence and shift direction of mechanochromic luminescence color of a pyridine-terminated compound. Chem. Asian. J. 2019, 14, 471–479. [Google Scholar] [CrossRef]
  19. Kondo, M.; Hashimoto, M.; Miura, S.; Kawatsuki, N. Mechanochromic luminescent behavior in hydrogen bonded liquid-crystalline complex. Mol. Cryst. Liq. Cryst. 2017, 644, 78–87. [Google Scholar] [CrossRef]
  20. Kondo, M.; Morita, Y.; Nishida, J.; Kawase, T.; Kawatsuki, N. Mechano-induced photoluminescence colour change in an alkyltolane-terminated cyanostilbene. CrystEngComm 2021, in press. [Google Scholar] [CrossRef]
  21. Zhao, J.; Chi, Z.; Zhang, Y.; Mao, Z.; Yang, Z.; Ubba, E.; Chi, Z. Recent progress in the mechanofluorochromism of cyanoethylene derivatives with aggregation-induced emission. J. Mater. Chem. C 2018, 6, 6327–6353. [Google Scholar] [CrossRef]
  22. Chen, H.; Zhou, L.; Shi, X.; Hu, J.; Guo, J.; Albouy, P.-A.; Li, M.-H. AIE fluorescent gelators with thermo-, mechano-, and vapochromic Properties. Chem. Asian J. 2019, 14, 781–788. [Google Scholar] [CrossRef] [PubMed] [Green Version]
  23. Kondo, M.; Miura, S.; Okumoto, K.; Hashimoto, M.; Fukae, R.; Kawatsuki, N. Mechanoresponsive change in photoluminescent color of rodlike liquid-crystalline compounds and control of molecular orientation on photoaligned layer. Proc. SPIE 2014, 9182, 9182A. [Google Scholar] [CrossRef]
  24. Agarwal, D.S.; Singh, R.P.; Jha, P.N.; Sakhuja, R. Fabrication of deoxycholic acid tethered α-cyanostilbenes as smart low molecular weight gelators and AIEE probes for bio-imaging. Steroids 2020, 160, 108659. [Google Scholar] [CrossRef]
  25. Panthai, S.; Fukuhara, R.; Hisano, K.; Tsutusmi, O. Stimuli-Sensitive Aggregation-Induced Emission of Organogelators Containing Mesogenic Au(I) Complexes. Crystals 2020, 10, 388. [Google Scholar] [CrossRef]
  26. Ongungal, R.M.; Sicadas, A.P.; Kumar, N.S.S.; Menon, S.; Das, S. Self-assembly and mechanochromic luminescence switching of trifluoromethyl substituted 1,3,4-oxadiazole derivatives. J. Mater. Chem. C 2016, 4, 9588–9597. [Google Scholar] [CrossRef]
  27. Pucci, A.; Bertoldo, M.; Bronco, S. Luminescent Bis(benzoxazolyl)stilbene as a Molecular Probe for Poly(propylene) Film Deformation. Macromol. Rapid Commun. 2005, 26, 1043–1048. [Google Scholar] [CrossRef]
  28. Chen, Y.; Lu, P.; Li, Z.; Yuan, Y.; Ye, Q.; Zhang, H. Dual Stimuli-Responsive High-Efficiency Circularly Polarized Luminescence from Light-Emitting Chiral Nematic Liquid Crystals. ACS Appl. Mater. Interfaces 2020, 12, 56604–56614. [Google Scholar] [CrossRef] [PubMed]
  29. Li, Q.; Li, L.; Kim, J.; Park, H.; Williams, H. Reversible Photoresponsive Chiral Liquid Crystals Containing a Cholesteryl Moiety and Azobenzene Linker. Chem. Mater. 2005, 17, 6018–6021. [Google Scholar] [CrossRef]
Scheme 1. Schematic synthesis of 2ECh.
Scheme 1. Schematic synthesis of 2ECh.
Crystals 11 00950 sch001
Figure 1. Chemical structure of the compound used in this study.
Figure 1. Chemical structure of the compound used in this study.
Crystals 11 00950 g001
Figure 2. (a) Differential scanning calorimetry thermogram of 2ECh (inset: polarized optical microscopy image of 2ECh at 250 °C). (b) photograph of 2ECh at 250 °C injected in 8-μm cell.
Figure 2. (a) Differential scanning calorimetry thermogram of 2ECh (inset: polarized optical microscopy image of 2ECh at 250 °C). (b) photograph of 2ECh at 250 °C injected in 8-μm cell.
Crystals 11 00950 g002
Figure 3. (a) Photoluminescence (PL) spectrum (b) and fluorescent decay profile of 2ECh before (blue) and after (red) mechanical grinding. The inset in (a) displays PL color of 2ECh.
Figure 3. (a) Photoluminescence (PL) spectrum (b) and fluorescent decay profile of 2ECh before (blue) and after (red) mechanical grinding. The inset in (a) displays PL color of 2ECh.
Crystals 11 00950 g003
Figure 4. (a) X-ray diffraction (XRD) spectrum (b) optical image (c) and scanning electron microscopy (SEM) images of 2ECh before and after mechanical grinding. The black line in (b) is scalebar for 0.8 mm.
Figure 4. (a) X-ray diffraction (XRD) spectrum (b) optical image (c) and scanning electron microscopy (SEM) images of 2ECh before and after mechanical grinding. The black line in (b) is scalebar for 0.8 mm.
Crystals 11 00950 g004
Figure 5. (a) Photograph of the patterned photoemission of a 2ECh film following directional grinding. (b) Photographs obtained using a linear polarizer, (c) polarized PL spectra, (d) polarizing optical micrograph and (e) surface profile of the ground thin layer. The black arrows in (b) indicate the polarization direction. The subscripts in (c) designate the directions parallel (||) and perpendicular (⊥) to the grinding direction.
Figure 5. (a) Photograph of the patterned photoemission of a 2ECh film following directional grinding. (b) Photographs obtained using a linear polarizer, (c) polarized PL spectra, (d) polarizing optical micrograph and (e) surface profile of the ground thin layer. The black arrows in (b) indicate the polarization direction. The subscripts in (c) designate the directions parallel (||) and perpendicular (⊥) to the grinding direction.
Crystals 11 00950 g005
Figure 6. (a) PL spectrum, (b) XRD, and (c) fluorescent decay profile of recrystallized 2ECh before (blue) and after (red) mechanical grinding.
Figure 6. (a) PL spectrum, (b) XRD, and (c) fluorescent decay profile of recrystallized 2ECh before (blue) and after (red) mechanical grinding.
Crystals 11 00950 g006
Figure 7. (a) Change in PL spectrum (b) and XRD pattern of 2ECh dispersed in PMMA (1:1 (w/w)). Color of the spectrum indicates the film before grinding (blue), after grinding (red) and annealing (green) respectively. (c) Surface profile of the composite layer. The black arrow in (b) indicates the diffraction of 2ECh crystal (see Figure 5b).
Figure 7. (a) Change in PL spectrum (b) and XRD pattern of 2ECh dispersed in PMMA (1:1 (w/w)). Color of the spectrum indicates the film before grinding (blue), after grinding (red) and annealing (green) respectively. (c) Surface profile of the composite layer. The black arrow in (b) indicates the diffraction of 2ECh crystal (see Figure 5b).
Crystals 11 00950 g007
Table 1. Gel-formation tests for 2ECh in various solvents.
Table 1. Gel-formation tests for 2ECh in various solvents.
1,4-DioxaneEthyl AcetateHexaneMethanolTetrahydrofuran
5 mg/mLPGIIIS
10 mg/mLGIIIS
PG: Partially Gelled; G: Gelled; I: Insoluble; S: Solution at 20 °C.
Publisher’s Note: MDPI stays neutral with regard to jurisdictional claims in published maps and institutional affiliations.

Share and Cite

MDPI and ACS Style

Kondo, M.; Morita, Y.; Kawatsuki, N. Blue-Shifting Mechanofluorochromic Luminescent Behavior of Polymer Composite Films Using Gelable Mechanoresponsive Compound. Crystals 2021, 11, 950. https://doi.org/10.3390/cryst11080950

AMA Style

Kondo M, Morita Y, Kawatsuki N. Blue-Shifting Mechanofluorochromic Luminescent Behavior of Polymer Composite Films Using Gelable Mechanoresponsive Compound. Crystals. 2021; 11(8):950. https://doi.org/10.3390/cryst11080950

Chicago/Turabian Style

Kondo, Mizuho, Yuya Morita, and Nobuhiro Kawatsuki. 2021. "Blue-Shifting Mechanofluorochromic Luminescent Behavior of Polymer Composite Films Using Gelable Mechanoresponsive Compound" Crystals 11, no. 8: 950. https://doi.org/10.3390/cryst11080950

APA Style

Kondo, M., Morita, Y., & Kawatsuki, N. (2021). Blue-Shifting Mechanofluorochromic Luminescent Behavior of Polymer Composite Films Using Gelable Mechanoresponsive Compound. Crystals, 11(8), 950. https://doi.org/10.3390/cryst11080950

Note that from the first issue of 2016, this journal uses article numbers instead of page numbers. See further details here.

Article Metrics

Back to TopTop