Enhancement of Spontaneous Polarization and Acid Vapor-Induced Polymerization in the Thin-Film States of Phenylterthiophene Derivative Bearing a Cyclotetrasiloxane Ring
Abstract
1. Introduction
2. Materials and Methods
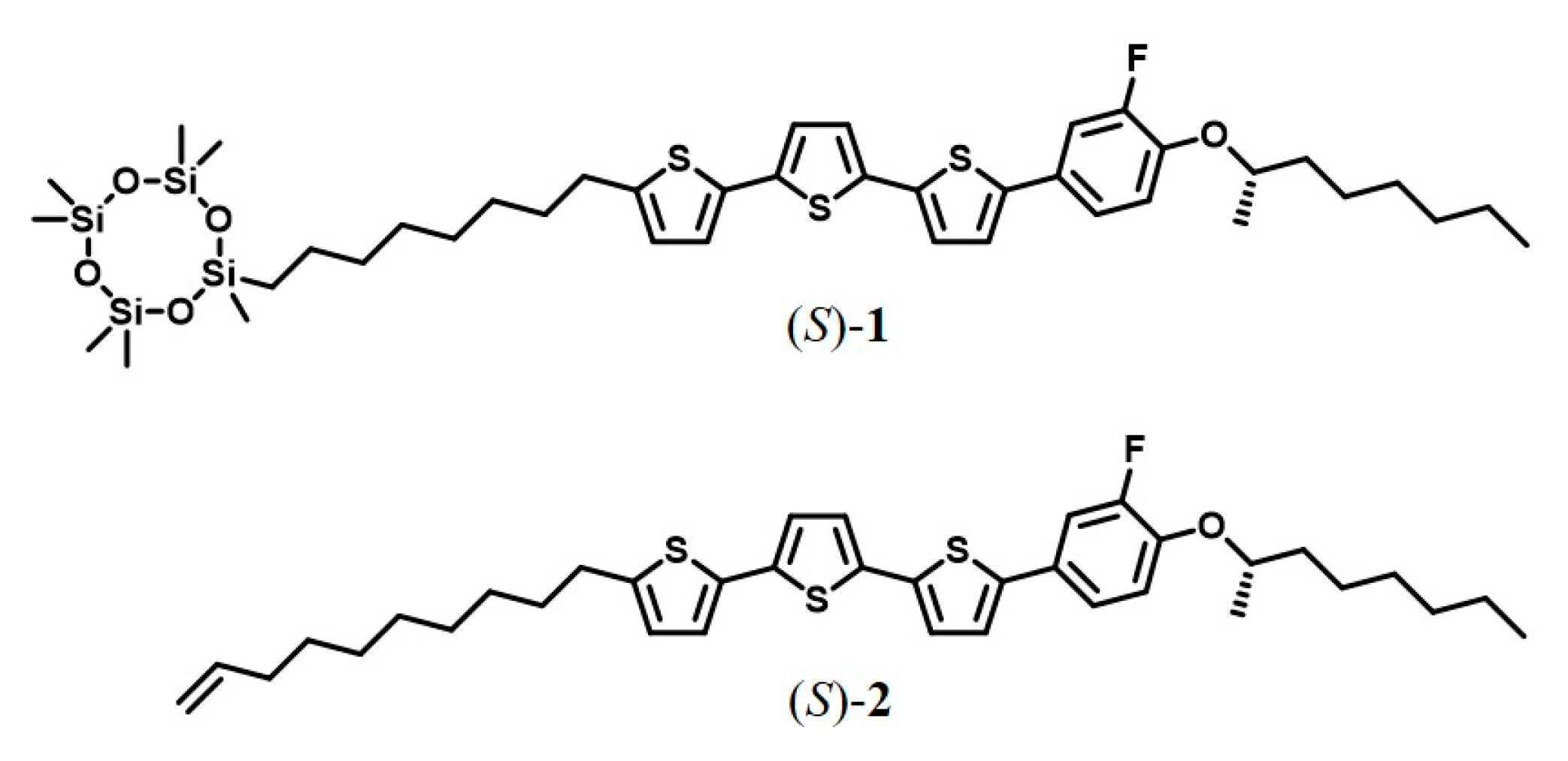
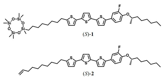
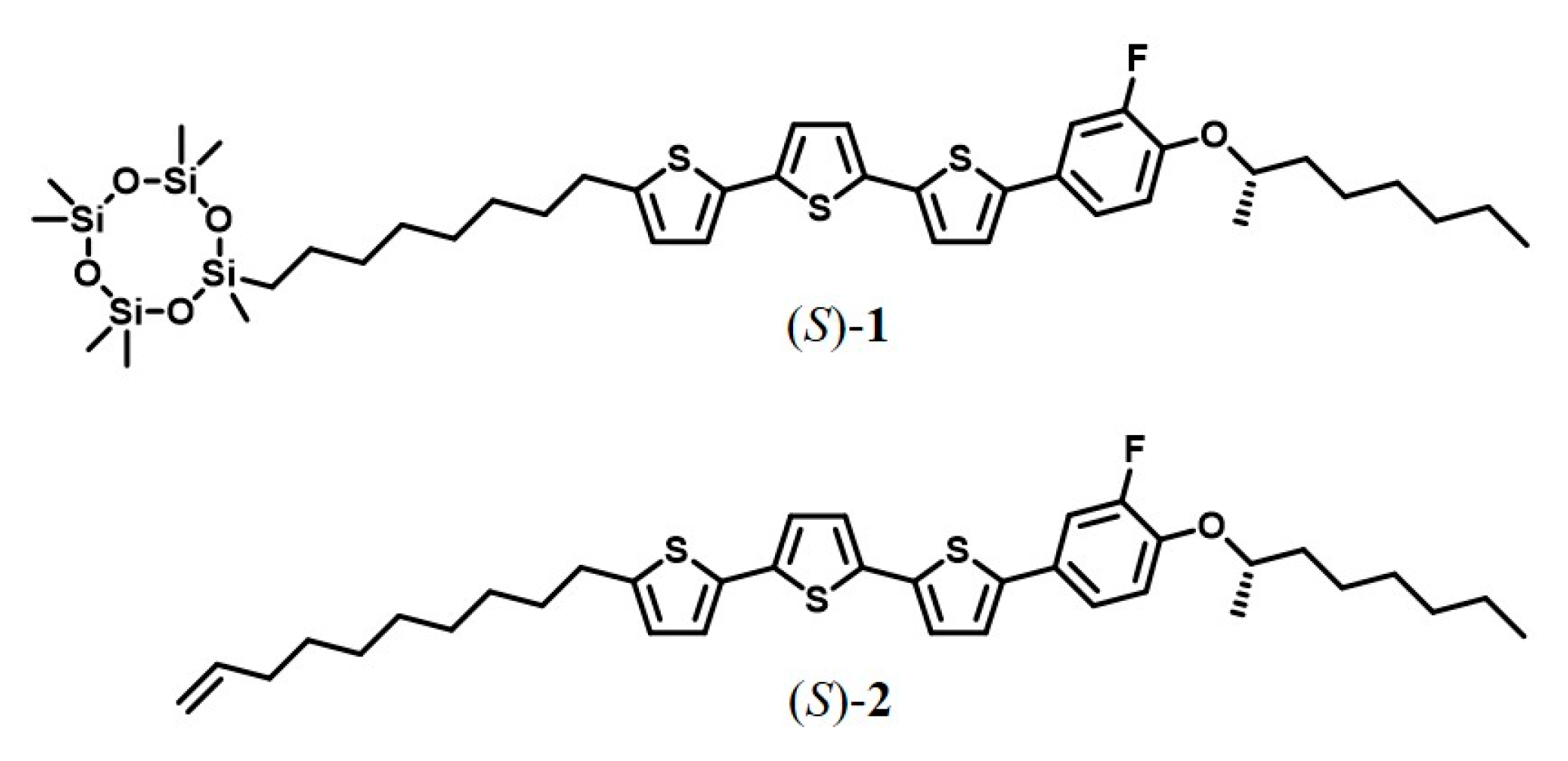
2.1. Synthesis and Mesomorphic Behaviors of FLCs
2.2. Characterization of Ferroelectricty
2.3. Preparation of Thin Films of FLCs
3. Results and Discussion
3.1. Ferroelectricity in the Bulk State of Compound (S)−1
3.2. Deposition of Thin LC Film
3.3. Ferroelectricity of Thin-film States
3.4. In-Situ Polymerization of Thin Films of Compound (S)−1
4. Conclusions
Supplementary Materials
Author Contributions
Funding
Acknowledgments
Conflicts of Interest
References
- Clark, N.A.; Lagerwall, S.T. Submicrosecond bistable electro-optic switching in liquid crystals. Appl. Phys. Lett. 1980, 36, 899–901. [Google Scholar] [CrossRef]
- Young, C.Y.; Pindak, R.; Clark, N.A.; Meyer, R.B. Light-Scattering Study of Two-Dimensional Molecular-Orientation Fluctuations in a Freely Suspended Ferroelectric Liquid-Crystal. Phys. Rev. Lett. 1978, 40, 773–776. [Google Scholar] [CrossRef]
- Lagarwall, J.P.F.; Giesselmann, F. Current Topics in Smectic Liquid Crystal Research. ChemPhysChem 2006, 7, 20–45. [Google Scholar] [CrossRef]
- Miyasato, K.; Abe, S.; Takezoe, H.; Fukuda, A.; Kuze, E. Direct Method with Triangular Waves for Measuring Spontaneous Polarization in Ferroelectric Liquid Crystals. Jpn. J. Appl. Phys. 1983, 22, L661–L663. [Google Scholar] [CrossRef]
- Funahashi, M. Development of liquid crystalline semiconductors with high carrier mobility and their application to thin-film transistors. Polym. J. 2009, 41, 459–469. [Google Scholar] [CrossRef]
- Funahashi, M. Nanostructured Liquid-Crystalline Semiconductors—A New Approach to Soft Matter Electronics. J. Mater. Chem. C 2014, 2, 7451–7459. [Google Scholar] [CrossRef]
- Kato, T.; Yoshio, M.; Ichikawa, T.; Soberats, B.; Ohno, H.; Funahashi, M. Transport of ions and electrons in nanostructured liquid crystals. Nat. Rev. Mater. 2017, 2, 17001. [Google Scholar] [CrossRef]
- Funahashi, M. Solution-processable electronic and redox-active liquid crystals based on the design of side chains. Flex. Print. Electron. 2020, 5. in press. [Google Scholar] [CrossRef]
- Anetai, H.; Wada, Y.; Takeda, T.; Hoshino, N.; Yamamoto, S.; Mitsuishi, M.; Takenobu, T.; Akutagawa, T. Fluorescent Ferroelectrics of Hydrogen-Bonded Pyrene Derivatives. J. Phys. Chem. Lett. 2015, 6, 1813–1818. [Google Scholar] [CrossRef]
- Sasaki, T. Photorefractive effect of ferroelectric liquid crystals. Chem. Rec. 2006, 6, 43–51. [Google Scholar] [CrossRef]
- Funahashi, M.; Mori, Y. Linearly polarized electroluminescence device in which the polarized plane can be rotated electrically using a chiral liquid crystalline semiconductor. Mater. Chem. Front. 2020, 4, 2137–2148. [Google Scholar] [CrossRef]
- Funatsu, Y.; Sonoda, A.; Funahashi, M. Ferroelectric liquid-crystalline semiconductors based on a phenylterthiophene skeleton: Effect of introduction of oligosiloxane moieties and photovoltaic effect. J. Mater. Chem. C 2015, 3, 1982–1993. [Google Scholar] [CrossRef]
- Seki, A.; Funahashi, M. Photovoltaic effects in ferroelectric liquid crystals based on phenylterthiophene derivatives. Chem. Lett. 2016, 45, 616–618. [Google Scholar] [CrossRef]
- Seki, A.; Funahashi, M. Anomalous photovoltaic effect based on molecular chirality: Influence of enantiomeric purity on the photocurrent response in π-conjugated ferroelectric liquid crystals. Phys. Chem. Chem. Phys. 2017, 19, 16446–16455. [Google Scholar] [CrossRef] [PubMed]
- Seki, A.; Funahashi, M. Chiral photovoltaic effect in an ordered smectic phase of a phenylterthiophene derivative. Org. Electron. 2018, 62, 311–319. [Google Scholar] [CrossRef]
- Zhang, C.; Nakano, K.; Nakamura, M.; Araoka, F.; Tajima, K.; Miyajima, D. Noncentrosymmetric Columnar Liquid Crystals with the Bulk Photovoltaic Effect for Organic Photodetectors. J. Am. Chem. Soc. 2020, 142, 3326–3330. [Google Scholar] [CrossRef]
- Miyajima, D.; Araoka, F.; Takezoe, H.; Kim, J.; Kato, K.; Takata, M.; Aida, T. Ferroelectric Columnar Liquid Crystal Featuring Confined Polar Groups Within Core–Shell Architecture. Science 2012, 336, 209–213. [Google Scholar] [CrossRef]
- Lehmann, W.; Skupin, H.; Tolksdorf, C.; Gebhard, E.; Zentel, R.; Krüger, P.; Lösche, M.; Kremer, F. Giant lateral electrostriction in ferroelectric liquid-crystalline elastomers. Nature 2001, 410, 447–450. [Google Scholar] [CrossRef]
- Yoshino, K.; Uto, S.; Myojin, K.; Nakayama, K.; Kobayashi, K.; Yin, X.H.; Moritake, H.; Ozaki, M. Nonlinear optical properties of ferroelectric liquid crystal. Ferroelectrics 1997, 196, 297–303. [Google Scholar] [CrossRef]
- Yoshino, K.; Fuwa, Y.; Nakayama, K.; Uto, S.; Moritake, H.; Ozaki, M. Static and dynamic properties of ferroelectric liquid crystal and their novel applications. Ferroelectrics 1997, 197, 1–9. [Google Scholar] [CrossRef]
- Isoda, K.; Matsubara, M.; Ikenaga, A.; Akiyama, Y.; Mutoh, Y. Reversibly/irreversibly stimuli-responsive inks based on N-heteroacene liquids. J. Mater. Chem. C 2019, 7, 14075–14079. [Google Scholar] [CrossRef]
- Takenami, K.; Uemura, S.; Funahashi, M. In situ polymerization of liquid-crystalline thin films of electron-transporting perylene tetracarboxylic bisimide bearing cyclotetrasiloxane rings. RSC Adv. 2016, 6, 5474–5484. [Google Scholar] [CrossRef]
- Yu, Y.; Maeda, T.; Mamiya, J.; Ikeda, T. Photomechanical Effects of Ferroelectric Liquid-Crystalline Elastomers Containing Azobenzene Chromophores. Angew. Chem. Int. Ed. 2007, 46, 881–883. [Google Scholar] [CrossRef]
- Iino, H.; Hanna, J. Availability of Liquid Crystalline Molecules for Polycrystalline Organic Semiconductor Thin Films. Jpn. J. Appl. Phys. 2006, 45, L867–L870. [Google Scholar] [CrossRef]
- Funahashi, M.; Zhang, F.; Tamaoki, N. High Ambipolar Mobility in Highly Ordered Smectic Phase of Dialkylphenylterthiophene Derivative That Can Be Applied to Solution-Processed Organic Field Effect Transistors. Adv. Mater. 2007, 19, 353–358. [Google Scholar] [CrossRef]
- Zhang, F.; Funahashi, M.; Tamaoki, N. High-performance thin-film transistors from semiconducting liquid crystalline phases by solution processes. Appl. Phys. Lett. 2007, 91, 063515. [Google Scholar] [CrossRef]
- Zhang, F.; Funahashi, M.; Tamaoki, N. Highly mechanically flexible thin film transistors from liquid crystalline semiconductors by solution processing. Org. Electron. 2010, 11, 363–368. [Google Scholar] [CrossRef]
- Funahashi, M.; Sonoda, A. High electron mobility in a columnar phase of liquid-crystalline perylene tetracarboxylic bisimide bearing oligosiloxane chains. J. Mater. Chem. 2012, 22, 25190–25197. [Google Scholar] [CrossRef]
- Iino, H.; Usui, T.; Hanna, J. Liquid crystals for organic thin-film transistors. Nat. Commun. 2015, 6, 6828. [Google Scholar] [CrossRef] [PubMed]
- Aldred, M.P.; Contoret, A.E.A.; Farrar, S.R.; Kelly, S.M.; Mathieson, D.; O’Neill, M.; Tsoi, W.C.; Vlachos, P. A Full-Color Electroluminescent Device and Patterned Photoalignment Using Light-Emitting Liquid Crystals. Adv. Mater. 2005, 17, 1368–1372. [Google Scholar] [CrossRef]
- Hori, T.; Miyake, Y.; Yamasaki, N.; Yoshida, H.; Fujii, A.; Shimizu, Y.; Ozaki, M. Solution Processable Organic Solar Cell Based on Bulk Heterojunction Utilizing Phthalocyanine Derivative. Appl. Phys. Exp. 2010, 3, 101602. [Google Scholar] [CrossRef]
- Funahashi, M.; Yamaoka, M.; Takenami, K.; Sonoda, A. Liquid-crystalline perylene tetracarboxylic bisimide derivatives bearing cyclotetrasiloxane moieties. J. Mater. Chem. C 2013, 1, 7872–7878. [Google Scholar] [CrossRef]
- Pecherskaya, E.A. The use of the Sawyer-Tower method and its modifications to measure the electrical parameters of ferroelectric materials. Meas. Tech. 2007, 50, 1101–1107. [Google Scholar] [CrossRef]
- Wittmann, J.C.; Smith, P. Highly oriented thin films of poly(tetrafluoroethylene) as a substrate for oriented growth of materials. Nature 1991, 352, 414–417. [Google Scholar] [CrossRef]
- Brunet, M.; Martinot-Lagarde, P. Chiral Smectic C Liquid Crystal, Thick Sample Textures. J. Phys. II 1996, 6, 1687–1725. [Google Scholar] [CrossRef]
- Sreenilayam, S.P.; Rodriguez-Lojo, D.; Agra-Kooijman, D.M.; Vij, J.K.; Panov, V.P.; Panov, A.; Fisch, M.R.; Kumar, S.; Stevenson, P.J. de Vries liquid crystals based on a chiral 5-phenylpyrimidine benzoate core with a tri- and tetra-carbosilane backbone. Phys. Rev. Mater. 2018, 2, 025603. [Google Scholar] [CrossRef]
- Hosokawa, Y.; Misaki, M.; Yamamoto, S.; Torii, M.; Ishida, K.; Ueda, Y. Molecular orientation and anisotropic carrier mobility in poorly soluble polythiophene thin films. Appl. Phys. Lett. 2012, 100, 203305. [Google Scholar] [CrossRef]
- Miyata, H.; Maeda, M.; Suzuki, I. Cell thickness dependence of dielectric properties of ferroelectric liquid crystal (CS-1022). Liq. Cryst. 1996, 20, 303–309. [Google Scholar] [CrossRef]
- Roy, S.S.; Majumder, T.P.; Roy, S.K.; Mukherjee, P.K. Effect of spontaneous polarization on smectic C*-smectic A* phase transition temperature and the thickness dependence of the spontaneous polarization of ferroelectric liquid crystal. Liq. Cryst. 1998, 25, 59–62. [Google Scholar] [CrossRef]
- Patel, J.S.; Goodby, J.W. The dependence of the magnitude of the spontaneous polarization on the cell thickness in ferroelectric liquid crystals. Chem. Phys. Lett. 1987, 137, 91–95. [Google Scholar] [CrossRef]






| Compounds | Phase-Transition Temperature/°C (Enthalpy/kJ Mol−1) |
|---|---|
| (S)−1 (S)−2 | SmG* 98 (14) SmC* 115 (8) Iso a SmG* 125 (10) SmC* 140 (9) Iso a,b |
Publisher’s Note: MDPI stays neutral with regard to jurisdictional claims in published maps and institutional affiliations. |
© 2020 by the authors. Licensee MDPI, Basel, Switzerland. This article is an open access article distributed under the terms and conditions of the Creative Commons Attribution (CC BY) license (http://creativecommons.org/licenses/by/4.0/).
Share and Cite
Nakagawa, J.; Seki, A.; Funahashi, M. Enhancement of Spontaneous Polarization and Acid Vapor-Induced Polymerization in the Thin-Film States of Phenylterthiophene Derivative Bearing a Cyclotetrasiloxane Ring. Crystals 2020, 10, 983. https://doi.org/10.3390/cryst10110983
Nakagawa J, Seki A, Funahashi M. Enhancement of Spontaneous Polarization and Acid Vapor-Induced Polymerization in the Thin-Film States of Phenylterthiophene Derivative Bearing a Cyclotetrasiloxane Ring. Crystals. 2020; 10(11):983. https://doi.org/10.3390/cryst10110983
Chicago/Turabian StyleNakagawa, Jumpei, Atsushi Seki, and Masahiro Funahashi. 2020. "Enhancement of Spontaneous Polarization and Acid Vapor-Induced Polymerization in the Thin-Film States of Phenylterthiophene Derivative Bearing a Cyclotetrasiloxane Ring" Crystals 10, no. 11: 983. https://doi.org/10.3390/cryst10110983
APA StyleNakagawa, J., Seki, A., & Funahashi, M. (2020). Enhancement of Spontaneous Polarization and Acid Vapor-Induced Polymerization in the Thin-Film States of Phenylterthiophene Derivative Bearing a Cyclotetrasiloxane Ring. Crystals, 10(11), 983. https://doi.org/10.3390/cryst10110983

