Biodiversity of Soil Bacterial Communities from the Sasso Fratino Integral Nature Reserve
Abstract
:1. Introduction
2. Materials and Methods
2.1. Study Area
2.2. Biological Samples Collection
2.3. Chemical Characterisation of the Soil Samples
2.4. Genomic DNA Extraction and Next Generation Sequencing
2.5. Amplicon Sequence Variant (ASV) Inference
2.6. Count and Isolation of Cultivable Bacteria
2.7. Bacterial Strains and Growth Conditions
2.8. Random Amplified Polymorphic DNA (RAPD) Analysis
2.9. S rRNA Gene Sequences
2.10. Phylogenetic Tree Analysis
2.11. Antibiotics Resistance Profile of Cultivable Bacteria
2.12. Statistical Analysis
3. Results
3.1. Chemical Features of Soil Samples
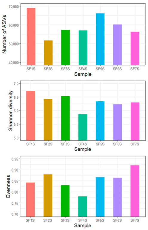
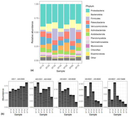
3.2. Characterisation of Total Bacterial Communities
3.3. Isolation of Cultivable Bacteria
3.4. Structure and Composition of Cultivable Bacterial Communities: RAPD and 16S rRNA Gene Analysis
3.5. Antibiotics Resistance Profile of Cultivable Bacteria
4. Discussion
5. Conclusions
Supplementary Materials
Author Contributions
Funding
Institutional Review Board Statement
Informed Consent Statement
Data Availability Statement
Conflicts of Interest
References
- Category Ia: Strict Nature Reserve|IUCN. Available online: https://www.iucn.org/theme/protected-areas/about/protected-areas-categories/category-ia-strict-nature-reserve (accessed on 29 January 2021).
- Gonnelli, V.; Bottacci, A.; Quilghini, G.; Zoccola, A. Contributo alla conoscenza della flora della Riserva Naturale Integrale di Sasso Fratino. Quad. Stud. Nat. Romagna 2006, 23, 27–75. [Google Scholar]
- Bianchi, L.; Bottacci, A.; Calamini, G.; Maltoni, A.; Mariotti, B.; Quilghini, G.; Salbitano, F.; Tani, A.; Zoccola, A.; Paci, M. Structure and dynamics of a beech forest in a fully protected area in the northern Apennines (Sasso Fratino, Italy). IForest 2011, 4, 136–144. [Google Scholar] [CrossRef] [Green Version]
- Arma dei Carabinieri-Home. Available online: http://www.carabinieri.it/ (accessed on 5 February 2021).
- Ancient and Primeval Beech Forests of the Carpathians and Other Regions of Europe-UNESCO World Heritage Centre. Available online: http://whc.unesco.org/en/list/1133/ (accessed on 29 January 2021).
- Chazdon, R.L. Beyond deforestation: Restoring forests and ecosystem services on degraded lands. Science 2008, 320, 1458–1460. [Google Scholar] [CrossRef] [PubMed] [Green Version]
- Hartmann, M.; Niklaus, P.A.; Zimmermann, S.; Schmutz, S.; Kremer, J.; Abarenkov, K.; Lüscher, P.; Widmer, F.; Frey, B. Resistance and resilience of the forest soil microbiome to logging-associated compaction. ISME J. 2014, 8, 226–244. [Google Scholar] [CrossRef]
- Barrios, E. Soil biota, ecosystem services and land productivity. Ecol. Econ. 2007, 64, 269–285. [Google Scholar] [CrossRef]
- Fierer, N. Embracing the unknown: Disentangling the complexities of the soil microbiome. Nat. Rev. Microbiol. 2017, 15, 579–590. [Google Scholar] [CrossRef] [PubMed]
- Allison, S.D.; Martiny, J.B.H. Resistance, resilience, and redundancy in microbial communities. Proc. Natl. Acad. Sci. USA 2008, 105, 11512–11519. [Google Scholar] [CrossRef] [Green Version]
- Roesch, L.F.W.; Fulthorpe, R.R.; Riva, A.; Casella, G.; Hadwin, A.K.M.; Kent, A.D.; Daroub, S.H.; Camargo, F.A.O.; Farmerie, W.G.; Triplett, E.W. Pyrosequencing enumerates and contrasts soil microbial diversity. ISME J. 2007, 1, 283–290. [Google Scholar] [CrossRef] [PubMed]
- He, Z.; Van Nostrand, J.D.; Deng, Y.; Zhou, J. Development and applications of functional gene microarrays in the analysis of the functional diversity, composition, and structure of microbial communities. Front. Environ. Sci. Eng. China 2011, 5, 1–20. [Google Scholar] [CrossRef]
- Fierer, N.; Jackson, R.B. The diversity and biogeography of soil bacterial communities. Proc. Natl. Acad. Sci. USA 2006, 103, 626–631. [Google Scholar] [CrossRef] [Green Version]
- López-Lozano, N.E.; Heidelberg, K.B.; Nelson, W.C.; García-Oliva, F.; Eguiarte, L.E.; Souza, V. Microbial secondary succession in soil microcosms of a desert oasis in the Cuatro Cienegas Basin, Mexico. PeerJ 2013, 2013, e47. [Google Scholar] [CrossRef] [PubMed] [Green Version]
- Deng, J.; Yin, Y.; Zhu, W.; Zhou, Y. Variations in soil bacterial community diversity and structures among different revegetation types in the Baishilazi nature reserve. Front. Microbiol. 2018, 9, 2874. [Google Scholar] [CrossRef] [Green Version]
- Fonseca, J.P.; Hoffmann, L.; Cabral, B.C.A.; Dias, V.H.G.; Miranda, M.R.; de Azevedo Martins, A.C.; Boschiero, C.; Bastos, W.R.; Silva, R. Contrasting the microbiomes from forest rhizosphere and deeper bulk soil from an Amazon rainforest reserve. Gene 2018, 642, 389–397. [Google Scholar] [CrossRef] [PubMed]
- Priya, G.; Lau, N.S.; Furusawa, G.; Dinesh, B.; Foong, S.Y.; Amirul, A.A.A. Metagenomic insights into the phylogenetic and functional profiles of soil microbiome from a managed mangrove in Malaysia. Agri Gene 2018, 9, 5–15. [Google Scholar] [CrossRef]
- Herlemann, D.P.R.; Labrenz, M.; Jürgens, K.; Bertilsson, S.; Waniek, J.J.; Andersson, A.F. Transitions in bacterial communities along the 2000 km salinity gradient of the Baltic Sea. ISME J. 2011, 5, 1571–1579. [Google Scholar] [CrossRef] [PubMed] [Green Version]
- Kozich, J.J.; Westcott, S.L.; Baxter, N.T.; Highlander, S.K.; Schloss, P.D. Development of a dual-index sequencing strategy and curation pipeline for analyzing amplicon sequence data on the miseq illumina sequencing platform. Appl. Environ. Microbiol. 2013, 79, 5112–5120. [Google Scholar] [CrossRef] [PubMed] [Green Version]
- Caporaso, J.G.; Lauber, C.L.; Walters, W.A.; Berg-Lyons, D.; Huntley, J.; Fierer, N.; Owens, S.M.; Betley, J.; Fraser, L.; Bauer, M.; et al. Ultra-high-throughput microbial community analysis on the Illumina HiSeq and MiSeq platforms. ISME J. 2012, 6, 1621–1624. [Google Scholar] [CrossRef] [Green Version]
- Martin, M. Cutadapt removes adapter sequences from high-throughput sequencing reads. EMBnet. J. 2011, 17, 10. [Google Scholar] [CrossRef]
- Callahan, B.J.; McMurdie, P.J.; Rosen, M.J.; Han, A.W.; Johnson, A.J.A.; Holmes, S.P. DADA2: High-resolution sample inference from Illumina amplicon data. Nat. Methods 2016, 13, 581–583. [Google Scholar] [CrossRef] [Green Version]
- R: The R Project for Statistical Computing. Available online: https://www.r-project.org/ (accessed on 29 January 2021).
- Quast, C.; Pruesse, E.; Yilmaz, P.; Gerken, J.; Schweer, T.; Yarza, P.; Peplies, J.; Glöckner, F.O. The SILVA ribosomal RNA gene database project: Improved data processing and web-based tools. Nucleic Acids Res. 2013, 41, D590. [Google Scholar] [CrossRef] [PubMed]
- McMurdie, P.J.; Holmes, S. phyloseq: An R Package for Reproducible Interactive Analysis and Graphics of Microbiome Census Data. PLoS ONE 2013, 8, e61217. [Google Scholar] [CrossRef] [Green Version]
- Mori, E.; Liò, P.; Daly, S.; Damiani, G.; Perito, B.; Fani, R. Molecular nature of RAPD markers from Haemophilus influenzae Rd genome. Res. Microbiol. 1999, 150, 83–93. [Google Scholar] [CrossRef]
- Di Cello, F.; Fani, R. A molecular strategy for the study of natural bacterial communities by PCR-based techniques. Minerva Biotecnol. 1996, 8, 126–134. [Google Scholar]
- Castronovo, L.M.; Calonico, C.; Ascrizzi, R.; Del Duca, S.; Delfino, V.; Chioccioli, S.; Vassallo, A.; Strozza, I.; De Leo, M.; Biffi, S.; et al. The Cultivable Bacterial Microbiota Associated to the Medicinal Plant Origanum vulgare L.: From Antibiotic Resistance to Growth-Inhibitory Properties. Front. Microbiol. 2020, 11, 862. [Google Scholar] [CrossRef] [PubMed]
- Cole, J.R.; Wang, Q.; Fish, J.A.; Chai, B.; McGarrell, D.M.; Sun, Y.; Brown, C.T.; Porras-Alfaro, A.; Kuske, C.R.; Tiedje, J.M. Ribosomal Database Project: Data and tools for high throughput rRNA analysis. Nucleic Acids Res. 2014, 42, D633–D642. [Google Scholar] [CrossRef] [PubMed] [Green Version]
- Hall, T.A. BioEdit: A user-friendly biological sequence alignment editor and analysis program for Windows 95/98/NT. In Proceedings of the Nucleic Acids Symposium Series; Information Retrieval Ltd.: London, UK, 1999; Volume 41, pp. 95–98. [Google Scholar]
- Kumar, S.; Stecher, G.; Li, M.; Knyaz, C.; Tamura, K. MEGA X: Molecular evolutionary genetics analysis across computing platforms. Mol. Biol. Evol. 2018, 35, 1547–1549. [Google Scholar] [CrossRef]
- Mengoni, A.; Maida, I.; Chiellini, C.; Emiliani, G.; Mocali, S.; Fabiani, A.; Fondi, M.; Firenzuoli, F.; Fani, R. Antibiotic resistance differentiates Echinacea purpurea endophytic bacterial communities with respect to plant organs. Res. Microbiol. 2014, 165, 686–694. [Google Scholar] [CrossRef] [PubMed]
- Good, I.J. The Population Frequencies of Species and the Estimation of Population Parameters. Biometrika 1953, 40, 237. [Google Scholar] [CrossRef]
- Magurran, A.E. Measuring Biological Diversity; John Wiley and Sons: Hoboken, NJ, USA, 2013; ISBN 1118687922. [Google Scholar]
- Borcard, D.; Gillet, F.; Legendre, P. Numerical Ecology with R; Springer: New York, NY, USA, 2011. [Google Scholar]
- Anderson, M.J. A new method for non-parametric multivariate analysis of variance. Austral. Ecol. 2001, 26, 32–46. [Google Scholar] [CrossRef]
- Dixon, P. VEGAN, a package of R functions for community ecology. J. Veg. Sci. 2003, 14, 927–930. [Google Scholar] [CrossRef]
- Wickham, H. ggplot2; Use R!; Springer International Publishing: Cham, Switzerland, 2016; ISBN 978-3-319-24275-0. [Google Scholar]
- Kolde, R.; Kolde, M.R. Package ‘pheatmap’. R Packag. 2015, 1, 790. [Google Scholar]
- Chiellini, C.; Maida, I.; Emiliani, G.; Mengoni, A.; Mocali, S.; Fabiani, A.; Biffi, S.; Maggini, V.; Gori, L.; Vannacci, A.; et al. Endophytic and rhizospheric bacterial communities isolated from the medicinal plants echinacea purpurea and echinacea angustifolia. Int. Microbiol. 2015, 17, 165–174. [Google Scholar] [CrossRef]
- Tian, R.; Ning, D.; He, Z.; Zhang, P.; Spencer, S.J.; Gao, S.; Shi, W.; Wu, L.; Zhang, Y.; Yang, Y.; et al. Small and mighty: Adaptation of superphylum Patescibacteria to groundwater environment drives their genome simplicity. Microbiome 2020, 8, 51. [Google Scholar] [CrossRef] [Green Version]
- Lemos, L.; Manoharan, L.; Mendes, L.; Venturini, A.; Pylro, V.; Tsai, S.M. Metagenome assembled-genomes reveal similar functional profiles of CPR/Patescibacteria phyla in soils. Environ. Microbiol. Rep. 2020, 12, 651–655. [Google Scholar] [CrossRef] [PubMed]
- Dukunde, A.; Schneider, D.; Schmidt, M.; Veldkamp, E.; Daniel, R. Tree species shape soil bacterial community structure and function in temperate deciduous forests. Front. Microbiol. 2019, 10, 1519. [Google Scholar] [CrossRef] [PubMed]
- Vuong, T.M.D.; Zeng, J.Y.; Man, X.L. Soil fungal and bacterial communities in southern boreal forests of the Greater Khingan Mountains and their relationship with soil properties. Sci. Rep. 2020, 10, 22025. [Google Scholar] [CrossRef]
- Tripathi, B.M.; Lee-Cruz, L.; Kim, M.; Singh, D.; Go, R.; Shukor, N.A.A.; Husni, M.H.A.; Chun, J.; Adams, J.M. Spatial Scaling Effects on Soil Bacterial Communities in Malaysian Tropical Forests. Microb. Ecol. 2014, 68, 247–258. [Google Scholar] [CrossRef]
- Cong, J.; Yang, Y.; Liu, X.; Lu, H.; Liu, X.; Zhou, J.; Li, D.; Yin, H.; Ding, J.; Zhang, Y. Analyses of soil microbial community compositions and functional genes reveal potential consequences of natural forest succession. Sci. Rep. 2015, 5, 10007. [Google Scholar] [CrossRef] [Green Version]
- Amin, M.; Rakhisi, Z.; Zarei Ahmady, A. Isolation and Identification of Bacillus Species From Soil and Evaluation of Their Antibacterial Properties. Avicenna J. Clin. Microbiol. Infect. 2015, 2, 23233. [Google Scholar] [CrossRef]
- Aslim, B.; Beyatli, Y. Determination of Some Properties of Bacillus Isolated from Soil. Turk. J. Biol. 2002, 26, 41–48. [Google Scholar]
- Sengupta, S.; Chattopadhyay, M.K.; Grossart, H.-P. The multifaceted roles of antibiotics and antibiotic resistance in nature. Front. Microbiol. 2013, 4, 47. [Google Scholar] [CrossRef] [PubMed] [Green Version]
- Vassallo, A.; Miceli, E.; Fagorzi, C.; Castronovo, L.M.; Del Duca, S.; Chioccioli, S.; Venditto, S.; Coppini, E.; Fibbi, D.; Fani, R. Temporal Evolution of Bacterial Endophytes Associated to the Roots of Phragmites australis Exploited in Phytodepuration of Wastewater. Front. Microbiol. 2020, 11, 1652. [Google Scholar] [CrossRef] [PubMed]
- Hackl, E.; Zechmeister-Boltenstern, S.; Bodrossy, L.; Sessitsch, A. Comparison of diversities and compositions of bacterial populations inhabiting natural forest soils. Appl. Environ. Microbiol. 2004, 70, 5057–5065. [Google Scholar] [CrossRef] [PubMed] [Green Version]





| Sample ID | Site | Coordinates | Altitude (m a.s.l.) |
|---|---|---|---|
| SF1S | 1 | 43°50′38.96″ N 11°47′22.86″ E | 1495 |
| SF2S | 2 | 43°50′41.69″ N 11°47′22.42″ E | 1491 |
| SF3S | 3 | 43°50′49.27″ N 11°47′24.73″ E | 1414 |
| SF4S | 4 | 43°50′44.18″ N 11°47′33.31″ E | 1334 |
| SF5S | 5 | 43°50′38.35″ N 11°47′37.46″ E | 1315 |
| SF6S | 6 | 43°50′36.42″ N 11°47′56.62″ E | 1034 |
| SF7S | 7 | 43°50′30.00″ N 11°48′14.70″ E | 969 |
| Antibiotic | Class | Target |
|---|---|---|
| Chloramphenicol | Phenicols | Ribosome |
| Ciprofloxacin | Fluoroquinolones | Topoisomerases |
| Kanamycin | Aminoglycosides | Ribosome |
| Rifampicin | Ansamycins | RNA polymerase |
| Streptomycin | Aminoglycosides | Ribosome |
| Tetracycline | Tetracyclines | Ribosome |
| Sample | CFU/g |
|---|---|
| SF1S | 2.71 × 106 |
| SF2S | 1.47 × 106 |
| SF3S | 1.35 × 106 |
| SF4S | 2.34 × 106 |
| SF5S | 6.8 × 105 |
| SF6S | 9.0 × 104 |
| SF7S | 4.0 × 104 |
| SF1S | SF2S | SF3S | SF4S | SF5S | SF6S | SF7S | Total | % | ||
|---|---|---|---|---|---|---|---|---|---|---|
| No. of isolates | 25 | 24 | 23 | 25 | 21 | 17 | 23 | 158 | / | |
| No. of strains | 7 | 7 | 11 | 11 | 20 | 15 | 18 | 82 | / | |
| No. of species | 4 | 5 | 10 | 9 | 9 | 12 | 14 | 37 | / | |
| No. of genera | 3 | 5 | 8 | 6 | 7 | 10 | 11 | 21 | / | |
| No. of shared strains | SF1S | - | 1 | 1 | 1 | 1 | 0 | 1 | 3 | 3.65% |
| SF2S | - | - | 1 | 1 | 1 | 0 | 1 | |||
| SF3S | - | - | - | 2 | 1 | 0 | 1 | |||
| SF4S | - | - | - | - | 2 | 0 | 1 | |||
| SF5S | - | - | - | - | - | 0 | 1 | |||
| SF6S | - | - | - | - | - | - | 0 | |||
| SF7S | - | - | - | - | - | - | - | |||
| No. of shared species | SF1S | - | 2 | 2 | 2 | 2 | 2 | 3 | 12 | 32.43% |
| SF2S | - | - | 3 | 5 | 4 | 1 | 2 | |||
| SF3S | - | - | - | 3 | 3 | 2 | 6 | |||
| SF4S | - | - | - | - | 4 | 1 | 2 | |||
| SF5S | - | - | - | - | - | 2 | 3 | |||
| SF6S | - | - | - | - | - | - | 3 | |||
| SF7S | - | - | - | - | - | - | - | |||
| No. of shared genera | SF1S | - | 2 | 2 | 2 | 2 | 2 | 3 | 12 | 57.14% |
| SF2S | - | - | 3 | 5 | 4 | 2 | 3 | |||
| SF3S | - | - | - | 4 | 4 | 2 | 6 | |||
| SF4S | - | - | - | - | 4 | 2 | 4 | |||
| SF5S | - | - | - | - | - | 3 | 4 | |||
| SF6S | - | - | - | - | - | - | 3 | |||
| SF7S | - | - | - | - | - | - | - | |||
| Antibiotic | MIC | SF1S | SF2S | SF3S | SF4S | SF5S | SF6S | SF7S | Total |
|---|---|---|---|---|---|---|---|---|---|
| Streptomycin | <0.5 | - | - | - | - | 1 | 2 | - | 3 |
| 0.5 | - | - | - | - | - | - | - | 0 | |
| 1 | - | - | - | - | - | - | - | 0 | |
| 2.5 | - | 2 | - | - | - | - | - | 2 | |
| 5 | 3 | 1 | 1 | 2 | - | 2 | - | 9 | |
| 10 | 2 | - | - | 2 | - | 2 | 1 | 7 | |
| 50 | - | 1 | 4 | 1 | 10 | 9 | 9 | 34 | |
| >50 | 2 | 3 | 6 | 6 | 9 | - | 8 | 34 | |
| Tetracycline | <0.5 | - | 1 | 1 | 1 | 9 | - | 1 | 13 |
| 0.5 | - | - | - | - | - | - | - | 0 | |
| 1.25 | - | 2 | 2 | 1 | - | 2 | 6 | 13 | |
| 2.5 | 3 | 1 | - | 1 | 3 | 4 | - | 12 | |
| 5 | 3 | 1 | - | 3 | - | 3 | 3 | 13 | |
| 12.5 | 1 | 1 | 3 | 2 | 3 | 5 | 5 | 20 | |
| 25 | - | - | 4 | 2 | 3 | 1 | 1 | 11 | |
| >25 | - | 1 | 1 | 1 | 2 | - | 2 | 7 | |
| Ciprofloxacin | <0.5 | 1 | 3 | 5 | 7 | 4 | 10 | 7 | 37 |
| 0.5 | 4 | - | - | - | - | - | - | 4 | |
| 1 | - | - | 4 | - | 2 | 1 | 1 | 8 | |
| 2.5 | - | - | 1 | - | 3 | - | 4 | 8 | |
| 5 | 2 | 3 | - | 1 | 5 | 3 | 5 | 19 | |
| 10 | - | - | - | 1 | - | 1 | 1 | 3 | |
| 50 | - | 1 | 1 | 2 | 6 | - | - | 10 | |
| >50 | - | - | - | - | - | - | - | ||
| Kanamycin | <0.5 | - | - | 1 | 1 | 3 | 3 | - | 8 |
| 0.5 | - | - | - | - | - | - | - | 0 | |
| 1 | - | - | - | - | - | - | - | 0 | |
| 2.5 | - | 1 | 1 | 1 | 1 | - | 2 | 6 | |
| 5 | - | - | 2 | 1 | 1 | 4 | - | 8 | |
| 10 | 3 | 3 | - | 1 | - | 2 | 1 | 10 | |
| 50 | 2 | 2 | 3 | 4 | 10 | 6 | 7 | 34 | |
| >50 | 2 | 1 | 4 | 3 | 5 | - | 8 | 23 | |
| Chloramphenicol | <1 | 3 | 3 | - | 3 | 12 | 8 | 6 | 35 |
| 1 | - | - | - | - | - | - | - | 0 | |
| 2.5 | 2 | 1 | 3 | - | - | - | - | 6 | |
| 5 | - | - | 1 | - | - | 2 | 3 | 6 | |
| 10 | - | - | 1 | 2 | - | 2 | - | 5 | |
| 25 | - | - | - | 2 | - | - | - | 2 | |
| 50 | - | 2 | 4 | 4 | 8 | 1 | 4 | 23 | |
| >50 | 2 | - | 2 | - | - | 2 | 5 | 11 | |
| Rifampicin | <5 | 5 | 5 | 8 | 8 | 18 | 9 | 10 | 63 |
| 5 | - | - | - | - | - | - | - | 0 | |
| 10 | 2 | 1 | 1 | 3 | 1 | 1 | 2 | 12 | |
| 25 | - | 1 | 1 | - | 1 | 5 | 4 | 12 | |
| 50 | - | - | 1 | - | - | - | 2 | 3 | |
| 100 | - | - | - | - | - | - | - | 0 | |
| >100 | - | - | - | - | - | - | - | 0 |
Publisher’s Note: MDPI stays neutral with regard to jurisdictional claims in published maps and institutional affiliations. |
© 2021 by the authors. Licensee MDPI, Basel, Switzerland. This article is an open access article distributed under the terms and conditions of the Creative Commons Attribution (CC BY) license (https://creativecommons.org/licenses/by/4.0/).
Share and Cite
Castronovo, L.M.; Del Duca, S.; Chioccioli, S.; Vassallo, A.; Fibbi, D.; Coppini, E.; Chioccioli, P.; Santini, G.; Zaccaroni, M.; Fani, R. Biodiversity of Soil Bacterial Communities from the Sasso Fratino Integral Nature Reserve. Microbiol. Res. 2021, 12, 862-877. https://doi.org/10.3390/microbiolres12040063
Castronovo LM, Del Duca S, Chioccioli S, Vassallo A, Fibbi D, Coppini E, Chioccioli P, Santini G, Zaccaroni M, Fani R. Biodiversity of Soil Bacterial Communities from the Sasso Fratino Integral Nature Reserve. Microbiology Research. 2021; 12(4):862-877. https://doi.org/10.3390/microbiolres12040063
Chicago/Turabian StyleCastronovo, Lara Mitia, Sara Del Duca, Sofia Chioccioli, Alberto Vassallo, Donatella Fibbi, Ester Coppini, Piero Chioccioli, Giacomo Santini, Marco Zaccaroni, and Renato Fani. 2021. "Biodiversity of Soil Bacterial Communities from the Sasso Fratino Integral Nature Reserve" Microbiology Research 12, no. 4: 862-877. https://doi.org/10.3390/microbiolres12040063
APA StyleCastronovo, L. M., Del Duca, S., Chioccioli, S., Vassallo, A., Fibbi, D., Coppini, E., Chioccioli, P., Santini, G., Zaccaroni, M., & Fani, R. (2021). Biodiversity of Soil Bacterial Communities from the Sasso Fratino Integral Nature Reserve. Microbiology Research, 12(4), 862-877. https://doi.org/10.3390/microbiolres12040063

