Chalcogen S∙∙∙S Bonding in Supramolecular Assemblies of Cadmium(II) Coordination Polymers with Pyridine-Based Ligands
Abstract
1. Introduction
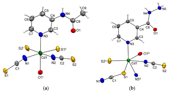
2. Results and Discussion
3. Conclusions
4. Materials and Methods
4.1. Synthesis of {[Cd(SCN)2(3-Acpy)]}n (1) in Bulk
Preparation of Single Crystals of 1
4.2. Synthesis of {[Cd(SCN)2(nia)]}n (2) in Bulk
Preparation of Single Crystals of 2
4.3. X-ray Crystallographic Analysis
Supplementary Materials
Author Contributions
Funding
Institutional Review Board Statement
Informed Consent Statement
Data Availability Statement
Conflicts of Interest
References
- De Azevedo Santos, L.; Ramalho, T.C.; Hamlin, T.A.; Bickelhaupt, F.M. Chalcogen bonds: Hierarchical ab initio benchmark and density functional theory performance study. J. Comput. Chem. 2021, 42, 688–698. [Google Scholar] [CrossRef] [PubMed]
- Ishigaki, Y.; Asai, K.; Jacquot de Rouville, H.-P.; Shimajiri, T.; Heitz, V.; Fujii-Shinomiya, H.; Suzuki, T. Molecular recognition by chalcogen bond: Selective charge-transfer crystal formation of dimethylnaphthalene with selenadiazolotetracyanonaphthoquinodimethane. Eur. J. Org. Chem. 2021, 990–997. [Google Scholar] [CrossRef]
- Kong, X.; Zhou, P.-P.; Wang, Y. Chalcogen···π bonding catalysis. Angew. Chem. Int. Ed. 2021, 60, 9395–9400. [Google Scholar] [CrossRef]
- Haakansson, C.T.; Corkish, T.R.; Watson, P.D.; Robinson, H.T.; Tsui, T.; McKinley, A.J.; Wild, D.A. Spectroscopic investigation of chalcogen bonding: Halide–carbon disulfide complexes. ChemPhysChem 2021, 22, 808–812. [Google Scholar] [CrossRef] [PubMed]
- Mahmudov, K.T.; Kopylovich, M.N.; Guedes da Silva, M.F.C.; Pombeiro, A.J.L. Chalcogen bonding in synthesis, catalysis and design of materials. Dalton Trans. 2017, 46, 10121–10138. [Google Scholar] [CrossRef]
- Dhaka, A.; Jeannin, O.; Jeon, I.-R.; Aubert, E.; Espinosa, E.; Fourmigué, M. Activating chalcogen bonding (ChB) in alkylseleno/alkyltelluroacetylenes toward chalcogen bonding directionality control. Angew. Chem. Int. Ed. 2020, 59, 23583–23587. [Google Scholar] [CrossRef]
- Peloquin, A.J.; McMillen, C.D.; Iacono, S.T.; Pennington, W.T. Halogen and chalcogen bonding between the triphenylphosphine chalcogenides (Ph3P=E.; E=O, S, Se) and iodofluorobenzenes. ChemPlusChem 2021, 86, 549–557. [Google Scholar] [CrossRef]
- Groom, C.R.; Bruno, I.J.; Lightfoot, M.P.; Ward, S.C. The Cambridge Structural Database. Acta Crystallogr. 2016, B72, 171–179. [Google Scholar] [CrossRef]
- Hu, B.; Wang, Y.-H.; Qian, H.-F.; Peng, Y.-X.; Huang, W. Tetranuclear Zn(II) and mononuclear Ni(II) based coordination polymers derived from a pair of isomeric 1,2,4-triazole ligands 3,5-disubstituted by pyridine and acetate ethyl ester groups. Polyhedron 2016, 106, 138–143. [Google Scholar] [CrossRef]
- Mirtamizdoust, B. Sonochemical synthesis of nano lead(II) metal-organic coordination polymer; New precursor for the preparation of nano-materials. Ultrason. Sonochem. 2017, 35, 263–269. [Google Scholar] [CrossRef] [PubMed]
- Notash, B. 1D helical cadmium coordination polymers containing hydrazide ligand: The role of solvent and molar ratio. J. Mol. Struct. 2018, 1156, 534–543. [Google Scholar] [CrossRef]
- Wang, X.-L.; Rong, X.; Liu, D.-N.; Lin, H.-Y.; Liu, G.-C.; Wang, X.; Song, G. Diverse polyoxometalate-based metal–organic complexes constructed by a tetrazole- and pyridyl-containing asymmetric amide ligand or its in situ transformed ligand. CrystEngComm 2016, 18, 5101–5109. [Google Scholar] [CrossRef]
- Aakeröy, C.B.; Hussain, I.; Forbes, S.; Desper, J. Versatile ligands for the construction of layered metal-containing networks. Aust. J. Chem. 2009, 62, 899–908. [Google Scholar] [CrossRef]
- Bigoli, F.; Braibanti, A.; Pellinghelli, M.A.; Tiripicchio, A. The crystal and molecular structure of mono-(N,N-diethylnicotinamide)cadmium dithiocyanate. Acta Crystallogr. 1972, B28, 962–966. [Google Scholar] [CrossRef]
- Shahverdizadeh, G.H.; Morsali, A. Sonochemical synthesis of one-dimensional nano-structure of three-dimensional cadmium(II) coordination polymer. J. Inorg. Organomet. Polym. 2011, 21, 694–699. [Google Scholar] [CrossRef]
- Wang, Y.-J.; Zhou, Q.-X.; Yue, L.; Zhao, X.-Q. Synthesis and structural characterization of a novel coordination polymer [Cd2(SCN)2(C8H6NO2)2(H2O)4]n. J. Coord. Chem. 2004, 57, 741–746. [Google Scholar] [CrossRef]
- Werner, J.; Boeckmann, J.; Näther, C. Investigations on the structure diversity and thermal degradation behavior of CdII and ZnII thiocyanato coordination compounds based on 3-acetylpyridine as neutral co-ligand. Z. Anorg. Allg. Chem. 2012, 638, 2257–2264. [Google Scholar] [CrossRef]
- Neumann, T.; Germann, L.S.; Moudrakovski, I.; Dinnebier, R.E.; dos Santos Cunha, C.; Terraschke, H.; Näther, C. Synthesis, crystal structures, and properties of M(NCS)2-3-aminomethylpyridine coordination compounds (M = Cd, Zn). Z. Anorg. Allg. Chem. 2017, 643, 1904–1912. [Google Scholar] [CrossRef]
- Neumann, T.; dos Santos Cunha, C.; Terraschke, H.; Germann, L.S.; Dinnebier, R.E.; Jess, I.; Näther, C. Synthesis, structures, and physical properties of thiocyanate coordination compounds with 3-hydroxymethylpyridine. Z. Anorg. Allg. Chem. 2017, 643, 1497–1507. [Google Scholar] [CrossRef]
- Saber, M.R.; Abu-Youssef, M.A.M.; Goher, M.A.S.; Sabra, B.A.; Hafez, A.K.; Badr, A.M.-A.; Mautner, F.A. 1D cadmium(II) thiocyanate systems: Synthesis and characterization of three new polymeric 1D cadmium(II) thiocyanato complexes. J. Mol. Struct. 2012, 1008, 17–23. [Google Scholar] [CrossRef]
- Đaković, M.; Popović, Z.; Giester, G.; Rajić-Linarić, M. Thiocyanate complexes of the group 12 metals with pyridine-2-carboxamide: Synthesis and structural characterization. Polyhedron 2008, 27, 210–222. [Google Scholar] [CrossRef]
- Đaković, M.; Popović, Z.; Giester, G.; Rajić-Linarić, M. Synthesis, spectroscopic and structural investigation of Zn(NCS)2(nicotinamide)2 and [Hg(SCN)2(nicotinamide)]n. Polyhedron 2008, 27, 465–472. [Google Scholar] [CrossRef]
- Li, C.-d.; Rittmann, L.S.; Tsiftsoglou, A.S.; Bhargava, K.K.; Sartorelli, A.C. Pyridine derivatives as potent inducers of erythroid differentiation in friend leukemia cells. J. Med. Chem. 1978, 21, 874–877. [Google Scholar] [CrossRef]
- Aakeröy, C.B.; Hussain, I.; Forbes, S.; Desper, J. Exploring the hydrogen-bond preference of N–H moieties in co-crystals assembled via O–H(acid)⋅⋅⋅N(py) intermolecular interactions. CrystEngComm 2007, 9, 46–54. [Google Scholar] [CrossRef]
- CrysAlis PRO; Agilent Technologies Ltd.: Yarnton, Oxfordshire, UK, 2014.
- Sheldrick, G.M. SHELXT—Integrated space-group and crystal-structure determination. Acta Crystallogr. 2015, A71, 3–8. [Google Scholar] [CrossRef] [PubMed]
- Sheldrick, G.M. Crystal structure refinement with SHELXL. Acta Crystallogr. 2015, C71, 3–8. [Google Scholar]
- Macrae, C.F.; Sovago, I.; Cottrell, S.J.; Galek, P.T.A.; McCabe, P.; Pidcock, E.; Platings, M.; Shields, G.P.; Stevens, J.S.; Towler, M.; et al. Mercury 4.0: From visualization to analysis, design and prediction. J. Appl. Crystallogr. 2020, 53, 226–235. [Google Scholar] [CrossRef]







| 1 | 2 | ||
|---|---|---|---|
| Bond lengths | |||
| Cd1–N1 | 2.301(3) | Cd1–N2 | 2.476(3) |
| Cd1–N2 | 2.279(3) | Cd1–N3 | 2.329(2) |
| Cd1–N3 | 2.358(3) | Cd1–N5iii | 2.356(2) |
| Cd1–O1i | 2.371(3) | Cd1–O1iii | 2.365(2) |
| Cd1–S1ii | 2.743(1) | Cd1–S1 | 2.6092(8) |
| Cd1–S2i | 2.670(1) | Cd1–S2iv | 2.6525(8) |
| Bond angles | |||
| N2–Cd1–N1 | 94.8(1) | N3–Cd1–N5iii | 153.96(8) |
| N2–Cd1–N3 | 86.4(1) | N3–Cd1–O1iii | 85.61(8) |
| N1–Cd1–N3 | 93.4(1) | N5iii–Cd1–O1iii | 70.14(7) |
| N2–Cd1–O1i | 89.7(1) | N3–Cd1–N2 | 85.84(8) |
| N1–Cd1–O1i | 84.3(1) | N5iii–Cd1–N2 | 82.02(9) |
| N3–Cd1–O1i | 175.2(1) | O1iii–Cd1–N2 | 82.95(8) |
| N2–Cd1–S2i | 173.92(9) | N3–Cd1–S1 | 108.79(6) |
| N1–Cd1–S2i | 91.14(9) | N5iii–Cd1–S1 | 90.37(6) |
| N3–Cd1–S2i | 94.69(8) | O1iii–Cd1–S1 | 152.83(5) |
| O1i–Cd1–S2i | 89.54(8) | N2–Cd1–S1 | 75.51(7) |
| N2–Cd1–S1ii | 90.17(8) | N3–Cd1–S2iv | 98.72(6) |
| N1–Cd1–S1ii | 172.40(9) | N5iii–Cd1–S2iv | 95.13(6) |
| N3–Cd1–S1ii | 92.65(8) | O1iii–Cd1–S2iv | 100.85(6) |
| O1i–Cd1–S1ii | 89.98(8) | N2–Cd1–S2iv | 174.22(7) |
| S2i–Cd1–S1ii | 83.81(3) | S1–Cd1–S2iv | 99.56(3) |
| D–H∙∙∙A | d(D–H)/Å | d(H∙∙∙A)/Å | d(D∙∙∙A)/Å | ∠(D–H∙∙∙A)/° | Symmetry code on A |
| 1 | |||||
| N4–H41∙∙∙S1 | 0.86(1) | 2.76(2) | 3.536(4) | 151(4) | x + 1/2, −y + 1, z |
| C3–H3∙∙∙O1 | 0.93 | 2.28 | 2.821(5) | 117 | x, y, z |
| 2 | |||||
| N4–H41∙∙∙S1 | 0.85(1) | 2.52(1) | 3.352(2) | 166(3) | x − 1, y, z |
| N5–H51∙∙∙N1 | 0.85(1) | 2.26(2) | 2.975(4) | 142(3) | x − 1, −y + 3/2, z − 1/2 |
| N5–H52∙∙∙N1 | 0.85(1) | 2.30(1) | 3.128(4) | 165(3) | −x + 1, −y + 1, −z + 1 |
| C3–H3∙∙∙N2 | 0.93 | 2.46 | 3.134(4) | 130 | x, y, z |
| Compound | 1 | 2 |
|---|---|---|
| Formula | {C9H8CdN4OS2}n | {C8H7CdN5OS2}n |
| Mr | 364.71 | 365.71 |
| Crystal system, space group | monoclinic, I2/a (No. 15) | monoclinic, P21/c (No. 14) |
| a (Å) | 15.427(2) | 10.3369(5) |
| b (Å) | 11.4615(6) | 9.5051(5) |
| c (Å) | 15.7306(17) | 12.2558(6) |
| β (°) | 115.734(15) | 90.203(4) |
| V (Å3) | 2505.6(5) | 1204.17(10) |
| Z | 8 | 4 |
| Dcalc (g cm–3) | 1.934 | 2.017 |
| μ (mm–1) | 2.064 | 2.149 |
| R [I ≥ 2σ(I)] | 0.0290 | 0.0225 |
| wR [all data] | 0.0729 | 0.0500 |
Publisher’s Note: MDPI stays neutral with regard to jurisdictional claims in published maps and institutional affiliations. |
© 2021 by the authors. Licensee MDPI, Basel, Switzerland. This article is an open access article distributed under the terms and conditions of the Creative Commons Attribution (CC BY) license (https://creativecommons.org/licenses/by/4.0/).
Share and Cite
Matijaković Mlinarić, N.; Penić, N.; Kukovec, B.-M.; Đaković, M. Chalcogen S∙∙∙S Bonding in Supramolecular Assemblies of Cadmium(II) Coordination Polymers with Pyridine-Based Ligands. Crystals 2021, 11, 697. https://doi.org/10.3390/cryst11060697
Matijaković Mlinarić N, Penić N, Kukovec B-M, Đaković M. Chalcogen S∙∙∙S Bonding in Supramolecular Assemblies of Cadmium(II) Coordination Polymers with Pyridine-Based Ligands. Crystals. 2021; 11(6):697. https://doi.org/10.3390/cryst11060697
Chicago/Turabian StyleMatijaković Mlinarić, Nives, Nikolina Penić, Boris-Marko Kukovec, and Marijana Đaković. 2021. "Chalcogen S∙∙∙S Bonding in Supramolecular Assemblies of Cadmium(II) Coordination Polymers with Pyridine-Based Ligands" Crystals 11, no. 6: 697. https://doi.org/10.3390/cryst11060697
APA StyleMatijaković Mlinarić, N., Penić, N., Kukovec, B.-M., & Đaković, M. (2021). Chalcogen S∙∙∙S Bonding in Supramolecular Assemblies of Cadmium(II) Coordination Polymers with Pyridine-Based Ligands. Crystals, 11(6), 697. https://doi.org/10.3390/cryst11060697

