Luminescence Spectroscopy and Origin of Luminescence Centers in Bi-Doped Materials
Abstract
1. Introduction
2. Ultraviolet Luminescence of Single Bi3+ Centers in Bi3+-Doped Compounds
2.1. Characteristics of the Ultraviolet Luminescence
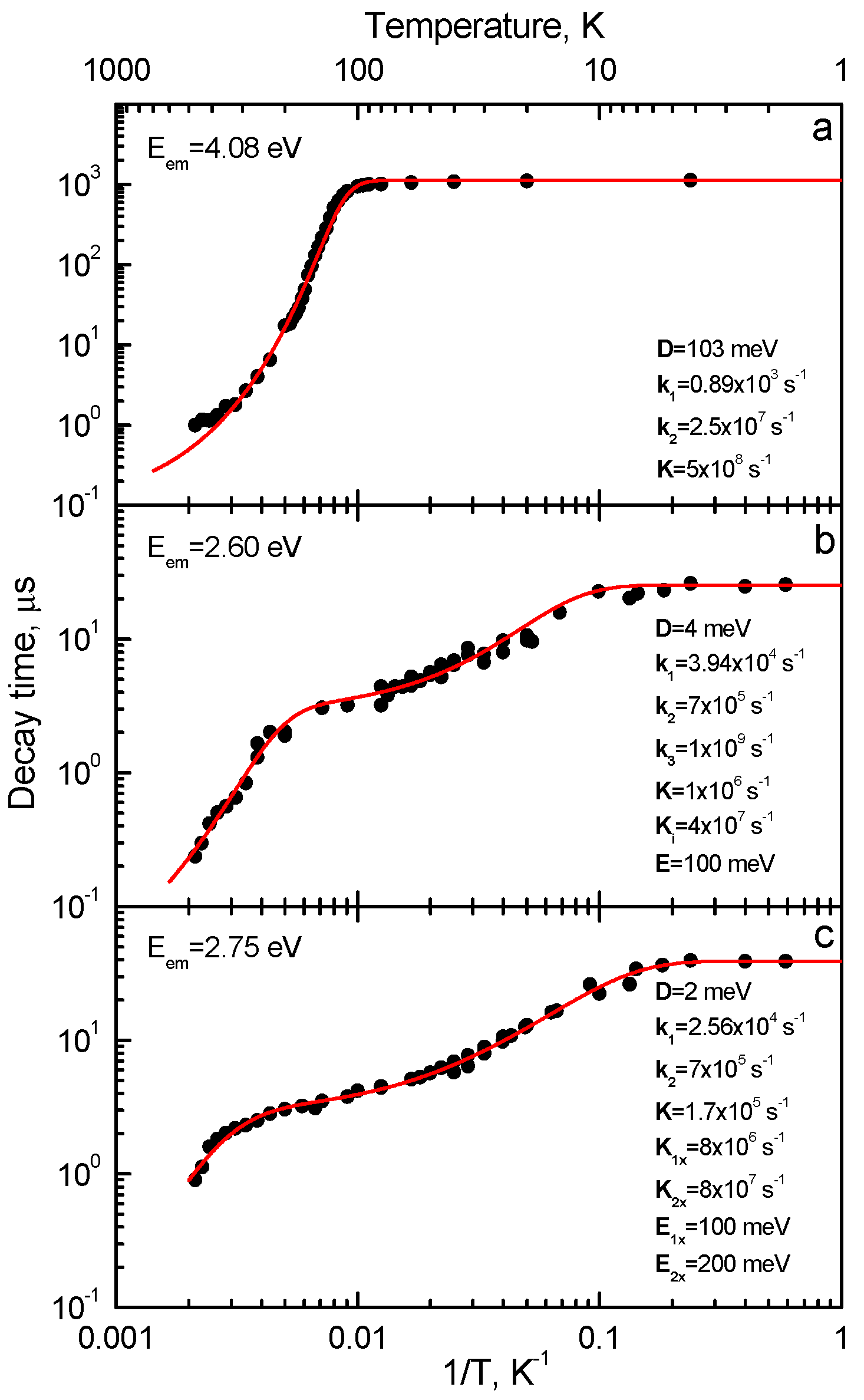
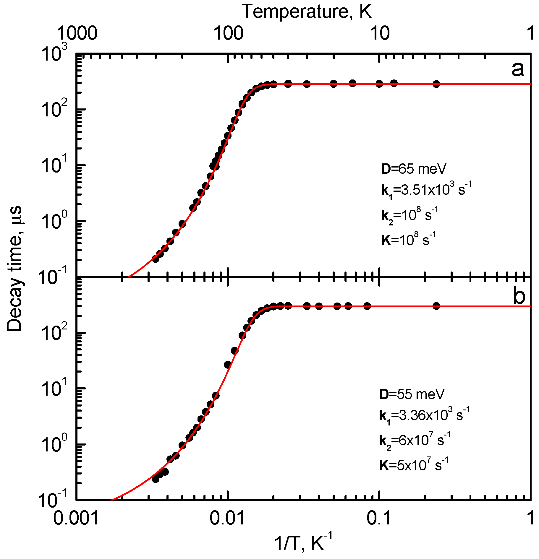
2.2. Dynamics of the Triplet Excited State of Bi3+ Centers
2.3. Relaxed Excited States Models
3. Visible Luminescence of Bi3+-Doped Compounds
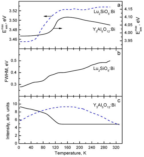
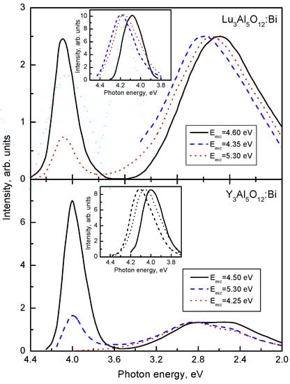
3.1. Characteristics of the Visible Luminescence
3.2. Dynamics of the Bi3+-Related Exciton-Like States
3.3. On the Origin of the Excited States Responsible for the VIS Luminescence
3.4. On the Origin of the Visible Luminescence
3.5. On Possible Mechanisms of Processes Responsible for the VIS Luminescence
4. On the Dependence of the UV/VIS Emission Intensity Ratio on the Band-Gap and Band-Edge Energy
5. On the Luminescence Ascribed in Literature to {Bi3+ - Bi3+} Dimers and Bi3+ Clusters
5.1. Ultraviolet Luminescence
5.2. Visible Luminescence
6. The Bi2+, Bi+ and Bi0 Emission Centers
7. Conclusions
Author Contributions
Funding
Acknowledgments
Conflicts of Interest
Appendix A
Appendix A.1. Bi3+-Doped Alkali Halides
Appendix A.2. Bi3+-Doped Alkaline-Earth Oxides, Sulfides, and Fluorides
Appendix A.3. Bi3+-Doped Lanthanide Oxides
Appendix A.4. Bi3+-Doped Garnets
Appendix A.5. Bi3+-Doped Aluminum Perovskites YAlO3 and GdAlO3
Appendix A.6. Bi3+-Doped Oxyorthosilicates
Appendix A.7. Bi3+-Doped Tungstates
Appendix A.8. Bi3+-Doped Phosphates
Appendix A.9. Bi3+-Doped Rare-Earth Orthovanadates
Appendix A.10. Bi3+-Doped Lanthanide Niobates
Appendix A.11. Bi3+-Doped Borates
References
- Blasse, G.; Bril, A. Investigations on Bi3+-activated phosphors. J. Chem. Phys. 1968, 48, 217–222. [Google Scholar] [CrossRef]
- Lushchik, C.; Gindina, R.; Zazubovich, S.; Lushchik, N. Nature of the luminescence centers in ionic crystals. Czechoslov. J. Phys. 1970, 20B, 585–604. [Google Scholar] [CrossRef]
- Boulon, G. Processus de photoluminescence dans les oxydes et les orthovanadates de terres rares polycristallins actives par l’ion Bi3+. J. de Physique (France) 1971, 32, 333–347. [Google Scholar] [CrossRef]
- Boulon, G. Spectroscopy of post-transition metal ions. In Spectroscopy of Solid-State Laser-Type Materials; Di Bartolo, B., Ed.; Plenum Press: New York, NY, USA, 1987; Volume 30, pp. 223–266. [Google Scholar]
- Blasse, G. Luminescence of inorganic solids: From isolated centers to concentrated systems. Prog. Solid State Chem. 1988, 18, 79–171. [Google Scholar] [CrossRef]
- Blasse, G.; Grabmaier, B.C. Luminescent Materials; Springer: Berlin, Germany, 1994. [Google Scholar]
- Boutinaud, P. Revisiting the spectroscopy of the Bi3+ ion in oxide compounds. Inorg. Chem. 2013, 52, 6028–6038. [Google Scholar] [CrossRef]
- Sun, H.-T.; Zhou, J.; Qui, J. Recent advances in bismuth activated photonic materials. Prog. Mater. Sci. 2014, 64, 1–72. [Google Scholar] [CrossRef]
- Zazubovich, S.; Krasnikov, A.; Zorenko, Y.; Gorbenko, V.; Babin, V.; Mihokova, E.; Nikl, M. Luminescence of Pb- and Bi-related centers in aluminum garnet, perovskite and orthosilicate single crystalline films. In Nanocomposite, Ceramic and Thin Film Scintillators; Nikl, M., Ed.; Pan Stanford Publishing Pte. Ltd.: Singapore, 2016; Chapter 6; pp. 227–302. [Google Scholar]
- Awater, R.H.P.; Dorenbos, P. The Bi3+ 6s and 6p electron binding energies in relation to the chemical environment of inorganic compounds. J. Lumin. 2017, 184, 221–231. [Google Scholar] [CrossRef]
- Swart, H.C.; Kroon, R.E. Ultraviolet and visible luminescence from bismuth doped materials. Opt. Mater. X 2019, 2, 100025. [Google Scholar] [CrossRef]
- Ilmer, M.; Grabmaier, B.C.; Blasse, G. Luminescence of Bi3+ in gallate garnets. Chem. Mat. 1994, 6, 204–206. [Google Scholar] [CrossRef]
- Nikl, M.; Novoselov, A.; Mihokova, E.; Polak, K.; Dusek, M.; McClune, B.; Yoshikawa, A.; Fukuda, T. Photoluminescence of Bi3+ in Y3Ga5O12 single-crystal host. J. Phys. Condens. Matter 2005, 17, 3367–3375. [Google Scholar] [CrossRef]
- Setlur, A.A.; Srivastava, A.M. The nature of Bi3+ luminescence in garnet hosts. Opt. Mater. 2006, 29, 410–415. [Google Scholar] [CrossRef]
- Zorenko, Y.; Gorbenko, V.; Voznyak, T.; Vistovsky, V.; Nedilko, S.; Nikl, M. Luminescence of Bi3+ ions in Y3Al5O12:Bi single crystalline films. Radiat. Meas. 2007, 42, 882–886. [Google Scholar] [CrossRef]
- Babin, V.; Gorbenko, V.; Krasnikov, A.; Makhov, A.; Mihokova, E.; Nikl, M.; Zazubovich, S.; Zorenko, Y. Origin of Bi3+-related luminescence centers in Lu3Al5O12:Bi and Y3Al5O12:Bi single crystalline films and the structure of their relaxed excited states. Phys. Status Solidi B 2012, 249, 1039–1045. [Google Scholar] [CrossRef]
- Babin, V.; Gorbenko, V.; Krasnikov, A.; Makhov, A.; Nikl, M.; Zazubovich, S.; Zorenko, Y. Photoluminescence of Lu3Al5O12:Bi and Y3Al5O12:Bi single crystalline films. Radiat. Meas. 2010, 45, 331–335. [Google Scholar] [CrossRef]
- Babin, V.; Gorbenko, V.; Krasnikov, A.; Makhov, A.; Nikl, M.; Polak, K.; Zazubovich, S.; Zorenko, Y. Peculiarities of excited state structure and photoluminescence in Bi3+-doped Lu3Al5O12 single-crystalline films. J. Phys. Condens. Matter 2009, 21, 415502. [Google Scholar] [CrossRef]
- Zorenko, Y.; Mares, J.A.; Kucerkova, R.; Gorbenko, V.; Savchun, V.; Voznyak, T.; Nikl, M.; Beitlerova, A.; Jurek, K. Optical, luminescence and scintillation characteristics of Bi-doped LuAG and YAG single crystalline films. J. Phys. D Appl. Phys. 2009, 42, 075501. [Google Scholar] [CrossRef]
- Babin, V.; Gorbenko, V.; Krasnikov, A.; Mihokova, E.; Nikl, M.; Zazubovich, S.; Zorenko, Y. Photoluminescence and excited state structure in Bi3+-doped Y2SiO5 single crystalline films. Radiat. Meas. 2013, 56, 90–93. [Google Scholar] [CrossRef]
- Gorbenko, V.; Krasnikov, A.; Mihokova, E.; Nikl, M.; Zazubovich, S.; Zorenko, Y. Photoluminescence and excited state structure of Bi3+-related centers in Lu2SiO5:Bi single crystalline films. J. Lumin. 2013, 134, 469–476. [Google Scholar] [CrossRef]
- Krasnikov, A.; Lipińska, L.; Mihokova, E.; Nikl, M.; Shalapska, T.; Suchocki, A.; Zazubovich, S.; Zhydachevskii, Y. Time-resolved photoluminescence and excited state structure of Bi3+ center in YAlO3. Opt. Mater. 2014, 36, 1705–1708. [Google Scholar] [CrossRef]
- Chen, L.; Zheng, H.; Cheng, J.; Song, P.; Yang, G.; Zhang, G.; Wu, C. Site-selective luminescence of Bi3+ in the YBO3 host under vacuum ultraviolet excitation at low temperature. J. Lumin. 2008, 128, 2027–2030. [Google Scholar] [CrossRef]
- Srivastava, A.M.; Camardello, S.J. Concentration dependence of the Bi3+ luminescence in LnPO4 (Ln = Y3+, Lu3+). Opt. Mater. 2015, 39, 130–133. [Google Scholar] [CrossRef]
- Mu, Z.; Hu, Y.; Chen, L.; Wang, X. Enhanced luminescence of Dy3+ in Y3Al5O12 by Bi3+ co-doping. J. Lumin. 2011, 131, 1687–1691. [Google Scholar] [CrossRef]
- Chen, L.; Chen, K.J.; Lin, C.C.; Chu, C.I.; Hu, S.F.; Lee, M.H.; Liu, R.S. Combinatorial approach to the development of a single mass YVO4:Bi3+,Eu3+ phosphor with red and green dual colors for high color rendering white light-emitting diodes. J. Comb. Chem. 2010, 12, 587–594. [Google Scholar] [CrossRef] [PubMed]
- Xia, Z.; Chen, D.; Yang, M.; Ying, T. Synthesis and luminescence properties of YVO4:Eu3+, Bi3+ phosphor with enhanced photoluminescence by Bi3+ doping. J. Phys. Chem. Sol. 2010, 71, 175–180. [Google Scholar] [CrossRef]
- Kang, F.; Peng, M.; Zhang, Q.; Qiu, J. Abnormal anti-quenching and controllable multi-transitions of Bi3+ luminescence by temperature in a yellow-emitting LuVO4:Bi3+ phosphor for UV-converted white LEDs. Chem. Eur. J. 2014, 20, 11522–11530. [Google Scholar] [CrossRef] [PubMed]
- Kang, F.; Peng, M.; Yang, X.; Dong, G.; Nie, G.; Liang, W.; Xu, S.; Qiu, J. Broadly tuning Bi3+ emission via crystal field modulation in solid solution compounds (Y,Lu,Sc)VO4:Bi for ultraviolet converted white LEDs. J. Mater. Chem. C 2014, 2, 6068–6076. [Google Scholar] [CrossRef]
- Kang, F.; Yang, X.; Peng, M.; Wondraczek, L.; Ma, Z.; Zhang, Q.; Qiu, J. Red photoluminescence from Bi3+ and the influence of the oxygen-vacancy perturbation in ScVO4: A combined experimental and theoretical study. J. Phys. Chem. C 2014, 118, 7515–7522. [Google Scholar] [CrossRef]
- Kang, F.; Zhang, Y.; Wondraczek, L.; Zhu, J.; Yang, X.; Peng, M. Processing-dependence and the nature of the blue-shift of Bi3+-related photoemission in ScVO4 at elevated temperatures. J. Mater. Chem. 2014, 2, 9850–9857. [Google Scholar]
- Kang, F.; Zhang, Y.; Peng, M. Controlling the energy transfer via multiluminescent centers to achieve white light/tunable emissions in a single-phased X2-type Y2SiO5:Eu3+,Bi3+ phosphor for ultraviolet converted LEDs. Inorg. Chem. 2015, 54, 1462–1473. [Google Scholar] [CrossRef]
- Huang, X.Y.; Wang, J.X.; Yu, D.C.; Ye, S.; Zhang, Q.Y.; Sun, X.W. Spectral conversion for solar cell efficiency enhancement using YVO4:Bi3+,Ln3+ (Ln = Dy, Er, Ho, Eu, Sm, and Yb) phosphors. J. Appl. Phys. 2011, 109, 113526. [Google Scholar] [CrossRef]
- Chen, D.; Yu, Y.; Huang, P.; Lin, H.; Shan, Z.; Zeng, L.; Yang, A.; Wang, Y. Color-tunable luminescence for Bi3+/Ln3+:YVO4 (Ln = Eu, Sm, Dy, Ho) nanophosphors excitable by near-ultraviolet light. Phys. Chem. Chem. Phys. 2010, 12, 7775–7778. [Google Scholar] [CrossRef] [PubMed]
- Zeng, L.; Tang, Q.; Lin, B.; Zhou, H.; Liu, G.; Li, Y.; Chen, D. Fabrication of Bi3+/Ln3+:LuVO4 (Ln = Eu, Sm, Dy, Ho) nanophosphors and its color-tunable optical performance. J. Lumin. 2018, 194, 667–674. [Google Scholar] [CrossRef]
- Park, W.J.; Jung, M.K.; Im, S.J.; Yoon, D.H. Photoluminescence characteristics of energy transfer between Bi3+ and Eu3+ in LnVO4: Eu, Bi (Ln = Y, La, Gd). Colloids Surf. A Physicochem. Eng. Asp. 2008, 313–314, 373–377. [Google Scholar] [CrossRef]
- Lenczewska, K.; Tomala, R.; Hreniak, D. Near-UV sensitized NIR emission in Nd3+ and Bi3+ co-doped GdVO4 phosphors. Opt. Mater. 2017, 74, 12–15. [Google Scholar] [CrossRef]
- Zeng, L.; Liu, Y.; Lin, B.; Tang, Q.; Zhou, H.; Zeng, J.; Liu, G.; Chen, D. Rational design of Bi3+/Ln3+:GdVO4 (Ln = Eu, Sm, Dy, Ho) nanophosphor: Synthesis, characterization and color-tunable property. Opt. Mater. 2018, 77, 204–210. [Google Scholar] [CrossRef]
- Natarajan, V.; Dhobale, A.R.; Lu, C.-H. Preparation and characterization of tunable YVO4: Bi3+, Sm3+ phosphors. J. Lumin. 2009, 129, 290–293. [Google Scholar] [CrossRef]
- Zhao, M.; Li, G.; Zheng, J.; Li, L.; Yang, L. Fabrication of assembled-spheres YVO4: (Ln3+, Bi3+) towards optically tunable emission. CrystEngComm. 2012, 14, 2062–2070. [Google Scholar] [CrossRef]
- Lenczewska, K.; Gerasymchuk, Y.; Vu, N.; Liem, N.Q.; Boulon, G.; Hreniak, D. The size effect on the energy transfer in Bi3+–Eu3+ co-doped GdVO4 nanocrystals. J. Mater. Chem. C 2017, 5, 3014–3023. [Google Scholar] [CrossRef]
- Matos, M.G.; Rocha, L.A.; Nassar, E.J.; Verelst, M. Influence of Bi3+ ions on the excitation wavelength of the YVO4:Eu3+ matrix. Opt. Mater. 2016, 62, 12–18. [Google Scholar]
- Yang, L.; Mi, X.; Su, J.; Zhang, X.; Bai, Z.; Wang, N.; Lin, J. Tunable luminescence and energy transfer properties in YVO4:Bi3+,Ln3+ (Ln = Dy, Sm, Eu) phosphors prepared by microwave sintering method. J. Mater. Sci. Mater. Electron. 2018, 29, 7941–7951. [Google Scholar] [CrossRef]
- Cavalli, E.; Angiuli, F.; Belletti, A.; Boutinaud, P. Luminescence spectroscopy of YVO4:Ln3+, Bi3+ (Ln3+ = Eu3+, Sm3+, Dy3+) phosphors. Opt. Mater. 2014, 36, 1642–1648. [Google Scholar] [CrossRef]
- Park, W.J.; Jung, M.K.; Yoon, D.H. Influence of Eu3+, Bi3+ co-doping content on photoluminescence of YVO4 red phosphors induced by ultraviolet excitation. Sens. Actuators B 2007, 126, 324–327. [Google Scholar] [CrossRef]
- Zhydachevskii, Y.; Lipińska, L.; Baran, M.; Berkowski, M.; Suchocki, A.; Reszka, A. Broadband down-conversion in Bi3+-Yb3+-codoped yttrium and yttrium-aluminum oxides. Mater. Chem. Phys. 2014, 143, 622–628. [Google Scholar] [CrossRef]
- Huang, X.Y.; Zhang, Q.Y. Near-infrared quantum cutting via cooperative energy transfer in Gd2O3:Bi3+, Yb3+ phosphors. J. Appl. Phys. 2010, 107, 063505. [Google Scholar] [CrossRef]
- Zhydachevskyy, Y.; Tsiumra, V.; Baran, M.; Lipińska, L.; Sybilski, P.; Suchocki, A. Quantum efficency of the down-conversion process in Bi3+ - Yb3+ co-doped Gd2O3. J. Lumin. 2018, 196, 169–173. [Google Scholar] [CrossRef]
- Zhuang, Y.; Ueda, J.; Tanabe, S. Photochromism and white long-lasting persistent luminescence in Bi3+-doped ZnGa2O4 ceramics. Opt. Mater. Express 2012, 2, 1378–1383. [Google Scholar] [CrossRef]
- Wang, S.; Chen, W.; Zhou, D.; Qui, J.; Xu, X.; Yu, X. Long persistent properties of CaGa2O4:Bi3+ at different ambient temperature. J. Am. Ceram. Soc. 2017, 100, 3514–3521. [Google Scholar] [CrossRef]
- Wang, T.; Xu, X.; Zhou, D.; Yang, Y.; Qui, J.; Yu, X. Effect of defect distribution on the optical storage properties of strontium gallates with a low-dimensional chain structure. Inorg. Chem. 2016, 55, 894–901. [Google Scholar] [CrossRef]
- Jia, D.D.; Zhu, J.; Wu, B.Q. Improvement of persistent phosphorescence of Ca0.9Sr0.1S:Bi3+ by codoping Tm3+. J. Lumin. 2000, 91, 59–65. [Google Scholar] [CrossRef]
- Sun, W.; Pang, R.; Li, H.; Li, D.; Jiang, L.; Zhang, S.; Fu, J.; Li, C. Investigation of a novel color tunable long afterglow phosphor KGaGeO4:Bi3+: Luminescence properties and mechanism. J. Mater. Chem. C 2017, 5, 1346–1355. [Google Scholar] [CrossRef]
- Jin, Y.; Hu, Y.; Chen, L.; Wang, X.; Ju, G.; Mu, Z. Persistent luminescence in Bi3+ doped CaWO4 matrix. Radiat. Meas. 2013, 51–52, 18–24. [Google Scholar] [CrossRef]
- Yang, Z.; Liao, J.; Wang, T.; Wu, H.; Qiu, J.; Song, Z.; Zhou, D. Ultraviolet long afterglow emission in Bi3+ doped CdSiO3 phosphors. Mater. Express 2014, 4, 172–176. [Google Scholar] [CrossRef]
- Liu, Z.; Ding, Y.; Meng, C.Z.Y.; Tang, J.; Qiu, Q. An efficient UV converted blue-emitting Lu2CaGeO6:Bi3+ persistent phosphor for potential application in photocatalysis. Ceramics. Int. 2018, 44, 14712–14716. [Google Scholar] [CrossRef]
- Dou, X.; Xiang, H.; Wei, P.; Zhang, S.; Ju, G.; Meng, Z.; Chen, L.; Hu, Y.; Li, Y. A novel phosphor CaZnGe2O6:Bi3+ with persistent luminescence and photo-stimulated luminescence. Mater. Res. Bull. 2018, 105, 226–230. [Google Scholar] [CrossRef]
- Wang, X.; Boutinaud, P.; Li, L.; Cao, J.; Xiong, P.; Li, X.; Luo, H.; Peng, M. Novel persistent and tribo-luminescence from bismuth ion pairs doped strontium gallate. J. Mater. Chem. C 2018, 6, 10367–10375. [Google Scholar] [CrossRef]
- Wang, W.; Sun, Z.; He, X.; Wei, Y.; Zou, Z.; Zhang, J.; Wang, Z.; Zhang, Z.; Wang, Y. How to design ultraviolet emitting persistent materials for potential multifunctional applications: A living example of a NaLuGeO4:Bi3+, Eu3+ phosphor. J. Mater. Chem. C 2017, 5, 4310–4318. [Google Scholar] [CrossRef]
- Feng, P.; Wei, Y.; Wang, Y.; Zhang, J.; Li, H.; Ci, Z.; Xie, R. Long persistent phosphor CdSiO3:Gd3+,Bi3+ and potential photocatalytic application of CdSiO3:Gd3+,Bi3+@TiO2 in dark. J. Amer. Ceram. Soc. 2016, 99, 2368–2375. [Google Scholar] [CrossRef]
- Lai, S.; Yang, Z.; Liao, J.; Qiu, J.; Song, Z.; Yang, Y.; Zhou, D. Investigation of persistent luminescence property of Bi3+, Dy3+ co-doped CdSiO3 phosphor. Mater. Res. Bull. 2014, 60, 714–718. [Google Scholar] [CrossRef]
- Xiong, P.; Peng, M. Recent advances in ultraviolet persistent phosphors. Opt. Mater. X 2019, 2, 100022. [Google Scholar] [CrossRef]
- Back, M.; Ueda, J.; Xu, J.; Asami, K.; Amidani, L.; Trave, E.; Tanabe, S. Uncovering the origin of the emitting states in Bi3+-activated CaMO3 (M = Zr, Sn, Ti) perovskites: Metal-to-metal charge transfer versus s−p transitions. J. Phys. Chem. C 2019, 123, 14677–14688. [Google Scholar] [CrossRef]
- Boutinaud, P.; Cavalli, E. Predicting metal-to-metal charge transfer in closed-shell transition metal oxides doped with Bi3+ or Pb2+. Chem. Phys. Lett. 2011, 503, 239–243. [Google Scholar] [CrossRef]
- Amer, M.; Boutinaud, P. On the character of the optical transitions in closed-shell transition metal oxides doped with Bi3+. Phys. Chem. Chem. Phys. 2017, 19, 2591–2596. [Google Scholar] [CrossRef] [PubMed]
- Eucken, A. (Ed.) Landolt-Börnstein Zahlenwerte und Funktionen, I Band, Atom- und Molekularphysik, I Teil, Atome und Ionen; Springer: Berlin, Germany, 1950; p. 439. [Google Scholar]
- Lushchik, N.E.; Lushchik, C.B. Spectroscopy of luminescence centers in alkali halides activated by gomological rows of ions. Sov. Phys. Opt. Spectrosc. 1960, 8, 839–846. [Google Scholar]
- Blasse, G.; van der Steen, A.C. Luminescence characteristics of Bi3+-activated oxides. Solid St. Commun. 1979, 31, 993–994. [Google Scholar] [CrossRef]
- Moncorge, R.; Jacquier, B.; Boulon, G. Temperature dependent luminescence of Bi4Ge3O12: Discussion of possible models. J. Lumin. 1976, 14, 337–348. [Google Scholar]
- Babin, V.; Lipińska, L.; Mihokova, E.; Nikl, M.; Shalapska, T.; Suchocki, A.; Zazubovich, S.; Zhydachevskii, Y. Time-resolved spectroscopy of Bi3+ centers in Y4Al2O9. Opt. Mater. 2015, 46, 104–108. [Google Scholar] [CrossRef]
- Babin, V.; Chernenko, K.; Lipińska, L.; Mihokova, E.; Nikl, M.; Schulman, L.S.; Shalapska, T.; Suchocki, A.; Zazubovich, S.; Zhydachevskii, Y. Luminescence and excited state dynamics of Bi3+ centers in Y2O3. J. Lumin. 2015, 167, 268–277. [Google Scholar] [CrossRef]
- Babin, V.; Chernenko, K.; Demchenko, P.; Mihokova, E.; Nikl, M.; Pashuk, I.; Shalapska, T.; Voloshinovskii, A.; Zazubovich, S. Luminescence and excited state dynamics in Bi3+-doped LiLaP4O12 phosphates. J. Lumin. 2016, 176, 324–330. [Google Scholar] [CrossRef]
- Buryi, M.; Bohacek, P.; Chernenko, K.; Krasnikov, A.; Laguta, V.V.; Mihokova, E.; Nikl, M.; Zazubovich, S. Luminescence and photo-thermally stimulated defect-creation processes in Bi3+-doped single crystals of lead tungstate. Phys. Status Solidi B 2016, 253, 895–910. [Google Scholar] [CrossRef]
- Krasnikov, A.; Luchechko, A.; Mihokova, E.; Nikl, M.; Syvorotka, I.I.; Zazubovich, S.; Zhydachevskii, Y. Origin of Bi3+-related luminescence in Gd3Ga5O12:Bi epitaxial films. J. Lumin. 2017, 190, 81–88. [Google Scholar] [CrossRef]
- Tsiumra, V.; Krasnikov, A.; Zazubovich, S.; Zhydachevskyy, Y.; Vasylechko, L.; Baran, M.; Wachnicki, L.; Lipinska, L.; Nikl, M.; Suchocki, A. Crystal structure and luminescence studies of microcrystalline GGG:Bi3+ and GGG:Bi3+, Eu3+ as UV-to-VIS converting phosphors for white LEDs. J. Lumin. 2019, 213, 278–289. [Google Scholar] [CrossRef]
- Krasnikov, A.; Tsiumra, V.; Vasylechko, L.; Zazubovich, S.; Zhydachevskyy, Y. Photoluminescence origin in Bi3+-doped YVO4, LuVO4, and GdVO4 orthovanadates. J. Lumin. 2019, 212, 52–60. [Google Scholar] [CrossRef]
- Baran, M.; Kissabekova, A.; Krasnikov, A.; Lushchik, A.; Suchocki, A.; Tsiumra, V.; Vasylechko, L.; Zazubovich, S.; Zhydachevskyy, Y. Exciton-like luminescence of Bi3+ - doped yttrium niobate. Nucl. Instrum. Meth. Phys. Res. B 2020, 463, 7–15. [Google Scholar] [CrossRef]
- Wolfert, A.; Oomen, E.W.J.L.; Blasse, G. Host lattice dependence of the Bi3+ luminescence in orthoborates LnBO3 (with Ln = Sc, Y, La, Gd, or Lu). J. Solid St. Chem. 1985, 59, 280–290. [Google Scholar] [CrossRef]
- Hughes, A.E.; Pells, G.P. The luminescence spectra of Bi3+ ions in MgO and CaO. Phys. Status Solidi B 1975, 71, 707–718. [Google Scholar] [CrossRef]
- Boulon, G.; Pedrini, C.; Guidoni, M.; Pannel, C. Étude de la cinétique des centres luminogènes Bi3+ dans les cristaux. J. de Physique (France) 1975, 36, 267–278. [Google Scholar] [CrossRef]
- Pedrini, C.; Boulon, G.; Gaume-Mahn, F. Bi3+ and Pb2+ centres in alkaline-earth antimonate phosphors. Phys. Status Solidi A 1973, 15, K15–K18. [Google Scholar] [CrossRef]
- Moncorge, R.; Boulon, G.; Jacquier, B. Analysis of fluorescence processes of bismuth (3+) centers incorporated into lanthanum oxysulfate (La2SO6). Compt. Rend. Acad. Sci. Paris Ser. B 1976, 282, 239–242. [Google Scholar]
- Moncorge, R.; Boulon, G.; Denis, J. Fluorescence properties of bismuth-doped LaPO4. J. Phys. C Solid State Phys. 1979, 12, 1165–1171. [Google Scholar] [CrossRef]
- Ellervee, A.F. Luminescence of Pb2+ and Bi3+ centres in alkali-earth sulphides and oxides. Phys. Status Solidi B 1977, 82, 91–98. [Google Scholar] [CrossRef]
- Aceves, R.; Barboza Flores, M.; Maaroos, A.; Nagirnyi, V.; Perez Salas, R.; Tsuboi, T.; Zazubovich, S.; Zepelin, V. RES structure of Bi3+ centres in KCl:Bi, S and CaO:Bi crystals. Phys. Status Solidi B 1996, 194, 619–631. [Google Scholar] [CrossRef]
- Asano, S.; Nakao, Y.; Yamashita, N.; Matsuyama, I. Luminescence et transition non radiative 3T1u→3A1u dans le luminophore BaS:Bi3+. Phys. Status Solidi B 1986, 133, 333–344. [Google Scholar] [CrossRef]
- Donker, H.; Yamashita, N.; Smit, W.M.A.; Blasse, G. Luminescence decay times of the Sb2+, Pb2+, and Bi3+ ions in alkaline-earth sulfides. Phys. Status Solidi B 1989, 156, 537–544. [Google Scholar] [CrossRef]
- Asano, S.; Yamashita, N. Luminescence et interaction phonon-electron dans le luminophore MgS:Bi3+. Phys. Status Solidi B 1981, 105, 305–310. [Google Scholar] [CrossRef]
- Asano, S.; Yamashita, N. Effect of magnetic field on luminescence of MgS, CaS and CaO phosphors activated with Bi3+ ions. Phys. Lett. A 1981, 86, 191–193. [Google Scholar] [CrossRef]
- Yamashita, N.; Iwasaki, S.; Asano, S.; Ohishi, M.; Ohmori, K. Investigation of the luminescence in the SrS:Bi3+ phosphor by time-resolved emission spectroscopy. J. Phys. Soc. Japan 1984, 53, 4425–4431. [Google Scholar] [CrossRef]
- Yamashita, N.; Ikeda, S.; Asano, S. Photoluminescence and excitation spectra of the SrO:Bi3+ phosphor. Phys. Lett. A 1987, 121, 94–96. [Google Scholar] [CrossRef]
- Oboth, K.P.; Lohmeier, F.J.; Fisher, F. VUV and UV spectroscopy of Pb2+ and Bi3+ centres in alkaline-earth fluorides. Phys. Status Solidi B 1989, 154, 789–803. [Google Scholar] [CrossRef]
- Wolfert, A.; Blasse, G. Luminescence of Bi3+-activated LaOBr, a system with emission from different states. J. Lumin. 1985, 33, 213–226. [Google Scholar] [CrossRef]
- Kang, J.G.; Yoon, H.M.; Chun, G.M.; Kim, Y.D.; Tsuboi, T. Spectroscopic studies of Bi3+ colour centres in KCl single crystals. J. Phys. Condens. Matter 1994, 6, 2101–2116. [Google Scholar] [CrossRef]
- Wolfert, A.; Oomen, E.W.J.L.; Blasse, G. Host lattice dependence of the Bi3+ luminescence in orthoborates LnBO3. J. Lumin. 1984, 31–32, 308–310. [Google Scholar] [CrossRef]
- Zazubovich, S.G.; Lushchik, N.E.; Lushchik, C.B. Polarized luminescence of KCl:Bi phosphor. Trudy IFA AN EstSSR 1961, 14, 292–293. [Google Scholar]
- Wolfert, A.; Blasse, G. Luminescence of Bi3+-doped crystals of Cs2NaYBr6 and Cs2NaLaCl6. J. Solid State Chem. 1985, 59, 133–142. [Google Scholar] [CrossRef]
- van der Steen, A.C. Luminescence of Cs2NaYCl6-Bi3+ (6s2). Phys. Status. Solidi B 1980, 100, 603–611. [Google Scholar] [CrossRef]
- Wolfert, A.; Blasse, G. Luminescence of the Bi3+ ion in compounds LnOCI (Ln = La, Y, Gd). Mater. Res. Bull. 1984, 19, 67–75. [Google Scholar] [CrossRef]
- Boulon, G.; Jorgensen, C.K.; Reisfeld, R. The two luminescent levels of Bi3+ in solids. Chem. Phys. Lett. 1980, 75, 24–26. [Google Scholar] [CrossRef]
- Xiao, X.; Yan, B. Hybrid precursors synthesis and optical properties of LnNbO4:Bi3+ blue phosphors and Bi3+ sensitizing of on Dy3+’s luminescence in YNbO4 matrix. J. Alloy. Compd. 2006, 421, 252–257. [Google Scholar] [CrossRef]
- Blasse, G.; Dirksen, G.J. The luminescence of broad-band emitters in LiLaP4O12. Phys. Status Solidi B 1982, 110, 487–494. [Google Scholar] [CrossRef]
- Awater, R.H.P.; Dorenbos, P. X-ray induced valence change and vacuum referred binding energies of Bi3+ and Bi2+ in Li2BaP2O7. J. Phys. Chem. C 2016, 120, 15114–15118. [Google Scholar] [CrossRef]
- Zhiran, H.; Blasse, G. Energy transfer phenomena in luminescent materials based on GdB3O6. Mater. Chem. Phys. 1985, 12, 257–274. [Google Scholar] [CrossRef]
- Blasse, G.; Meijerink, A.; Nomes, M.; Zuidema, J. Unusual Bismuth Luminescence in Strontium Tetraborate (SrB4O7:Bi). J. Phys. Chem. Sol. 1994, 55, 171–174. [Google Scholar] [CrossRef]
- Peng, M.; Sprenger, B.; Schmidt, M.A.; Schwefel, H.; Wondraczek, L. Broadband NIR photoluminescence from Bi-doped Ba2P2O7 crystals: Insights into the nature of NIR-emitting bismuth centers. Opt. Express 2010, 18, 12852–12863. [Google Scholar] [CrossRef] [PubMed]
- Zheng, J.; Peng, M.; Kang, F.; Cao, R.; Ma, Z.; Dong, G.; Qiu, J.; Xu, S. Broadband NIR luminescence from a new bismuth doped Ba2B5O9Cl crystal: Evidence for the Bi0 model. Opt. Express 2012, 20, 22569–22578. [Google Scholar] [CrossRef] [PubMed]
- Zorenko, Y.; Gorbenko, V.; Voznyak, T.; Nikl, M.; Beitlerova, A.; Jary, V. Bi3+- Ce3+ energy transfer and luminescent properties of LuAG:Bi,Ce and YAG:Bi,Ce single crystalline films. J. Lumin. 2013, 134, 539–543. [Google Scholar] [CrossRef]
- Srivastava, A.M.; Comanzo, H.A. The ultraviolet and visible luminescence of Bi3+ in the orthorhombic perovskite, GdAlO3. Opt. Mater. 2017, 63, 118–121. [Google Scholar] [CrossRef]
- Zhu, N.-F.; Li, Y.-X.; Yu, X.-F. Luminescence spectra of YGG:RE3+, Bi3+ RE=Eu and Tb) and energy transfer from Bi3+ to RE3+. Chin. Phys. Lett. 2008, 25, 703–706. [Google Scholar]
- Oomen, E.W.J.L.; Blasse, G. Luminescence of Bi3+ in the metaphosphates LnP309 (Ln = Sc, Lu, Y, Gd, La). J. Solid St. Chem. 1988, 75, 201–204. [Google Scholar] [CrossRef]
- van de Craats, A.M.; Blasse, G. The quenching of bismuth(III) luminescence in yttrium oxide (Y2O3). Chem. Phys. Lett. 1995, 243, 559–563. [Google Scholar] [CrossRef]
- Awater, R.H.P.; Niemeijer-Berghuijs, L.C.; Dorenbos, P. Luminescence and charge carrier trapping in YPO4:Bi. Opt. Mater. 2017, 66, 351–355. [Google Scholar] [CrossRef]
- Srivastava, A.M. Luminescence of Bi3+ in the orthorhombic perovskites CaB4+O3 (B4+ = Zr, Sn): Crossover from localized to D-state emission. Opt. Mater. 2016, 58, 89–92. [Google Scholar] [CrossRef]
- Srivastava, A.M. Luminescence of Bi3+ in the orthorhombic perovskites, SrB4+O3 (B4+ = Zr, Sn). Opt. Mater. 2017, 72, 313–315. [Google Scholar] [CrossRef]
- Srivastava, A.M. Luminescence of Bi3+ in LaGaO3. Mater. Res. Bull. 1999, 34, 1391–1396. [Google Scholar] [CrossRef]
- van Steensel, L.I.; Bokhove, S.G.; van de Craats, A.M.; de Blank, J.; Blasse, G. The luminescence of Bi3+ in LaInO3 and some other perovskites. Mater. Res. Bull. 1995, 30, 1359–1362. [Google Scholar] [CrossRef]
- Srivastava, A.M.; Comanzo, H.A.; Brik, M.G. The nature of Bi3+ luminescence in the double perovskite La2LiSbO6. J. Lumin. 2017, 192, 620–625. [Google Scholar] [CrossRef]
- Srivastava, A.M. On the luminescence of Bi3+ in the pyrochlore Y2Sn2O7. Mater. Res. Bull. 2002, 37, 745–751. [Google Scholar] [CrossRef]
- Srivastava, A.M.; Beers, W.W. On the impurity trapped exciton luminescence in La2Zr2O7:Bi3+. J. Lumin. 1999, 81, 293–300. [Google Scholar] [CrossRef]
- Kiliaan, H.S.; Blasse, G. A study of the sensitizer in the luminescent systems (Y,Gd)2O2SO4:Bi,Tb and Li6(Y,Gd)(BO3)3:S,Tb (S = Ce3+, Pr3+ or Bi3+). Mater. Chem. Phys. 1987, 18, 155–170. [Google Scholar] [CrossRef]
- Nagirnyi, V.; Feldbach, E.; Jönsson, L.; Kirm, M.; Kotlov, A.; Svensson, G.; Asberg-Dahlborg, M. Relaxation of electronic excitations in PbWO4 and CaWO4:Bi crystals. In Proceedings of the Fifth Int. Conf. on Inorganic Scintillators and Their Applications (SCINT99), Moscow, Russia, 16–20 August 1999; Mikhailin, V., Ed.; Moscow State University Press: Moscow, Russia, 2000; pp. 315–320. [Google Scholar]
- Nagirnyi, V.; Kotlov, A.; Jönsson, L.; Kirm, M.; Lushchik, A. Emission decay kinetics in a CaWO4:Bi crystal. Nucl. Instrum. Methods Phys. Res. A 2005, 537, 61–65. [Google Scholar] [CrossRef]
- Zorenko, Y.; Pashkovsky, M.; Voloshinovskii, A.; Kuklinski, B.; Grinberg, M. The luminescence of CaWO4:Bi single crystals. J. Lumin. 2006, 116, 43–51. [Google Scholar] [CrossRef]
- Park, T.-K.; Ahn, H.-C.; Mho, S.-I. High concentration of Bi3+ incorporated into RNbO4:Eu3+ (R = La, Y, Gd) as red phosphors for white LED applications. J. Korean. Phys. Soc. 2008, 52, 431–434. [Google Scholar] [CrossRef]
- Srivastava, A.M.; Comanzo, H.A.; Camardello, S.J. On the “Bi3+–Ti4+” charge transfer transition in the pyrochlore Y2Ti2O7:Bi3+. Opt. Mater. 2015, 48, 31–35. [Google Scholar] [CrossRef]
- Cao, R.; Fu, T.; Xu, H.; Luo, W.; Peng, D.; Chen, Z.; Fu, J. Synthesis and luminescence enhancement of CaTiO3:Bi yellow phosphor by codoping Al3+/B3+ ions. J. Alloy. Comp. 2016, 674, 51–55. [Google Scholar] [CrossRef]
- Cavalli, E.; Angiuli, F.; Mezzadri, F.; Trevisani, M.; Bettinelli, M.; Boutinaud, P.; Brik, M. Tunable luminescence of Bi3+-doped YPxV1−xO4 (0 ≤ x ≤1). J. Phys. Condens. Matter 2014, 26, 385503. [Google Scholar] [CrossRef] [PubMed]
- Madej, A.; Witkowski, M.E.; Wojtowicz, A.J.; Zych, E. Photo- and radioluminescent properties of undoped and Bi-doped Lu2WO6 powders at 10–300K. J. Lumin. 2015, 160, 50–56. [Google Scholar] [CrossRef]
- Cao, R.; Quan, G.; Shi, Z.; Luo, Z.; Hu, Q.; Guo, S. A double perovskite Ca2MgWO6:Bi yellow-emitting phosphor: Synthesis and luminescence properties. J. Lumin. 2017, 181, 332–336. [Google Scholar] [CrossRef]
- Jacobs, P.W.M. Alkali halide crystals containing impurity ions with the ns2 ground-state electronic configuration. J. Phys. Chem. Solids 1991, 52, 35–67. [Google Scholar] [CrossRef]
- Zazubovich, S. Polarization spectroscopy of ns2 impurity ions in alkali halides. Int. J. Mod. Phys. B 1994, 8, 985–1031. [Google Scholar] [CrossRef]
- Zavt, G.S.; Ellervee, A.F. Pb2+ and Bi3+ impurity centres in alkali-earth oxides: Vibronic spectra, lattice dynamics, and electron-phonon interaction. Phys. Status Solidi B 1979, 94, 757–768. [Google Scholar] [CrossRef]
- Seitz, F. Interpretation of the properties of alkali halide-thallium phosphors. J. Chem. Phys. 1938, 6, 150–162. [Google Scholar] [CrossRef]
- Hizhnyakov, V.V.; Kristoffel, N.N. Jahn-Teller mercury-like impurities in ionic crystals. In The Dynamical Jahn-Teller Effect in Localized Systems; Perlin, Y., Wagner, M., Eds.; Elsevier Publ. Co.: Amsterdam, The Netherlands, 1984; Chapter 9; pp. 383–437. [Google Scholar]
- Hizhnyakov, V.; Zazubovich, S.; Soovik, T. Kinetics and temperature dependences of polarized emission of anisotropic tin centres in alkali halides. Phys. Status Solidi B 1974, 66, 727–738. [Google Scholar] [CrossRef]
- Hizhnyakov, V.V. Adiabatic Potential Energy Surface and Luminescence CHARACTERISTICS of Impurity Centers with Two Optical Electrons; Preprint FI-36; Institute of Physics: Tartu, Estonia, 1975; 27p. [Google Scholar]
- Zazubovich, S.G.; Hizhnyakov, V.V. Polarized luminescence and a new model of mercury-like centers in ionic crystals. Izv. Akad. Nauk SSSR Ser. Fiz. 1985, 49, 1874–1879. [Google Scholar]
- Nagirnyi, V.; Soovik, T.; Vaino, P.; Zazubovich, S.; Jaanson, N. Triplet relaxed excited state structure and luminescence of thallium-doped alkali halides. Phys. Status Solidi B 1991, 164, 493–502. [Google Scholar] [CrossRef]
- Zazubovich, S.G.; Lushchik, N.E. Spectra of luminescence centres of crystals doped with isoelectronic ions. Trudy IFA AN EstSSR 1961, 14, 283–285. [Google Scholar]
- Blasse, G. Optical electron transfer between metal ions and its consequences. In Complex Chemistry (Structure and Bonding Series); Springer: Berlin, Germany, 1991; Volume 76, pp. 153–187. [Google Scholar]
- Reut, E.G.; Ryskin, A.I. Virtual recharge: Mechanism of radiationless transition in scheelite and fergusonite type crystals doped with rare-earth ions. Phys. Status Solidi A 1973, 17, 47–57. [Google Scholar] [CrossRef]
- Anitha, M.; Ramakrishnan, P.; Chatterjee, A.; Alexander, G.; Singh, H. Spectral properties and emission efficiencies of GdVO4 phosphors. Appl. Phys. A 2002, 74, 153–162. [Google Scholar] [CrossRef]
- Mahalley, B.N.; Dhoble, S.J.; Pode, R.B.; Alexander, G. Photoluminescence in GdVO4:Bi3+,Eu3+ red phosphor. Appl. Phys. A Mater. Sci. Process. 2000, 70, 39–45. [Google Scholar] [CrossRef]
- Xie, W.; Tian, C.; Lyu, F.; Wang, Z.; Zou, C.; Kang, F.; Dong, H.; Sun, G. Toward temperature-dependent Bi3+-related tunable emission in the YVO4:Bi3+ phosphor. J. Am. Ceram. Soc. 2019, 102, 3488–3497. [Google Scholar] [CrossRef]
- Zorenko, Y.; Gorbenko, V.; Zorenko, T.; Savchun, V.; Voloshinovskii, A. Luminescent and scintillation properties of CaWO4 and CaWO4:Bi single crystalline films. In Proceedings of the International Conference on Oxide Materials for Electronic Engineering—Fabrication, Properties and Applications, Lviv, Ukraine, 26–30 May 2014; pp. 253–254. [Google Scholar]
- Kang, F.; Peng, M.M. A new study on the energy transfer in the color-tunable phosphor CaWO4:Bi. Dalton. Trans. 2014, 43, 277–284. [Google Scholar] [CrossRef]
- Zorenko, Y.; Gorbenko, V.; Voznyak, T.; Konstankevych, I.; Savchyn, V.; Batentschuk, M.; Winnacker, A.; Brabec, C.J. Scintillators based on CdWO4 and CdWO4:Bi single crystalline films. IEEE Trans. Nucl. Sci. 2012, 59, 2281–2285. [Google Scholar] [CrossRef]
- Shin, S.H.; Jeon, D.Y.; Suh, K.S. Charge-transfer nature in luminescence of YNbO4:Bi blue phosphor. J. Appl. Phys. 2001, 90, 5986–5990. [Google Scholar] [CrossRef]
- Jiang, Z.; Yu, X.; Gou, J.; Duan, L.; Su, X.; Fan, G.; Duan, Y. Design, luminescence and energy transfer of single-phased color-tunable YNbO4:Bi3+, Eu3+, phosphor for UV pumped white light-emitting diodes. J. Mater. Sci. Mater. Electron. 2017, 28, 3630–3636. [Google Scholar] [CrossRef]
- Zhou, R.; Kou, Y.; Wei, X.; Duan, C.; Chen, Y.; Yin, M. Broadband downconversion based near-infrared quantum cutting via cooperative energy transfer in YNbO4:Bi3+, Yb3+ phosphor. Appl. Phys. B 2012, 107, 483–487. [Google Scholar] [CrossRef]
- Chen, X.; Li, S.; Salamo, G.J.; Li, Y.; He, L.; Yang, G.; Gao, Y.; Liu, Q. Sensitized intense near-infrared downconversion quantum cutting three-photon luminescence phenomena of the Tm3+ ion activator in Tm3+Bi3+:YNbO4 powder phosphor. Opt. Express 2015, 23, A51–A61. [Google Scholar] [CrossRef]
- Bang, J.H.; Oh, E.S.; Seo, S.H.; Kim, J.S.; Lee, M.; Park, H.L.; Lee, C.-I.; Kim, C.C.; Kim, K.J. Cathodoluminescence study of Bi3+-doped YNbO4 phosphor. Phys. Status Solidi A 2002, 191, 291–295. [Google Scholar] [CrossRef]
- Dorenbos, P. Charge transfer bands in optical materials and related defect level location. Opt. Mater. 2017, 69, 8–22. [Google Scholar] [CrossRef]
- Blasse, G.; de Mello Donega, C.; Berezovskaja, I.; Dotsenko, V. The luminescence of bismuth (III) in indium orthoborate. Solid St. Commun. 1994, 91, 29–31. [Google Scholar] [CrossRef]
- Tsiumra, V.; Zhyshkovych, A.; Malyi, T.; Chornodolskyy, Y.; Vistovskyy, V.; Syrotyuk, S.; Zhydachevskyy, Y.; Suchocki, A.; Voloshinovskii, A. Localized exciton luminescence in YVO4:Bi3+. Opt. Mater. 2019, 89, 480–487. [Google Scholar] [CrossRef]
- Jing, X.; Gibbons, C.; Nicholas, D.; Silver, J.; Vecht, A.; Frampton, C.S. Blue luminescence in yttrium and gadolinium niobates caused by bismuth. The importance of non-bonding ns2 valence orbital electrons. J. Mater. Chem. 1999, 9, 2913–2918. [Google Scholar] [CrossRef]
- Boutinaud, P. On the luminescence of Bi3+ pairs in oxidic compounds. J. Lumin. 2018, 197, 228–232. [Google Scholar] [CrossRef]
- Awater, R.H.P.; Dorenbos, P.P. Towards a general concentration quenching model of Bi3+ luminescence. J. Lumin. 2017, 188, 487–489. [Google Scholar] [CrossRef]
- Babin, V.; Fabeni, P.; Mihokova, E.; Nikl, M.; Stolovich, A.; Pazzi, G.P.; Zazubovich, S. Time-resolved spectroscopy of exciton states in undoped and doped CsI crystals. In Proceedings of the Fifth International Conference on Inorganic Scintillators and Their Applications (SCINT99), Moscow, Russia, 16–20 August 1999; Mikhailin, V., Ed.; Moscow State University Press: Moscow, Russia, 2000; pp. 544–549. [Google Scholar]
- Zazubovich, S. Physics of halide scintillators. Radiat. Meas. 2001, 33, 699–704. [Google Scholar] [CrossRef]
- Buth, A.H.; Blasse, G. Luminescence and energy transfer in yttrium niobate (YNbO4). Phys. Status Solidi A 1981, 64, 669–676. [Google Scholar] [CrossRef]
- Ding, S.; Zhang, H.; Liu, W.; Sun, D.; Zhang, Q. Experimental and first principle investigation the electronic and optical properties of YNbO4 and LuNbO4 phosphors. J. Mater. Sci. Mater. Electron. 2018, 29, 11878–11885. [Google Scholar] [CrossRef]
- Liu, X.; Chen, C.; Li, S.; Dai, Y.; Guo, H.; Tang, X.; Xie, Y.; Yan, L. Host-sensitized and tunable luminescence of GdNbO4:Ln3+ (Ln3+ = Eu3+/Tb3+/Tm3+) nanocrystalline phosphors with abundant color. Inorg. Chem. 2016, 55, 10383–10396. [Google Scholar] [CrossRef]
- Blasse, G.; Bril, A. Luminescence phenomena in compounds with fergusonite structure. J. Lumin. 1970, 3, 109–131. [Google Scholar] [CrossRef]
- Moncorge, R.; Boulon, G. Investigations of the absorption and emission properties along with energy transfer in pure and Bi3+ doped YVO4. J. Lumin. 1979, 18–19, 376–380. [Google Scholar] [CrossRef]
- Zorenko, Y.; Voloshinovskii, A.; Savchyn, V.; Voznyak, T.; Nikl, M.; Nejezchleb, K.; Mikhailin, V.; Kolobanov, V.; Spassky, D. Exciton and antisite defect-related luminescence in Lu3Al5O12 and Y3Al5O12 garnets. Phys. Status Solidi B 2007, 244, 2180–2189. [Google Scholar] [CrossRef]
- Babin, V.; Bichevin, V.; Gorbenko, V.; Kink, M.; Makhov, A.; Maksimov, Y.; Nikl, M.; Stryganyuk, G.; Zazubovich, S.; Zorenko, Y. Time-resolved spectroscopy of exciton-related states in single crystals and single crystalline films of Lu3Al5O12 and Lu3Al5O12:Ce. Phys. Status Solidi B 2011, 248, 1505–1512. [Google Scholar] [CrossRef]
- Babin, V.; Blazek, K.; Krasnikov, A.; Nejezchleb, K.; Nikl, M.; Savikhina, T.; Zazubovich, S. Luminescence of undoped LuAG and YAG crystals. Phys. Status Solidi 2005, C 2, 97–100. [Google Scholar] [CrossRef]
- Mürk, V.; Yaroshevich, N. Exciton and recombination processes in YAG crystals. J. Phys. Condens. Matter 1995, 7, 5857–5864. [Google Scholar] [CrossRef]
- Zorenko, Y.; Zorenko, T.; Vistovskyy, V.; Grinberg, M.; Łukasiewicz, T. Time-resolved spectroscopy of intrinsic luminescence of Y3Ga5O12 and (LaLu)3Lu2Ga3O12 single crystals. Opt. Mater. 2009, 31, 1835–1838. [Google Scholar] [CrossRef][Green Version]
- Lammers, M.J.J.; Severin, J.M.; Blasse, G. The luminescence properties of unactivated and Tb3+-activated Gd3Ga5O12. J. Electrochem. Soc. Solid State Sci. Technol. 1987, 134, 2356–2358. [Google Scholar]
- Babin, V.; Gorbenko, V.; Kondakova, I.; Kärner, T.; Laguta, V.V.; Nikl, M.; Zazubovich, S.; Zorenko, Y. Time-resolved spectroscopy of exciton states in single crystals and single crystalline films of YAlO3 and YAlO3:Ce. J. Phys. D Appl. Phys. 2011, 44, 315402. [Google Scholar] [CrossRef]
- Korzhik, M.V.; Trower, W.P. Origin of scintillation in cerium-doped oxide crystals. Appl. Phys. Lett. 1995, 66, 2327–2328. [Google Scholar] [CrossRef]
- Zorenko, Y.; Gorbenko, V.; Voloshinovskii, A.; Vistovskii, V.; Nikl, M.; Mihokova, E.; Nejezchleb, K. Intrinsic and Ce3+-related luminescence of single crystals and single crystalline films of YAP perovskites: New results. IEEE Trans. Nucl. Sci. 2008, 55, 1186–1191. [Google Scholar] [CrossRef]
- Zorenko, T.; Gorbenko, V.; Petrosyan, A.; Gieszczyk, W.; Bilski, P.; Zorenko, Y. Intrinsic and defect-related luminescence of YAlO3 and LuAlO3 single crystals and films. Opt. Mater. 2018, 86, 376–381. [Google Scholar] [CrossRef]
- Zorenko, Y.; Gorbenko, V.; Voznyak, T.; Mikhailin, V.; Kolobanov, V.; Spassky, D.; Nikl, M. Intrinsic and Ce3+-related luminescence in single crystalline films and single crystals of LuAP and LuAP:Ce perovskites. IEEE Trans. Nucl. Sci. 2008, 55, 1192–1196. [Google Scholar] [CrossRef]
- Nikl, M.; Bohacek, P.; Mihokova, E.; Kobayashi, M.; Ishii, M.; Usuki, Y.; Babin, V.; Stolovich, A.; Zazubovich, S.; Bacci, M. Excitonic emission of scheelite tungstates AWO4 (A = Pb, Ca, Ba, Sr). J. Lumin. 2000, 87–89, 1136–1139. [Google Scholar] [CrossRef]
- Babin, V.; Bohacek, P.; Bender, E.; Krasnikov, A.; Mihokova, E.; Nikl, M.; Senguttuvan, N.; Stolovits, A.; Usuki, Y.; Zazubovich, S. Decay kinetics of the green emission in tungstates and molybdates. Radiat. Meas. 2004, 38, 533–537. [Google Scholar] [CrossRef]
- Babin, V.; Bohachek, K.; Krasnikov, A.; Nikl, M.; Stolovits, A.; Zazubovich, S. Origin of green luminescence in PbWO4 crystals. J. Lumin. 2007, 124, 113–119. [Google Scholar] [CrossRef]
- Cooke, D.W.; Bennett, B.L.; Muenchausen, R.E.; Lee, J.-K.; Nastasi, M.A. Intrinsic ultraviolet luminescence from Lu2O3, Lu2SiO5 and Lu2SiO5:Ce3+. J. Lumin. 2004, 106, 125–132. [Google Scholar] [CrossRef]
- Jacobsohn, L.G.; Lee, J.-K.; Bennett, B.L.; Muenchausen, R.E.; Nastasi, M.; Cooke, D.W. Effects of ion beam irradiation on self-trapped defects in single-crystal Lu2SiO5. J. Lumin. 2007, 124, 5–9. [Google Scholar] [CrossRef]
- Zorenko, Y.; Zorenko, T.; Voznyak, T.; Sidletskiy, O. Intrinsic luminescence of Lu2SiO5 (LSO) and Y2SiO5 (YSO) orthosilicates. J. Lumin. 2013, 137, 204–207. [Google Scholar] [CrossRef]
- Meunier-Beillard, P.; Moine, B.; Dujardin, C.; Cieren, X.; Pedrini, C.; Huguenin, D.; Archambault, V. Exciton trapping in LaPO4 doped with trivalent cerium and/or terbium ions. Rad. Eff. Def. Solids 1999, 149, 25–30. [Google Scholar] [CrossRef]
- Wisniewski, D.; Tavernier, S.; Wojtowicz, A.J.; Wisniewska, M.; Bruyndonckx, P.; Dorenbos, P.; van Loef, E.; van Eijk, C.W.E.; Boatner, L.A. LuPO4:Nd and YPO4:Nd – new promising VUV scintillation materials. Nucl. Instrum. Meth. Phys. Res. A 2002, 486, 239–243. [Google Scholar] [CrossRef]
- Mikhailin, V.V.; Spassky, D.A.; Kolobanov, V.N.; Meotishvili, A.A.; Permenov, D.G.; Zadneprovski, B.I. Luminescence study of the LuBO3 and LuPO4 doped with RE3+. Radiat. Meas. 2010, 45, 307–310. [Google Scholar] [CrossRef]
- Knitel, M.J.; Dorenbos, P.; van Eijk, C.W.E.; Plasteig, B.; Viana, B.; Kahn-Harari, A.; Vivien, D. Photoluminescence, and scintillation/thermoluminescence yields of several Ce3+ and Eu2+ activated borates. Nucl. Instrum. Meth. Phys. Res. A 2000, 443, 364–374. [Google Scholar] [CrossRef]
- Nagirnyi, V.; Stolovich, A.; Zazubovich, S.; Zepelin, V.; Mihokova, E.; Nikl, M.; Pazzi, G.P.; Salvini, L. Peculiarities of the triplet relaxed excited-state structure and luminescence of a CsI:Tl crystal. J. Phys. Condens. Matter 1995, 7, 3637–3653. [Google Scholar] [CrossRef]
- Mihokova, E.; Nagirnyi, V.; Nikl, M.; Stolovich, A.; Pazzi, G.P.; Zazubovich, S.; Zepelin, V. Relaxed excited state structure and luminescence of thallium-doped caesium chloride and bromide. J. Phys. Condens. Matter 1996, 8, 4301–4314. [Google Scholar] [CrossRef]
- Aceves, R.; Babin, V.; Barboza Flores, M.; Fabeni, P.; Mihokova, E.; Nagirnyi, V.; Nikl, M.; Nitsch, K.; Pazzi, G.P.; Perez Salas, R.; et al. Coexistence of the impurity and perturbed exciton levels in the relaxed excited state of CsCl:Pb crystal. J. Phys. Condens. Matter 1998, 10, 5449–5461. [Google Scholar] [CrossRef]
- Aceves, R.; Babin, V.; Barboza Flores, M.; Fabeni, P.; Mihokova, E.; Nikl, M.; Nitsch, K.; Pazzi, G.P.; Perez Salas, R.; Zazubovich, N.; et al. Relaxed excited states origin and structure in lead-doped caesium bromide. Phys. Status Solidi B 2001, 223, 745–756. [Google Scholar] [CrossRef]
- Babin, V.; Krasnikov, A.; Nikl, M.; Nitsch, K.; Stolovitš, A.; Zazubovich, S. Luminescence and relaxed excited state origin in CsI:Pb crystals. J. Lumin. 2003, 101, 219–226. [Google Scholar] [CrossRef]
- Vazhenin, V.A.; Potapov, A.P.; Asatryan, G.R.; Nikl, M. Photosensitive bismuth ions in lead tungstate. Phys. Solid St. 2013, 55, 803–806. [Google Scholar] [CrossRef]
- Yadav, S.K.; Uberuaga, B.P.; Nikl, M.; Jiang, C.; Stanek, C.R. Band-gap and band-edge engineering of multicomponent garnet scintillators from first principles. Phys. Rev. Appl. 2015, 4, 054012. [Google Scholar] [CrossRef]
- Babin, V.; Buryi, M.; Chlan, V.; Kamada, K.; Laguta, V.V.; Nikl, M.; Pejchal, J.; Štěpánková, H.; Yoshikawa, A.; Fomichov, Y.; et al. Influence of gallium content on Ga3+ position and photo- and thermally stimulated luminescence in Ce3+-doped multicomponent (Y,Lu,)3GaxAl5−xO12 garnets. J. Lumin. 2018, 200, 141–150. [Google Scholar] [CrossRef]
- Babin, V.; Hanus, M.; Krasnikov, A.; Kučera, M.; Nikl, M.; Zazubovich, S. Determination of the position of the 5d excited levels of Ce3+ ions with respect to the conduction band in the epitaxial films of the multicomponent (Lu,Gd)3(Ga,Al)5O12:Ce garnets. Opt. Mat. 2016, 62, 465–474. [Google Scholar] [CrossRef]
- Babin, V.; Chernenko, K.; Kučera, M.; Nikl, M.; Zazubovich, S. Photostimulated luminescence and defects creation processes in Ce3+-doped epitaxial films of multicomponent Lu3-xGdxGayAl5-yO12 garnets. J. Lumin. 2016, 179, 487–495. [Google Scholar] [CrossRef]
- Ogiegło, J.M.; Katelnikovas, A.; Zych, A.; Jüstel, T.; Meijerink, A.; Ronda, C.R. Luminescence and luminescence quenching in Gd3(Ga,Al)5O12 scintillators doped with Ce3+. J. Phys. Chem. A 2013, 117, 2479–2484. [Google Scholar] [CrossRef]
- Nikl, M.; Kamada, K.; Kurosawa, S.; Yokota, Y.; Yoshikawa, A.; Pejchal, J.; Babin, V. Luminescence and scintillation mechanism in Ce3+ and Pr3+ doped (Lu,Y,Gd)3(Ga,Al)5O12 single crystal scintillators. Phys. Status Solidi C 2013, 10, 172–175. [Google Scholar] [CrossRef]
- Yousif, A.; Vinod, K.; Seed Ahmed, H.A.A.; Som, S.; Noto, L.L.; Ntwaeaborwa, O.M.; Swart, H.C. Effect of Ga3+ doping on the photoluminescence properties of Y3Al5-xGaxO12:Bi3+ phosphor. ECS J. Solid St. Sci. Technol. 2014, 3, R222–R227. [Google Scholar] [CrossRef]
- Zorenko, Y.; Gorbenko, V.; Voznyak, T.; Jary, V.; Nikl, M. Luminescence spectroscopy of the Bi3+ single and dimer centers in Y3Al5O12:Bi single crystalline films. J. Lumin. 2010, 130, 1963–1969. [Google Scholar] [CrossRef]
- Zorenko, Y.; Gorbenko, V.; Zorenko, T.; Malinowski, P.; Jary, V.; Kucerkova, R.; Beitlerova, A.; Mares, J.A.; Nikl, M.; Fedorov, A. Luminescent and scintillation properties of Bi3+ doped Y2SiO5 and Lu2SiO5 single crystalline films. J. Lumin. 2014, 154, 525–530. [Google Scholar] [CrossRef]
- Fukuda, A. Absorption bands of paired-ion centers (Ga+)2, (In+)2 and (Tl+)2 in KI. J. Phys. Soc. Jpn. 1969, 26, 1006–1013. [Google Scholar] [CrossRef]
- Ermoshkin, A.; Evarestov, R.; Gindina, R.; Maaroos, A.; Osminin, V.; Zazubovich, S. Monovalent mercury-like ion dimer centres in alkali halide crystals. Phys. Status Solidi B 1975, 70, 749–758. [Google Scholar] [CrossRef]
- Tsuboi, T. Geometrical structure of (Tl+)2 luminescent center in alkali halides: Presence of D2h and D4h dimer centers. Phys. Rev. B 1984, 29, 1022–1029. [Google Scholar] [CrossRef]
- Zazubovich, S.; Lushchik, N.E.; Lushchik, C.B. Optical structure of luminescence centres in ionic crystals doped with mercury-like ions. Soviet Phys. Opt. Spectrosc. 1963, 15, 381–388. [Google Scholar]
- Tsuboi, T.; Jacobs, P.W.M. Optical studies of s2-ion dimer centers in alkali halide crystals. J. Phys. Chem. Solids 1991, 52, 69–80. [Google Scholar] [CrossRef]
- de Vries, A.J.; Blasse, G. Energy migration in gadolinium compounds. J. de Phys. Colloq. 1985, 46, C7–C109. [Google Scholar] [CrossRef]
- Nagli, L.E.; Dyachenko, S.V. Influence of a vc− Vacancy on Luminescence of Pb+ Centres in Alkali Halides. Phys. Stat. Sol. B 1988, 146, 295–301. [Google Scholar] [CrossRef]
- Mollenauer, L.F.; Vieira, N.D.; Szeto, L. Optical properties of the Tl0(1) center in KCl. Phys. Rev. B 1983, 27, 5332–5346. [Google Scholar] [CrossRef]
- Fockele, M.; Ahlers, F.J.; Lohse, F.; Spaeth, J.-M.; Bartram, R.H. Optical properties of atomic thallium centres in alkali halides. J. Phys. C Solid State Phys. 1985, 18, 1963. [Google Scholar] [CrossRef]
- Hamstra, M.A.; Folkerts, H.F.; Blasse, G. Red bismuth emission in alkaline-earth-metal sulfates. J. Mater. Chem. 1994, 4, 1349–1350. [Google Scholar] [CrossRef]
- Srivastava, A.M. Luminescence of divalent bismuth in M2+BPO5 (M2+ = Ba2+, Sr2+ and Ca2+). J. Lumin. 1998, 78, 239–243. [Google Scholar] [CrossRef]
- Zeng, Q.; Zhang, T.; Pei, Z.; Qiang, S.U. Luminescence of unusual bismuth in barium borates (BaB8O13:Bi). J. Mater. Sci. Techn. 1999, 15, 282. [Google Scholar]
- Gaft, M.; Reisfeld, R.; Panczer, G.; Boulon, G.; Saraidarov, T.; Erlish, S. The luminescence of Bi, Ag and Cu in natural and synthetic barite BaSO4. Opt. Mater. 2001, 16, 279–290. [Google Scholar] [CrossRef]
- Peng, M.; Wondraczek, L. Photoluminescence of Sr2P2O7:Bi2+ as a red phosphor for additive light generation. Opt. Lett. 2010, 35, 2544–2546. [Google Scholar] [CrossRef]
- Cao, R.; Shang, F.; Liao, C.; Qiu, J. Yellow-to-orange emission from Bi2+-doped RF2 (R = Ca and Sr) phosphors. Opt. Express 2013, 21, 15728–15733. [Google Scholar] [CrossRef]
- Zheng, J.; Li, L.; Peng, M. A New Red Aluminate Phosphor CaAl12O19 Activated by Bi2+ for White LEDs. Sci. Adv. Mater. 2017, 9, 485–489. [Google Scholar] [CrossRef]
- Jong, M.; Meijerink, A.; Gordon, R.A.; Barandiaran, Z.; Seijo, L. Is Bi2+ Responsible for the Red-Orange Emission of Bismuth-Doped SrB4O7? J. Phys.Chem. C 2014, 118, 9696–9705. [Google Scholar] [CrossRef]
- Peng, M.; Wondraczek, L. Bi2+-doped strontium borates for white-light-emitting diodes. Opt. Lett. 2009, 34, 2885–2887. [Google Scholar] [CrossRef]
- Jong, M.; Meijerink, A.; Barandiaran, Z.; Seijo, L. Structure and Hindered Vibration of Bi2+ in the Red-Orange Phosphor SrB4O7:Bi. J. Phys. Chem. C 2014, 118, 17932–17939. [Google Scholar] [CrossRef]
- Peng, M.; Wondraczek, L. Orange-to-Red Emission from Bi2+ and Alkaline Earth Codoped Strontium Borate Phosphors for White Light Emitting Diodes. J. Am. Ceram. Soc. 2010, 93, 1437–1442. [Google Scholar] [CrossRef]
- Li, L.; Peng, M.; Viana, B.; Wang, J.; Lei, B.; Liu, Y.; Zhang, Q.; Qiu, J. Unusual Concentration Induced Antithermal Quenching of the Bi2+ Emission from Sr2P2O7:Bi2+. Inorg. Chem. 2015, 54, 6028–6034. [Google Scholar] [CrossRef]
- Cao, R.; Peng, M.; Qiu, J. Luminescence from Bi2+-doped BaSO4 for White LEDs. Opt. Express 2012, 20, A977–A983. [Google Scholar] [CrossRef] [PubMed]
- Murata, K.; Fujimoto, Y.; Kanabe, T.; Fujita, H.; Nakatsuka, M. Bi-doped SiO as a new laser material for an intense laser. Fusion Eng. Des. 1999, 44, 437–439. [Google Scholar] [CrossRef]
- Bjerrum, N.; Boston, C.; Smith, G. Lower oxidation states of bismuth. Bi+ and Bi53+ in molten salt solutions. Inorg. Chem. 1967, 6, 1162–1172. [Google Scholar] [CrossRef]
- Zheng, J.; Tan, L.; Wang, L.; Peng, M.; Xu, S. Superbroad visible to NIR photoluminescence from Bi+ evidenced in Ba2B5O9Cl:Bi crystal. Opt. Express 2016, 24, 2830–2835. [Google Scholar] [CrossRef]
- Lyu, T.; Dorenbos, P. Bi3+ acting both as an electron and as a hole trap in La-,Y-, and LuPO4. J. Mater. Chem. C 2018, 6, 6240–6249. [Google Scholar] [CrossRef]
- Zazubovich, S.G.; Lushchik, N.E. Alkali halide crystals doped with bismuth and antimony. Trudy IFA AN EstSSR 1961, 17, 50–66. [Google Scholar]
- Lushchik, C.B.; Gindina, R.I.; Zazubovich, S.G.; Lushchik, N.E. Polarization characteristics of some alkali halide phosphors. Trudy IFA AN EstSSR 1961, 17, 38–49. [Google Scholar]
- Zazubovich, S.G. Polarized luminescence of alkali halides doped with mercury-like ions. Trudy IFA AN EstSSR 1969, 36, 109–153. [Google Scholar]
- Ewles, J.; Curry, C. Resolution and analysis of low temperature luminescent spectra of Bi and Pb activated solids of simple crystal structure. Proc. Phys. Soc. A 1950, 63, 708–715. [Google Scholar] [CrossRef]
- Runciman, W.A. Absorption and emission spectra of bismuth-activated phosphors. Proc. Phys. Soc. A 1955, 68, 647–649. [Google Scholar] [CrossRef]
- Lushchik, C.; Lushchik, N.; Muuga, I. Vibronic spectra of crystals activated with mercury-like ions. Trudy Ins. Fiz. Astron. Akad. Nauk EstSSR 1963, 23, 22–37. [Google Scholar]
- Hughes, A.E.; Runciman, W.A. Stress and Zeeman spectra in bismuth-doped and undoped calcium oxide. J. Phys. C Solid State Phys. 1969, 2, 37–45. [Google Scholar] [CrossRef]
- Lehmann, W. Calcium oxide phosphors. J. Lumin. 1973, 6, 455–470. [Google Scholar] [CrossRef]
- Hughes, A.E.; Pells, G.P. Absorption and luminescence of bismuth ions implanted into CaO and MgO single crystals. Phys. Status Solidi A 1974, 25, 437–443. [Google Scholar] [CrossRef]
- Runciman, W.A.; Manson, N.B.; Marshall, M. Magnetic effect on the emission of bismuth-doped calcium oxide. J. Lumin. 1976, 12/13, 413–417. [Google Scholar] [CrossRef]
- van der Steen, A.C.; Dijcks, L.T.F. The luminescence properties of alkaline-earth oxides activated with 6s2 ions. Phys. Status Solidi B 1981, 104, 283–292. [Google Scholar] [CrossRef]
- Randoshkin, V.V.; Vasil’eva, N.V.; Kolobanov, V.N.; Mikhailin, V.V.; Petrovin, N.N.; Spasskii, D.A.; Sysoev, N.N. Effect of Gd2O3 concentration in Bi-containing high-temperature solutions on the luminescence of epitaxial Gd3Ga5O12 films. Inorg. Mater. 2009, 45, 418–422. [Google Scholar] [CrossRef]
- Luchechko, A.; Syvorotka, I.I.; Zakharko, Y.; Syvorotka, I.M. Growing features and luminescence of Bi3+ ions in Gd3Ga5O12 epitaxial films. Solid State Phenom. 2013, 200, 215–219. [Google Scholar]
- Lushchik, C.; Feldbach, E.; Frorip, A.; Kirm, M.; Lushchik, A.; Maaroos, A.; Martinson, I. Multiplication of electronic excitations in CaO and YAlO3 crystals with free and self-trapped excitons. J. Phys. Condens. Matter 1994, 6, 11177–11187. [Google Scholar] [CrossRef]
- Auffrey, E.; Korjik, M.; Shalapska, T.; Zazubovich, S. Photoluminescence and excited states dynamics in PbWO4:Pr3+ crystals. J. Lumin. 2014, 154, 381–386. [Google Scholar] [CrossRef]
- Laguta, V.V.; Nikl, M.; Zazubovich, S. Photothermally stimulated creation of electron and hole centers in Ce3+-doped Y2SiO5 single crystals. Opt. Mater. 2014, 36, 1636–1641. [Google Scholar] [CrossRef]
- Babin, V.; Kalder, K.; Krasnikov, A.; Zazubovich, S. Luminescence and defects creation under photoexcitation of CsI:Tl crystals in Tl+-related absorption bands. J. Lumin. 2002, 96, 75–85. [Google Scholar] [CrossRef]
- Verwey, J.W.M.; Blasse, G. Luminescence efficiency of ions with broad-band excitation in lithium lanthanum phosphate glass. Chem. Mater. 1990, 2, 458–463. [Google Scholar] [CrossRef]
- Boujelbene, M.; Mhiri, T. Synthesis and crystal structure of LiLaP4O12. X-ray Struct. Anal. Online 2011, 27, 21–22. [Google Scholar] [CrossRef][Green Version]
- Jüstel, T.; Huppertz, P.; Mayr, W.; Wiechert, D.U. Temperature-dependent spectra of YPO4:Me (Me = Ce, Pr, Nd, Bi). J. Lumin. 2004, 106, 225–233. [Google Scholar] [CrossRef]
- Dorenbos, P.; Krumpel, A.H.; van der Kolk, E.; Boutinaud, P.; Bettinelli, M.; Cavalli, E. Lanthanide level location in transition metal complex compounds. Opt. Mater. 2010, 32, 1681–1685. [Google Scholar] [CrossRef]
- Newport, A.; Silver, J.; Vecht, A. The synthesis of fine particle yttrium vanadate phosphors from spherical powder precursors using urea precipitation. J. Electrochem. Soc. 2000, 147, 3944–3947. [Google Scholar] [CrossRef]
- Takeshita, S.; Isobe, T.; Sawayama, T.; Niikura, S. Effects of the homogeneous Bi3+ doping process on photoluminescence properties of YVO4:Bi3+, Eu3+ nanophosphor. J. Lumin. 2009, 129, 1067–1072. [Google Scholar] [CrossRef]
- Boutinaud, P. Optical processes in (Y,Bi)VO4 doped with Eu3+ or Pr3+. J. Phys. Condens. Matter 2014, 26, 405501. [Google Scholar] [CrossRef] [PubMed]
- Mahlik, S.; Amer, M.; Boutinaud, P. Energy level structure of Bi3+ in zircon and scheelite polymorphs of YVO4. J. Phys. Chem. 2016, 120, 8261–8265. [Google Scholar] [CrossRef]
- Lee, S.K.; Chang, H.; Han, C.H.; Kim, H.J.; Jang, H.G.; Park, H.D. Electronic structures and luminescence properties of YNbO4 and YNbO4:Bi. J. Solid St. Chem. 2001, 156, 267–273. [Google Scholar] [CrossRef]





















| Compound | Eem, eV | FWHM, eV | S, eV | Eexc, eV | τSC, ms | D, meV | k1 ×103, s−1 | k2 ×108, s−1 | K ×108, s−1 | Refs. |
|---|---|---|---|---|---|---|---|---|---|---|
| YAlO3:Bi | 3.76 | 0.27 | 0.67 | 4.43 | 0.57 | 98 | 1.76 | 1 | 1 | [22] |
| Lu2SiO5:Bi | 3.45 | 0.28 | 0.75 | 4.20 | 0.29 | 65 | 3.51 | 1 | 1 | [9,21] |
| Y2SiO5:Bi | 3.56 | 0.33 | 0.94 | 4.50 | 0.33 | 60 | 3.05 | 0.2 | 1 | [9,20] |
| Lu3Al5O12:Bi | 4.08 | 0.24 | 0.55 | 4.63 | 1.10 | 103 | 0.89 | 0.25 | 5 | [9,16,17,18] |
| Y3Al5O12:Bi | 3.99 | 0.24 | 0.58 | 4.57 | 1.05 | 110 | 0.95 | 0.7 | 5 | [9,16,17] |
| Y2O3:Bi(S6) | 3.04 | 0.22 | 0.27 | 3.31 | 0.14 | 39 | 4.8 | 0.45 | 0.9 | [71] |
| Bi(C2) | 2.41 | 0.38 | 1.19 | 3.60 | 0.42 | 28 | 1.5 | 0.11 | 0.2 | [71] |
| Y4Al2O9:Bi(1) | 3.40 | 0.24 | 1.02 | 4.42 | 0.17 | 52 | 6 | 0.9 | 0.7 | [70] |
| Bi(2) | 3.07 | 0.28 | 1.12 | 4.19 | 0.30 | 53 | 3.3 | 0.6 | 0.3 | [70] |
| Bi(3) | 2.87 | 0.32 | 1.20 | 4.07 | 0.40 | 50 | 2.5 | 0.4 | 0.3 | [70] |
| Bi(4) | 3.16 | 0.18 | 0.73 | 3.89 | 0.22 | 50 | 4.4 | 0.7 | 0.6 | [70] |
| Y3Al5O12:Bi | 4.04 | - | 0.49 | 4.53 | - | - | - | - | - | [14] |
| 4.07 | - | 0.57 | 4.64 | - | - | - | - | - | [15,108] | |
| Lu3Al5O12:Bi | 4.09 | - | 0.47 | 4.56 | - | - | - | - | - | [14] |
| 4.16 | - | 0.42 | 4.58 | - | - | - | - | - | [19] | |
| GdAlO3:Bi | 3.72 | 0.30 | 0.52 | 4.24 | - | - | - | - | - | [109] |
| Y3Ga5O12:Bi | 3.88 | - | 0.47 | 4.35 | 1.15 | 90 | 0.87 | 0.21 | 0.23 | [13] |
| 3.91 | - | 0.35 | 4.26 | - | - | - | - | - | [110] | |
| 3.87 | - | 0.49 | 4.36 | - | - | - | - | - | [14] | |
| MgO:Bi | 3.50 | - | - | - | 2.9 | 148 | - | 0.2 | - | [79] |
| CaO:Bi | 3.10 | 0.40 | 3.8 | 164 | 5 | [79] | ||||
| 3.10 | 0.14 | 0.40 | 3.50 | 3.25 | 152 | [85] | ||||
| 3.13 | 0.14 | 0.34 | 3.47 | 3.5 | 147 | - | - | - | [84,88,89] | |
| SrO:Bi | 2.85 | 0.26 | 0.53 | 3.38 | 3.5 | 128 | - | - | - | [84] |
| - | - | - | - | 4.2 | 122 | - | - | - | [91] | |
| CaS:Bi | 2.75 | 0.15 | 0.27 | 3.02 | 3.0 | 109 | - | - | - | [84,88,89] |
| - | - | 0.13 | - | 3.3 | 100 | 0.32 | 0.21 | - | [87] | |
| SrS:Bi | 2.60 | 0.18 | 0.28 | 2.88 | 1.0 | 93 | - | - | - | [84,90] |
| - | - | 0.20 | - | 4.1 | 107 | 0.26 | 1.67 | - | [87,90] | |
| BaS:Bi | 2.28 | ≈0.30 | 0.49 | 2.77 | - | 61 | - | - | - | [86] |
| - | - | 0.49 | - | 3.4 | 57 | 0.28 | 0.16 | - | [87] | |
| MgS:Bi | - | - | 0.10 | - | 1.7 | 108 | 0.58 | 0.30 | - | [87] |
| CaF2:Bi | 5.51 | 0.24 | 0.35 | 5.86 | 4.5 | 265 | - | - | - | [92] |
| SrF2:Bi | 5.47 | 0.35 | 0.31 | 5.78 | 5.0 | 110 | - | - | - | [92] |
| BaF2:Bi | 4.74 | 0.35 | 1.01 | 5.75 | 1.1 | 65 | - | - | - | [92] |
| KCl:Bi | 2.68 | 0.38 | 1.13 | 3.81 | 2.8 | - | - | - | - | [85] |
| 2.84 | - | 0.96 | 3.80 | 1.38 | - | - | - | - | [85] | |
| 3.20 | - | 0.60 | 3.80 | - | - | - | - | - | [94] | |
| 2.88 | - | 0.82 | 3.70 | 0.55 | 59 | 1.85 | 0.625 | - | [94] | |
| ScP3O9:Bi | 4.34 | - | 0.56 | 4.90 | - | - | - | - | - | [111] |
| LuP3O9:Bi | 4.29 | - | 0.86 | 5.15 | - | - | - | - | - | [111] |
| YP3O9:Bi | 4.23 | - | 0.92 | 5.15 | - | - | - | - | - | [111] |
| ScBO3:Bi | 4.10 | - | 0.22 | 4.32 | 0.87 | 120 | 1.11 | 0.7 | - | [78] |
| LuBO3:Bi | 4.08 | - | 0.28 | 4.35 | 0.76 | - | 1.31 | - | - | [78] |
| YBO3:Bi | 4.20 | - | 0.64 | 4.86 | - | - | - | - | - | [78,95] |
| LaBO3:Bi | 3.46 | - | 1.16 | 4.62 | 0.22 | 55 | 4.55 | 2.5 | - | [78,95] |
| LaB3O6:Bi | 3.76 | - | 1.01 | 4.77 | - | - | - | - | - | [104] |
| Y2O3:Bi | 3.03 | - | 0.29 | 3.32 | - | - | - | - | - | [3,112] |
| 2.35 | - | ≈1.25 | 3.59;3.73 | - | - | - | - | - | [3,112] | |
| Lu2O3:Bi | 3.08 | - | 0.25 | 3.33 | - | - | - | - | - | [3,112] |
| 2.42 | - | 1.19 | 3.61;3.77 | - | - | - | - | - | [3,112] | |
| Gd2O3:Bi | 2.98 | - | 0.29 | 3.27 | - | - | - | - | - | [3] |
| 2.22 | - | ≈1.41 | 3.58;3.68 | - | - | - | - | - | [3] | |
| 2.97 | - | 0.32 | 3.29 | - | - | - | - | - | [48] | |
| 2.38 | - | 1.38 | 3.76 | - | - | - | - | - | [48] | |
| La2O3:Bi | 2.58 | - | 1.49 | 4.07 | - | - | - | - | - | [112] |
| 2.63 | 0.31 | 1.40 | 4.03 | 0.30 | 48 | - | - | - | [3,80] | |
| LaOBr:Bi | 3.37 | - | 1.18 | 4.55 | 0.20 | - | - | - | - | [93] |
| LaOCl:Bi | 3.53 | - | 1.06 | 4.59 | 0.24 | 68 | 0.425 | ≈1 | - | [93,99] |
| YPO4:Bi | 5.08 | - | 0.43 | 5.51 | - | - | - | - | - | [24] |
| 5.12 | - | 0.34 | 5.46 | - | - | - | - | - | [113] | |
| LuPO4:Bi | 5.25 | - | 0.26 | 5.51 | - | - | - | - | - | [24] |
| CaSnO3:Bi | 3.44 | - | 0.63 | 4.07 | - | - | - | - | - | [114] |
| SrSnO3:Bi | 3.20 | 0.26 | 0.93 | 4.13 | - | - | - | - | - | [115] |
| CaZrO3:Bi | 3.19 | 0.32 | 0.83 | 4.02 | - | - | - | - | - | [114] |
| 3.18 | 0.28 | 0.74 | 3.92 | - | - | - | - | - | [63] | |
| 3.17 | - | 0.80 | 3.97 | - | - | - | - | - | [14] | |
| CaHfO3:Bi | 3.25 | - | 0.78 | 4.03 | - | - | - | - | - | [14] |
| LaGaO3:Bi | 3.28 | 0.28 | 0.74 | 4.02 | - | - | - | - | - | [116] |
| LaInO3:Bi | 2.95 | 0.27 | 0.70 | 3.65 | 0.965 | 62 | - | - | - | [117] |
| Sr2GdAlO5:Bi | 2.74 | - | 1.36 | 4.10 | - | - | - | - | - | [14] |
| Sr2GdGaO5:Bi | 2.63 | - | 1.34 | 3.97 | - | - | - | - | - | [14] |
| La2LiSbO6:Bi | 3.04 | 0.26 | 0.92 | 3.96 | - | - | - | - | - | [118] |
| Y2Sn2O7:Bi | 3.73 | - | 0.70 | 4.43 | - | - | - | - | - | [119] |
| La2Zr2O7:Bi | 3.21 | - | 1.07 | 4.28 | - | - | - | - | - | [120] |
| (Y,Gd)2O2SO4:Bi | 3.87 | - | 0.76 | 4.63 | - | - | - | - | - | [121] |
| Li6(Y,Gd)(BO3)3:Bi | 3.65 | - | 1.03 | 4.68 | - | - | - | - | - | [121] |
| Cs2NaYBr6:Bi | 3.08 | - | 0.28 | 3.36 | 0.58 | 80 | - | - | - | [97] |
| Cs2NaLaCl6:Bi | 3.28 | - | 0.48 | 3.76 | 2.40 | 99 | - | - | - | [97] |
| Cs2NaYCl6:Bi | 3.72 | - | 0.12 | 3.84 | - | 143 | - | - | - | [98] |
| CaSb2O6:Bi | 2.64 | - | 1.00 | 3.64 | 0.75 | 51 | - | - | - | [80,81] |
| La2SO6:Bi | 3.10 | - | 1.35 | 4.45 | - | 47 | 3 | 0.15 | - | [82] |
| Compound | Eem, eV | FWHM, eV | S, eV | Eexc, eV | τSC, µs | D, meV | k1 ×104, s−1 | k2 ×105, s−1 | K ×106, s−1 | Refs. |
|---|---|---|---|---|---|---|---|---|---|---|
| Lu3Al5O12:Bi | 2.60 | 0.87 | 2.00 | 4.60 | 26 | 4 | 3.94 | 7 | 1 | [9,16,17,18] |
| 2.75 | 0.90 | 1.60 | 4.35 | 40 | 2 | 2.56 | 7 | 0.17 | [9,16,17,18] | |
| 2.45 | - | 2.13 | 4.58 | - | - | - | - | - | [19] | |
| 2.66 | - | 1.92 | 4.58 | - | - | - | - | - | [19] | |
| Y3Al5O12:Bi | 2.63 | 0.85 | 1.92 | 4.55 | 38 | 3 | 2.62 | 7 | 0.2 | [9,16,17] |
| 2.75 | 0.85 | 1.57 | 4.32 | 33 | 2 | 2.98 | 7.6 | 0.11 | [9,16,17] | |
| 2.88 | 0.80 | 1.44 | 4.32 | - | - | - | - | - | [15] | |
| Lu2SiO5:Bi | 2.30 | 1.00 | 1.75 | 4.05 | 16.8 | 2 | 6.1 | 7.5 | 0.5 | [9,21] |
| 2.20 | 1.00 | 1.85 | 4.05 | 2.70 | 1.4 | 33 | 33 | 0.9 | [9,21] | |
| LiLaP4O12:Bi | 2.95 | 0.90 | 2.45 | 5.40 | 55 | 5 | 1.82 | 10 | 0.5 | [72] |
| 3.02 | 0.63 | 2.25 | 5.27 | - | - | - | - | - | [102] | |
| 2.78 | 0.65 | 2.17 | 4.95 | - | - | - | - | - | [102] | |
| PbWO4:Bi | 2.20 | 0.50 | ≈1.8 | ≈4.0 | ≈165 | 0.45 | 0.6 | 0.3 | ≈0.002 | [73] |
| 2.20 | 0.50 | ≈1.8 | ≈4.0 | ≈165 | 0.40 | 0.5 | ≈0.5 | 0.03 | [73] | |
| CaWO4:Bi | 2.75 | 0.60 | 1.65 | 4.40 | 74 | - | - | - | - | [122,123] |
| 2.65 | - | 1.67 | 4.32 | - | - | - | - | - | [124] | |
| Y3Ga5O12:Bi | 2.58 | - | 1.49 | 4.07 | - | - | - | - | - | [12] |
| 2.54(2.67) | - | ≈1.65 | 4.26 | - | - | - | - | - | [110] | |
| Gd3Ga5O12:Bi | 2.58 | - | 1.42 | 4.00 | - | - | - | - | - | [12] |
| 2.54 | 0.53 | 1.74 | 4.28 | 10 | 5 | 10 | 10 | 0.30 | [74] | |
| 2.46 | 0.58 | ≈1.79 | ≈4.25 | 3 | 1 | 27 | 40 | 0.30 | [74] | |
| 2.55 | 0.56 | 1.73 | 4.28 | 9 | - | - | - | - | [75] | |
| 2.05 | 0.48 | 1.92 | 3.97 | 27 | ≈0.45 | 3.7 | 1 | - | [75] | |
| YVO4:Bi | - | - | 1.57 | - | - | 0.99 | - | - | - | [7] |
| 2.19 | 0.54 | 1.59 | 3.78 | 85 | 1.20 | - | - | - | [76] | |
| 2.73 | 0.54 | 1.52 | 4.25 | 745 | 0.43 | - | - | - | [76] | |
| LuVO4:Bi | 2.12 | - | 1.61 | 3.73 | 87 | 1.00 | - | - | - | [76] |
| 2.68 | - | 1.55 | 4.23 | 720 | 0.34 | - | - | - | [76] | |
| 2.16 | - | 1.60 | 3.76 | - | - | - | - | [28] | ||
| GdVO4:Bi | 2.16 | - | 1.63 | 3.79 | 5.6 | - | - | - | - | [76] |
| 2.69 | - | 1.51 | 4.20 | 214 | - | - | - | - | [76] | |
| YNbO4:Bi | 2.53 | 0.53 | 1.56 | 4.09 | 33 | 0.78 | - | - | - | [77] |
| 2.41 | 0.55 | 1.65 | 4.06 | 46 | 0.77 | - | - | - | [77] | |
| GdNbO4:Bi | 2.64 | - | 1.20 | 3.84 | - | - | - | - | - | [64,65] |
| 2.77 | - | 1.30 | 4.07 | - | - | - | - | - | [125] | |
| GdAlO3:Bi | 2.58 | 0.82 | 1.69 | 4.27 | - | - | - | - | - | [109] |
| La2 Zr2O7:Bi | 2.41 | 0.95 | 1.86 | 4.27 | - | - | - | - | - | [120] |
| Y2Sn2O7:Bi | 2.43 | 0.80 | 1.92 | 4.35 | - | - | - | - | - | [119] |
| Y2Ti2O7:Bi | 2.28 | 0.62 | 1.47 | 3.75 | - | - | - | - | - | [126] |
| YOCl:Bi | 3.00 | - | 1.87 | 4.87 | 0.93 | - | 7.5 | - | - | [1,99] |
| LaOCl:Bi | 2.65 | 0.90 | 1.83 | 4.48 | - | - | - | - | - | [93,99] |
| LaOBr:Bi | 2.34; 2.96 | - | ≈1.76 | 4.26 | 500 | < 1 | - | - | - | [93] |
| CaSnO3:Bi | 2.74 | 0.66 | 1.33 | 4.07 | - | - | - | - | - | [114] |
| 2.71 | 0.66 | 1.33 | 4.04 | - | - | - | - | - | [63] | |
| CaTiO3:Bi | 2.19 | 0.53 | 1.46 | 3.65 | - | - | - | - | - | [63] |
| 2.23 | 0.64 | 1.64 | 3.87 | - | - | - | - | - | [127] | |
| SrZrO3:Bi | 2.87 | 0.42 | 1.22 | 4.09 | - | - | - | - | - | [115] |
| SrSnO3:Bi | 2.85 | - | 1.28 | 4.13 | - | - | - | - | - | [115] |
| LaBO3:Bi | 2.69 | - | 1.84 | 4.53 | 110 | 5.7 | 0.92 | 3 | - | [78,95] |
| YPO4:Bi | 3.72–3.82 | 0.95 | ≈1.75 | 5.46−5.56 | - | - | - | - | - | [1,24,113,128] |
| LuPO4:Bi | 3.72 | 0.95 | 1.79 | 5.51 | - | - | - | - | - | [24] |
| LaPO4:Bi | 2.76 | 0.60 | 2.41 | 5.17 | 1000 | 2 | - | - | - | [83] |
| LaP3O9:Bi | 2.72 | - | 2.55 | 5.27 | - | - | - | - | - | [111] |
| Sr3Ga4O9:Bi | 2.34 | - | 1.48 | 3.82 | - | - | - | - | - | [58] |
| Sr3Ga4O9:Bi | 1.82 | - | 1.94 | 3.76 | - | - | - | - | - | [58] |
| Y2WO6:Bi | 2.41 | - | 1.22 | 3.63 | - | - | - | - | - | [1] |
| Lu2WO6:Bi | 2.43 | 0.45 | 1.16 | 3.59 | - | - | - | - | - | [129] |
| Ca2MgWO6:Bi | 2.25 | 0.65 | 1.42 | 3.67 | - | - | - | - | - | [130] |
| Compound | Eem, eV | FWHM, eV | S, eV | Eexc, eV | τSC, μs | D, meV | k1 ×103, s−1 | k2 ×105, s−1 | Refs. |
|---|---|---|---|---|---|---|---|---|---|
| YNbO4 | 3.06 | - | 1.71 | 4.77 | ≈400 | 0.74 | - | - | [162] |
| 2.89 | 0.62 | 2.07 | 4.96 | 180 | 0.63 | - | - | [77] | |
| LuNbO4 | 3.13 | 0.64 | 1.52 | 4.65 | ≈250 | - | - | - | [162,163] |
| GdNbO4 | 2.82 | - | 2.00 | 4.82 | - | - | - | - | [164] |
| 2.95 | - | 1.93 | 4.88 | - | - | - | - | [165] | |
| YVO4 | 2.99 | 0.66 | 1.04 | 4.03 | - | - | - | - | [141] |
| 2.72 | 0.67 | 1.22 | 3.94 | 550 | 0.124 | - | - | [166] | |
| LuVO4 | 2.82 | - | 1.26 | 4.08 | - | - | - | - | [28] |
| GdVO4 | 2.77 | - | 1.22 | 3.99 | - | - | - | - | [3] |
| Lu3Al5O12 | 5.00 | - | 2.30 | 7.30 | - | - | - | - | [167] |
| 4.95 | - | 2.45 | 7.40 | - | - | - | - | [167] | |
| 4.36 | - | 2.70 | 7.06 | - | - | - | - | [167] | |
| 4.90 | 0.80 | 2.30 | 7.20 | 282 | - | - | - | [168,169] | |
| 3.65 | 0.80 | 3.46 | 7.11 | 207 | - | - | - | [168,169] | |
| Y3Al5O12 | 4.74 | - | 2.43 | 7.17 | - | - | - | - | [167] |
| 4.22 | - | 2.66 | 6.88 | - | - | - | - | [167,170] | |
| 4.80 | 0.80 | 2.10 | 6.90 | - | - | - | - | [169] | |
| 3.95 | 1.23 | 2.85 | 6.80 | - | - | - | - | [169] | |
| 4.95 | 0.70 | 1.95 | 6.90 | - | - | - | - | [170] | |
| Y3Ga5O12 | 4.10 | 0.70 | 2.60 | 6.70 | - | - | - | - | [171] |
| Gd3Ga5O12 | 3.44 | 0.68 | 1.52 | 4.96 | - | - | - | - | [172] |
| YAlO3 | 5.60 | - | 2.23 | 7.83 | - | - | - | - | [173] |
| 5.63 | - | 2.27 | 7.90 | - | - | - | - | [173] | |
| 4.12 | - | 3.01 | 7.13 | - | - | - | - | [173] | |
| 5.68 | - | 2.21 | 7.89 | - | - | - | - | [174,175,176] | |
| 5.28 | - | 2.61 | 7.89 | - | - | - | - | [175] | |
| LuAlO3 | 6.13 | - | 2.12 | 8.25 | - | - | - | - | [177] |
| 5.90 | - | 2.22 | 8.12 | - | - | - | - | [177] | |
| 4.49 | - | 3.45 | 7.94 | - | - | - | - | [177] | |
| 4.22 | - | 3.37 | 7.59 | - | - | - | - | [177] | |
| LuYAlO3 | 6.13 | - | 2.26 | 8.39 | - | - | - | - | [176] |
| 5.55 | - | 2.38 | 7.93 | - | - | - | - | [176] | |
| PbWO4 | 2.76 | 0.62 | 1.41 | 4.17 | 30 | 0.45 | 39 | 3.7 | [178] |
| 2.36 | 0.52 | 1.59 | 3.95 | 250 | 0.30 | 4.05 | 1 | [179,180] | |
| 2.38 | 0.51 | 1.52 | 3.90 | 210 | 0.33 | 4.72 | 1.2 | [179,180] | |
| 2.40 | 0.52 | 1.50 | 3.90 | 240 | 0.35 | 4.10 | 0.83 | [179,180] | |
| CaWO4 | 2.88 | 0.60 | 2.32 | 5.20 | 360 | - | - | - | [122,123] |
| Ca2MgWO6 | 2.88 | - | 1.29 | 4.17 | - | - | - | - | [130] |
| Lu2SiO5 | 4.80 | - | 1.80 | 6.60 | - | - | - | - | [181,182,183] |
| 3.80 | - | 2.90 | 6.70 | - | - | - | - | [181,182] | |
| Y2SiO5 | 3.60 | - | 3.10 | 6.70 | - | - | - | - | [183] |
| 3.20 | - | 3.50 | 6.70 | - | - | - | - | [183] | |
| LaPO4 | 4.80 | - | 3.50 | 8.30 | - | - | - | [184] | |
| LuPO4 | 4.30 | - | 4.40 | 8.70 | - | - | - | - | [185,186] |
| LaB3O6 | 3.60 | 0.90 | 4.10 | 7.70 | - | - | - | - | [187] |
| LuBO3 | 3.40 | - | 4.40 | 7.80 | - | - | - | - | [186] |
| LiLaP4O12 | 2.80 | 0.70 | 2.43 | 5.20 | 800 | - | - | - | [72] |
| Sr3Ga4O9 | 3.26 | - | 1.70 | 4.96 | - | - | - | - | [58] |
| Compound | Eem, eV | FWHM, eV | S, eV | Eexc, eV | τSC, ms | D, meV | k1 ×103, s−1 | k2 ×104, s−1 | Refs. |
|---|---|---|---|---|---|---|---|---|---|
| Y3Al5O12:Bi | 2.88 | 0.81 | 1.44 | 4.32 | 0.023 | - | - | - | [15] |
| Y3Al5O12:Bi | 2.64 | ≈1.1 | 1.88 | 4.52 | - | - | - | - | [19] |
| Lu3Al5O12:Bi | 2.66 | 0.84 | 1.92 | 4.58 | - | - | - | - | [19] |
| Y3Ga5O12:Bi | 2.54 | 0.73 | 1.72 | 4.26 | - | - | - | - | [110] |
| Y3Ga5O12:Bi | 2.64 | - | 1.50 | 4.29 | - | - | - | - | [14] |
| Gd3Ga5O12:Bi | 2.61 | - | 1.49 | 4.10 | - | - | - | - | [14] |
| Lu2SiO5:Bi | 2.75 | - | 0.80 | 3.55 | - | - | - | - | [202] |
| LaBO3:Bi | 2.69 | 0.54 | 1.84 | 4.53 | 0.11 | 5.7 | 9.2 | 30 | [78,95] |
| LaB3O6:Bi | 3.17 | 0.77 | 1.60 | 4.77 | - | - | - | - | [104] |
| La2O3:Bi | 2.18 | - | 1.47 | 3.65 | - | - | - | - | [112] |
| YOCl:Bi | 3.00 | 0.66 | 1.87 | 4.87 | 0.11 | 4.9 | 9.2 | 75 | [99] |
| GdOCl:Bi | 2.79 | 0.77 | 2.03 | 4.82 | 0.007 | - | - | - | [99] |
| YPO4:Bi | 3.72−3.82 | 0.95 | ≈1.75 | 5.46−5.56 | - | - | - | - | [1,24,113,128] |
| LuPO4:Bi | 3.72 | 0.95 | 1.79 | 5.51 | - | - | - | - | [24] |
| Sr3Ga4O9:Bi | 2.34 | ≈0.40 | 1.49 | 3.83 | - | - | - | - | [58] |
| Sr3Ga4O9:Bi | 1.82 | 0.60 | 1.93 | 3.75 | - | - | - | - | [58] |
| GdAlO3:1%Bi | 2.58 | 0.82 | 1. 69 | 4.27 | - | - | - | - | [109] |
| GdAlO3:5%Bi | 2.50 | 0.90 | 1.69 | 4.19 | - | - | - | - | [109] |
| LiLaP4O12:Bi | 2.78 | 0.63 | 2.17 | 4.95 | - | - | - | - | [102] |
| La2Zr2O7:Bi | 2.41 | ≈0.95 | 1.86 | 4.27 | - | - | - | - | [159] |
| Y2Sn2O7:Bi | 2.41 | 0.67 | 1.74 | 4.35 | - | - | - | - | [119] |
| (Y,Gd)2O2SO4:Bi | 2.69 | 0.87 | 1.85 | 4.54 | - | - | - | - | [121] |
| Li6(Y,Gd)(BO3)3:Bi | 2.30 | - | 2.05 | 4.35 | - | - | - | - | [121] |
| Cs2NaYBr6:Bi | 2.66 | 0.23 | 0.61 | 3.36 | - | - | - | - | [97] |
| Cs2NaLaCl6:Bi | 3.28 | 0.43 | 0.48 | 3.90 | - | - | - | - | [97] |
| Eem, eV | FWHM, eV | S, eV | Eexc, eV | τSC, μs | D, meV | k1 ×103, s−1 | k2 ×108, s−1 | K ×108, s−1 |
|---|---|---|---|---|---|---|---|---|
| 3.45 | 0.28 | 0.75 | 4.20 | 292 | 65 | 3.51 | 1.0 | 1.0 |
| 3.30 | 0.40 | 0.80 | 4.10 | 298 | 55 | 3.36 | 0.6 | 0.5 |
© 2020 by the authors. Licensee MDPI, Basel, Switzerland. This article is an open access article distributed under the terms and conditions of the Creative Commons Attribution (CC BY) license (http://creativecommons.org/licenses/by/4.0/).
Share and Cite
Krasnikov, A.; Mihokova, E.; Nikl, M.; Zazubovich, S.; Zhydachevskyy, Y. Luminescence Spectroscopy and Origin of Luminescence Centers in Bi-Doped Materials. Crystals 2020, 10, 208. https://doi.org/10.3390/cryst10030208
Krasnikov A, Mihokova E, Nikl M, Zazubovich S, Zhydachevskyy Y. Luminescence Spectroscopy and Origin of Luminescence Centers in Bi-Doped Materials. Crystals. 2020; 10(3):208. https://doi.org/10.3390/cryst10030208
Chicago/Turabian StyleKrasnikov, Aleksei, Eva Mihokova, Martin Nikl, Svetlana Zazubovich, and Yaroslav Zhydachevskyy. 2020. "Luminescence Spectroscopy and Origin of Luminescence Centers in Bi-Doped Materials" Crystals 10, no. 3: 208. https://doi.org/10.3390/cryst10030208
APA StyleKrasnikov, A., Mihokova, E., Nikl, M., Zazubovich, S., & Zhydachevskyy, Y. (2020). Luminescence Spectroscopy and Origin of Luminescence Centers in Bi-Doped Materials. Crystals, 10(3), 208. https://doi.org/10.3390/cryst10030208

