Next Article in Journal
Bacterial Foodborne Diseases in Central America and the Caribbean: A Systematic Review
Previous Article in Journal
Rabbit Models for Infectious Diseases Caused by Staphylococcus aureus
 
 
Font Type:
Arial Georgia Verdana
Font Size:
Aa Aa Aa
Line Spacing:
Column Width:
Background:
Article

Antiprotozoal Activity and Selectivity Index of Organic Salts of Albendazole and Mebendazole

by
Miriam Guadalupe Barón-Pichardo
,
Janeth Gómez-García
,
David Durán-Martínez
,
Oscar Torres-Angeles
,
Jesús Rivera-Islas
* and
Blanca Estela Duque-Montaño
*
Faculty of Pharmacy, Autonomous University of the State of Morelos, Av. Universidad 1001, Cuernavaca 62209, Morelos, Mexico
*
Authors to whom correspondence should be addressed.
Microbiol. Res. 2025, 16(4), 77; https://doi.org/10.3390/microbiolres16040077
Submission received: 3 March 2025 / Revised: 21 March 2025 / Accepted: 25 March 2025 / Published: 27 March 2025

Abstract

Infections from the protozoa Entamoeba histolytica (E. histolytica), Giardia lamblia (G. lamblia), and Trichomonas vaginalis (T. vaginalis) pose a public health issue, with albendazole and mebendazole serving as the second-line medications for treating these parasitic infections. However, the low aqueous solubility of these compounds has led to the exploration of new strategies to enhance their solubility, with the formation of salts being a commonly employed strategy. The sulfonates A1, A2, and A3 of albendazole, along with M1, M2, and M3 of mebendazole, were synthesized. The antiparasitic activity in vitro was assessed against the trophozoites of E. histolytica, G. lamblia, and T. vaginalis. The salts A2, A3, M2, and M3 demonstrated a greater antiparasitic effect (IC50 37.95–125.53 µM) compared to the positive controls albendazole and mebendazole. The salts A1, A3, M2, and M3 do not exhibit cytotoxic effects at concentrations of 500 µM on the Vero cell line. Taken together, these findings indicate that the formation of these new solid saline phases enhances the antiparasitic effects in vitro, which is crucial in the current search for improved, safe, and effective antiparasitic agents.

1. Introduction

Parasitic infections caused by microaerophilic protozoa are a major problem affecting around 3 billion people globally. Among the main protozoa are Entamoeba histolytica (E. histolytica) and Giardia lamblia (G. lamblia), which are human pathogens of the gastrointestinal tract, and Trichomonas vaginalis (T. vaginalis), a pathogen of the human genitourinary tract [1]. E. histolytica colonizes the large intestine, leading to an infection called amoebiasis, which can present as either asymptomatic or invasive, potentially invading the liver, heart, lungs, and brain [2,3]. G. lamblia ranks as the second most common cause of infectious diarrhea in humans. Giardiasis may occur as an asymptomatic infection or can be linked to diarrhea, stomach pain, nausea, bloating, gas, malabsorption, weight loss, and growth delays in children [4,5]. T. vaginalis is responsible for the sexually transmitted infection known as trichomoniasis, resulting in 248 million cases reported globally each year [6]. In men, it can present as either an asymptomatic or mild condition, whereas in women, it might be asymptomatic or lead to intense vaginitis (characterized by vaginal discharge with a foul smell and yellow–green hue, dysuria, itching, and abdominal pain) [7].
Metronidazole (α-hydroxyethyl-2-methyl-5-nitroimidazole, Mtz) is the first choice for treating amoebiasis, giardiasis, and trichomoniasis [8]. However, overuse, indiscriminate over-the-counter (OTC) sales, and inadequate treatment regimens have resulted in the emergence of nitroimidazole-resistant strains with increased inhibitory concentrations of the drug, leading to treatment failures [9]. Resistance to Mtz in clinical isolates has been reported in G. lamblia [10], E. histolytica [11], and T. vaginalis [12].
Therefore, when treatment with Mtz is ineffective, it is recommended to use albendazole (methyl [5-(propylthio)-1H-benzimidazole-2-yl] carbamate, Abz) and mebendazole (methyl 5-benzoyl-1H-benzimidazole-2-yl-carbamate, Mbz) alone or in combination with Mtz [13,14]. The main mechanism of action of Abz and Mbz in protozoa is through their selective binding to β-tubulin dimers in the parasite, which prevents the polymerization of microtubules. Consequently, essential biological processes such as adhesion, motility, and cell division are directly affected [15].
Although the resistance related to Abz and Mbz has been documented, it occurs less frequently than has been observed for Mtz [10]. Conversely, unlike the significant water solubility of Mtz, the main limitation for the use of Abz and Mbz is their poor water solubility, impacting the total amount of drug absorbed [16,17].
To improve water solubility, various methodologies have been described, such as the formation of nanocapsules [18], solid dispersions [19], nanocrystals [20], liposomes [21], cyclodextrins [22], inclusion complexes [23], self-emulsifying drug delivery systems [24], and pharmaceutical salts [25]. These methodologies do not involve chemical structure modification but rather the combination with other molecules through mixtures or acid–base reactions.
The formation of salts with pharmaceutically acceptable counterions is useful for modifying physicochemical, biopharmaceutical, or therapeutic properties. These salts are considered chemical entities with improved pharmacokinetic, toxicological, and potency characteristics [26,27]. The use of sulfonic acids for salt formation has increased over time because they substantially improve the physicochemical properties of active pharmaceutical ingredients (APIs) and, in some cases, are safer than alternative salts [28].
It has also been reported that the counterion used for the formation of drug salts impacts the values of inhibitory concentration in vitro antibacterial studies [29,30]. Therefore, the aim of the present study is to evaluate the in vitro amebicidal, trichomonicidal, and giardicidal activity of albendazole (A) and mebendazole (M) salts with benzenesulfonic acid (A1, M1), methanesulfonic acid (A2, M2), and p-toluenesulfonic acid (A3, M3) (Figure 1). This will determine whether the modulation of activity occurs for antiparasitic drug salts by analyzing their IC50 values, their cytotoxic concentration (CC50) on the Vero cell line, and their selectivity index. Finally, the goal is to select those with the best biological properties for subsequent in vivo pharmaceutical studies, which may serve as candidates for the treatment of parasitic infections.

2. Materials and Methods

2.1. General Procedure to Prepare Abz and Mbz Sulfonic Salts

2.1.1. Reagents and Solvents

Albendazole (≥98%, CAS 54965-21-8), mebendazole (≥98%, CAS 31431-39-7), p-toluensulfonic acid monohydrate (≥98.5% CAS 6192-52-5), benzenesulfonic acid monohydrate (97%, CAS 26158-00-9), and methanesulfonic acid (≥99%, CAS 75-75-2) were purchased from Sigma-Aldrich® (St. Louis, MO, USA) and used without prior purification. Methanol (≥99.9%, CAS 67-56-1) and acetone (99.8%, CAS 67-64-1) were reagent-grade and purchased from J.T. Baker (Monterrey, NL, México).

2.1.2. Equipment and Conditions for Chemical Characterization

Powder X-ray diffraction (PXRD) was performed on a Bruker D2-Phaser (Karlsruhe, Germany). The data were collected in the interval 5–50° of 2θ angle with a stepsize of 0.02°. FT-IR spectra were recorded using Thermo Scientific Spectrophotometer Nicolet iS10 (Waltham, MA, USA) and measured in the range of 4000–500 cm−1 with a diamond ATR accessory. NMR spectra were obtained on a Bruker AVANCE III HD 500 MHz (Bruker, Coventry, UK) (1H) and 125 MHz (13C) spectrometer at room temperature, with samples of 30 mg, and DMSO-d6 as the solvent for all samples. The melting point was determined by using a Fisher–Johns Melting Point Apparatus 12-144 from Fisher Scientific® (Dubuque, IA, USA) in the range of 20–300 °C.

2.1.3. General Method for Salts Preparation

An equimolar mixture of the benzimidazole drug (Abz, 265 mg; or Mbz, 295 mg) and the sulfonic acid (methane sulfonic acid, 97 mg; benzenesulfonic acid, 159 mg; or p-toluenesulfonic acid, 158 mg) was placed into a 10 mL glass vial provided with a magnetic stirrer. Then, enough solvent (acetone or methanol, ca. 3 mL) was poured to form a solid suspension. The reaction mixture was stirred at room temperature for 24 h. At the terminus, the suspension was filtered, and the solid was rinsed with an aliquot of fresh solvent to remove the starting material. Finally, the solid was dried under vacuum for 2 h. The yield of solid salt was 60–75%.

2.1.4. Chemical Characterization of Salt A1 (Albendazole Besylate)

1H NMR spectrum (DMSO-d6): δ (ppm) 7.61 (d, 2H), 7.45 (d, 1H), 7.37 (dd, 1H), 7.31 (m, 2H) 7.15 (d, 2H), 3.78 (s, 3H), 2.87 (t, 2H), 1.53 (sextet, 2H), 0.95 (t, 3H). 13C NMR spectrum (DMSO-d6): δ (ppm) 154.33, 146.97, 135.3, 133.8, 128.3, 128.0, 127.6, 125.5, 124.1, 115.2, 114.0, 52.8, 36.3, 22.0, 13.1. XRPD (2θ angle): 7.0°, 7.5°, 11.0°, 11.4°, 18.0°, 18.7°, 19.5°, 20.8°, 24.9°, 25.8°, 27.3°, 29.4°. FT-IR: ν (cm−1) 3321, 2958, 1711, 1615, 1585, 1441, 1263, 1092. M.p. 182–184 °C. Yield 65%.

2.1.5. Chemical Characterization of Salt A2 (Albendazole Mesylate)

1H NMR spectrum (DMSO-d6): δ (ppm) 7.54 (m, 2H) 7.36 (dd, 1H), 3.88 (s, 3H), 2.95 (t, 2H), 2.43 (s, 3H), 1.57 (sextet, 2H), 0.97 (t, 3H). 13C NMR spectrum (DMSO-d6): δ (ppm) 152.6, 144.2, 132.3, 130.0, 127.8, 125.6, 113.7, 112.9, 52.8, 36.3, 22.0, 13.1. XRPD (2θ angle): 7.0°, 11.9°, 13.0°, 13.7°, 16.3°, 16.9°, 19.0°, 19.6°, 20.7°, 21.3°, 22.9°, 23.6°, 25.4°, 26.1°, 27.4°, 29.1°, 30.3°. FT-IR: ν (cm−1) 3213, 1755, 1638, 1435, 1231, 1151, 1089. M.p. 154–155 °C. Yield 71%.

2.1.6. Chemical Characterization of Salt A3 (Albendazole Tosylate)

1H NMR spectrum (DMSO-d6): δ (ppm) 7.55–7.47 (m, 4H), 7.36 (dd, 1H), 7.12 (d, 2H), 3.88 (s, 3H), 2.95 (t, 2H), 2.28 (s, 3H), 1.57 (sextet, 2H), 0.97 (t, 3H). 13C NMR spectrum (DMSO-d6): δ (ppm) 157.3, 153.1, 144.6, 138.3, 132.7, 130.6, 126.1, 125, 114.2, 113.5, 54.2, 35.7, 22.3, 21.2, 13.6. XRPD (2θ angle): 6.7°, 18.6°, 18.9°, 19.7°, 21.6°, 22.7°, 25.3°, 29.7°. FT-IR: ν (cm−1) 3063, 2927, 1758, 1644, 1601, 1442, 1237, 1155, 1096. M.p. 188–189 °C. Yield 68%.

2.1.7. Chemical Characterization of Salt M1 (Mebendazole Besylate)

1H NMR spectrum (DMSO-d6): δ (ppm) 7.88 (s, 1H), 7.72 (d, 2H), 7.68–7.55 (m, 6H), 7.34–7.27 (m, 1H), 3.81 (s, 3H). 13C NMR spectrum (DMSO-d6): δ (ppm) 195.35, 153.95, 148.44, 138.11, 132.03, 130.60, 129.37, 128.41, 128.32, 127.59, 125.47, 124.37, 115.75, 113.81, 52.97. XRPD (2θ angle): 6.4°, 7.0°, 7.5°, 11.0°, 11.4°, 18.1°, 18.8°, 20.7°, 22.4°, 23.6°, 24.8°, 25.7°, 27.1°. FT-IR: ν (cm−1) 3368, 2947, 1755, 1731, 1635, 1593, 1456, 1257, 1227, 1179, 1090. M.p. decomposition occurred prior to the melting of the sample. Yield 70%.

2.1.8. Chemical Characterization of Salt M2 (Mebendazole Mesylate)

1H NMR spectrum (DMSO-d6): δ (ppm) 7.96 (d, 1H), 7.73 (m, 5H), 7.59 (t, 2H), 3.89 (s, 3H), 2.44 (s, 6H). 13C NMR spectrum (120 MHz, DMSO-d6): δ (ppm) 194.94, 152.75, 146.06, 137.36, 133.15, 132.95, 132.70, 129.63, 128.68, 126.32, 115.34, 113.37, 53.95. XRPD (2θ angle): 6.7°, 10.3°, 12.8°, 17.0°, 18.0°, 18.5°, 19.3°, 19.8°, 20.5°, 21.8°, 22.8°, 23.4°, 25.3°, 26.3°, 28.5°, 29.3°. FT-IR: ν (cm−1) 3570, 3055, 1769, 1662, 1639, 1598, 1439, 1235, 1009. M.p. 207–208 °C. Yield 65%.

2.1.9. Chemical Characterization of Salt M3 (Mebendazole Tosylate)

1H NMR spectrum (DMSO-d6): δ 7.95 (d, 1H), 7.78–7.68 (m, 5H), 7.58 (t, 2H), 7.50 (d, 2H), 7.12 (d, 2H), 3.88 (s, 3H), 2.28 (s, 3H). 13C NMR spectrum (DMSO-d6): δ (ppm) 194.91, 152.89, 146.30, 145.34, 137.91, 137.43, 133.97, 133.97, 132.53, 130.19, 129.54, 128.58, 128.16, 125.98, 125.53, 115.35, 113.40, 53.75, 20.88. XRPD (2θ angle): 6.9°, 11.3°, 12.4°, 14.0°, 16.2°, 18.6°, 19.8°, 21.6°, 22.7°, 23.7°, 25.4°, 26.2°, 29.7°. FT-IR: ν (cm−1) 3567, 3063, 2804, 1764, 1654, 1641, 1602, 1441, 1231, 1200, 1009. M.p. 180–181 °C. Yield 60%.

2.2. In Vitro Antiprotozoal Activity Assays

2.2.1. Stock Solutions

Stock solutions of Abz salts, Mbz salts, Abz, Mbz, and Mtz were prepared by dissolving in 0.1% (v/v) dimethyl sulfoxide (DMSO, AppliChem, Ottoweg, Darmstadt, Germany) at the level at which no inhibition of trophozoites occurs [31]. The solutions were further diluted to 1 mL by adding freshly prepared culture medium to reach a concentration of 2 mg/mL. Two-fold serial dilutions were made in Eppendorf tubes in 100 µL of culture medium. Each test included Mtz, Abz, and Mbz as reference antiparasitic drugs, grow culture tubes (culture medium with trophozoites only), and blank tubes (culture medium only).

2.2.2. Trophozoite Culture Conditions

Antiprotozoal activity was evaluated against trophozoites of E. histolytica (strain HM1: IMSS), G. lamblia (isolate J10), and T. vaginalis (isolate MB: FF09). E. histolytica trophozoites were maintained axenically in BI-S-33 pH 6.5 medium supplemented with 10% calf serum (previously inactivated at 56 °C for 30 min (Microlab Laboratories, Mexico City, Mexico)). G. lamblia trophozoites were maintained axenically in TYI-S-33 medium, pH 6.8, supplemented with bovine bile and 10% fetal bovine serum previously inactivated (Microlab Laboratories, Mexico City, Mexico). T. vaginalis trophozoites were maintained axenically in modified Diamond’s medium pH 7.0 supplemented with 10% calf serum previously inactivated (Microlab Laboratories, Mexico City, Mexico). To determine the viability of the cultures and the number of trophozoites per milliliter, 0.4% trypan blue dye (In Vitro, Mexico City, Mexico) was used in a Neubauer chamber to guarantee viable cultures.

2.2.3. In Vitro Antiparasitic Activity Tests

To evaluate the antiparasitic effect of Abz and Mbz salts, the tube microdilution technique modified from Hernández-Ochoa [32] was used. A total of 2 × 104 trophozoites of G. lamblia and 1 × 104 trophozoites of E. histolytica or T. vaginalis were used. The trophozoites were exposed for 48 h at 37 °C with different concentrations of Abz and Mbz salts (2922–2.85 µM). As positive inhibition controls, the drugs Abz, Mbz, and Mtz were included under the same evaluation concentrations (2922 -2.85 µM), and as negative controls, trophozoite cultures without treatment and trophozoites with 0.1% DMSO (AppliChem, Ottoweg, Darmstadt, Germany) were used. After the exposure time, the percentage of cell viability and the percentage (%) of inhibition of trophozoite growth (% inhibition = 100 − % viability) were determined by microscopic counting, using 0.4% trypan blue staining (1:1, v/v) (In Vitro, Mexico City, Mexico) in a Neubauer chamber. Finally, the mean inhibitory concentration (IC50) was determined by linear regression using the concentration of compounds and the % inhibition. Three independent assays were performed in triplicate.

2.3. In Vitro Cytotoxicity Assays

2.3.1. Cell Line Culture Conditions

The cytotoxic activity was carried out on the Vero cell line (green monkey kidney cells: Cercopithecus aethiops) [31,33]). The cells were cultured in RPMI-1640 medium (In Vitro, Mexico City, Mexico), supplemented with 10% fetal bovine serum previously inactivated (Microlab Laboratories, Mexico City, Mexico), L-glutamine 2 mM, and 1% penicillin/streptomycin/amphotericin B (In Vitro, Mexico City, Mexico) at 37 °C with a 5% CO2 atmosphere. Cells were allowed to grow to a density of 85% and were subsequently harvested using a 0.05% trypsin–versene solution (In Vitro, Mexico City, Mexico) prior to each experiment. The viability and number of cells per milliliter were determined using 0.4% trypan blue dye (1:1, v/v) (In Vitro, Mexico City, Mexico) and a Neubauer chamber.

2.3.2. Cytotoxicity Assays

For the assay, cells were seeded in 96-well plates at concentrations of 1×104 cells/well and incubated for 24 h at 37 °C. After incubation, cells were treated with different concentrations (500 µM–0.97 µM) of Abz and Mbz salts; in each assay, the following were included as controls: cells with culture medium, cells with 0.1% DMSO (AppliChem, Ottoweg, Darmstadt, Germany), as well as the positive controls with the drugs Abz, Mbz, and Mtz. Cells were incubated for 48 h at 37 °C. The cytotoxic effect of the salts evaluated on Vero cells was determined using the colorimetric technique with the WST-1 reagent (2-(4-iodophenyl)-3-(4-nitrophenyl)-5-(2,4-disulphenyl)-2H-tetrazolium)(Roche Diagnostics GmbH, Mannheim, Germany), which allows for measuring cell proliferation and viability by reducing the tetrazolium salt WST-1 to formazan by cellular dehydrogenases—the amount of formazan formed is directly correlated with the number of metabolically active cells in the culture. In this way, the viability of the cells was measured with the optical density of the formazan products. With the results obtained, the average cytotoxic concentration (CC50) was determined by linear regression with the percentage of inhibition and logarithm of the concentration. Three independent assays were performed in duplicate.

2.3.3. Selectivity Index (SI)

To determine the selectivity of the antiprotozoal activity, the cytotoxicity profile of the evaluated compounds was used, calculating the SI, which is the quantitative relationship that exists between the cytotoxic activity against a mammalian cell line and the antiprotozoal activity of a certain compound (CC50 of the compounds evaluated on the Vero cell line / IC50 of the compounds evaluated on trophozoites) [31,33,34]. Normally, an index greater than 1 is considered good since the in vitro antiparasitic activity is more selective toward the parasite, while an index lower than 1 is considered more selective toward mammalian cells according to what was reported [34,35].

2.4. Statistical Analysis

All data are shown as mean ± standard deviation (SD). The mean inhibitory concentration (IC50) of each salt or compound was determined through linear regression, and 95% confidence intervals were also calculated. The mean cytotoxic concentration (CC50) was also calculated using linear regression. For the comparison of multiple groups, a one-way analysis of variance (ANOVA) was performed, followed by Dunnett’s post hoc test, considering a p value < 0.05 to be statistically significant. The analysis was performed using GraphPad Prism software version 8.0.2 (San Diego, CA, USA).

3. Results

3.1. In Vitro Antiparasitic Activity

The antiparasitic activity of the Abz and Mbz salts was evaluated in vitro against E. histolytica, G. lamblia, and T. vaginalis. The results are shown in Table 1 as IC50 values. Abz, Mbz, and Mtz were used as reference drugs.
The salts A2 and A3 exhibited activity against E. histolytica that was 1.9 and 1.8 times greater than Abz, with IC50 values of 37.95 and 39.93 µM, respectively, whereas salt A1 displayed no antiparasitic activity. All Mbz salts inhibited the growth of E. histolytica, with salt M3 showing the lowest IC50 (44.34 µM), rendering it 1.3 times more effective than Mbz. All three Abz salts were active against G. lamblia, with IC50 values ranging between 51.31 and 38.02 µM. Salt A3 increased its potency by 5.2 times compared to Abz. The salts M2 and M3 were 3.2- and 3.3-times more active than Mbz, whereas M1 showed no effect on G. lamblia. Regarding T. vaginalis, only salt A2 demonstrated an antiparasitic effect, enhancing its potency by 1.68 times in relation to Abz. Conversely, all Mbz salts exhibited antiparasitic effects against T. vaginalis, with salt M1 demonstrating the lowest IC50 value (24.17 µM). Finally, the Mtz control presented IC50 values of 16.08 and 16.16 µM for E. histolytica and T. vaginalis, respectively, values that were lower than those obtained for the Abz and Mbz salts (Table 1). However, the IC50 value for G. lamblia was 97.63 µM, while the IC50 value obtained for salts A2, A3, M2, and M3 ranged from 51.31 to 79.62 µM.
Even though Abz and Mbz salts have good antiprotozoal activity, A1 does not inhibit the growth of E. histolytica and T. vaginalis. Nonetheless, the rest of the salts evaluated behaved as potent antiprotozoal agents, in almost all cases performing even better than the reference controls Abz and Mbz.

3.2. In Vitro Cytotoxicity

Biological assays were performed on the Vero cell line to better understand the cytotoxic effects of these salts on human cells compared to the effects observed with protozoans. Cell viability was evaluated by colorimetric assay with the WST-1 reagent. The results are expressed in Figure 2 and Figure 3 as the percentage of cell viability (%CV). It is observed that the viability of Vero cells was not affected after being exposed to salts A1, A2, M2, and M3 at the highest concentration evaluated (500 µM) since a viability percentage greater than 98% was maintained. However, with salt A2, a decrease in cell viability was observed from the concentration of 250 µM (91%), and at the highest concentration evaluated, the viability was reduced to 37%.
On the other hand, with salt M1, a behavior similar to that of A2 is observed—as the concentration of the salt increases, cell viability decreases. Starting at 31.25 µM, a decrease (95%) in viability is observed, reaching 38% at the concentration of 125 µM. As expected, 0.1% of DMSO did not alter cell growth; similarly, this occurred with the controls Abz, Mbz, and Mtz, which presented viability percentages greater than 95%.
The CC50 was calculated using linear regression, determining the values to be 435.46 µM for salt A2 and 104.04 µM for salt M1 (Table 2). For the rest of the Abz and Mbz salts, as well as the controls, it was not possible to calculate the specific CC50 because they were not cytotoxic to Vero cells at the concentrations tested; therefore, it was assumed to be greater than 500 µM (Figure 1 and Figure 2).
The selectivity index (SI) results for the three evaluated protozoans are presented in Table 3. For the salts that exhibited no cytotoxic effect at the tested concentrations on the Vero cell line, a CC50 of 500 µM was used as the basis for the SI calculation. The SI exceeded 1 [34,35], indicating that the Abz and Mbz salts preferentially target protozoans.

4. Discussion

Our findings indicate that the selection of the chosen counterion for forming Abz and Mbz salts influences the antiparasitic activity against the tested parasites. Although the literature states that forming pharmaceutical salts does not alter the biological activity of the active pharmaceutical ingredient (API) [36], our in vitro findings contradict this assertion. We observed that G. lamblia A3 and M3 displayed the strongest antiparasitic effects—with A2 and M2 following—when compared to our references Mtz, Mbz, and Abz, indicating that a lower dosage is needed to achieve the equivalent antiparasitic effect (Table 1). A comparable behavior was noted with E. histolytica, as A2, M2, A3, and M3 demonstrated the most effective antiparasitic action in relation to Abz and Mbz; nevertheless, Mtz is the compound that showed the highest antiparasitic effect (Table 1). In conclusion, for T. vaginalis, the salt that exhibited the most effective antiparasitic properties was M1, which enhanced its effect compared to Mbz, whereas the other salts showed reduced or no activity against T. vaginalis.
In a similar way, Silva et al. [37] prepared mefloquine salts combined with sulfonic acids and assessed their antibacterial properties against Mycobacterium tuberculosis, emphasizing mesylate and tosylate for having lower minimum inhibitory concentration (MIC) values (26.3 and 22.7 µM, respectively) compared to the commercial salt mefloquine hydrochloride (MIC: 30.1 µM). Similarly, Madeira et al. [38] prepared organic salts of ciprofloxacin and norfloxacin and assessed their antibacterial effect on Staphylococcus aureus, Bacillus subtilis, and Klebsiella pneumoniae. The mesylate enhanced the antibacterial efficacy of ciprofloxacin against the three tested strains, leading to a better IC50 value (14.38–55.07 µM) in comparison to the reference drug (IC50 = 196.50 µM). Meanwhile, norfloxacin mesylate enhanced the antibacterial activity solely against Klebsiella pneumoniae (IC50 = 203.8 µM) when compared to norfloxacin (IC50 = 255.2 µM). These writers ascribe these impacts to enhancements in the physicochemical characteristics, enabling a higher quantity of the drug to penetrate the microbe’s interior to exert its action or even to influence the drug’s buildup within the microorganism.
Conversely, the entry of salt moiety into the protozoan should be the rate-limiting step since the cell membrane is selectively permeable, and the flow through it is mediated by ion channels and transmembrane proteins that move molecules across the lipid barrier, facilitating the exchange of ions and other molecules from the extracellular environment to the interior [39]. Therefore, it is possible that the salts present unique discrete interactions with the cell membrane due to interactions with lipids, carbohydrates, and membrane proteins, depending on the characteristics of the counterion, as outlined by Ferraz et al. [30,40].
In this instance, E. histolytica, G. lamblia, and T. vaginalis possess a plasma membrane with distinct composition, fluidity, and permeability, indicating that the interaction of our sulfonates with the cell surface varies for each salt. Nonetheless, suitable permeability investigations are necessary to clarify the combined effect of the counterion, the drug, and the membrane.
Moreover, it is crucial to consider the toxicity of counterions when formulating a pharmaceutical salt [41]. Our findings indicated that the salts do not exhibit cytotoxicity toward Vero cells, except for A2 and M1 (Figure 2 and Figure 3). This phenomenon has been noted before, indicating that antibiotic sulfonate salts do not influence cell viability [37,42]. Nonetheless, it is essential to compare these values according to their antiparasitic effects; hence, we calculated the selectivity index (SI) to reflect the preference between parasites and host cells, with an SI > 1 considered the minimum threshold to demonstrate a preference for the parasites [34,35,43].

5. Conclusions

In conclusion, our findings showed that tosylate salts effectively inhibit the growth of E. histolytica and G. lamblia, outperforming the control drugs Abz, Mbz, and Mtz, all while preserving selectivity for parasites. Mesylate salts also effectively hinder the growth of E. histolytica and G. lamblia; however, A2 exhibited cytotoxic effects on kidney cells. Moreover, besylate salts reduce their effectiveness against G. lamblia and E. histolytica and are not an appropriate substitute for curtailing the proliferation of T. vaginalis. Therefore, it is crucial to emphasize that A3 and M3 are potential drug salts effective against protozoan parasitic infections. Ultimately, our study is consistent with others that examine how the use of sulfonates as counterions influences the antimicrobial efficacy of the parent compound, either positively or negatively.

Author Contributions

Conceptualization, M.G.B.-P. and O.T.-A.; methodology, M.G.B.-P. and J.G.-G.; software, J.R.-I.; validation, B.E.D.-M. and O.T.-A.; formal analysis, J.R.-I.; investigation, M.G.B.-P.; data curation, M.G.B.-P. and B.E.D.-M.; writing—original draft preparation, J.G.-G., D.D.-M. and M.G.B.-P.; writing—review and editing, M.G.B.-P., D.D.-M. and J.R.-I.; visualization, B.E.D.-M.; supervision, O.T.-A.; project administration; O.T.-A. All authors have read and agreed to the published version of the manuscript.

Funding

This research was funded by the “Secretaría de Ciencia, Humanidades, Tecnología e Innovación (SECIHTI), México” with grant number 745283 (CVU: 741821).

Institutional Review Board Statement

Not applicable.

Informed Consent Statement

Not applicable.

Data Availability Statement

All relevant data can be found in the article. Taken in part from the experimental work of Ph.D. student Miriam Guadalupe Barón Pichardo.

Acknowledgments

The Authors are grateful to María Esther Ramírez Moreno from the National School of Medicine and Homeopathy of the National Polytechnic Institute; to Martha Ponce Macotela from the Laboratory of Experimental Parasitology at the National Institute of Pediatrics for the donation of clinical isolates of G. lamblia J10; to Moisés León Juárez of the National Institute of Perinatology Unit 1 for the donation of the Vero cell line; to the Secretaría de Ciencia, Humanidades, Tecnología e Innovación (Secihti, México) for the scholarship with grant number 745283 (CVU 741821); and to the Faculty of Pharmacy at the Autonomous University of the State of Morelos for the facilities provided to carry out the project.

Conflicts of Interest

The authors declare no conflicts of interest.

Abbreviations

The following abbreviations are used in this manuscript:
ABZAlbendazole
APIActive pharmaceutical ingredient
CC50Cytotoxic concentration 50%
DMSODimethyl sulfoxide
DNADeoxyribonucleic acid
IC50Inhibitory concentration 50%
MBZMebendazole
MTZMetronidazole
NMRNuclear Magnetic Resonance
OTCOver the counter
PXRDPowder X-ray diffraction
SISelectivity index
%CVCell viability percentage

References

  1. Flores-Carrillo, P.; Velázquez-López, J.M.; Aguayo-Ortiz, R.; Hernández-Campos, A.; Trejo-Soto, P.J.; Yépez-Mulia, L.; Castillo, R. Synthesis, antiprotozoal activity, and chemoinformatic analysis of 2-(methylthio)-1H-benzimidazole-5-carboxamide derivatives: Identification of new selective giardicidal and trichomonicidal compounds. Eur. J. Med. Chem. 2017, 137, 211–220. [Google Scholar] [CrossRef] [PubMed]
  2. Carrero, J.C.; Reyes-López, M.; Serrano-Luna, J.; Shibayama, M.; Unzueta, J.; León-Sicairos, N.; De la Garza, M. Intestinal amoebiasis: 160 years of its first detection and still remains as a health problem in developing countries. Int. J. Med. Microbiol. 2020, 310, 151358. [Google Scholar] [CrossRef] [PubMed]
  3. Kantor, M.; Abrantes, A.; Estevez, A.; Schiller, A.; Torrent, J.; Gascon, J.; Hernandez, R.; Ochner, C. Entamoeba Histolytica: Updates in Clinical Manifestation, Pathogenesis, and Vaccine Development. Can. J. Gastroenterol. Hepatol. 2018, 2018, 4601420. [Google Scholar] [CrossRef] [PubMed]
  4. Adam, R.D. Giardia duodenalis: Biology and Pathogenesis. Clin. Microbiol. Rev. 2021, 34, 4. [Google Scholar] [CrossRef]
  5. El-Kady, A.M.; Abdel-Rahman, I.A.M.; Fouad, S.S.; Allemailem, K.S.; Istivan, T.; Ahmed, S.F.M.; Hasan, A.S.; Osman, H.A.; Elshabrawy, H.A. Pomegranate Peel Extract Is a Potential Alternative Therapeutic for Giardiasis. Antibiotics 2021, 10, 705. [Google Scholar] [CrossRef]
  6. Kirkcaldy, R.D.; Augostini, P.; Asbel, L.E.; Bernstein, K.T.; Kerani, R.P.; Mettenbrink, C.J.; Pathela, P.; Schwebke, J.R.; Secor, W.E.; Workowski, K.A.; et al. Trichomonas vaginalis antimicrobial drug resistance in 6 US cities, STD Surveillance Network, 2009–2010. Emerg. Infect. Dis. 2012, 18, 939–943. [Google Scholar] [CrossRef]
  7. Hashemi, N.; Ommi, D.; Kheyri, P.; Khamesipour, F.; Setzer, W.N.; Benchimol, M. A review study on the anti-trichomonas activities of medicinal plants. Int. J. Parasitol. Drugs Drug Resist. 2021, 15, 92–104. [Google Scholar] [CrossRef]
  8. Daneman, N.; Cheng, Y.; Gomes, T.; Guan, J.; Mamdani, M.M.; Saxena, F.E.; Juurlink, D.N. Metronidazole-associated Neurologic Events: A Nested Case-control Study. Clin. Infect. Dis. 2021, 72, 2095–2100. [Google Scholar]
  9. Wongstitwilairoong, B.; Anothaisintawee, T.; Ruamsap, N.; Lertsethtakarn, P.; Kietsiri, P.; Oransathid, W.; Oransathid, W.; Gonwong, S.; Silapong, S.; Suksawad, U.; et al. Prevalence of Intestinal Parasitic Infections, Genotypes, and Drug Susceptibility of Giardia lamblia among Preschool and School-Aged Children: A Cross-Sectional Study in Thailand. Trop. Med. Infect. Dis. 2023, 8, 394. [Google Scholar] [CrossRef]
  10. Argüello-García, R.; Leitsch, D.; Skinner-Adams, T.; Ortega-Pierres, M.G. Drug resistance in Giardia: Mechanisms and alternative treatments for Giardiasis. Adv. Parasitol. 2020, 107, 201–282. [Google Scholar] [CrossRef]
  11. Singh, A.; Banerjee, T.; Shukla, S.K.; Upadhyay, S.; Verma, A. Creep in nitroimidazole inhibitory concentration among the Entamoeba histolytic isolates causing amoebic liver abscess and screening of andrographolide as a repurposing drug. Sci. Rep. 2023, 13, 12192. [Google Scholar] [CrossRef]
  12. Mabaso, N.; Abbai, N. Distribution of genotypes in relation to metronidazole susceptibility patterns in Trichomonas vaginalis isolated from South African pregnant women. Parasitol. Res. 2021, 120, 2233–2241. [Google Scholar] [CrossRef] [PubMed]
  13. Mørch, K.; Hanevik, K.; Robertson, L.J.; Strand, E.A.; Langeland, N. Treatment-ladder and genetic characterisation of parasites in refractory giardiasis after an outbreak in Norway. J. Infect. 2008, 56, 268–273. [Google Scholar] [CrossRef] [PubMed]
  14. Anichina, K.; Mavrova, A.; Vuchev, D. Benzimidazoles Containing Piperazine Skeleton at C-2 Position as Promising Tubulin Modulators with Anthelmintic and Antineoplastic Activity. Pharmaceuticals 2023, 16, 1518. [Google Scholar] [CrossRef]
  15. Benchimol, M.; Gadelha, A.P.; De Souza, W. Ultrastructural Alterations of the Human Pathogen Giardia intestinalis after Drug Treatment. Pathogens 2023, 12, 810. [Google Scholar] [CrossRef]
  16. Liang, Z.; Chen, M.; Yan, Y.; Chen, D.; Xie, S. Nanocrystal Suspensions for Enhancing the Oral Absorption of Albendazole. Nanomaterials 2022, 12, 3032. [Google Scholar] [CrossRef]
  17. Ding, Y.; Zhiyuan, Z.; Ding, C.; Shufeng, X.; Zhe, X. The Use of Cyclodextrin Inclusion Complexes to Increase the Solubility and Pharmacokinetic Profile of Albendazole. Molecules 2023, 28, 7295. [Google Scholar] [CrossRef]
  18. Soleymani, N.; Sadr, S.; Santucciu, C.; Rahdar, A.; Masala, G.; Borji, H. Evaluation of the In-Vitro Effects of Albendazole, Mebendazole, and Praziquantel Nanocapsules against Protoscolices of Hydatid Cyst. Pathogens 2024, 13, 790. [Google Scholar] [CrossRef]
  19. Suzuki, K.; Kawakami, K.; Fukiage, M.; Oikawa, M.; Nishida, Y.; Matsuda, M.; Fujita, T. Relevance of Liquid-Liquid Phase Separation of Supersaturated Solution in Oral Absorption of Albendazole from Amorphous Solid Dispersions. Pharmaceutics 2020, 13, 220. [Google Scholar] [CrossRef]
  20. Fateh, R.; Norouzi, R.; Mirzaei, E.; Nissapatron, V.; Nawaz, M.; Khalifeh-Gholi, M.; Hamta, A.; Adnani Sadati, S.J.; Siyadatpanah, A.; Fattahi Bafghi, A. In vitro evaluation of albendazole nanocrystals against Echinococcus granulosus protoscolices. Ann. Parasitol. 2021, 67, 203–212. [Google Scholar] [CrossRef]
  21. Castro Alpízar, J.A.; Vargas Monge, R.; Madrigal Redondo, G.; Pacheco Molina, J.A. Development of novel microstructured lipid carriers for dissolution rate enhancement of albendazole. Int. J. Appl. Pharm. 2020, 12, 173–178. [Google Scholar]
  22. Eriksen, J.B.; Christensen, S.B.; Bauer-Brandl, A.; Brandl, M. Dissolution/permeation of albendazole in the presence of cyclodextrin and bile salts: A mechanistic in-vitro study into factors governing oral bioavailability. J. Pharm. Sci. 2021, 111, 1667–1673. [Google Scholar] [PubMed]
  23. Pacheco, P.A.; Rodrigues, L.N.C.; Ferreira, J.F.S.; Gomes, A.C.P.; Veríssimo, C.J.; Louvandini, H.; Costa, R.L.D.; Katiki, L.M. Inclusion complex and nanoclusters of cyclodextrin to increase the solubility and efficacy of albendazole. Parasitol. Res. 2018, 117, 705–712. [Google Scholar]
  24. Meena, A.K.; Sharma, K.; Kandaswamy, M.; Rajagopal, S.; Mullangi, R. Formulation development of an albendazole self-emulsifying drug delivery system (SEDDS) with enhanced systemic exposure. Acta Pharm. 2012, 62, 563–580. [Google Scholar] [PubMed]
  25. Bolla, G.; Nangia, A. Novel pharmaceutical salts of albendazole. CrystEngComm 2018, 20, 6394–6405. [Google Scholar]
  26. Elder, D.P.; Delaney, E.; Teasdale, A.; Eyley, S.; Reif, V.D.; Jacq, K.; Facchine, K.L.; Oestrich, R.S.; Sandra, P.; David, F. The utility of sulfonate salts in drug development. J. Pharm. Sci. 2010, 99, 2948–2961. [Google Scholar] [CrossRef]
  27. Thackaberry, E.A. Non-clinical toxicological considerations for pharmaceutical salt selection. Expert. Opin. Drug Metab. Toxicol. 2012, 8, 1419–1433. [Google Scholar] [CrossRef]
  28. Verbeek, R.K.; Kanfer, I.; Walker, R.B. Generic substitution: The use of medicinal products containing different salts and implications for safety and efficacy. Eur. J. Pharm. Sci. 2006, 28, 1–6. [Google Scholar]
  29. Mesallati, H.; Umerska, A.; Tajber, L. Fluoroquinolone Amorphous Polymeric Salts and Dispersions for Veterinary Uses. Pharmaceutics 2019, 11, 268. [Google Scholar] [CrossRef]
  30. Ferraz, R.; Silva, D.; Dias, A.R.; Dias, V.; Santos, M.M.; Pinheiro, L.; Prudêncio, C.; Noronha, J.P.; Petrovski, Ž.; Branco, L.C. Synthesis and Antibacterial Activity of Ionic Liquids and Organic Salts Based on Penicillin G and Amoxicillin hydrolysate Derivatives against Resistant Bacteria. Pharmaceutics 2020, 12, 221. [Google Scholar] [CrossRef]
  31. Duque-Montaño, B.E.; Gómez-Caro, L.C.; Sanchez-Sanchez, M.; Monge, A.; Hernández-Baltazar, E.; Rivera, G.; Torres-Angeles, O. Synthesis and in vitro evaluation of new ethyl and methyl quinoxaline-7-carboxylate 1,4-di-N-oxide against Entamoeba histolytic. Bioorganic Med. Chem. 2013, 21, 4550–4558. [Google Scholar] [CrossRef] [PubMed]
  32. Hernández-Ochoa, B.; Martínez-Rosas, V.; Morales-Luna, L.; Calderón-Jaimes, E.; Rocha-Ramírez, L.M.; Ortega-Cuellar, D.; Rufino-González, Y.; González-Valdez, A.; Arreguin-Espinosa, R.; Enríquez-Flores, S.; et al. Pyridyl Methylsulfinyl Benzimidazole Derivatives as Promising Agents against Giardia lamblia and Trichomonas vaginalis. Molecules 2022, 27, 8902. [Google Scholar] [CrossRef] [PubMed]
  33. Carapina da Silva, C.; Silveira, P.R.; Nascimento das Neves, R.; Dié Alves, M.S.; Sena-Lopes, A.; Moura, S.; Borsuk, S.; Pereira de Pereira, C.M. Antiparasitic activity of synthetic curcumin monocarbonyl analogues against Trichomonas vaginalis. Biomed. Pharmacother. 2019, 111, 367–377. [Google Scholar] [CrossRef] [PubMed]
  34. Domínguez, V.I.G. Actividad Anti-Giardia In Vitro de los Compuestos de Foeniculum Vulgare y Citrus Aurantifolia. Master’s Thesis, Autonomous University of Nuevo León, San Nicolás de los Garza, Mexico, 2015. [Google Scholar]
  35. Quispe, A.; Zavala, D.; Rojas, J.; Posso, M.; Vaisberg, A. Efecto citotóxico selectivo in vitro de Muricin H (Acetogenina de Annona muricata) en cultivos celulares de cáncer de pulmón. Rev. Peru. Med. Exp. Y Salud Pública 2006, 23, 265–269. [Google Scholar]
  36. Ortiz, L.J.C.; Balderrabano, L.A. Importancia de las sales orgánicas en la industria farmacéutica. Rev. Mex. Cienc. Farm. 2017, 48, 18–42. [Google Scholar]
  37. Silva, D.; Lopes, M.V.C.; Petrovski, Ž.; Santos, M.M.; Santos, J.P.; Yamada-Ogatta, S.F.; Bispo, M.L.F.; de Souza, M.V.N.; Duarte, A.R.C.; Lourenço, M.C.S.; et al. Novel Organic Salts Based on Mefloquine: Synthesis, Solubility, Permeability, and In Vitro Activity against Mycobacterium tuberculosis. Molecules 2022, 27, 5167. [Google Scholar] [CrossRef]
  38. Madeira, D.; Alves, C.; Silva, J.; Florindo, C.; Costa, A.; Petrovski, Ž.; Marrucho, I.M.; Pedrosa, R.; Santos, M.M.; Branco, L.C. Fluoroquinolone-Based Organic Salts and Ionic Liquids as Highly Bioavailable Broad-Spectrum Antimicrobials. Proceedings 2021, 78, 3. [Google Scholar] [CrossRef]
  39. Jimenez, V.; Mesones, S. Down the membrane hole: Ion channels in protozoan parasites. PLoS Pathog. 2022, 18, e1011004. [Google Scholar] [CrossRef]
  40. Ferraz, R.; Santarém, N.; Santos, A.F.M.; Jacinto, M.L.; Cordeiro-da-Silva, A.; Prudêncio, C.; Noronha, J.P.; Branco, L.C.; Petrovski, Ž. Synthesis and Biological Evaluation of Amphotericin B Formulations Based on Organic Salts and Ionic Liquids against Leishmania infantum. Antibiotics 2022, 11, 1841. [Google Scholar] [CrossRef]
  41. Saal, C.; Becker, A. Pharmaceutical salts: A summary on doses of salt formers from the Orange Book. Eur. J. Pharm. Sci. 2017, 49, 614–623. [Google Scholar] [CrossRef]
  42. Florindo, C.; Costa, A.; Matos, C.; Nunes, S.L.; Matias, A.N.; Duarte, C.M.M.; Rebelo, L.P.N.; Branco, L.C.; Marrucho, I.M. Novel organic salts based on fluoroquinolone drugs: Synthesis, bioavailability and toxicological profiles. Int. J. Pharm. 2014, 469, 179–189. [Google Scholar] [CrossRef] [PubMed]
  43. Camacho, M.D.R.; Phillipson, J.D.; Croft, S.L.; Solis, P.N.; Marshall, S.J.; Ghazanfar, S. Screening of plant extracts for antiprotozoal and cytotoxic activities. J. Ethnopharmacol. 2003, 89, 185–191. [Google Scholar] [CrossRef] [PubMed]
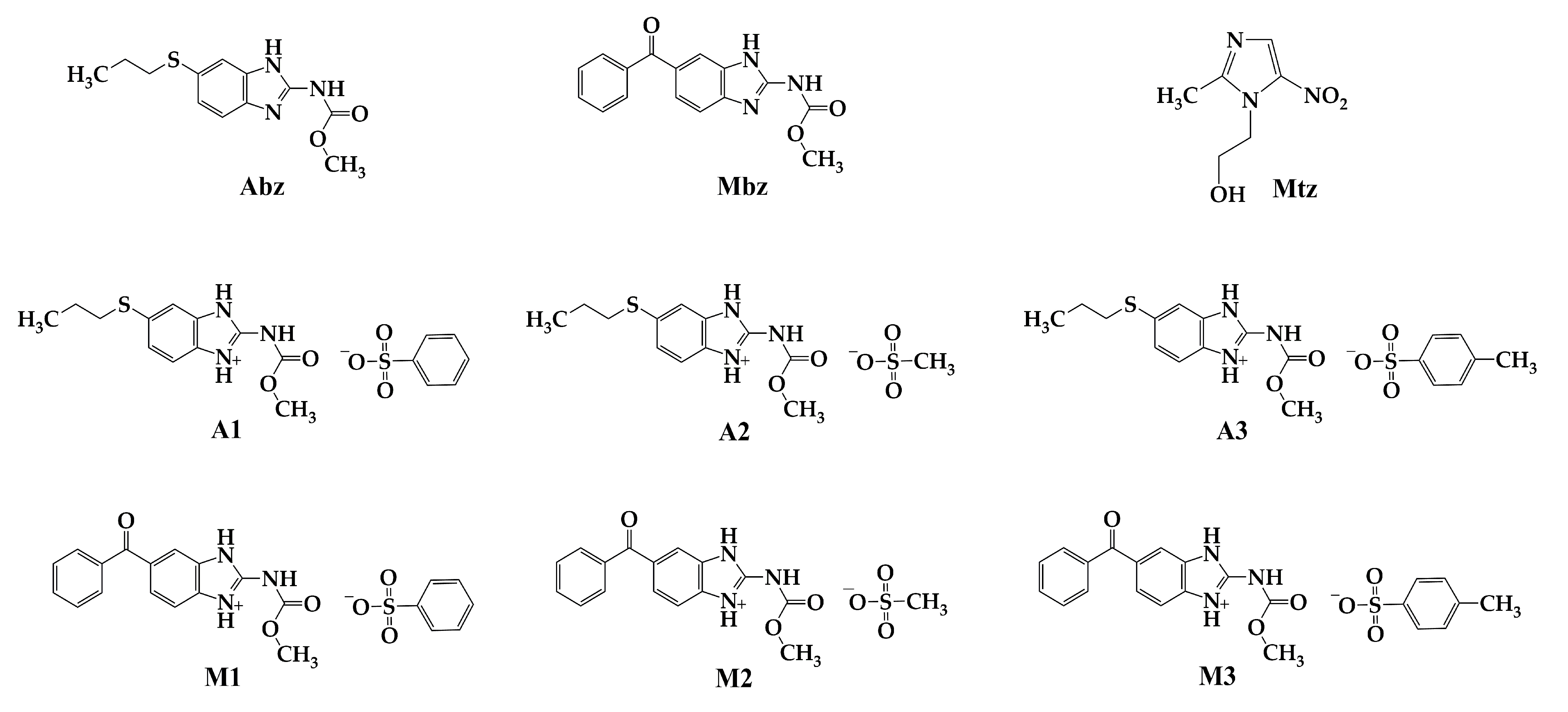
Figure 1. Chemical structure of Abz and Mbz salts, as well as reference controls. A1: albendazole with benzenesulfonic acid; A2: albendazole with methanesulfonic acid; A3: albendazole with p-toluenesulfonic acid; M1: mebendazole with benzenesulfonic acid; M2: mebendazole with methanesulfonic acid; M3: mebendazole with p-toluenesulfonic acid; Abz: albendazole; Mbz: mebendazole; and Mtz: metronidazole.
Figure 1. Chemical structure of Abz and Mbz salts, as well as reference controls. A1: albendazole with benzenesulfonic acid; A2: albendazole with methanesulfonic acid; A3: albendazole with p-toluenesulfonic acid; M1: mebendazole with benzenesulfonic acid; M2: mebendazole with methanesulfonic acid; M3: mebendazole with p-toluenesulfonic acid; Abz: albendazole; Mbz: mebendazole; and Mtz: metronidazole.
Microbiolres 16 00077 g001
Figure 2. Effects on cell viability of Abz salts on Vero cell line after 48 h of exposure. Cells without treatment: 0.1% DMSO solvent control. Results are presented as the mean ± standard deviation of three independent assays performed in duplicate. The asterisk above the bar represents statistical significance between the salts and the positive control (Abz) at p < 0.05.
Figure 2. Effects on cell viability of Abz salts on Vero cell line after 48 h of exposure. Cells without treatment: 0.1% DMSO solvent control. Results are presented as the mean ± standard deviation of three independent assays performed in duplicate. The asterisk above the bar represents statistical significance between the salts and the positive control (Abz) at p < 0.05.
Microbiolres 16 00077 g002
Figure 3. Effect on cell viability of Mbz salts on Vero cell line after 48 h of exposure. Cells without treatment: 0.1% DMSO solvent control. Results are presented as the mean ± standard deviation of three independent assays performed in duplicate. The asterisk above the bar represents statistical significance between the salts and the positive control (Mbz) at p < 0.05.
Figure 3. Effect on cell viability of Mbz salts on Vero cell line after 48 h of exposure. Cells without treatment: 0.1% DMSO solvent control. Results are presented as the mean ± standard deviation of three independent assays performed in duplicate. The asterisk above the bar represents statistical significance between the salts and the positive control (Mbz) at p < 0.05.
Microbiolres 16 00077 g003
Table 1. Antiparasitic activity of Abz and Mbz salts.
Table 1. Antiparasitic activity of Abz and Mbz salts.
Antiparasitic Activity
E. histolyticaG. lambliaT. vaginalis
Salt/Compound
IC50 [µM]
Confidence interval
Mtz 1A3 bMtz 3
16.08 ± 0.6951.31 ± 1.2316.16 ± 0.66
(15.40–16.77) a(50.09–52.52) a(15.50–16.81) a
A2 bM3 cM1 c
37.95 ± 0.7277.98 ± 0.7024.17 ± 0.15
(37.24–38.66) a(77.28–78.67) a(24.01–24.33) a
A3 bA2 bMbz 2
39.93 ± 0.8178.05 ± 0.4336.59 ± 0.69
(39.14–40.73) a(77.62–78.05) a(35.91– 37.28) a
M3 cM2 cM2 c
44.34 ± 0.4579.62 ± 0.9949.86 ± 0.80
(43.89–44.79) a(78.64–80.59) a(49.07–50.64) a
M2Mtz3M3 c
57.72 ± 0.7097.63 ± 1.4362.59 ± 1.44
(57.03–58.41) a(96.22–99.04) a(61.18–64.01) a
Mbz 2A1 bA2 b
59.81 ± 1.18138.02 ± 1.41125.53 ± 1.80
(58.65–60.98) a(136.64–139.41) a(123.76–127.30) a
Abz 3Mbz 2Abz1
73.51 ± 1.09262.74 ± 2.49211.71 ± 2.18
(72.44–74.59) a(260.29–265.19) a(209.57–213.85) a
M1 cAbz3A1
128.05 ± 2.69270.66 ± 1.89N. E. 4
(125.41–130.69) a(263.89–277.44) a
A1M1A3
N. E. 4N. E. 4N. E. 4
1 Metronidazole; 2 mebendazole; 3 albendazole; 4 no effect at the evaluated concentrations; a 95% confidence intervals, α: 0.05; b statistical significance between the salts and the positive control (Abz) at p < 0.05; c statistical significance between the salts and the positive control (Mbz) at p < 0.05. Results are represented as the mean ± standard deviation of three independent assays performed in duplicate.
Table 2. In vitro cytotoxicity values of Abz and Mbz salts in Vero cell line.
Table 2. In vitro cytotoxicity values of Abz and Mbz salts in Vero cell line.
Cytotoxic Activity
Salt/CompoundCC50 (µM)
Confidence Interval
A1>500
A2435.46 ± 2.17
(433.33–437.59) a
A3>500
M1104.04 ± 3.85
(100.26–107.82) a
M2>500
M3>500
Abz>500
Mbz>500
Mtz>500
a 95% confidence intervals, α: 0.05. The results are represented as the means of three independent tests performed in duplicate, ± SD: standard deviation.
Table 3. Selectivity index of Abz and Mbz salts.
Table 3. Selectivity index of Abz and Mbz salts.
Selectivity Index
Salt/CompoundE. histolyticaG. lambliaT. vaginalis
A1N. E.3.62N. E.
A211.475.573.46
A312.529.74N. E.
M10.81N. E.4.30
M28.666.2710.02
M311.276.417.98
Abz6.801.842.36
Mbz8.351.9013.66
Mtz31.095.1230.94
N.E. No effect on the evaluated concentrations.
Disclaimer/Publisher’s Note: The statements, opinions and data contained in all publications are solely those of the individual author(s) and contributor(s) and not of MDPI and/or the editor(s). MDPI and/or the editor(s) disclaim responsibility for any injury to people or property resulting from any ideas, methods, instructions or products referred to in the content.

Share and Cite

MDPI and ACS Style

Barón-Pichardo, M.G.; Gómez-García, J.; Durán-Martínez, D.; Torres-Angeles, O.; Rivera-Islas, J.; Duque-Montaño, B.E. Antiprotozoal Activity and Selectivity Index of Organic Salts of Albendazole and Mebendazole. Microbiol. Res. 2025, 16, 77. https://doi.org/10.3390/microbiolres16040077

AMA Style

Barón-Pichardo MG, Gómez-García J, Durán-Martínez D, Torres-Angeles O, Rivera-Islas J, Duque-Montaño BE. Antiprotozoal Activity and Selectivity Index of Organic Salts of Albendazole and Mebendazole. Microbiology Research. 2025; 16(4):77. https://doi.org/10.3390/microbiolres16040077

Chicago/Turabian Style

Barón-Pichardo, Miriam Guadalupe, Janeth Gómez-García, David Durán-Martínez, Oscar Torres-Angeles, Jesús Rivera-Islas, and Blanca Estela Duque-Montaño. 2025. "Antiprotozoal Activity and Selectivity Index of Organic Salts of Albendazole and Mebendazole" Microbiology Research 16, no. 4: 77. https://doi.org/10.3390/microbiolres16040077

APA Style

Barón-Pichardo, M. G., Gómez-García, J., Durán-Martínez, D., Torres-Angeles, O., Rivera-Islas, J., & Duque-Montaño, B. E. (2025). Antiprotozoal Activity and Selectivity Index of Organic Salts of Albendazole and Mebendazole. Microbiology Research, 16(4), 77. https://doi.org/10.3390/microbiolres16040077

Article Metrics

Back to TopTop