Transient Improvement after Switch to Low Doses of RimabotulinumtoxinB in Patients Resistant to AbobotulinumtoxinA
Abstract
1. Introduction
2. Results
2.1. Demographical and Treatment-Related Baseline Values
2.2. Side Effects of the First Four BoNT/A and BoNT/B Injections
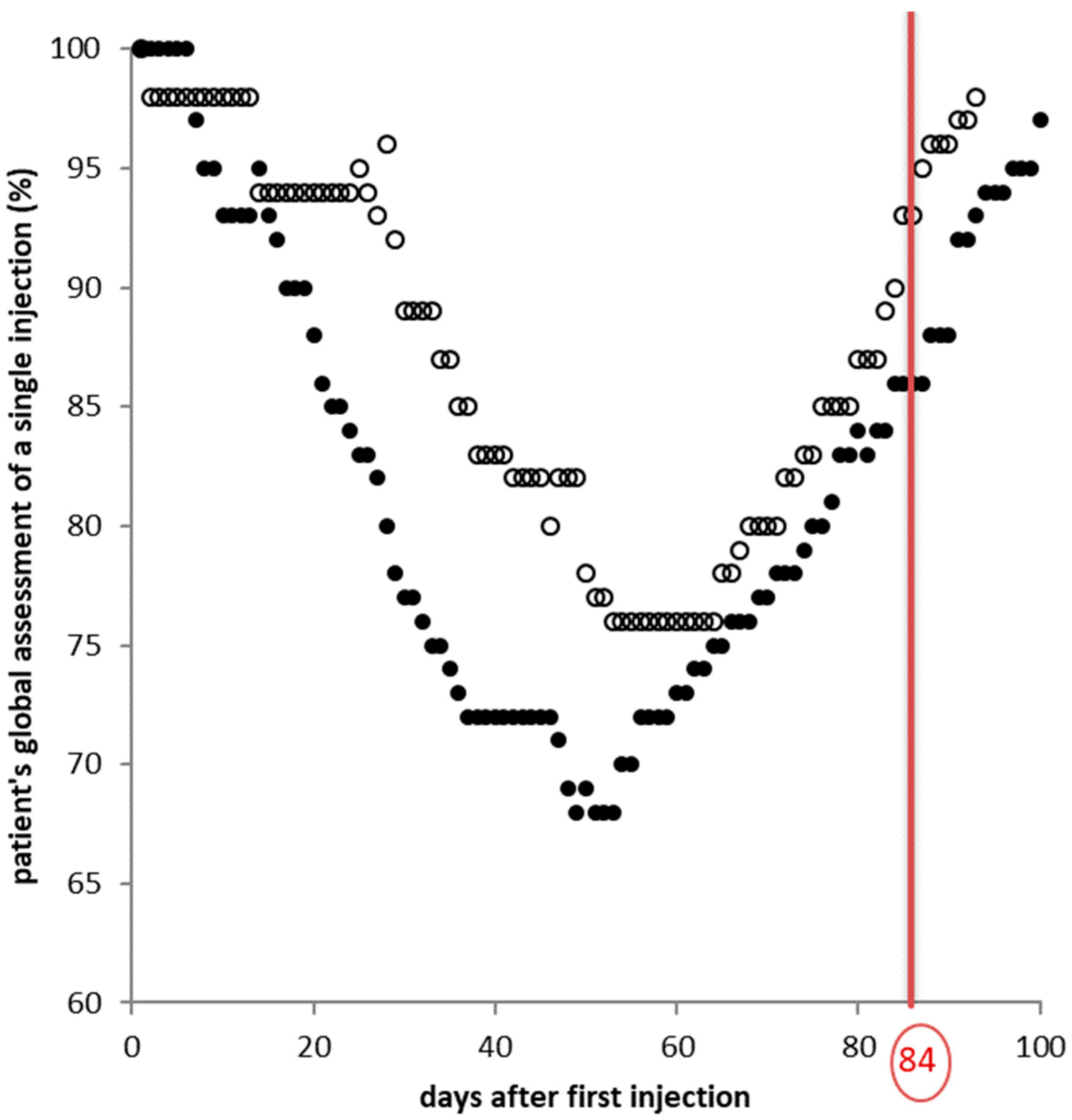
2.3. Comparison of the First BoNT/A and BoNT/B Injection in A Single Subject
2.4. Comparison of the BoNT/A and BoNT/B Injections in the Cohort
2.5. Comparison of the Distribution of Relative Improvement after Two BoNT/A and Two BoNT/B Injections
2.6. Correlation of the Relative Improvement of CD after Two BoNT/A and Two BoNT/B Injections
3. Discussion
3.1. Demographic Data and Treatment-Related Data at Baseline Visits
3.2. Side Effects of the First Four BoNT/A and BoNT/B Injections
3.3. The Clinical Efficacy of BoNT/A and BoNT/B Injections
3.4. Difference in Efficacy of BoNT/A and BoNT/B Injections
3.5. Lack of Correlation between the Response to BoNT/A and BoNT/B
3.6. Implications for Patients with a Secondary Treatment Failure
3.7. Strengths and Limitations of the Study
4. Conclusions
5. Materials and Methods
5.1. Patients
5.2. BoNT Injections
5.3. Criteria for the Development of STF and Antibody Testing
5.4. Assessment of BoNT Injections by Patients and Treating Physician
5.5. Statistics
5.6. Statement of Ethics
Author Contributions
Funding
Conflicts of Interest
References
- Scott, A.B. Botulinum toxin injection into extraocular muscles as an alternative to strabismus surgery. Ophthalmology 1980, 87, 1044–1049. [Google Scholar] [CrossRef]
- Albanese, A.; Di Giovanni, M.; Lalli, S. Dystonia: Diagnosis and management. Eur. J. Neurol. 2018, 26, 5–17. [Google Scholar] [CrossRef] [PubMed]
- Simpson, D.M.; Hallett, M.; Ashman, E.J.; Comella, C.L.; Green, M.W.; Gronseth, G.S.; Armstrong, M.J.; Gloss, D.; Potrebic, S.; Jankovic, J.; et al. Practice guideline update summary: Botulinum neurotoxin for the treatment of blepharospasm, cervical dystonia, adult spasticity, and headache: Report of the Guideline Development Subcommittee of the American Academy of Neurology. Neurology 2016, 86, 1818–1826. [Google Scholar] [CrossRef] [PubMed]
- Greene, P.; Fahn, S.; Diamond, B. Development of Resistance to Botulinum Toxin Type A in patients with torticollis. Mov. Disord. 1994, 9, 213–217. [Google Scholar] [CrossRef]
- Brin, M.F.; Comella, C.L.; Jankovic, J.; Mmath, F.L.; Naumann, M. Long-term treatment with botulinum toxin type A in cervical dystonia has low immunogenicity by mouse protection assay. Mov. Disord. Off. J. Mov. Disord. Soc. 2008, 23, 1353–1360. [Google Scholar] [CrossRef] [PubMed]
- Kranz, G.; Sycha, T.; Voller, B.; Schnider, P.; Auff, E. Neutralizing antibodies in dystonic patients who still respond well to botulinum toxin type A. Neurology 2008, 70, 133–136. [Google Scholar] [CrossRef] [PubMed]
- Frevert, J. Pharmaceutical, Biological, and Clinical Properties of Botulinum Neurotoxin Type A Products. Drugs R D 2015, 15, 1–9. [Google Scholar] [CrossRef] [PubMed]
- Hefter, H.; Rosenthal, D.; Moll, M. High Botulinum Toxin-Neutralizing Antibody Prevalence under Long-Term Cervical Dystonia Treatment. Mov. Disord. Clin. Pract. 2016, 3, 500–506. [Google Scholar] [CrossRef]
- Albrecht, P.; Jansen, A.; Lee, J.-I.; Moll, M.; Ringelstein, M.; Rosenthal, D.; Bigalke, H.; Aktas, O.; Hartung, H.-P.; Hefter, H. High prevalence of neutralizing antibodies after long-term botulinum neurotoxin therapy. Neurology 2018, 92, e48–e54. [Google Scholar] [CrossRef]
- Tsui, J.K.C.; Hayward, M.; Mak, E.K.M.; Schulzer, M. Botulinum toxin type B in the treatment of cervical dystonia: A pilot study. Neurology 1995, 45, 2109–2110. [Google Scholar] [CrossRef]
- Lew, M.F.; Adornato, B.T.; Duane, D.D.; Dykstra, D.D.; Factor, S.A.; Massey, J.M.; Brin, M.F.; Jankovic, J.; Rodnitzky, R.L.; Singer, C.; et al. Botulinum toxin type B: A double-blind, placebo-controlled, safety and efficacy study in cervical dystonia. Neurology 1997, 49, 701–707. [Google Scholar] [CrossRef]
- Brashear, A.; Lew, M.F.; Dykstra, D.D.; Comella, C.L.; Factor, S.A.; Rodnitzky, R.L.; Trosch, R.; Singer, C.; Brin, M.F.; Murray, J.J.; et al. Safety and efficacy of NeuroBloc (botulinum toxin type B) in type A-responsive cervical dystonia. Neurology 1999, 53, 1439. [Google Scholar] [CrossRef]
- Brin, M.F.; Lew, M.F.; Adler, C.H.; Comella, C.L.; Factor, S.A.; Jankovic, J.; O’Brien, C.; Murray, J.J.; Wallace, J.D.; Willmer-Hulme, A.; et al. Safety and efficacy of NeuroBloc (botulinum toxin type B) in type A-resistant cervical dystonia. Neurology 1999, 53, 1431. [Google Scholar] [CrossRef]
- Comella, C.L.; Jankovic, J.; Shannon, K.M.; Tsui, J.; Swenson, M.; Leurgans, S.; Fan, W.; The Dystonia Study Group. Comparison of botulinum toxin serotypes A and B for the treatment of cervical dystonia. Neurolpgy 2005, 65, 1423–1429. [Google Scholar] [CrossRef]
- Pappert, E.J.; Germanson, T.; The Myobloc/Neurobloc European Cervical Dystonia Study Group. Botulinum toxin type B vs. type A in toxin-naïve patients with cervical dystonia: Randomized, double-blind, noninferiority trial. Mov. Disord. Off. J. Mov. Disord. Soc. 2008, 23, 510–517. [Google Scholar] [CrossRef]
- Blasi, J.; Chapman, E.R.; Link, E.; Binz, T.; Yamasaki, S.; De Camilli, P.; Südhof, T.C.; Niemann, H.; Jahn, R. Botulinum neurotoxin A selectively cleaves the synaptic protein SNAP-25. Nature 1993, 365, 160–163. [Google Scholar] [CrossRef]
- Lalli, G.; Herreros, J.; Osborne, S.L.; Montecucco, C.; Rossetto, O.; Schiavo, G. Functional characterisation of tetanus and botulinum neurotoxins binding domains. J. Cell Sci. 1999, 112 Pt 16, 2715–2724. [Google Scholar]
- Schiavo, G.G.; Benfenati, F.; Poulain, B.; Rossetto, O.; De Laureto, P.P.; Dasgupta, B.R.; Montecucco, C. Tetanus and botulinum-B neurotoxins block neurotransmitter release by proteolytic cleavage of synaptobrevin. Nature 1992, 359, 832–835. [Google Scholar] [CrossRef]
- Tsui, J.; Stoessl, A.J.; Eisen, A.; Calne, S.; Calne, D. Double-blind study of botulinum toxin in spasmodic torticollis. Lancet 1986, 328, 245–247. [Google Scholar] [CrossRef]
- Samadzadeh, S.; Ürer, B.; Brauns, R.; Rosenthal, D.; Lee, J.-I.; Albrecht, P.; Hefter, H. Clinical Implications of Difference in Antigenicity of Different Botulinum Neurotoxin Type A Preparations: Clinical Take-Home Messages from Our Research Pool and Literature. Toxins 2020, 12, 499. [Google Scholar] [CrossRef]
- Contarino, M.F.; Dool, J.V.D.; Balash, Y.; Bhatia, K.; Giladi, N.; Koelman, J.H.; Lokkegaard, A.; Marti, M.J.; Postma, M.; Relja, M.; et al. Clinical Practice: Evidence-Based Recommendations for the Treatment of Cervical Dystonia with Botulinum Toxin. Front. Neurol. 2017, 8, 35. [Google Scholar] [CrossRef]
- Tintner, R.; Gross, R.; Winzer, U.F.; Smalky, K.A.; Jankovic, J. Autonomic function after botulinum toxin type A or B: A double-blind, randomized trial. Neurology 2005, 65, 765–767. [Google Scholar] [CrossRef]
- Hefter, H.; Spiess, C.; Rosenthal, D. Very early reduction in efficacy of botulinum toxin therapy for cervical dystonia in patients with subsequent secondary treatment failure: A retrospective analysis. J. Neural Transm. 2014, 121, 513–519. [Google Scholar] [CrossRef]
- Habermann, E.; Dreyer, F.; Bigalke, H. Tetanus toxin blocks the neuromuscular transmission in vitro like botulinum a toxin. Naunyn Schmiedeberg’s Arch. Pharmacol. 1980, 311, 33–40. [Google Scholar] [CrossRef]
- Göschel, H.; Wohlfarth, K.; Frevert, J.; Dengler, R.; Bigalke, H. Botulinum A Toxin Therapy: Neutralizing and Nonneutralizing Antibodies—Therapeutic Consequences. Exp. Neurol. 1997, 147, 96–102. [Google Scholar] [CrossRef]
- Dressler, D.; Bigalke, H.; Benecke, R. Botulinum toxin type B in antibody-induced botulinum toxin type A therapy failure. J. Neurol. 2003, 250, 967–969. [Google Scholar] [CrossRef]
- Strotmeier, J.; Willjes, G.; Binz, T.; Rummel, A. Human synaptotagmin-II is not a high affinity receptor for botulinum neurotoxin B and G: Increased therapeutic dosage and immunogenicity. FEBS Lett. 2012, 586, 310–313. [Google Scholar] [CrossRef]
- Dressler, D. Clinical presentation and management of antibody-induced failure of botulinum toxin therapy. Mov. Disord. 2004, 19 (Suppl. 8), S92–S100. [Google Scholar] [CrossRef]
- Sankhla, C.; Jankovic, J.; Duane, D. Vatiability of the immunologic and clinical response in dystonic patients immunoresistant to botulinum toxin injections. Mov. Disord. 1998, 13, 150–154. [Google Scholar] [CrossRef]
- Dressler, D.; Bigalke, H. Botulinum toxin antibody type A titres after cessation of botulinum toxin therapy. Mov. Disord. 2002, 17, 170–173. [Google Scholar] [CrossRef]
- Dressler, D.; Pan, L.; Saberi, F.A. Antibody-induced failure of botulinum toxin therapy: Re-start with low-antigenicity drugs offers a new treatment opportunity. J. Neural Transm. 2018, 125, 1481–1486. [Google Scholar] [CrossRef] [PubMed]
- Hefter, H.; Hartmann, C.; Kahlen, U.; Moll, M.; Bigalke, H. Prospective analysis of neutralising antibody titres in secondary non-responders under continuous treatment with a botulinumtoxin type A preparation free of complexing proteins—A single cohort 4-year follow-up study. BMJ Open 2012, 2, e000646. [Google Scholar] [CrossRef] [PubMed]
- Bellows, S.; Jankovic, J. Immunogenicity Associated with Botulinum Toxin Treatment. Toxins 2019, 11, 491. [Google Scholar] [CrossRef]
- Oshima, M.; Deitiker, P.; Hastings-Ison, T.; Aoki, K.R.; Graham, H.K.; Atassi, M.Z. Antibody responses to botulinum neurotoxin type A of toxin-treated spastic equinus children with cerebral palsy: A randomized clinical trial comparing two injection schedules. J. Neuroimmunol. 2017, 306, 31–39. [Google Scholar] [CrossRef] [PubMed]




| Parameters | Mean/S.D. |
|---|---|
| Gender distribution | 10 females, 7 males |
| Age at onset of BoNT/A therapy | 53.0/7.0 years |
| Age at onset of BoNT/B therapy | 58.7/6.8 years |
| Duration of BoNT/A therapy | 5.7/3.5 years |
| TSUI at onset of BoNT/A therapy | 9.5/2.1 |
| TSUI at onset of BoNT/B therapy | 8.8/4.2 |
| Initial dose of aboBoNT/A | 832/314 U |
| Initial dose of rimaBoNT/B | 8480/2510 U |
| Parameter | Mean/S.D. | Significance (p-Level) |
|---|---|---|
| Improvement of PGA at AV1 Improvement of PGA at BV1 | 25/20 22/23 | n.s. |
| Improvement of PGA at AV2 improvement of PGA at BV2 | 45/15 42/17 | n.s. |
| Improvement of PGA at AV3 Improvement of PGA at BV3 | 50/25 40/22 | n.s. |
| Improvement of PGA at AV4 Improvement of PGA at BV4 | 52/20 30/19 | p < 0.05 |
| Duration of cycle 1 of BoNT/A therapy Duration of cycle 1 of BoNT/A therapy | 89/12 92/12 | n.s. |
| Duration of cycle 2 of BoNT/A therapy Duration of cycle 2 of BoNT/A therapy | 93/13 91/12 | n.s. |
| Duration of cycle 3 of BoNT/A therapy Duration of cycle 3 of BoNT/A therapy | 100/15 89/14 | n.s. |
| Duration of cycle 4 of BoNT/A therapy Duration of cycle 4 of BoNT/A therapy | 107/17 88/12 | p < 0.05 |
Publisher’s Note: MDPI stays neutral with regard to jurisdictional claims in published maps and institutional affiliations. |
© 2020 by the authors. Licensee MDPI, Basel, Switzerland. This article is an open access article distributed under the terms and conditions of the Creative Commons Attribution (CC BY) license (http://creativecommons.org/licenses/by/4.0/).
Share and Cite
Hefter, H.; Samadzadeh, S.; Moll, M. Transient Improvement after Switch to Low Doses of RimabotulinumtoxinB in Patients Resistant to AbobotulinumtoxinA. Toxins 2020, 12, 677. https://doi.org/10.3390/toxins12110677
Hefter H, Samadzadeh S, Moll M. Transient Improvement after Switch to Low Doses of RimabotulinumtoxinB in Patients Resistant to AbobotulinumtoxinA. Toxins. 2020; 12(11):677. https://doi.org/10.3390/toxins12110677
Chicago/Turabian StyleHefter, Harald, Sara Samadzadeh, and Marek Moll. 2020. "Transient Improvement after Switch to Low Doses of RimabotulinumtoxinB in Patients Resistant to AbobotulinumtoxinA" Toxins 12, no. 11: 677. https://doi.org/10.3390/toxins12110677
APA StyleHefter, H., Samadzadeh, S., & Moll, M. (2020). Transient Improvement after Switch to Low Doses of RimabotulinumtoxinB in Patients Resistant to AbobotulinumtoxinA. Toxins, 12(11), 677. https://doi.org/10.3390/toxins12110677

