Next Article in Journal
Nematophagous Fungi Occurrence: Prediction Using Bioclimatic Variables
Previous Article in Journal
First Insights into the Biological Activity and Molecular Docking of Citral (3,7-Dimethyl-2, 6-Octadienal) Against Trichomonas vaginalis
 
 
Font Type:
Arial Georgia Verdana
Font Size:
Aa Aa Aa
Line Spacing:
Column Width:
Background:
Article

Serratia marcescens Strain VIRS2 Isolated from Saline Soil Enhances Rice Growth and Salt Tolerance

1
Institute of Biology, Vietnam Academy of Science and Technology, 18 Hoang Quoc Viet, Cau Giay, Hanoi 100000, Vietnam
2
Kien Giang College, 425 Mac Cuu, Rach Gia 91000, Vietnam
3
Center for Plant Systems Biology, VIB, 9052 Ghent, Belgium
4
Graduate University of Science and Technology, Vietnam Academy of Science and Technology, 18 Hoang Quoc Viet, Cau Giay, Hanoi 100000, Vietnam
*
Author to whom correspondence should be addressed.
Microbiol. Res. 2025, 16(5), 97; https://doi.org/10.3390/microbiolres16050097
Submission received: 20 March 2025 / Revised: 4 May 2025 / Accepted: 7 May 2025 / Published: 9 May 2025

Abstract

Soil salinization, a major challenge caused by climate change over the past century, critically affects cultivated land and consequently reduces agricultural production worldwide. Recently, plant growth-promoting rhizobacteria have been collected and utilized to enhance plant growth and mitigate the effects of salt stress in different plant species including rice. In our current study, the Serratia marcescens strain VIRS2 with remarkable salt tolerance was successfully isolated from the saline soil in the Mekong River Delta of Vietnam. This isolate exhibited diverse plant growth-promoting properties, especially the production of a high indole acetic acid level. Treatments under both in vitro and greenhouse conditions indicated that VIRS2 could enhance growth and salt tolerance in rice. The VIRS2-inoculated rice plants exhibited biochemical profile alterations including proline, malondialdehyde, and relative water contents. In addition, the expression of genes involved in the plant stress response pathways was upregulated in the VIRS2-inoculated rice under salt treatments. Importantly, the whole genome sequencing data of VIRS2 also showed the presence of different genes associated with plant growth-promotion and stress-tolerance mechanisms. These results indicated the potential of the VIRS2 isolate for enhancing growth and salt tolerance in rice as well as other important crops.

1. Introduction

Rice (Oryza sativa L.) is one of the most important crops and supplies about 3.5 billion people worldwide [1]. However, rice cultivation has faced many challenges caused by global climate change, such as rising sea levels, salinization, erosion, etc. [2]. Among these, soil salinization has been seen as the most critical problem for rice production in Southeast Asia, including Vietnam [2]. Over the past century, salinization has damaged more than 22% of cultivated land with differences in type and severity [3,4]. The global crop production loss due to soil salinity is estimated at USD 31 million annually [5]. According to predictions, about half of the world’s arable land will be affected by soil salinization by 2050 [6]. In Vietnam, it is projected that within the next two decades, approximately 47% of the natural land area will be impacted by salinity with levels exceeding 4‰ [7]. Soil salinization can reduce rice yield by 30–50% due to different effects on growth and development, such as lowering osmotic potential, creating ion toxicity, causing disarrangement and imbalance of ion uptake, and causing disorders of enzyme activities and membrane and metabolic activities [8,9]. To cope with salt stress, plants develop several protective mechanisms, such as the production of compatible osmolytes, induction of phytohormone signaling, regulation of photosynthetic parameters, and scavenging of reactive oxygen species (ROS) [10,11]. Therefore, different approaches to cultivation, breeding, and genetic engineering have been developed and utilized to alleviate salt stress on crops through the alteration of these mechanisms [12].
Plant growth-promotion rhizobacteria (PGPR) have been investigated and successfully utilized as a potential approach to enhance the salt tolerance of various important crops, including oats, canola, soy, potatoes, maize, peas, tomatoes, lentils, barley, wheat, radicchio, cucumber, etc. [11,13]. PGPR could stimulate growth, development, and also enhance plant stress tolerance through different properties such as phosphate solubilization, nitrogen fixation, siderophore production, osmolyte accumulation, 1-aminocyclopropane-1-carboxylate (ACC) deaminase, ROS scavenging, and the induction of several hormone signaling pathways [11,14]. Previous studies have identified several salt-tolerant PGPR (ST-PGPR) genera, such as Pseudomonas, Bacillus, Enterobacter, Agrobacterium, Serratia, Streptomyces, Klebsiella, Ochromobacter, etc., exhibiting their ability to promote growth and mitigate salt stress in rice [3,4,10,15,16,17]. Recently, several strains of Serratia have been indicated to improve soil quality and enhance plant growth and yield performance under both saline and non-saline conditions [18,19]. Serratia sp. NTN6 was shown to increase maize seedling growth and biomass production under salt stress conditions through the upregulation of antioxidant enzyme genes and the alleviation of negative effects on photosynthetic genes [20]. In particular, S. marcescens species have been demonstrated to enhance the growth of various plants, including Arabidopsis, blackberry nightshade, chaff-flower, cucumber, eggplant, maize, pepper, and wheat [18,21,22,23]. For instance, Serratia marcescens sp. OK482790 enhanced wheat seedling growth by facilitating the denitrification-DNRA-nitrification pathway [18]. These results indicated that Serratia sp. has the potential to cope with salt stress, enhancing plant growth and the development of important crops.
Soil salinity is a major abiotic stress that adversely affects rice growth and productivity, particularly in regions such as the Mekong River Delta of Vietnam, where salt intrusion is intensifying due to climate change. Although several PGPR have been explored for their ability to improve plant tolerance to salinity, limited research has focused on native strains which are adapted to these harsh conditions. Furthermore, Serratia marcescens has been studied for its plant growth-promoting properties, and its application in enhancing salt tolerance in rice has received limited attention. This study was conducted to isolate and identify potential bacterial strains from saline soil in the Mekong River Delta of Vietnam for enhancing rice growth and salt tolerance. The main objectives of this study were (1) the isolation of salt-tolerant rhizobacteria from saline soils; (2) the characterization of PGP traits of isolated bacteria under different salt concentrations; (3) the evaluation of plant growth-promoting effects in rice under in vitro and in vivo conditions; (4) the whole-genome sequencing and prediction of genes related to plant growth promotion and salt tolerance in rice. We successfully isolated the Serratia marcescens strain VIRS2, showing that it had the characteristics of a potential PGPR, and that it could be utilized for growth promotion as well as salt tolerance in rice in further research.

2. Materials and Methods

2.1. Isolation of Endophytic Isolates

Bulk soil was sampled from Hon Dat, Kien Giang (10°06′03.2″ N, 104°57′18.4″ E) in the South region of Vietnam in November 2022 (Supplementary Figure S1). The collection site was about 1 km from the sea and the EC value of the collected soil was 2.391 dS/m (Supplementary Table S1). The bulk soil was sampled after removing the soil layer from the surface (3 cm) and pooled. This soil sample and a salt-sensitivity rice cultivar (Khang dan 18—KD18) were used for the trapping experiment to obtain endophytic bacteria following the previous procedure by Manh Tuong et al. (2022) [11] with some modifications. The 7-day-old seedlings of the KD18 cultivar were transferred to circular plastic pots (15 × 9 cm in diameter and height) filled with sterilized white sand (Supplementary Figure S2). Then, 3 g of bulk soil was added to 60 mL of the PBS solution and put in the shaker at 190 rpm for 30 min, then incubated at room temperature for 60 min. The supernatant was applied to the above rice pots. About 200 mL of sterilized water was added to the pots, and the rice seedlings were grown under greenhouse conditions for 15 days. Next, the rice seedling roots were collected for endophytic bacterial isolation by a dilution-to-extinction method.

2.2. Salt-Tolerant and IAA-Producing Analysis

The IAA production of isolated bacteria was screened using the Salkowski method described by Gordon and Weber (1951) [24]. Briefly, the isolates were grown in Luria Broth (LB) medium supplemented with tryptophan 0.1% (w/v) and grown for 2 days at 28 °C. Then, the supernatant was obtained by centrifuging the bacterial solution at 12,000 rpm for 10 min. Next, 1 mL of supernatant was added to 2 mL of Salkowski reagent and incubated at room temperature for 25 min. Then, 150 µL of the mixed solution was immediately added to each well of a 96-well plate. The optical density at 530 nm (OD530) of the solution was measured using a Multiskan SkyHigh Microplate Spectrophotometer (Thermo Scientific, Marsiling Industrial Estate Road, Singapore). The IAA concentrations were quantified via a standard curve based on different IAA concentrations of 0, 12.5, 25, 50, 100, and 200 µg/mL. The salt tolerance of endophytic bacteria was analyzed on the LB medium added from 0 to 11% NaCl as described by Manh Tuong et al. (2022) [11]. In particular, the overnight bacterial suspension was diluted to an OD600 of 0.001, and 1 µL of this suspension was added into 100 µL of LB supplemented with different salt concentrations on each well of a 96-well plate. After that, the plate was incubated at 28 °C for 7 days, and the salt tolerance of the isolates was recorded at the highest salt concentrations, where a bacterial pellet was created at the bottom of the well [11].

2.3. 16S rRNA Sequencing

A DNA fragment (about 1450 bp) of the 16S rRNA gene was amplified using two primers 27F (5′-AGAGTTTGATCMTGGCTCAG-3′) and 1492R (5′-GGTTACCTTGTTACGACTT-3′) following the method of Manh Tuong et al. (2022) [11]. In particular, genome DNA was first extracted using an Alkaline Lysis Buffer. Next, the PCR was conducted using the PCR Master Mix 2X (ThermoScientific, Marsiling Industrial Estate Road, Singapore) on a T100 Thermal Cycler (BioRad, Feldkirchen, Germany) with a cycling process at 98 °C for 3 min, followed by 35 cycles of 98 °C for 30 s, 58 °C for 30 s, 72 °C for 1 min 30 s, and a final extension at 72 °C for 5 min. The PCR product was purified by a GeneJET PCR Purification Kit (ThermoScientific, Singapore) and sequenced by LOBI Vietnam Ltd. Company (Hanoi, Vietnam). The VIRS2 isolate was classified using 16S-based ID (EZ BioCloud) on EZ BioCloud (https://www.ezbiocloud.net/, accessed on 21 May 2024).

2.4. Screening for Plant Growth-Promotion Properties

Bacterial strains showing high salt tolerance and IAA production were selected to assess other plant growth-promotion properties such as nitrogen fixation, phosphate (P), potassium (K), calcium (Ca) solubilization, siderophore, EPS, IAA, ammonia production, and biofilm formation under the different salt concentrations (0, 2, 4, 6, and 8% NaCl). The nitrogen fixation ability was assessed on Jensen’s medium [25] and the biofilm formation was validated on a microtiter plate [26]. Moreover, the P solubilization capacity was evaluated on Pikovskaya’s agar medium [27], while K and Ca solubilization assays were conducted on Aleksandrov and calcite agar medium, respectively [28,29]. Furthermore, the Chrome Azurol S (CAS) agar was utilized to assess siderophore production [26,30]. EPS production was screened on the EPS medium [31]. Nessler’s reagent was utilized to confirm ammonia production [32].

2.5. Rice Growth-Promotion Analysis

In Vitro Conditions

The effects of VIRS2 on the growth of rice seedlings were assessed using the method described by Ali et al. (2022) [15] with modifications. Briefly, KD18 mature seeds were surface sterilized by 0.8% sodium hypochlorite (NaOCl) for 20 min and then washed five times with sterile water. The VIRS2 isolate was grown on the LB medium at 28 °C at 190 rpm for 16 h. The bacterial pellet was collected by centrifugation at 7000 rpm, for 10 min and resuspended in sterilized water to obtain an OD600 of 0.001. The sterilized KD18 seeds were submerged in the bacterial suspension or sterilized water (mock) and kept in a shaker at 100 rpm for 3 h at room temperature. Subsequently, 15 mL NaCl at different concentrations of 0, 50, 100, 150, and 200 mM (about 0, 0.3, 0.6, 0.9, and 1.2% of NaCl, respectively) was added to a Petri dish (9 cm in diameter) with a sterilized Whatman paper. About 50 bacterial-inoculated rice seeds were put on the Whatman paper soaked with the NaCl solution and incubated in the dark at 24 °C for 7 days.

Hydroponic Conditions

The hydroponic test for salt tolerance in rice was conducted following the protocol by Bado et al. (2016) with some modifications [33]. In particular, the VIRS2-inoculated and non-inoculated seeds were germinated in sterilized water. The 7-day-old-seedlings were planted in the hydroponic system (a plastic tray 66 × 23.5 × 19 cm in length, width, and height) with 1/10 MS medium [34] under greenhouse conditions for 14 days. Then, NaCl was added to the hydroponic system at 100 mM and maintained for 14 days. Seedlings were sampled after the salt stress period to measure growth parameters and biomass production.

2.6. Physiological and Biochemical Analysis

The second leaves of 35-day-old seedlings from the hydroponic salt stress test were collected to analyze their relative water (RWC), chlorophyll, total protein, proline, and malondialdehyde (MDA) contents following the previous procedures [9,35,36]. According to the manufacturer’s protocol, the total protein was extracted and measured using Pierce™ Bradford Plus Protein Assay Kits (ThermoScientific, Singapore).

2.7. Whole Genome Sequence and Annotation of VIRS2

A VIRS2 pellet obtained from a single colony grown overnight at 28 °C for 16 h at 190 rpm was immediately transferred to liquid nitrogen, stored at −80 °C, and used for genome sequencing. In detail, the DNA of pure VIRS2 was extracted using the QIAamp DNA Mini kit (Qiagen, Germantown, MD, USA) following the manufacturer’s protocol. Library construction was carried out using NEBNext dsDNA Fragmentase, and the NEBNext Ultra II DNA Library Prep Kit for Illumina (NEB, Ipswich, MA, USA). The full genome of VIRS2 was sequenced using the DNBSeq-G99 (MGI) platform PE150 (KTest Science Ltd. company, Ho Chi Minh City, Vietnam). The phylogenetic tree was established based on 107 essential core genes from 22 available genomes from the Serratia genus on the NCBI database (https://www.ncbi.nlm.nih.gov/, accessed on 3 June 2024). The quality of the reads, assembly of the genome, quality of the assembly, and genome annotation were performed as described previously [37]. In addition, genomic components, annotation, and prediction were performed following the method of [37]. From the Kyoto Encyclopedia of Genes and Genomes (KEGG) database, the genes related to IAA production, phosphate solubilization, nitrogen fixation, etc., were analyzed, and gene clusters from the secondary metabolites of VIRS2 were investigated using AntiSmash v6.1.1 software [38].

2.8. Relative Gene Expression Analysis

Roots were collected from rice plants in the hydroponic system at 6 h after the salt treatment. The total RNA was extracted using the TRIzol method following the manufacturer’s protocol. cDNA was synthesized by the RevertAid First Strand cDNA Synthesis Kit (ThermoScientific, Singapore) with 1 µg of mRNA as a template. Quantitative real-time PCR was performed via the Rotor-Gene Q Real-Time PCR System (Qiagen, USA) with specific primers (Table S2). The relative expression levels of the tested genes were analyzed by the 2−ΔΔCt method [36].

2.9. Data Statistical Analysis

The experiments were conducted in completely randomized designs, and the data were presented as the means ± standard errors from at least three replicates. Significant differences were conducted using ANOVA, followed by post hoc testing with the Duncan Multiple Range Test (DMRT) at α = 0.05. All analyses were performed in SPSS version 20.

3. Results

3.1. Selection of Potential Strains for Growth Promotion and Salt Tolerance in Rice

Using a method described by Manh Tuong et al. (2022) [11], a total of 16 endophytic bacterial isolates were selected from the saline soil at Hon Dat, Kien Giang, Vietnam. These isolates were screened for salt tolerance and IAA production under in vitro condition [26]. All isolates showed cell proliferation on the LB medium added 7–10% NaCl (Supplementary Table S3). In addition, three isolates, including VIRS2, VIRS10, and VIRS13, also produced high IAA levels (more than 50 µg/mL) under the tested conditions. Of these, the VIRS2 isolate showed the highest IAA-producing capacity (137.66 µg/mL) (Table 1) and good salt tolerance (survival at 8% NaCl), and it was selected as a potential strain for further analysis (Figure 1A,B).
To evaluate the potential of VIRS2 for PGP, different properties, including N fixation, P, K, Ca solubilizations, IAA, EPS, NH3, and siderophore production, were analyzed at different salt concentrations (Table 1). VIRS2 had all PGP properties observed at the control condition (0% NaCl) and 2% NaCl. VIRS2 exhibited the ability for nitrogen fixation, P, and Ca solubilization capacity at 4% NaCl. However, K solubilization ability was not found at this concentration. The siderophore and IAA production of VIRS2 was still observed at 6% NaCl but was inhibited at 8% NaCl. In particular, the production of NH3, biofilm, and exopolysaccharide from VIRS2 remained even at 8% NaCl.
Sequencing data revealed that the 1444 bp sequence of the 16S rRNA of VIRS2 aligned perfectly (100% query cover) with reference sequences in NCBI. Moreover, the BLASTN results exhibited 100% similarity in the 16S rRNA sequences of VIRS2 and other Serratia marcescens strains, including S. marcescens JW-CZ2, S. marcescens N10A28, and S. marcescens BWH-35. Therefore, VIRS2 is classified as a Serratia marcescens strain, and its 16S rRNA sequence has been submitted to the NCBI Gen-Bank with accession number PP494685.

3.2. VIRS2 Enhanced Rice Growth Under Saline Conditions

To assess the effects of VIRS2 on rice seedlings, mature seeds were inoculated with the VIRS2 isolate and then sown in sterilized paper soaked in salt solution at different concentrations of NaCl. The result showed that VIRS2 enhanced seedling growth under control conditions and at low NaCl levels (50 and 100 mM) (Figure 2). Indeed, as compared with the non-inoculated (mock) treatment, VIRS2 could increase the root length by 14.5%, 35.0%, and 12.7%, and the fresh weight of rice seedlings by 11.9%, 9.9%, and 8.0% under 0, 50, and 100 mM NaCl, respectively (Figure 2B,C). In addition, the shoot length of VIRS2-inoculated seedlings was 10.6% and 12.1% greater than that of mock seedlings under 0 and 50 mM of salt, respectively (Figure 2D). However, there was no significant difference in seedling parameters between the VIRS2-inoculated rice and the mock seedlings at the higher NaCl concentrations (150 and 200 mM) (Figure 2B–D).
The hydroponic system with 100 mM NaCl was used to assess the effect of VIRS2 on rice growth under greenhouse conditions. In line with the in vitro results, VIRS2 increased root, shoot development, and biomass production of inoculated rice seedlings (Figure 3). Under the non-saline conditions (0 mM NaCl), the root and shoot lengths of VIRS2-inoculated rice increased by 9.6 and 10.3% compared with the non-inoculated rice seedlings (Figure 3B,C). In addition, the root, shoot, and total fresh VIRS2-inoculated seedlings also increased by 29.0%, 16.2%, and 18.7%, respectively, while the root, shoot, and total dry weights were enhanced by 29.9%, 19.2%, and 20.8%, respectively (Figure 3D–I). Under the salt treatment (100 mM NaCl), the root and shoot lengths of VIRS2-inoculated rice were enhanced by 4.0% and 9.9%, respectively (Figure 3B,C). Moreover, the root, shoot, and total fresh weights of VIRS2-inoculated rice saw increments of 33.2%, 32.0%, and 32.3%, respectively (Figure 3D–F). Additionally, the root, shoot, and total dry weights of VIRS2-inoculated rice rose by 22.7%, 24.4%, and 24.1%, respectively (Figure 3G–I). Thus, in the hydroponic tests, VIRS2 promoted rice growth under both saline and non-saline conditions.
In addition to enhancing plant growth and biomass production, the inoculation of VIRS2 also affected different physiological and biochemical parameters, including the total chlorophyll, RWC, protein, proline, and MDA contents under saline conditions (Figure 4). Under the non-saline conditions, there was no change in these parameters between the VIRS2-inoculated rice and the mock seedlings, except for protein content (Figure 4A–E). However, higher chlorophyll, RWC, and proline contents were observed in the bacterial-inoculated seedlings under the saline treatment. In particular, these parameters were increased by 27.8%, 5.4%, and 24.7%, respectively, in the VIRS2-inoculated rice (Figure 4A,B,D). By contrast, the MDA content of the VIRS2-inoculated seedlings was 39.1% lower than in the mock seedlings under the salt treatment (Figure 4C). Moreover, higher total protein contents of 29.7% and 29.4% were found in the VIRS2-treated rice in both saline and non-saline conditions, respectively (Figure 4E). These results indicated that VIRS2 could eliminate the effects of salt stress and promote rice growth through changes in different biochemical and physiological parameters.

3.3. VIRS2 Affected the Expression of Plant Growth and Stress-Related Genes in Rice

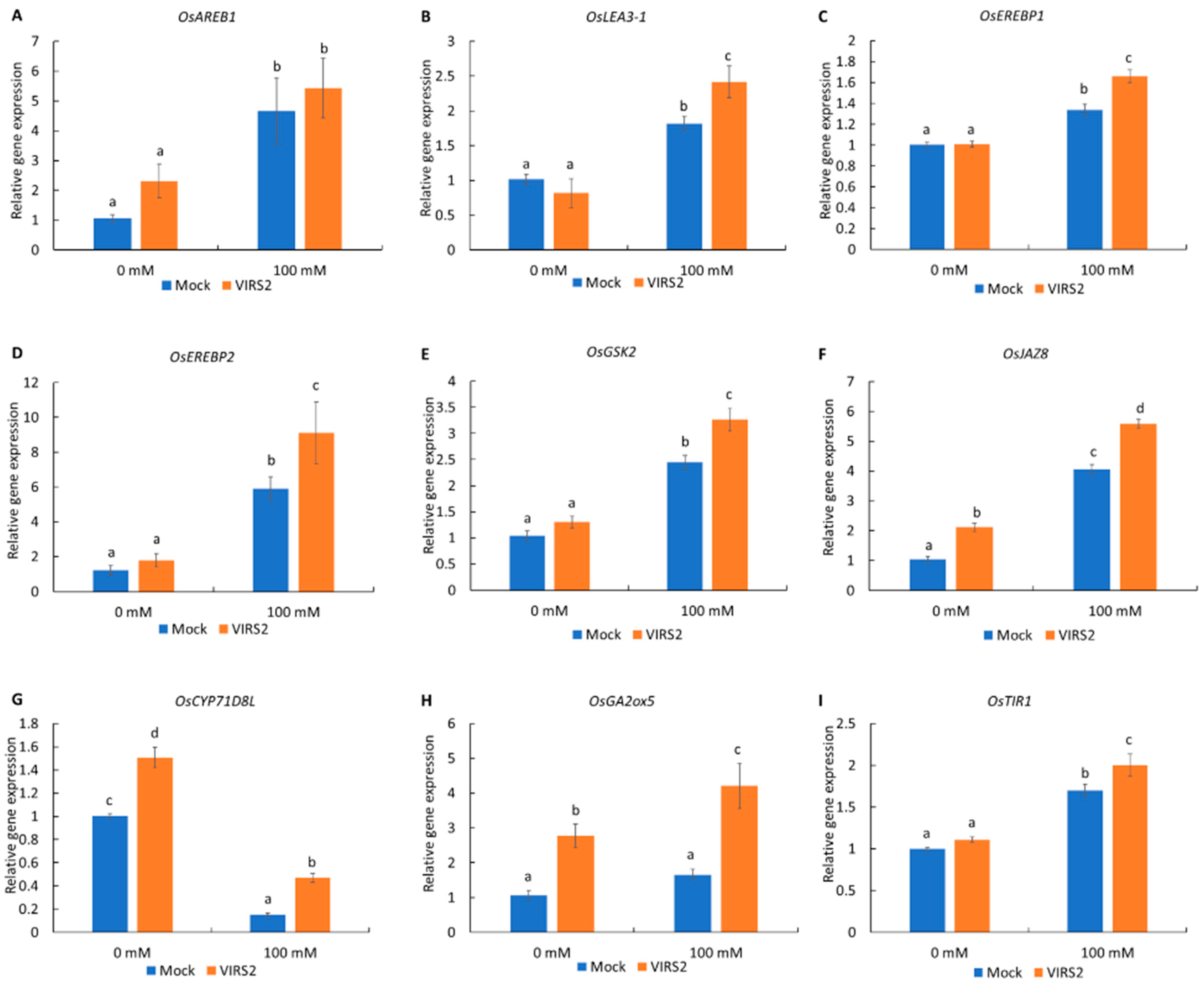
The transcript abundance of several genes involved in the biosynthesis and signaling of abscisic acid (ABA) (OsAREB1 and OsLEA3-1), ethylene (ETH) (OsEREBP1 and OsEREBP2), BR (OsGSK2), jasmonic acid (JA) (OsJAZ8), Auxin (OsTIR1), and gibberellic acid (GA) (OsCYP71D8L and OsGA2ox5) was assessed in the VIRS2-inoculated rice under salt stress conditions (Figure 5). Under saline conditions, all tested genes belonging to ABA (except OsAREB1), ETH, BR, JA, Auxin, and GA pathways were upregulated in the VIRS2-inoculated rice seedlings compared with mock seedlings. However, under non-saline conditions, a significantly higher expression was found in only three genes (OsJAZ8, OsCYP71D8L and OsGA2ox5), while the other tested genes remained unchanged in the transcriptional levels between the mock and inoculated rice. This result indicates that inoculation of VIRS2 changed the activities of different genes in rice under salt conditions.

3.4. Genome Properties of VIRS2

All the above results show the potential of VIRS2 on growth promotion and salt tolerance in rice. To predict and identify potential genes and mechanisms related to plant growth-promotion and salt-tolerance improvement, we conducted the whole genome sequencing of the VIRS2 isolate.
The sequencing data revealed that the VIRS2 genome contains a single circular chromosome of 5,207,015 bp in length with a GC content of 59.87%, while no plasmid was detected in this isolate. Moreover, the genome was predicted to contain 4791 coding sequences (CDSs), 84 tRNA, and 2 rRNA genes (Supplementary Figure S3A; Supplementary Table S4). The phylogenetic tree of VIRS2 and 22 other Serratia strains was constructed based on 107 conserved housekeeping genes (Supplementary Figure S3B). The classification revealed that VIRS2 was closely related to Serratia nevei S10 and Serratia bockelmannii SCPM-O-B-9795. Interestingly, both S. nevei S10 and S. bockelmannii SCPM-O-B-9795 were reclassified as S. marcescens subsp. marcescens sp.; therefore, VIRS2 may belong to S. marcescens subsp. marcescens sp. [39]. To validate this result, the ANI (Average Nucleotide Identity) between VIRS2 and other Serratia strains was calculated [40]. The result showed that VIRS2 exhibited the closest relationship to S. nevei S10 and S. bockelmannii SCPM-O-B-9795 with ANI values of 98.57 and 95.23, respectively. Based on these ANI values exceeding 95, VIRS2 can be classified as S. marcescens subsp. marcescens. These results are consistent with the data from the 16S rRNA analysis mentioned above.
From the whole genome sequencing data of the VIRS2 isolate, the potential genes associated with plant growth promotion and stress tolerance such as nitrogen fixation, nutrient solubilization, phytohormone production, osmotic regulation, etc., were predicted (Supplementary Table S5). The VIRS2 genome contains several potential genes related to heat shock response (shpQ, hslJR, ibpAB, dnaKJ, and groSL) and cold shock response (cspCDEG). In addition, different genes that control osmotic production and metabolism, such as spermidine (speABCDEF), glycine betaine (ousXW, proV, and yehWXYZ), proline (proABCVSQPY), trehalose (treCBR and otsA), and glutamate (glnA and gltBD), were also detected in the VIRS2 genome. The VIRS2 genome also contains related ROS-scavenging genes, including catalase (katAG), glutathione S-transferase (gstB and yfcF), superoxide dismutases (sodABC), glutathione peroxidase (btuBDCEFR), and bacterioferritin co-migratory protein (bcg). However, only the dcyD gene was found to be associated with ACC deaminase activity. We also identified several genes that regulate biofilm formation in the genome of VIRS2, including bcsABCEGQZ and pgaABC. Furthermore, the VIRS2 genome has different genes related to plant growth-promotion parameters, including IAA biosynthesis (idpC, mtr, trpABCLGRS, and trpGD), siderophore production (fhuABCD and ddc), nitrogen fixation and metabolism (nifJ, nasD, nirCD, and narK), phosphate solubilization and transport (phoU, pqqBCDE, and pstABCS), and ion uptake (efeBOU). Thus, the whole genome sequencing data again validate the potential of the VIRS2 isolate for plant growth promotion and stress tolerance.

4. Discussion

4.1. Serratia Marcescens VIRS2 Carries Biochemical Characteristics of PGPR

PGPR can enhance the growth and stress tolerance of plants through both direct and indirect mechanisms [41]. In our current study, three parameters, including Ca solubilization, siderophore, and EPS production of the VIRS2 isolate, were higher under salt stress as compared with normal conditions. The same results had been observed in other PGPR strains from previous reports [42]. Moreover, IAA production ability is one of the most important properties of selecting potential PGPR. The IAA production of the VIRS2 isolate was recorded at 137.66 µg/mL, which is similar to what was observed from other PGPR strains such as Streptomyces CMU-H009 (143.95 μg/mL) [43]. However, this value is much higher than what was found in other S. marcescens strains [44]. In addition, the VIRS2 isolate could survive and maintain nitrogen fixation ability at high salt concentrations. This tolerance to high salt concentrations has been observed in other S. marcescens strains from previous studies [42].

4.2. VIRS2 Shows Potential for Rice Growth Promotion and Salt Tolerance

The inoculation of Serratia sp. has been demonstrated to enhance the growth and development of various crops under saline conditions, including cucumber (Cucumis sativum L.), maize (Zea mays L.), wheat (Triticum aestivum L.), pepper (Capsicum annuum), and quinoa (Chenopodium quinoa Willd.) [45]. In our study, the S. marcescens VIRS2 isolate promoted rice growth under both saline (100 mM NaCl) and non-saline conditions indicated by the higher fresh and dry weights as well as the longer roots and shoots of inoculated plants as compared with the mock seedlings. This result is consistent with previous studies using Serratia sp. to enhance the growth of rice and other crops under saline conditions [18,20,45].
In biochemical analysis, we found that the VIRS2-inoculated seedlings had fewer reductions in the total chlorophyll, protein, and related water contents compared with the mock seedlings under saline conditions. This is in line with previous reports that showed the salt-tolerant enhancement of PGPR-inoculated plants [46,47]. The proline and MDA contents have been seen as reliable indicators of the environmental stress imposed on plants [48]. Previous reports indicated that ST-PGPR could consistently decrease the MDA content in plants under saline conditions [46,49]. In our current results, a lower MDA content was also found in the VIRS2-inoculated rice than in the uninoculated seedlings. Higher proline levels were observed in plants inoculated with different ST-PGPR, such as Enterobacter cloacae PM23, Bacillus amyloliquefaciens-SN13, and Dietzia natronolimnaea STR1, compared with mock seedlings under saline conditions [46,49]. Here, we also found increased proline contents in VIRS2-inoculated plants, indicating that this isolate shows potential for enhancing salt tolerance in rice.

4.3. VIRS2 Changes the Expression of Stress-Response-Related Genes in Rice

The plant’s salt-tolerance mechanisms involve multiple genes associated with various phytohormone biosynthesis and signaling pathways, such as ABA, ETH, JA, GA, cytokinin (CK), and salicylic acid (SA) [50]. In particular, the expression of OsLEA3-1, a member of Late Embryogenesis Abundant (LEA) proteins, was induced by drought, salt, and ABA through the regulation of OsNAC (NAM, ATAF, and CUC) transcription factors (TFs) [51]. The upregulation of other AP2/ERF transcription factors, namely OsEREBP1 and OsEREBP2, showed the enhanced tolerance of rice to both biotic and abiotic stresses [52,53]. Moreover, glycogen synthase kinase 3-like gene 2 (OsGSK2), a conserved kinase known as a key suppressor of BR signaling, was found to boost antiviral defense by activating JA signaling [54]. Additionally, the expression of plant-specific TIFY transcription factors, such as OsJAZ8 and OsJAZ9, known as negative regulators of jasmonic signaling, was observed to positively modulate salt tolerance in rice [55,56]. The other study indicated that the downregulation of two rice auxin receptor gene homologs, OsTIR1 and OsAFB2, reduced salt and drought tolerances in rice [57]. Furthermore, the overexpression of OsGA2ox5 and OsCYP71D8L was demonstrated to increase rice resistance to salt stress condition [58,59]. In line with previous reports, our data showed higher transcription abundances of different genes related to salt-tolerant mechanisms in the VIRS2-inoculated rice. This could explain the potential of the selected strain VIRS2 for enhancing rice’s tolerance to salt stress.

4.4. A Vast Number of PGP and Stress-Tolerant Genes Are Present in the VIRS2 Genome

The secondary metabolites produced by endophytes have been proven to withstand various biotic and abiotic stresses on inoculated plants [37,60]. Of these, the auxin group, especially IAA, which is produced by PGPR can assist crops with high salt concentrations by regulating root growth and development [16]. From the VIRS2 genome sequence, we found numerous genes related to the IAA biosynthesis pathway, including idpC, mtr, trpABCLGRS and trpGD. Importantly, the idpC gene encodes a crucial enzyme that converts indole-3-pyruvate into indole-3-acetaldehyde within the IPyA pathway, the well-known pathway related to the IAA biosynthesis in PGPR [61]. In addition, the PGP-related genes in different mechanisms, including heat and cold shock response, osmotic production and metabolism, ROS-scavenging genes, biofilm formation, siderophore production, nitrogen fixation and metabolism, P solubilization and transport, and ion uptake were also found in the VIRS2 genome. The presence of these genes was also found in the genome sequences of different S. marcescens isolates in previous reports [62]. The data from genome sequencing and analysis again indicate potential characteristics of the VIRS2 isolate as the PGPR.

5. Conclusions

The Serratia marcescens strain VIRS2 was successfully isolated from saline soil in Vietnam’s Mekong River Delta. This isolate shows diverse plant growth-promotion properties, including IAA, ammonia, siderophore, and EPS production, as well as biofilm formation, P, Ca, K solubilization, nitrogen fixation, and salt tolerance. Inoculation with VIRS2 alters the biochemical profile and gene expression, resulting in enhanced rice growth and salt tolerance under both in vitro and greenhouse conditions. Whole genome sequencing revealed the presence of numerous genes associated with plant growth-promotion and stress-tolerance mechanisms. This is the first success in the selection of a potential Serratia marcescens strain from the local saline soil for enhancing rice growth and salt tolerance. The selected VIRS2 isolate holds promise for further exploration in plant–microbe interactions and could be utilized to enhance growth and salt tolerance in rice and other crops.

Supplementary Materials

The following supporting information can be downloaded at: https://www.mdpi.com/article/10.3390/microbiolres16050097/s1, Figure S1: Sampling sites in Hon Dat district, Kien Giang province, Vietnam; Figure S2: Rice growth on different soil treatments; Figure S3: The genome map and phylogenetic tree of the VIRS2; Table S1: Components analysis of salinization soil obtained from sea level intrusion region at Hon Dat, Kien Giang, Vietnam; Table S2: List of primers used for qRT-PCR analysis; Table S3: Screening for salt-tolerant capacity of endophytic isolates; Table S4: Genome characteristics of VIRS2; Table S5: Presence of predicted plant growth-promoting and stress-related genes in the VIRS2 genome.

Author Contributions

Conceptualization, T.M.H. and P.T.D.; methodology, V.B.L., H.H.T.N., Q.P., M.V.L. and L.K.L.; software, T.M.H.; validation, T.M.H., P.T.D. and M.V.L.; formal analysis, T.M.H.; investigation, T.P.B., H.H.C. and P.T.D.; data curation, T.M.H. and P.T.D.; writing—original draft preparation, T.M.H.; writing—review and editing, M.V., S.G., H.H.C. and P.T.D.; visualization, P.T.D.; supervision, M.V., S.G., H.H.C. and P.T.D.; project administration, T.P.B., H.H.C. and P.T.D.; funding acquisition, T.P.B. All authors have read and agreed to the published version of the manuscript.

Funding

The Vietnam Academy of Science and Technology project (grant number VAST02.04/23-24) supported this work.

Institutional Review Board Statement

Not applicable.

Informed Consent Statement

Not applicable.

Data Availability Statement

16S rRNA sequence of VIRS2 has been submitted to the NCBI Gen-Bank with accession number PP494685. The raw sequence data, assembly, and annotation of the VIRS2 whole genome will be deposited at the National Center for Biotechnology Information database.

Acknowledgments

The authors express gratitude to the Soils and Fertilizers Institute for their assistance with soil component analysis.

Conflicts of Interest

The authors declare that there are no conflicts of interest.

Abbreviations

The following abbreviations are used in this manuscript:
½MSHalf-strength Murashige and Skoog
ABAAbscisic acid
ACC1-aminocyclopropane-1-carboxylate
ANOVAAnalysis of variance
BRBrassinosteroids
CaCalcium
CASChrome Azurol S
CKCytokinin
DATDays after treatment
DMRTDuncan Multiple Range Test
ETHEthylene
EPSExopolysaccharide
GAGibberellic acid
IAAIndole-3-acetic acid
IAMIndole-3-acetamide
JAJasmonic acid
PPhosphate
PGPRPlant growth-promoting rhizobacteria
KPotassium
KD18Khang Dan 18
LBLuria Broth
LEALate Embryogenesis Abundant
MDAMalondialdehyde
MRMekong River
ROSReactive oxygen species
RWCRelative water content
SASalicylic acid
ST-PGPRSalt-tolerant PGPR
TAMTryptamine

References

  1. Hashim, N.; Ali, M.M.; Mahadi, M.R.; Abdullah, A.F.; Wayayok, A.; Kassim, M.S.M.; Jamaluddin, A. Smart farming for sustainable rice production: An insight into application, challenge, and future prospect. Rice Sci. 2024, 31, 47–61. [Google Scholar] [CrossRef]
  2. Le Toan, T.; Huu, N.; Simioni, M.; Phan, H.; Arai, H.; Mermoz, S.; Bouvet, A.; de Eccher, I.; Diallo, Y.; Duong, T.H. Agriculture in Viet Nam under the impact of climate change. In Climate Change in Viet Nam, Impacts and Adaptation. A COP26 Assessment Report of the GEMMES Viet Nam Project 2021; Agence Française de Développement: Paris, France, 2021. [Google Scholar]
  3. Sultana, S.; Paul, S.C.; Parveen, S.; Alam, S.; Rahman, N.; Jannat, B.; Hoque, S.; Rahman, M.T.; Karim, M.M. Isolation and identification of salt-tolerant plant-growth-promoting rhizobacteria and their application for rice cultivation under salt stress. Can. J. Microbiol. 2020, 66, 144–160. [Google Scholar] [CrossRef]
  4. Shultana, R.; Kee Zuan, A.T.; Yusop, M.R.; Saud, H.M.; El-Shehawi, A.M. Bacillus tequilensis Strain ‘UPMRB9’ improves biochemical attributes and nutrient accumulation in different rice varieties under salinity stress. PLoS ONE 2021, 16, e0260869. [Google Scholar] [CrossRef] [PubMed]
  5. Basak, N.; Rai, A.K.; Sundha, P.; Meena, R.L.; Bedwal, S.; Yadav, R.K.; Sharma, P.C. Assessing soil quality for rehabilitation of salt-affected agroecosystem: A comprehensive review. Front. Environ. Sci. 2022, 10, 935785. [Google Scholar] [CrossRef]
  6. Butcher, K.; Wick, A.F.; DeSutter, T.; Chatterjee, A.; Harmon, J. Soil salinity: A threat to global food security. Agron. J. 2016, 108, 2189–2200. [Google Scholar] [CrossRef]
  7. Hoang, M.T. Impacts of climate change on inundation and salinity intrusion of cuu long delta. VNU J. Sci. Earth Environ. Sci. 2011, 27, 112–118. [Google Scholar]
  8. Rogers, M.E.; Colmer, T.D.; Frost, K.; Henry, D.; Cornwall, D.; Hulm, E.; Hughes, S.; Snowball, R.; Nichols, P.G.H.; Craig, A.D. Erratum to: The influence of nacl salinity and hypoxia on aspects of growth in Trifolium species. Crop Pasture Sci. 2010, 61, 1049–1050. [Google Scholar] [CrossRef]
  9. Razzaque, S.; Elias, S.M.; Haque, T.; Biswas, S.; Jewel, G.N.A.; Rahman, S.; Weng, X.; Ismail, A.M.; Walia, H.; Juenger, T.E. Gene expression analysis associated with salt stress in a reciprocally crossed rice population. Sci. Rep. 2019, 9, 8249. [Google Scholar] [CrossRef]
  10. Ji, J.; Yuan, D.; Jin, C.; Wang, G.; Li, X.; Guan, C. Enhancement of growth and salt tolerance of rice seedlings (Oryza sativa L.) by regulating ethylene production with a novel halotolerant PGPR strain Glutamicibacter sp. YD01 containing ACC deaminase activity. Acta Physiol. Plant 2020, 42, 42. [Google Scholar] [CrossRef]
  11. Manh Tuong, H.; Garcia Mendez, S.; Vandecasteele, M.; Willems, A.; Luo, D.; Beirinckx, S.; Goormachtig, S. Stenotrophomonas sp. SRS1 promotes growth of arabidopsis and tomato plants under salt stress conditions. Plant Soil 2022, 473, 547–571. [Google Scholar] [CrossRef]
  12. Ren, L.; Zhang, Y.; Zhou, J.L.; Wang, G.; Mo, Y.; Ling, Y.; Huang, Y.; Zhang, Y.; Hu, H.; Wang, Y. RL-WG26 Mediated salt stress tolerance in rice seedlings: A new insight into molecular mechanisms. Plant Stress 2024, 11, 100306. [Google Scholar] [CrossRef]
  13. Gouda, S.; Kerry, R.G.; Das, G.; Paramithiotis, S.; Shin, H.-S.; Patra, J.K. Revitalization of plant growth promoting rhizobacteria for sustainable development in agriculture. Microbiol. Res. 2018, 206, 131–140. [Google Scholar] [CrossRef]
  14. Swarnalakshmi, K.; Yadav, V.; Tyagi, D.; Dhar, D.W.; Kannepalli, A.; Kumar, S. Significance of plant growth promoting rhizobacteria in grain legumes: Growth promotion and crop production. Plants 2020, 9, 1596. [Google Scholar] [CrossRef] [PubMed]
  15. Ali, Q.; Ayaz, M.; Mu, G.; Hussain, A.; Yuanyuan, Q.; Yu, C.; Xu, Y.; Manghwar, H.; Gu, Q.; Wu, H.; et al. Revealing plant growth-promoting mechanisms of bacillus strains in elevating rice growth and its interaction with salt stress. Front. Plant Sci. 2022, 13, 994902. [Google Scholar] [CrossRef] [PubMed]
  16. Kumar, A.; Singh, S.; Mukherjee, A.; Rastogi, R.P.; Verma, J.P. Salt-tolerant plant growth-promoting Bacillus Pumilus strain JPVS11 to enhance plant growth attributes of rice and improve soil health under salinity stress. Microbiol. Res. 2021, 242, 126616. [Google Scholar] [CrossRef]
  17. Mahmud, F.A.; Islam, M.A.; Rubel, M.H.; Mukharjee, S.K.; Kumar, M.; Bhattacharya, P.; Ahmed, F. Effects of halotolerant rhizobacteria on rice seedlings under salinity stress. Sci. Total Environ. 2023, 892, 163774. [Google Scholar] [CrossRef]
  18. Hamada, M.A.; Soliman, E.R.S. Characterization and genomics identification of key genes involved in denitrification-dnra-nitrification pathway of plant growth-promoting rhizobacteria (Serratia marcescens OK482790). BMC Microbiol. 2023, 23, 210. [Google Scholar] [CrossRef] [PubMed]
  19. Nordstedt, N.P.; Jones, M.L. Genomic Analysis of Serratia Plymuthica MBSA-MJ1: A plant growth promoting rhizobacteria that improves water stress tolerance in greenhouse ornamentals. Front. Microbiol. 2021, 12, 653556. [Google Scholar] [CrossRef]
  20. Guo, L.; Han, C.; Liu, T.; Wang, Y.; Sun, P.; Pang, Q.; Zhang, X.; Xiang, W.; Zhao, J. Integrated Physiological, Biochemical and Transcriptomic Analyses Reveal the Mechanism of Salt Tolerance Induced by a Halotolerant Serratia sp. NTN6 in Maize. Environ. Exp. Bot. 2024, 221, 105724. [Google Scholar] [CrossRef]
  21. Turhan, E.; Kiran, S.; Ates, Ç.; Ates, O.; Kusvuran, S.; Ellialtioglu, S.S. Ameliorative effects of inoculation with Serratia marcescens and grafting on growth of eggplant seedlings under salt stress. J. Plant Nutr. 2020, 43, 594–603. [Google Scholar] [CrossRef]
  22. Zhang, C.; Yu, Z.; Zhang, M.; Li, X.; Wang, M.; Li, L.; Li, X.; Ding, Z.; Tian, H. Serratia marcescens PLR enhances lateral root formation through supplying plr-derived auxin and enhancing auxin biosynthesis in Arabidopsis. J. Exp. Bot. 2022, 73, 3711–3725. [Google Scholar] [CrossRef] [PubMed]
  23. Zhang, X.; Peng, J.; Hao, X.; Feng, G.; Shen, Y.; Wang, G.; Chen, Z. Serratia marcescens LYGN1 reforms the rhizosphere microbial community and promotes cucumber and pepper growth in plug seedling cultivation. Plants 2024, 13, 592. [Google Scholar] [CrossRef] [PubMed]
  24. Gordon, S.A.; Weber, R.P. Colorimetric estimation of indoleacetic acid. Plant Physiol. 1951, 26, 192–195. [Google Scholar] [CrossRef] [PubMed]
  25. AlAli, H.A.; Khalifa, A.; Almalki, M. Plant growth-promoting rhizobacteria from Ocimum basilicum improve growth of Phaseolus vulgaris and Abelmoschus esculentus. South Afr. J. Bot. 2021, 139, 200–209. [Google Scholar] [CrossRef]
  26. Mir, M.I.; Hameeda, B.; Quadriya, H.; Kumar, B.K.; Ilyas, N.; Kee Zuan, A.T.; El Enshasy, H.A.; Dailin, D.J.; Kassem, H.S.; Gafur, A.; et al. Multifarious Indigenous diazotrophic rhizobacteria of rice (Oryza sativa L.) rhizosphere and their effect on plant growth promotion. Front. Nutr. 2022, 8, 781764. [Google Scholar] [CrossRef]
  27. Amri, M.; Rjeibi, M.R.; Gatrouni, M.; Mateus, D.M.; Asses, N.; Pinho, H.J.; Abbes, C. Isolation, identification, and characterization of phosphate-solubilizing bacteria from Tunisian soils. Microorganisms 2023, 11, 783. [Google Scholar] [CrossRef]
  28. Rana, G.; Mandal, T.; Mandal, N.; Sakha, D.; Meikap, B. Calcite solubilization by bacteria: A novel method of environment pollution control. Geomicrobiol. J. 2015, 32, 846–852. [Google Scholar] [CrossRef]
  29. Sun, F.; Ou, Q.; Wang, N.; Guo, Z.; Ou, Y.; Li, N.; Peng, C. Isolation and identification of potassium-solubilizing bacteria from Mikania micrantha rhizospheric soil and their effect on M. micrantha plants. Glob. Ecol. Conserv. 2020, 23, e01141. [Google Scholar] [CrossRef]
  30. Louden, B.C.; Haarmann, D.; Lynne, A.M. Use of blue agar CAS assay for siderophore detection. J. Microbiol. Biol. Educ. 2011, 12, 51–53. [Google Scholar] [CrossRef]
  31. Jhuma, T.A.; Rafeya, J.; Sultana, S.; Rahman, M.T.; Karim, M.M. Isolation of endophytic salt-tolerant plant growth-promoting rhizobacteria from Oryza sativa and evaluation of their plant growth-promoting traits under salinity stress condition. Front. Sustain. Food Syst. 2021, 5, 687531. [Google Scholar] [CrossRef]
  32. Abdelwahed, S.; Trabelsi, E.; Saadouli, I.; Kouidhi, S.; MASMOUDI, A.-S.; Cherif, A.; Mnif, W.; Mosbah, A. A New Pioneer colorimetric micro-plate method for the estimation of ammonia production by plant growth promoting rhizobacteria (PGPR). Main Group Chem. 2022, 21, 55–68. [Google Scholar] [CrossRef]
  33. Bado, S.; Forster, B.P.; Ghanim, A.M.A.; Jankowicz-Cieslak, J.; Berthold, G.; Luxiang, L. Protocol for Screening for salt tolerance in rice. In Protocols for Pre-Field Screening of Mutants for Salt Tolerance in Rice, Wheat and Barley; Springer International Publishing: Cham, Switzerland, 2016; pp. 21–31. ISBN 978-3-319-26588-9. [Google Scholar]
  34. Murashige, T.; Skoog, F. A revised medium for rapid growth and bio assays with tobacco tissue cultures. Physiol. Plant. 1962, 15, 473–497. [Google Scholar] [CrossRef]
  35. Senthilkumar, M.; Amaresan, N.; Sankaranarayanan, A. Determination of chlorophyll. In Plant-Microbe Interactions; Springer Protocols Handbooks; Springer: New York, NY, USA, 2021; pp. 145–146. ISBN 978-1-07-161079-4. [Google Scholar]
  36. Ly, L.K.; Ho, T.M.; Bui, T.P.; Nguyen, L.T.; Phan, Q.; Le, N.T.; Khuat, L.T.M.; Le, L.H.; Chu, H.H.; Pham, N.B.; et al. CRISPR/Cas9 targeted mutations of OsDSG1 gene enhanced salt tolerance in rice. Funct. Integr. Genom. 2024, 24, 70. [Google Scholar] [CrossRef] [PubMed]
  37. Wang, Y.; Zhao, Q.; Zhao, M. Whole-genome analysis revealed the growth-promoting mechanism of endophytic bacterial strain Q2H1 in potato plants. Front. Microbiol. 2022, 13, 1035901. [Google Scholar] [CrossRef] [PubMed]
  38. Rosete Ambriz, S.A.; Alejo Hernandez, M.A.; Sanchez Cruz, N.; Ceapa, C.D. Genome mining of Streptomyces for the discovery of low-resistance antibiotics. bioRxiv 2023. [Google Scholar] [CrossRef]
  39. Cho, G.-S.; Stein, M.; Brinks, E.; Rathje, J.; Lee, W.; Suh, S.H.; Franz, C.M. Serratia nevei sp. nov. and Serratia bockelmannii sp. nov., isolated from fresh produce in germany and reclassification of Serratia Marcescens subsp. sakuensis ajithkumar et al. 2003 as a later heterotypic synonym of Serratia marcescens subsp. Marcescens. Syst. Appl. Microbiol. 2020, 43, 126055. [Google Scholar] [CrossRef]
  40. Yoon, S.-H.; Ha, S.; Lim, J.; Kwon, S.; Chun, J. A large-scale evaluation of algorithms to calculate average nucleotide identity. Antonie Van Leeuwenhoek 2017, 110, 1281–1286. [Google Scholar] [CrossRef]
  41. Nadeem, S.M.; Ahmad, M.; Zahir, Z.A.; Javaid, A.; Ashraf, M. The role of mycorrhizae and plant growth promoting rhizobacteria (PGPR) in improving crop productivity under stressful environments. Biotechnol. Adv. 2014, 32, 429–448. [Google Scholar] [CrossRef]
  42. Singh, R.P.; Jha, P.N. The multifarious PGPR Serratia marcescens CDP-13 augments induced systemic resistance and enhanced salinity tolerance of wheat (Triticum aestivum L.). PLoS ONE 2016, 11, e0155026. [Google Scholar] [CrossRef]
  43. Khamna, S.; Yokota, A.; Peberdy, J.F.; Lumyong, S. Indole-3-acetic acid production by Streptomyces sp. isolated from some thai medicinal plant rhizosphere soils. Eurasian J. Biosci. 2010, 4, 23–32. [Google Scholar] [CrossRef]
  44. Devi, K.A.; Pandey, P.; Sharma, G.D. Plant growth-promoting endophyte Serratia marcescens AL2-16 enhances the growth of Achyranthes Aspera L., a Medicinal Plant. HAYATI J. Biosci. 2016, 23, 173–180. [Google Scholar] [CrossRef]
  45. Kulkova, I.; Wróbel, B.; Dobrzyński, J. Serratia spp. as plant growth-promoting bacteria alleviating salinity, drought, and nutrient imbalance stresses. Front. Microbiol. 2024, 15, 1342331. [Google Scholar] [CrossRef]
  46. Chauhan, P.S.; Lata, C.; Tiwari, S.; Chauhan, A.S.; Mishra, S.K.; Agrawal, L.; Chakrabarty, D.; Nautiyal, C.S. Transcriptional alterations reveal Bacillus amyloliquefaciens-rice cooperation under salt stress. Sci. Rep. 2019, 9, 11912. [Google Scholar] [CrossRef] [PubMed]
  47. Ali, B.; Hafeez, A.; Afridi, M.S.; Javed, M.A.; Sumaira; Suleman, F.; Nadeem, M.; Ali, S.; Alwahibi, M.S.; Elshikh, M.S.; et al. Bacterial-mediated salinity stress tolerance in maize (Zea mays L.): A Fortunate way toward sustainable agriculture. ACS Omega 2023, 8, 20471–20487. [Google Scholar] [CrossRef] [PubMed]
  48. Patanè, C.; Cosentino, S.L.; Romano, D.; Toscano, S. Relative water content, proline, and antioxidant enzymes in leaves of long shelf-life tomatoes under drought stress and rewatering. Plants 2022, 11, 3045. [Google Scholar] [CrossRef]
  49. Ali, B.; Wang, X.; Saleem, M.H.; Sumaira; Hafeez, A.; Afridi, M.S.; Khan, S.; Ullah, I.; Amaral, A.T.D., Jr.; Alatawi, A. PGPR-mediated salt tolerance in maize by modulating plant physiology, antioxidant defense, compatible solutes accumulation and bio-surfactant producing genes. Plants 2022, 11, 345. [Google Scholar] [CrossRef]
  50. Liu, C.; Mao, B.; Yuan, D.; Chu, C.; Duan, M. Salt tolerance in rice: Physiological responses and molecular mechanisms. Crop J. 2022, 10, 13–25. [Google Scholar] [CrossRef]
  51. Zhang, X.; Long, Y.; Chen, X.; Zhang, B.; Xin, Y.; Li, L.; Cao, S.; Liu, F.; Wang, Z.; Huang, H.; et al. A NAC transcription factor OsNAC3 positively regulates ABA response and salt tolerance in rice. BMC Plant Biol. 2021, 21, 546. [Google Scholar] [CrossRef]
  52. Jisha, V.; Dampanaboina, L.; Vadassery, J.; Mithöfer, A.; Kappara, S.; Ramanan, R. Overexpression of an AP2/ERF type transcription factor OsEREBP1 Confers biotic and abiotic stress tolerance in rice. PLoS ONE 2015, 10, e0127831. [Google Scholar] [CrossRef]
  53. Serra, T.S.; Figueiredo, D.D.; Cordeiro, A.M.; Almeida, D.M.; Lourenço, T.; Abreu, I.A.; Sebastián, A.; Fernandes, L.; Contreras-Moreira, B.; Oliveira, M.M.; et al. OsRMC, a negative regulator of salt stress response in rice, is regulated by two AP2/ERF transcription factors. Plant Mol. Biol. 2013, 82, 439–455. [Google Scholar] [CrossRef]
  54. He, Y.; Hong, G.; Zhang, H.; Tan, X.; Li, L.; Kong, Y.; Sang, T.; Xie, K.; Wei, J.; Li, J. The OsGSK2 kinase integrates brassinosteroid and jasmonic acid signaling by interacting with OsJAZ4. Plant Cell 2020, 32, 2806–2822. [Google Scholar] [CrossRef]
  55. Peethambaran, P.K.; Glenz, R.; Höninger, S.; Shahinul Islam, S.M.; Hummel, S.; Harter, K.; Kolukisaoglu, Ü.; Meynard, D.; Guiderdoni, E.; Nick, P.; et al. Salt-inducible expression of OsJAZ8 improves resilience against salt-stress. BMC Plant Biol. 2018, 18, 311. [Google Scholar] [CrossRef] [PubMed]
  56. Wu, H.; Ye, H.; Yao, R.; Zhang, T.; Xiong, L. OsJAZ9 acts as a transcriptional regulator in jasmonate signaling and modulates salt stress tolerance in rice. Plant Sci. 2015, 232, 1–12. [Google Scholar] [CrossRef] [PubMed]
  57. Xia, K.; Wang, R.; Ou, X.; Fang, Z.; Tian, C.; Duan, J.; Wang, Y.; Zhang, M. OsTIR1 and OsAFB2 downregulation via OsmiR393 overexpression leads to more tillers, early flowering and less tolerance to salt and drought in rice. PLoS ONE 2012, 7, e30039. [Google Scholar] [CrossRef]
  58. Shan, C.; Mei, Z.; Duan, J.; Chen, H.; Feng, H.; Cai, W. OsGA2ox5, a gibberellin metabolism enzyme, is involved in plant growth, the root gravity response and salt Stress. PLoS ONE 2014, 9, e87110. [Google Scholar] [CrossRef] [PubMed]
  59. Zhou, J.; Li, Z.; Xiao, G.; Zhai, M.; Pan, X.; Huang, R.; Zhang, H. CYP71D8L is a key regulator involved in growth and stress responses by mediating gibberellin homeostasis in rice. J. Exp. Bot. 2020, 71, 1160–1170. [Google Scholar]
  60. Matteoli, F.P.; Passarelli-Araujo, H.; Reis, R.J.A.; Da Rocha, L.O.; De Souza, E.M.; Aravind, L.; Olivares, F.L.; Venancio, T.M. Genome sequencing and assessment of plant growth-promoting properties of a Serratia marcescens strain isolated from vermicompost. BMC Genom. 2018, 19, 750. [Google Scholar] [CrossRef]
  61. Figueredo, E.F.; da Cruz, T.A.; de Almeida, J.R.; Batista, B.D.; Marcon, J.; de Andrade, P.A.M.; de Almeida Hayashibara, C.A.; Rosa, M.S.; Azevedo, J.L.; Quecine, M.C. The key role of indole-3-acetic acid biosynthesis by Bacillus thuringiensis RZ2MS9 in promoting maize growth revealed by the ipdC gene knockout mediated by the crispr-cas9 system. Microbiol. Res. 2023, 266, 127218. [Google Scholar] [CrossRef]
  62. Guerrieri, M.C.; Fiorini, A.; Fanfoni, E.; Tabaglio, V.; Cocconcelli, P.S.; Trevisan, M.; Puglisi, E. Integrated genomic and greenhouse assessment of a novel plant growth-promoting rhizobacterium for tomato plant. Front. Plant Sci. 2021, 12, 660620. [Google Scholar] [CrossRef]
Figure 1. IAA production and the salt-tolerant ability of VIRS2. (A) The IAA production of bacteria isolated from the saline soil. Values represent the mean ± SE (n = 9), and different letters (a–i) indicate significant differences at α = 0.05 using ANOVA and DMRT tests. (B) The growth of VIRS2 and E. coli G10 on LB broth added 0 to 11% NaCl; red arrows indicate bacterial coclony growth.
Figure 1. IAA production and the salt-tolerant ability of VIRS2. (A) The IAA production of bacteria isolated from the saline soil. Values represent the mean ± SE (n = 9), and different letters (a–i) indicate significant differences at α = 0.05 using ANOVA and DMRT tests. (B) The growth of VIRS2 and E. coli G10 on LB broth added 0 to 11% NaCl; red arrows indicate bacterial coclony growth.
Microbiolres 16 00097 g001
Figure 2. The growth of VIRS2-inoculated rice seedlings at different salt treatments under in vitro conditions. (A) The growth of VIRS2-inoculated and mock rice seedlings at 7 days of salt treatments. The root (B) and shoot (C) lengths and fresh weight (D) of rice seedlings. Values represent the mean ± SE (n = 150), and different letters (a–f) indicate significant differences at α = 0.05 using ANOVA and DMRT tests. Scale bar: 3 cm.
Figure 2. The growth of VIRS2-inoculated rice seedlings at different salt treatments under in vitro conditions. (A) The growth of VIRS2-inoculated and mock rice seedlings at 7 days of salt treatments. The root (B) and shoot (C) lengths and fresh weight (D) of rice seedlings. Values represent the mean ± SE (n = 150), and different letters (a–f) indicate significant differences at α = 0.05 using ANOVA and DMRT tests. Scale bar: 3 cm.
Microbiolres 16 00097 g002
Figure 3. The growth of VIRS2-inoculated rice seedlings with salt treatments under greenhouse conditions. (A) The phenotypes of VIRS2-inoculated and mock rice plants at 35 days of salt treatments using the hydroponic method. The root (B) and shoot (C) lengths. The fresh weights of the root (D), the shoot (E), and the whole plant (F). The dry weight of the root (G), the shoot (H), and the whole plant (I). Values represent the mean ± SE (n = 75–96), and different letters (a–d) indicate significant differences at α = 0.05 using ANOVA and DMRT tests. Scale bar: 5 cm.
Figure 3. The growth of VIRS2-inoculated rice seedlings with salt treatments under greenhouse conditions. (A) The phenotypes of VIRS2-inoculated and mock rice plants at 35 days of salt treatments using the hydroponic method. The root (B) and shoot (C) lengths. The fresh weights of the root (D), the shoot (E), and the whole plant (F). The dry weight of the root (G), the shoot (H), and the whole plant (I). Values represent the mean ± SE (n = 75–96), and different letters (a–d) indicate significant differences at α = 0.05 using ANOVA and DMRT tests. Scale bar: 5 cm.
Microbiolres 16 00097 g003
Figure 4. The physiological and biochemical changes of the VIRS2-inoculated rice seedlings under salt treatments. Total chlorophyll (A), relative water content (B), MDA (C), proline (D), and total protein contents (E). Values represent the mean ± SE (n = 9), and different letters (a–d) indicate significant differences at α = 0.05 using ANOVA and DMRT tests.
Figure 4. The physiological and biochemical changes of the VIRS2-inoculated rice seedlings under salt treatments. Total chlorophyll (A), relative water content (B), MDA (C), proline (D), and total protein contents (E). Values represent the mean ± SE (n = 9), and different letters (a–d) indicate significant differences at α = 0.05 using ANOVA and DMRT tests.
Microbiolres 16 00097 g004
Figure 5. The relative gene expression in VIRS2-inoculated rice seedlings under salt treatments. qPCR was conducted with (A) OsAREB1 (ABA-responsive element-binding protein 1); (B) OsLEA3 (Late Embryogenesis Abundant 3); (C) OsEREBP1 (Ethylene-responsive element-binding protein 1); (D) OsEREBP2 (Ethylene-responsive element-binding protein 2); (E) OsGSK2 (Glycogen synthase kinase3-like gene 2); (F) OsJAZ8 (Jasmonate ZIM-domain protein 8); (G) OsCYP71D8L (Cytochrome P450-71 D8L); (H) OsGA2ox5 (Gibberellin 2-oxidase 5); (I) OsTIR1 (F-box protein transport inhibitor response 1). OsGAPDH (Glyceraldehyde-3-phosphate dehydrogenase) and OsActin1 were used as reference genes. Error bars represent ± SE (n = 9). Different letters (a–d) indicate significant differences at α = 0.05 using ANOVA and DMRT tests.
Figure 5. The relative gene expression in VIRS2-inoculated rice seedlings under salt treatments. qPCR was conducted with (A) OsAREB1 (ABA-responsive element-binding protein 1); (B) OsLEA3 (Late Embryogenesis Abundant 3); (C) OsEREBP1 (Ethylene-responsive element-binding protein 1); (D) OsEREBP2 (Ethylene-responsive element-binding protein 2); (E) OsGSK2 (Glycogen synthase kinase3-like gene 2); (F) OsJAZ8 (Jasmonate ZIM-domain protein 8); (G) OsCYP71D8L (Cytochrome P450-71 D8L); (H) OsGA2ox5 (Gibberellin 2-oxidase 5); (I) OsTIR1 (F-box protein transport inhibitor response 1). OsGAPDH (Glyceraldehyde-3-phosphate dehydrogenase) and OsActin1 were used as reference genes. Error bars represent ± SE (n = 9). Different letters (a–d) indicate significant differences at α = 0.05 using ANOVA and DMRT tests.
Microbiolres 16 00097 g005
Table 1. The PGP properties of VIRS2 on different salt concentrations from 0 to 8%.
Table 1. The PGP properties of VIRS2 on different salt concentrations from 0 to 8%.
No.PGP Traits0%2%4%6%8%
1Nitrogen fixation (mm)8.66 ± 0.83 c3.23 ± 0.03 b2.15 ± 0.02 a--
2Phosphate solubilization (SI)1.19 ± 0.00 b1.12 ± 0.01 a1.14 ± 0.03 a--
3Potassium solubilization (SI)1.49 ± 0.04 b1.31 ± 0.01 a---
4Calcium solubilization (SI)1.84 ± 0.11 a2.72 ± 0.35 b1.30 ± 0.24 a--
5Siderophore (SI)1.70 ± 0.06 a1.34 ± 0.01 a2.05 ± 0.02 b2.10 ± 0.11 b-
6IAA production (µg/mL)137.66 ± 0.71 d108.16 ± 0.90 c87.33 ± 1.15 b73.62 ± 0.79 a-
7NH3 (µM)8.31 ± 0.91 d6.13 ± 0.67 c5.21 ± 0.57 bc3.38 ± 0.38 a3.93 ± 0.43 ab
8Biofilm (OD550)0.29 ± 0.01 d0.10 ± 0.00 c0.06 ± 0.00 b0.02 ± 0.00 a0.02 ± 0.00 a
9Exopolysacharite (g/L)6.10 ± 0.42 b3.41 ± 0.50 a9.16 ± 0.43 c8.42 ± 0.49 c3.97 ± 0.43 a
Values indicate the mean ± SE for three replications. Different letters (a–d) indicate differences (α = 0.05) after ANOVA and by the Duncan Multiple Range Test, while (-) showed a negative result. SI: solubilization index.
Disclaimer/Publisher’s Note: The statements, opinions and data contained in all publications are solely those of the individual author(s) and contributor(s) and not of MDPI and/or the editor(s). MDPI and/or the editor(s) disclaim responsibility for any injury to people or property resulting from any ideas, methods, instructions or products referred to in the content.

Share and Cite

MDPI and ACS Style

Ho, T.M.; Le, M.V.; Nguyen, H.H.T.; Phan, Q.; Bui, T.P.; Ly, L.K.; Lam, V.B.; Vandecasteele, M.; Goormachtig, S.; Chu, H.H.; et al. Serratia marcescens Strain VIRS2 Isolated from Saline Soil Enhances Rice Growth and Salt Tolerance. Microbiol. Res. 2025, 16, 97. https://doi.org/10.3390/microbiolres16050097

AMA Style

Ho TM, Le MV, Nguyen HHT, Phan Q, Bui TP, Ly LK, Lam VB, Vandecasteele M, Goormachtig S, Chu HH, et al. Serratia marcescens Strain VIRS2 Isolated from Saline Soil Enhances Rice Growth and Salt Tolerance. Microbiology Research. 2025; 16(5):97. https://doi.org/10.3390/microbiolres16050097

Chicago/Turabian Style

Ho, Tuong M., Manh V. Le, Ha H. T. Nguyen, Quyen Phan, Thao P. Bui, Linh K. Ly, Van B. Lam, Michiel Vandecasteele, Sofie Goormachtig, Ha H. Chu, and et al. 2025. "Serratia marcescens Strain VIRS2 Isolated from Saline Soil Enhances Rice Growth and Salt Tolerance" Microbiology Research 16, no. 5: 97. https://doi.org/10.3390/microbiolres16050097

APA Style

Ho, T. M., Le, M. V., Nguyen, H. H. T., Phan, Q., Bui, T. P., Ly, L. K., Lam, V. B., Vandecasteele, M., Goormachtig, S., Chu, H. H., & Do, P. T. (2025). Serratia marcescens Strain VIRS2 Isolated from Saline Soil Enhances Rice Growth and Salt Tolerance. Microbiology Research, 16(5), 97. https://doi.org/10.3390/microbiolres16050097

Article Metrics

Back to TopTop