Band-Engineered Structural Design of High-Performance Deep-Ultraviolet Light-Emitting Diodes
Abstract
1. Introduction
2. Device Structure and Parameters
3. Results and Analyses
3.1. The Al0.4Ga0.6N QWs
3.1.1. With n-Al0.6Ga0.4N Layer
3.1.2. With n-Al0.5Ga0.5N layer and n-Al0.7Ga0.3N Layer
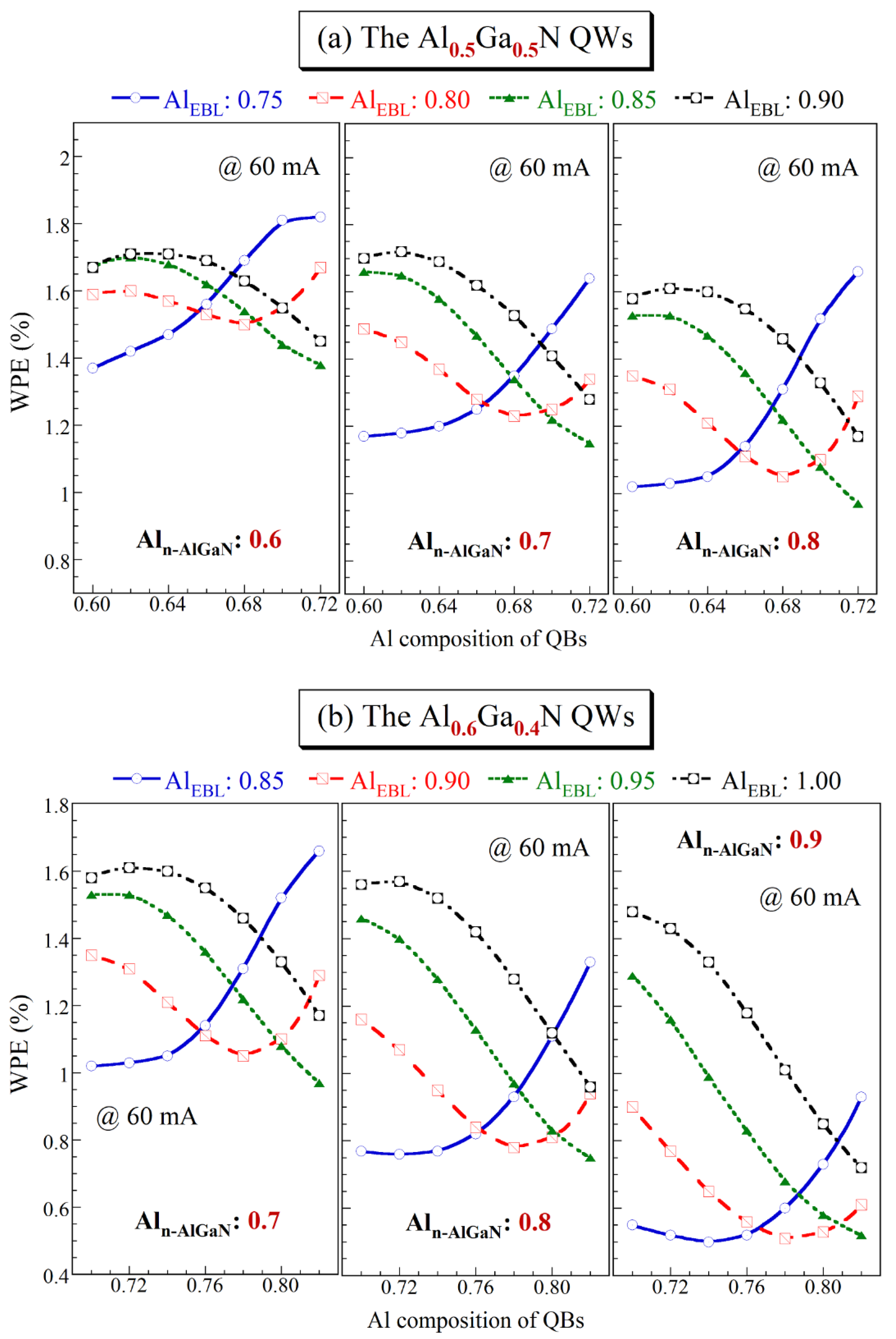
3.2. The Al0.5Ga0.5N and Al0.6Ga0.4N QWs
4. Conclusions
Author Contributions
Funding
Data Availability Statement
Conflicts of Interest
References
- Vurgaftman, I.; Meyer, J.R. Band parameters for nitrogen-containing semiconductors. J. Appl. Phys. 2003, 94, 3675. [Google Scholar] [CrossRef]
- Kneissl, M.; Kolbe, T.; Chua, C.; Kueller, V.; Lobo, N.; Stellmach, J.; Knauer, A.; Rodriguez, H.; Einfeldt, S.; Yang, Z.; et al. Advances in group III-nitride-based deep UV light-emitting diode technology. Semicond. Sci. Technol. 2011, 26, 014036. [Google Scholar] [CrossRef]
- Grandusky, J.R.; Gibb, S.R.; Mendrick, M.C.; Moe, C.; Wraback, M.; Schowalter, L.J. High Output Power from 260 nm Pseudomorphic Ultraviolet Light-Emitting Diodes with Improved Thermal Performance. Appl. Phys. Express 2011, 4, 082101. [Google Scholar] [CrossRef]
- Park, J.S.; Kim, J.K.; Cho, J.; Seong, T.Y. Review—Group III-Nitride-Based Ultraviolet Light-Emitting Diodes: Ways of Increasing External Quantum Efficiency. ECS J. Solid State Sci. Technol. 2017, 6, Q42. [Google Scholar] [CrossRef]
- Li, J.; Nam, K.B.; Nakarmi, M.L.; Lin, J.Y.; Jiang, H.X.; Carrier, P.; Wei, S.H. Band structure and fundamental optical transitions in wurtzite AlN. Appl. Phys. Lett. 2003, 83, 5163. [Google Scholar] [CrossRef]
- Kawanishi, H.; Senuma, M.; Yamamoto, M.; Niikura, E.; Nukui, T. Extremely weak surface emission from (0001) c-plane AlGaN multiple quantum well structure in deep-ultraviolet spectral region. Appl. Phys. Lett. 2006, 89, 081121. [Google Scholar] [CrossRef]
- Chen, Z.; Zhang, X.; Dou, Z.; Wei, T.; Liu, Z.; Qi, Y.; Ci, H.; Wang, Y.; Li, Y.; Chang, H.; et al. High-Brightness Blue Light-Emitting Diodes Enabled by a Directly Grown Graphene Buffer Layer. Adv. Mater. 2018, 30, 1801608. [Google Scholar] [CrossRef]
- Wang, P.; Pandey, A.; Gim, J.; Shin, W.J.; Reid, E.T.; Laleyan, D.A.; Sun, Y.; Zhang, D.; Liu, Z.; Zhong, Z.; et al. Graphene-assisted molecular beam epitaxy of AlN for AlGaN deep-ultraviolet light-emitting diodes. Appl. Phys. Lett. 2020, 116, 171905. [Google Scholar] [CrossRef]
- Kim, D.Y.; Park, J.H.; Lee, J.W.; Hwang, S.; Oh, S.J.; Kim, J.; Sone, C.; Schubert, E.F.; Kim, J.Y. Overcoming the fundamental light-extraction efficiency limitations of deep ultraviolet light-emitting diodes by utilizing transverse-magnetic-dominant emission. Light-Sci. Appl 2015, 4, e263. [Google Scholar] [CrossRef]
- Kashima, Y.; Maeda, N.; Matsuura, E.; Jo, M.; Iwai, T.; Morita, T.; Kokubo, M.; Tashiro, T.; Kamimura, R.; Osada, Y.; et al. High external quantum efficiency (10%) AlGaN-based deep-ultraviolet light-emitting diodes achieved by using highly reflective photonic crystal on p-AlGaN contact layer. Appl. Phys. Express 2018, 11, 012101. [Google Scholar] [CrossRef]
- Chen, Q.; Zhang, H.; Dai, J.; Zhang, S.; Wang, S.; He, J.; Liang, R.; Zhang, Z.-H.; Chen, C. Enhanced the Optical Power of AlGaN-Based Deep Ultraviolet Light-Emitting Diode by Optimizing Mesa Sidewall Angle. IEEE Photon J. 2018, 10, 6100807. [Google Scholar] [CrossRef]
- Mehnke, F.; Kuhn, C.; Stellmach, J.; Kolbe, T.; Lobo-Ploch, N.; Rass, J.; Rothe, M.-A.; Reich, C.; Ledentsov, N., Jr.; Pristovsek, M.; et al. Effect of heterostructure design on carrier injection and emission characteristics of 295 nm light emitting diodes. J. Appl. Phys. 2015, 117, 195704. [Google Scholar] [CrossRef]
- Guttmann, M.; Höpfner, J.; Reich, C.; Sulmoni, L.; Kuhn, C.; Röder, P.; Wernicke, T.; Kneissl, M. Effect of quantum barrier composition on electro-optical properties of AlGaN-based UVC light emitting diodes. Semicond. Sci. Technol. 2019, 34, 085007. [Google Scholar] [CrossRef]
- Kuo, Y.-K.; Chang, J.-Y.; Chen, F.-M.; Shih, Y.-H.; Chang, H.-T. Numerical Investigation on the Carrier Transport Characteristics of AlGaN Deep-UV Light-Emitting Diodes. IEEE J. Quantum Electron. 2016, 52, 3300105. [Google Scholar] [CrossRef]
- Chang, J.-Y.; Huang, M.-F.; Chen, F.-M.; Liou, B.-T.; Shih, Y.-H.; Kuo, Y.-K. Effects of quantum barriers and electron-blocking layer in deep-ultraviolet light-emitting diodes. J. Phys. D Appl. Phys. 2018, 51, 075106. [Google Scholar] [CrossRef]
- Chang, J.-Y.; Liou, B.-T.; Huang, M.-F.; Shih, Y.-H.; Chen, F.-M.; Kuo, Y.-K. High-Efficiency Deep-Ultraviolet Light-Emitting Diodes with Efficient Carrier Confinement and High Light Extraction. IEEE Trans. Electron Devices 2019, 66, 976. [Google Scholar] [CrossRef]
- APSYS, Crosslight Software. Vancouver, BC, Canada. 2015. Available online: http://www.crosslight.com (accessed on 27 January 2021).
- Yan, J.; Wang, J.; Zhang, Y.; Cong, P.; Sun, L.; Tian, Y.; Zhao, C.; Li, J.J. AlGaN-based deep-ultraviolet light-emitting diodes grown on High-quality AlN template using MOVPE. Cryst. Growth 2015, 414, 254. [Google Scholar] [CrossRef]
- Ryu, H.Y.; Kim, H.S.; Shim, J.I. Rate equation analysis of efficiency droop in InGaN light-emitting diodes. Appl. Phys. Lett. 2009, 95, 081114. [Google Scholar] [CrossRef]
- Piprek, J.; Li, Z.S. Band offsets and heterostructures of two-dimensional semiconductors. Appl. Phys. Lett. 2013, 102, 0235100. [Google Scholar]
- Kuo, Y.-K.; Chang, J.-Y.; Chang, H.-T.; Chen, F.-M.; Shih, Y.-H.; Liou, B.-T. Polarization Effect in AlGaN-Based Deep-Ultraviolet Light-Emitting Diodes. IEEE J. Quantum Electron. 2017, 53, 3300106. [Google Scholar] [CrossRef]
- Miller, D.A.B.; Chemla, D.S.; Damen, T.C. Band-Edge Electroabsorption in Quantum Well Structures: The Quantum-Confined Stark Effect. Phys. Rev. Lett. 1984, 53, 2173. [Google Scholar] [CrossRef]
- Kuo, Y.-K.; Chang, J.-Y.; Tsai, M.-C.; Yen, S.-H. Advantages of blue InGaN multiple-quantum well light-emitting diodes with InGaN barriers. Appl. Phys. Lett. 2009, 95, 011116. [Google Scholar] [CrossRef]









| Al0.4Ga0.6N QWs | @ 60 mA | ||||
|---|---|---|---|---|---|
| Aln-AlGaN | AlEBL | AlQBs | Power (mW) | Voltage (V) | WPE (%) |
| 0.50 | 0.65 | 0.58 | 7.99 | 6.73 | 1.98 |
| 0.50 | 0.65 | 0.60 | 8.04 | 6.71 | 2.00 |
| 0.50 | 0.65 | 0.62 | 7.83 | 6.68 | 1.95 |
| 0.50 | 0.70 | 0.60 | 7.85 | 6.85 | 1.91 |
| 0.50 | 0.70 | 0.62 | 7.96 | 6.83 | 1.94 |
| 0.60 | 0.80 | 0.52 | 8.20 | 7.20 | 1.90 |
| Al0.5Ga0.5N QWs | @ 60 mA | ||||
|---|---|---|---|---|---|
| Aln-AlGaN | AlEBL | AlQBs | Power (mW) | Voltage (V) | WPE (%) |
| 0.60 | 0.75 | 0.70 | 7.72 | 7.12 | 1.81 |
| 0.60 | 0.75 | 0.72 | 7.77 | 7.10 | 1.82 |
| 0.60 | 0.90 | 0.62 | 7.68 | 7.48 | 1.71 |
| 0.60 | 0.90 | 0.64 | 7.70 | 7.49 | 1.71 |
| 0.70 | 0.90 | 0.60 | 7.81 | 7.65 | 1.70 |
| 0.70 | 0.90 | 0.62 | 7.91 | 7.66 | 1.72 |
| Al0.6Ga0.4N QWs | @ 60 mA | ||||
|---|---|---|---|---|---|
| Aln-AlGaN | AlEBL | AlQBs | Power (mW) | Voltage (V) | WPE (%) |
| 0.70 | 0.85 | 0.82 | 7.55 | 7.58 | 1.66 |
| 0.70 | 1.00 | 0.70 | 7.55 | 7.96 | 1.58 |
| 0.70 | 1.00 | 0.72 | 7.72 | 7.98 | 1.61 |
| 0.70 | 1.00 | 0.74 | 7.67 | 7.99 | 1.60 |
| 0.80 | 1.00 | 0.70 | 7.69 | 8.20 | 1.56 |
| 0.80 | 1.00 | 0.72 | 7.72 | 8.21 | 1.57 |
Publisher’s Note: MDPI stays neutral with regard to jurisdictional claims in published maps and institutional affiliations. |
© 2021 by the authors. Licensee MDPI, Basel, Switzerland. This article is an open access article distributed under the terms and conditions of the Creative Commons Attribution (CC BY) license (http://creativecommons.org/licenses/by/4.0/).
Share and Cite
Chang, J.-Y.; Huang, M.-F.; Huang, C.-Y.; Lin, S.-C.; Wang, C.-C.; Kuo, Y.-K. Band-Engineered Structural Design of High-Performance Deep-Ultraviolet Light-Emitting Diodes. Crystals 2021, 11, 271. https://doi.org/10.3390/cryst11030271
Chang J-Y, Huang M-F, Huang C-Y, Lin S-C, Wang C-C, Kuo Y-K. Band-Engineered Structural Design of High-Performance Deep-Ultraviolet Light-Emitting Diodes. Crystals. 2021; 11(3):271. https://doi.org/10.3390/cryst11030271
Chicago/Turabian StyleChang, Jih-Yuan, Man-Fang Huang, Chih-Yung Huang, Shih-Chin Lin, Ching-Chiun Wang, and Yen-Kuang Kuo. 2021. "Band-Engineered Structural Design of High-Performance Deep-Ultraviolet Light-Emitting Diodes" Crystals 11, no. 3: 271. https://doi.org/10.3390/cryst11030271
APA StyleChang, J.-Y., Huang, M.-F., Huang, C.-Y., Lin, S.-C., Wang, C.-C., & Kuo, Y.-K. (2021). Band-Engineered Structural Design of High-Performance Deep-Ultraviolet Light-Emitting Diodes. Crystals, 11(3), 271. https://doi.org/10.3390/cryst11030271

