In Vivo Toxicity, Redox-Modulating Capacity and Intestinal Permeability of Novel Aroylhydrazone Derivatives as Anti-Tuberculosis Agents
Abstract
1. Introduction
2. Materials and Methods
2.1. Chemistry
2.2. Experimental Animals
2.2.1. Acute Toxicity in Mice
2.2.2. Sub-Acute Toxicity
2.2.3. Experimental Design
2.3. Pathomorphological Evaluation of Tissue Specimens
2.4. Redox-Modulating Capacity
2.4.1. Lipid Peroxidation Inhibition Assay
2.4.2. Protein Content
2.4.3. Measurement of the Amount of Total Glutathione
2.4.4. Enzyme Activity of Superoxide Dismutase (SOD)
2.4.5. Measurement of the Glutathione Peroxidase Activity
2.4.6. DPPH Assay
2.4.7. ABTS•+ Assay
2.5. Intestinal Permeability
2.6. Statistical Analysis
3. Results and Discussion
3.1. Chemistry
3.2. Acute Toxicity in Mice
3.3. Sub-Acute Toxicity of 3a and 3b after 14 Days of Oral Administration of the Tested Compounds
Complete Blood Count (CBC) and Biochemistry in the Blood of Mice
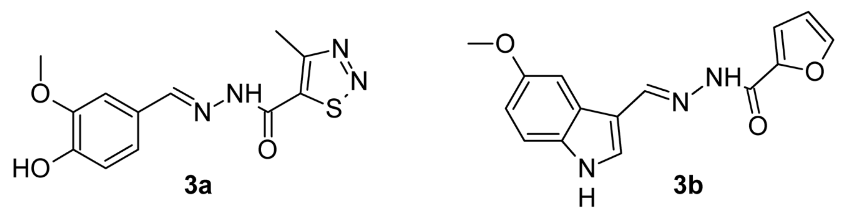
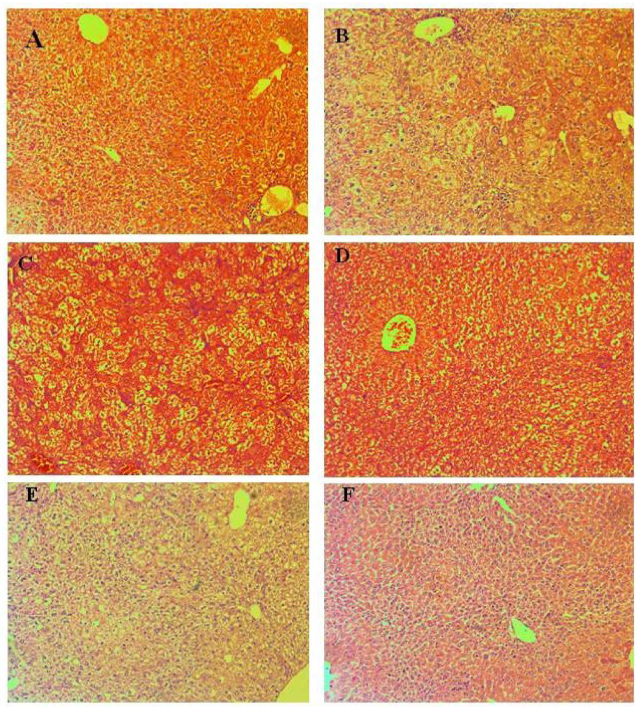
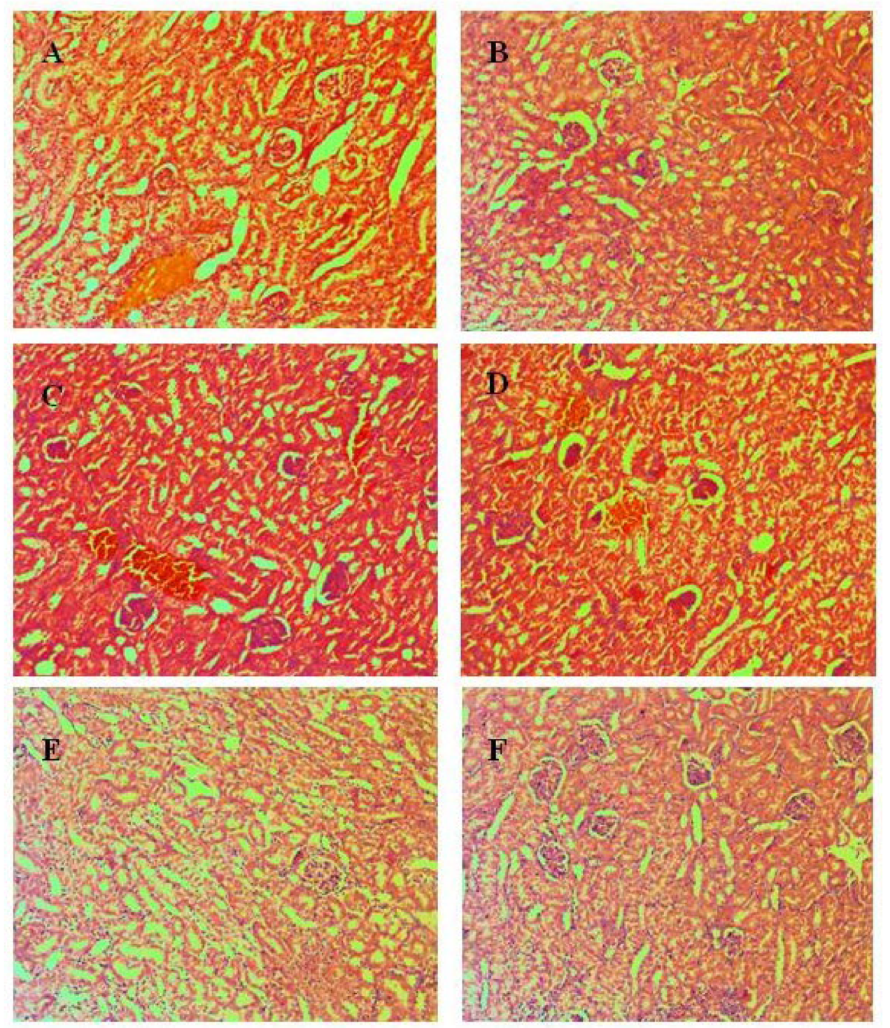
3.4. Pathomorphological Evaluation of Tissue Specimens
3.4.1. Liver
3.4.2. Kidneys
3.4.3. Small Intestine
3.4.4. Evaluation of Inflammatory Changes
3.4.5. Evaluation of Epithelial Changes
3.4.6. Assessment of Mucosal Architecture
3.4.7. Assessment of Villous Dullness
3.5. Redox-Modulating Capacity
3.6. Gastrointestinal (GIT) Permeability
4. Conclusions
Author Contributions
Funding
Institutional Review Board Statement
Informed Consent Statement
Data Availability Statement
Acknowledgments
Conflicts of Interest
References
- World Health Organization. Global Tuberculosis Report 2021. 2021. Available online: https://www.who.int/publications/digital/globaltuberculosis-report-2021 (accessed on 16 October 2022).
- Santos, J.M.; Fachi, M.M.; Beraldi-Magalhães, F.; Böger, B.; Junker, A.M.; Domingos, E.L.; Imazu, P.; Fernandez-Llimos, F.; Tonin, F.S.; Pontarolo, R. Systematic review with network meta-analysis on the treatments for latent tuberculosis infection in children and adolescents. J. Infect. Chemother. 2022, 28, 1645–1653. [Google Scholar] [CrossRef] [PubMed]
- Curatolo, W. Physical Chemical Properties of Oral Drug Candidates in the Discovery and Exploratory Development Settings. Pharm. Sci. Technol. Today 1998, 1, 387–393. [Google Scholar] [CrossRef]
- Shin, H.K.; Kang, Y.-M.; No, K.T. Predicting ADME properties of chemicals. In Handbook of Computational Chemistry; Leszczynski, J., Kaczmarek-Kedziera, A., Puzyn, T., Papadopoulos, M., Reis, H., Shukla, M., Eds.; Springer: Cham, Switzerland, 2017; pp. 2265–2301. [Google Scholar]
- de Souza, L.F.S.; Tizziani, T.; Sens, L.; Venzke, D.; Brighente, I.M.C.; Pizzolatti, M.G.; Nunes, R.J. Synthesis and PAMPA Permeability Assay of New Sulfonyl Hydrazone Derivatives. J. Biosci. Med. 2019, 7, 111–120. [Google Scholar] [CrossRef]
- Reis, J.M.; Sinko, B.; Serra, C.H.R. Parallel Artificial Membrane Permeability Assay (PAMPA)-Is It Better than Caco-2 for Human Passive Permeability Prediction? Mini Rev. Med. Chem. 2010, 10, 1071–1076. [Google Scholar] [CrossRef] [PubMed]
- Kansy, M.; Senner, F.; Gubernator, K. Physicochemical High Throughput Screening: Parallel Artificial Membrane Permeation Assay in the Description of Passive Absorption Processes. J. Med. Chem. 1998, 41, 1007–1010. [Google Scholar] [CrossRef]
- Sun, H.; Nguyen, K.; Kerns, E.; Yan, Z.; Ri Yu, K.; Pranav Shah, P.; Jadhav, A.; Xu, X. Highly Predictive and Interpretable Models for PAMPA Permeability. Bioorg. Med. Chem. 2017, 25, 1266–1276. [Google Scholar] [CrossRef]
- Rollas, S.; Güniz Küçükgüzel, Ş. Biological activities of hydrazone derivatives. Molecules 2007, 12, 1910–1939. [Google Scholar] [CrossRef]
- Moldovan, C.M.; Oniga, O.; Pârvu, A.; Tiperciuc, B.; Verite, P.; Pîrnău, A.; Crişan, O.; Bojiţă, M.; Pop, R. Synthesis and anti-inflammatory evaluation of some new acyl-hydrazones bearing 2-aryl-thiazole. Eur. J. Med. Chem. 2011, 46, 526–534. [Google Scholar] [CrossRef]
- Tiperciuc, B.; Zaharia, V.; Colosi, I.; Moldovan, C.; Crişan, O.; Pîrnau, A.; Vlase, L.; Duma, M.; Oniga, O. Synthesis and Evaluation of Antimicrobial Activity of Some New Hetaryl-Azoles Derivatives Obtained from 2-Aryl-4-methylthiazol-5-carbohydrazides and Isonicotinic Acid Hydrazide. J. Het. Chem. 2012, 49, 1407–1414. [Google Scholar] [CrossRef]
- Nastasă, C.; Tiperciuc, B.; Duma, M.; Benedec, D.; Oniga, O. New Hydrazones Bearing Thiazole Scaffold: Synthesis, Characterization, Antimicrobial, and Antioxidant Investigation. Molecules 2015, 20, 17325–17338. [Google Scholar] [CrossRef]
- Silva, G.A.; Costa, L.M.; Brito, F.C.; Miranda, A.L.; Barreiro, E.J.; Fraga, C.A. New class of potent antinociceptive and antiplatelet 10H-phenothiazine-1-acylhydrazone derivatives. Bioorg. Med. Chem. 2004, 12, 3149–3158. [Google Scholar] [CrossRef]
- Sampiron, E.G.; Costacurta, G.F.; Baldin, V.P.; Almeida, A.L.; Ieque, A.L.; Santos, N.C.; Scodro, R.B. Hydrazone, benzohydrazones and isoniazid-acylhydrazones as potential antituberculosis agents. Future Microbiol. 2019, 14, 981–994. [Google Scholar] [CrossRef]
- Shtyrlin, N.V.; Khaziev, R.M.; Shtyrlin, V.G.; Gilyazetdinov, E.M.; Agafonova, M.N.; Usachev, K.S.; Shtyrlin, Y.G. Isonicotinoyl hydrazones of pyridoxine derivatives: Synthesis and antimycobacterial activity. Med. Chem. Res. 2021, 30, 952–963. [Google Scholar] [CrossRef]
- Angelova, V.T.; Valcheva, V.; Vassilev, N.G.; Buyukliev, R.; Momekov, G.; Dimitrov, I.; Shivachev, B. Antimycobacterial activity of novel hydrazide-hydrazone derivatives with 2H-chromene and coumarin scaffold. Bioorg. Med. Chem. Lett. 2017, 27, 223–227. [Google Scholar] [CrossRef]
- Hakkimane, S.S.; Shenoy, V.P.; Gaonkar, S.L.; Bairy, I.; Guru, B.R. Antimycobacterial susceptibility evaluation of rifampicin and isoniazid benz-hydrazone in biodegradable polymeric nanoparticles against Mycobacterium tuberculosis H37Rv strain. Int. J. Nanomed. 2018, 13, 4303. [Google Scholar] [CrossRef]
- Rohane, S.H.; Chauhan, A.J.; Fuloria, N.K.; Fuloria, S. Synthesis and in vitro antimycobacterial potential of novel hydrazones of eugenol. Arab. J. Chem. 2020, 13, 4495–4504. [Google Scholar] [CrossRef]
- Desale, V.J.; Mali, S.N.; Thorat, B.R.; Yamgar, R.S. Synthesis, admetSAR Predictions, DPPH Radical Scavenging Activity, and Potent Anti-mycobacterial Studies of Hydrazones of Substituted 4-(anilino methyl) benzohydrazides (Part 2). Curr. Comput. Aided Drug Des. 2021, 17, 493–503. [Google Scholar] [CrossRef]
- Doğan, H.; Doğan, Ş.D.; Gündüz, M.G.; Krishna, V.S.; Lherbet, C.; Sriram, D.; Sarıpınar, E. Discovery of hydrazone containing thiadiazoles as Mycobacterium tuberculosis growth and enoyl acyl carrier protein reductase (InhA) inhibitors. Eur. J. Med. Chem. 2020, 188, 112035. [Google Scholar] [CrossRef]
- Karunanidhi, S.; Chandrasekaran, B.; Karpoormath, R.; Patel, H.M.; Kayamba, F.; Merugu, S.R.; Mahlalela, M.C. Novel thiomorpholine tethered isatin hydrazones as potential inhibitors of resistant Mycobacterium tuberculosis. Bioorg. Chem. 2021, 115, 105133. [Google Scholar] [CrossRef]
- Angelova, V.T.; Pencheva, T.; Vassilev, N.; Simeonova, R.; Momekov, G.; Valcheva, V. New indole and indazole derivatives as potential antimycobacterial agents. Med. Chem. Res. 2019, 28, 485–497. [Google Scholar] [CrossRef]
- Angelova, V.T.; Pencheva, T.; Vassilev, N.; K-Yovkova, E.; Mihaylova, R.; Petrov, B.; Valcheva, V. Development of New Antimycobacterial Sulfonyl Hydrazones and 4-Methyl-1, 2, 3-thiadiazole-Based Hydrazone Derivatives. Antibiotics 2022, 11, 562. [Google Scholar] [CrossRef] [PubMed]
- OECD. OECD. OECD Test No. 425. Acute oral toxicity: Up-and-down procedure. In OECD Guidelines for the Testing of Chemicals; Section 4; OECD Publishing: Paris, France, 2008. [Google Scholar]
- Council of Europe. European Convention for the Protection of Vertebrate Animals Used for Experimental and Other Scientific Purposes (ETS 123); Council of Europe: Strasbourg, France, 1991. [Google Scholar]
- Lorke, D. A new approach to practical acute toxicity testing. Arch. Toxicol. 1983, 54, 275–287. [Google Scholar] [CrossRef] [PubMed]
- Chen, C.; Wicha, S.G.; de Knegt, G.J.; Ortega, F.; Alameda, L.; Sousa, V.; de Steenwinkel, J.E.M.; Simonsson, U.S.H. Assessing Pharmacodynamic Interactions in Mice Using the Multistate Tuberculosis Pharmacometric and General Pharmacodynamic Interaction Models. CPT Pharmacomet. Syst. Pharmacol. 2017, 6, 787–797. [Google Scholar] [CrossRef] [PubMed]
- Lillie, R.D. Studies on histochemical acylation procedures. I. Phenols. J. Histochem. Cytochem. 1964, 12, 522–529. [Google Scholar] [CrossRef] [PubMed]
- Mileva, M.; Hadjimitova, V.; Tantcheva, L.; Traykov, T.; Galabov, A.S.; Savov, V.; Ribarov, S. Antioxidant properties of rimantadine in influenza virus infected mice and in some model systems. Z. Fur Naturforschung. C J. Biosci. 2000, 55, 824–829. [Google Scholar] [CrossRef]
- Rahman, I.; Kode, A.; Biswas, S.K. Assay for quantitative determination of glutathione and glutathione disulfide levels using enzymatic recycling method. Nat. Protocols 2006, 1, 3159. [Google Scholar] [CrossRef]
- Beauchamp, C.; Fridovich, I. Superoxide dismutase: Improved assays and assay applicable to acrylamide gels. Anal. Biochem. 1971, 44, 276–287. [Google Scholar] [CrossRef]
- Brand-Williams, W.; Cuvelier, M.E.; Berset, C.L.W.T. Use of a free radical method to evaluate antioxidant activity. LWT-Food Sci. Technol. 1995, 28, 25–30. [Google Scholar] [CrossRef]
- Ilyasov, I.R.; Beloborodov, V.L.; Selivanova, I.A.; Terekhov, R.P. ABTS/PP decolorization assay of antioxidant capacity reaction pathways. Int. J. Mol. Sci. 2020, 21, 1131. [Google Scholar] [CrossRef]
- Avdeef, A.; Artursson, P.; Neuhoff, S.; Lazarova, L.; Gråsjö, J.; Tavelin, S. Caco-2 Permeability of Weakly Basic Drugs Predicted with the Double-Sink PAMPA pKa flux Method. Eur. J. Pharm. Sci. 2005, 24, 333–349. [Google Scholar] [CrossRef]
- Doytchinova, I.; Atanasova, M.; Valkova, I.; Stavrakov, G.; Philipova, I.; Zhivkova, Z.; Zheleva-Dimitrova, D.; Konstantinov, S.; Dimitrov, I. Novel hits for acetylcholinesterase inhibition derived by docking-based screening on ZINC database. J. Enz. Inh. Med. Chem. 2018, 33, 768–776. [Google Scholar] [CrossRef]
- Hodge, A.; Sterner, B. Toxicity Classes; Canadian Center for Occupational Health and Safety: Hamilton, ON, Canada, 2005. [Google Scholar]
- Angelova, V.T.; Simeonova, R. Effects of a new 1,2,3-thiadiazole containing hydrazone antimycobacterial agent on serum and liver biochemical parameters in female mice. Drug Chem. Toxicol. 2022, 45, 113–119. [Google Scholar] [CrossRef]
- Dragostin, I.; Dragostin, O.M.; Samal, S.K.; Dash, S.; Tatia, R.; Dragan, M.; Confederat, L.; Ghiciuc, C.M.; Diculencu, D.; Lupușoru, C.E.; et al. New isoniazid derivatives with improved pharmaco-toxicological profile: Obtaining, characterization and biological evaluation. Eur. J. Pharm. Sci. 2019, 137, 04974. [Google Scholar] [CrossRef]
- Dragostin, I.; Dragostin, O.M.; Iacob, A.T.; Dragan, M.; Chitescu, C.L.; Confederat, L.; Zamfir, A.-S.; Tatia, R.; Stan, C.; Zamfir, C.L. Chitosan Microparticles Loaded with New Non-Cytotoxic Isoniazid Derivatives for the Treatment of Tuberculosis: In Vitro and In Vivo Studies. Polymers 2022, 14, 2310. [Google Scholar] [CrossRef]
- Li, D.L.; Li, X.M.; Wang, B.G. Natural anthraquinone derivatives from a marine mangrove plant-derived endophytic fungus Eurotium rubrum: Structural elucidation and DPPH radical scavenging activity. J. Microbiol. Biotechnol. 2009, 19, 675–680. [Google Scholar]
- Turrens, J.F. Mitochondrial formation of reactive oxygen species. J. Physiol. 2003, 552, 335–344. [Google Scholar] [CrossRef]
- Urlacher, V.B.; Girhard, M. Cytochrome P450 monooxygenases: An update on perspectives for synthetic application. Trends Biotechnol. 2012, 30, 26–36. [Google Scholar] [CrossRef]
- Valko, M.; Leibfritz, D.; Moncol, J.; Cronin, M.T.; Mazur, M.; Telser, J. Free radicals and antioxidants in normal physiological functions and human disease. Int. J. Biochem. Cell Biol. 2007, 39, 44–84. [Google Scholar] [CrossRef]
- Niedernhofer, L.J.; Daniels, J.S.; Rouzer, C.A.; Greene, R.E.; Marnett, L.J. Malondialdehyde, a product of lipid peroxidation, is mutagenic in human cells. J. Biol. Chem. 2003, 278, 31426–31433. [Google Scholar] [CrossRef]
- Sharma, P.; Dubey, R.S. Drought Induces Oxidative Stress and Enhances the Activities of Antioxidant Enzymes in Growing Rice Seedlings. Plant Growth Regul. 2005, 46, 209–221. [Google Scholar] [CrossRef]
- Daina, A.; Michielin, O.; Zoete, V. SwissADME: A free web tool to evaluate pharmacokinetics, drug-likeness and medicinal chemistry friendliness of small molecules. Sci. Rep. 2017, 7, 42717. [Google Scholar] [CrossRef] [PubMed]
- Bennion, B.J.; Be, N.A.; McNerney, M.W.; Lao, V.; Carlson, E.M.; Valdez, C.A.; Malfatti, M.A.; Enright, H.A.; Nguyen, T.H.; Lightstone, F.C.; et al. Predicting a drug’s membrane permeability: A computational model validated with in vitro permeability assay data. J. Phys. Chem. B 2017, 121, 5228–5237. [Google Scholar] [CrossRef] [PubMed]
- Kansy, M.; Fischer, H.; Kratzat, K.; Senner, F.; Wagner, B.; Parrilla, I. High-throughput aritificial membrane permeability studies in early lead discovery and development. In Pharmacokinetic Optimization in Drug Research; Testa, B., van de Waterbeemd, H., Folkers, G., Guy, R., Eds.; Verlag Helvetica Chimica Acta, Zürich and Wiley—VCH: Weinheim, Germany, 2001; pp. 447–464. [Google Scholar]
- Fedi, A.; Vitale, C.; Ponschin, G.; Ayehunie, S.; Fato, M.; Scaglione, S. In vitro models replicating the human intestinal epithelium for absorption and metabolism studies: A systematic review. J. Control. Release 2021, 335, 247–268. [Google Scholar] [CrossRef] [PubMed]
- Dahlgren, D.; Lennernäs, H. Intestinal permeability and drug absorption: Predictive experimental, computational and in vivo approaches. Pharmaceutics 2019, 11, 411. [Google Scholar] [CrossRef]










| Dose mg/kg b.w. | Lethality | Time of Occurrence of Fatal Outcome | Symptoms before Death Occur |
|---|---|---|---|
| 3000 | 2/3 (67%) | After 20 h | Respiratory failure with long pauses, ataxia, piloerection, seizures, lethal outcome |
| 2000 | 1/3 (33%) | After 24 h | Impaired coordination, rapid breathing, lethal outcome |
| 1500 | 1/3 (33%) | After 30 h | Delayed reflexes, somnolence, lethal outcome |
| 1000 | 0/3 | - | - |
| 500 | 0/3 | - | - |
| Dose mg/kg b.w. | Lethality | Time of Occurrence of Fatal Outcome | Symptoms before Death Occurs |
|---|---|---|---|
| 3000 | 1/3 (33%) | After 3 h | Impaired coordination, rapid breathing, clonic seizures, death |
| 2000 | 0/3 | - | - |
| 1500 | 0/3 | - | - |
| 1000 | 0/3 | - | - |
| 500 | 0/3 | - | - |
| Haemato Logical Parameters | Controls | INH 50 mg/kg | 3a 125 mg/kg | 3a 250 mg/kg | 3b 125 mg/kg | 3b 250 mg/kg | Reference Values |
|---|---|---|---|---|---|---|---|
| WBC × 109/L | 5.8 ± 0.34 | 9.9 ± 0.54 * | 6.3 ± 0.36 + | 7.4 ± 0.44 *+ | 8.2 ± 0.28 *+ | 7.7 ± 0.33 *+ | 2.9–15.3 |
| RBC × 1012/L | 7.39 ± 0.6 | 5.35 ± 0.2 * | 6.84 ± 0.3 + | 6.97± 0.3 + | 7.21 ± 0.16 + | 7.62 ± 0.24 + | 5.6–7.89 |
| Hgb g/L | 142 ± 7.6 | 112 ± 2.2 * | 127 ± 5.4 + | 129 ± 3.8 + | 132.2 ± 4.2 + | 130.2 ± 3.7 + | 120–150 |
| HCT% | 41.3 ± 1.8 | 33.3 ± 2.1 * | 37.2 ± 2.6 + | 38.2 ± 1.8 + | 39.6 ± 0.8 + | 40.1 ± 1.2 + | 36–46 |
| PLT 109/L | 886 ± 126 | 789 ± 183 | 979 ± 238 | 638 ± 181 | 729 ± 203 | 864 ± 212 | 100–1610 |
| Biochemical Parameters | Controls | INH 50 mg/kg | 3a 125 mg/kg | 3a 250 mg/kg | 3b 125 mg/kg | 3b 250 mg/kg | Reference Values |
|---|---|---|---|---|---|---|---|
| GLU mmol/L | 7.2 ± 0.32 | 6.4 ± 0.47 | 6.3 ± 0.36 | 7.1 ± 0.24 | 6.8 ± 0.22 | 7.0 ± 0.16 | 4.2–7.5 |
| UREA mmol/L | 9.1 ± 0.12 | 13.6 ± 0.36 * | 8.8 ± 0.28 + | 11.5 ± 0.22 + | 8.7 ± 0.26 + | 8.4 ± 0.23 + | 3.27–12.1 |
| CREAT µmol/L | 98.3 ± 2.3 | 126.6 ± 8.2 * | 95.6 ± 6.6 + | 86.4 ± 5.6 + | 88.2 ± 3.1 + | 92.2 ± 4.4 + | 35–120 |
| UA µmol/L | 195 ± 18.9 | 196 ± 20.7 | 163 ± 23.4 | 194 ± 17.7 | 199 ± 14.6 | 201.3 ± 12 | 0–300 |
| TP g/L | 58.1 ± 2.2 | 43.2 ± 3.1 * | 54.3 ± 2.6 + | 58.6 ± 3.6 + | 56.6 ± 4.2 + | 52.2 ± 5.1 + | 53–63 |
| ALB g/L | 27.9 ± 1.8 | 21.6 ± 1.7 * | 26.6 ± 2.2 + | 27.3 ± 3.1 + | 28.5 ± 3.3 + | 28.2 ± 2.8 | 26–29 |
| ASAT U/L | 83 ± 4.5 | 126 ± 5.2 * | 102 ± 3.6 + | 113 ± 4.1 | 112.1 ± 4.4 * | 110 ± 3.1 * | 65–122 |
| ALAT U/L | 58 ± 2.2 | 96.6 ± 3.1 * | 62.2 ± 3.3 + | 71.4 ± 3.4 *+ | 77.2 ± 2.8 *+ | 71.2 ± 1.9 *+ | 55–80 |
| T-Bil µmol/L | 8.6 ± 0.42 | 12.0 ± 0.38 * | 7.6 ± 0.44 + | 8.3 ± 0.28 + | 7.8 ± 0.23 + | 8.1 ± 0.32 + | 3.9–9.6 |
| D-Bil µmol/L | 4.4 ± 0.32 | 6.5 ± 0.44 * | 3.4 ± 0.46 + | 4.9 ± 0.34 + | 5.1 ± 0.23 + | 3.8 ± 0.42 + | 0–6.8 |
| Parameter | Fe2+-asc.—Induced LP in Liver, IC50 [mg/mL] | DPPH Scavenging, IC50 [mg/mL] | ABTS Scavenging, IC50 [mg/mL] | |
|---|---|---|---|---|
| Substance | ||||
| 3a | 76.29 * | 47.5 * | 89.47 * | |
| 3b | 85.14 * | 18.69 * | 40.35 * | |
| Trolox | 18.2 | 8.92 | 24.8 | |
| Compound Code | −logPe, GIT PAMPA | ||
|---|---|---|---|
| pH = 5.0 | pH = 6.2 | pH = 7.4 | |
| INH | 6.226 | 6.591 | 6.594 |
| 3a | 4.354 | 4.366 | 4.299 |
| 3b | 4.158 | 4.137 | 4.150 |
Disclaimer/Publisher’s Note: The statements, opinions and data contained in all publications are solely those of the individual author(s) and contributor(s) and not of MDPI and/or the editor(s). MDPI and/or the editor(s) disclaim responsibility for any injury to people or property resulting from any ideas, methods, instructions or products referred to in the content. |
© 2022 by the authors. Licensee MDPI, Basel, Switzerland. This article is an open access article distributed under the terms and conditions of the Creative Commons Attribution (CC BY) license (https://creativecommons.org/licenses/by/4.0/).
Share and Cite
Valcheva, V.; Simeonova, R.; Mileva, M.; Philipov, S.; Petrova, R.; Dimitrov, S.; Georgieva, A.; Tsvetanova, E.; Teneva, Y.; Angelova, V.T. In Vivo Toxicity, Redox-Modulating Capacity and Intestinal Permeability of Novel Aroylhydrazone Derivatives as Anti-Tuberculosis Agents. Pharmaceutics 2023, 15, 79. https://doi.org/10.3390/pharmaceutics15010079
Valcheva V, Simeonova R, Mileva M, Philipov S, Petrova R, Dimitrov S, Georgieva A, Tsvetanova E, Teneva Y, Angelova VT. In Vivo Toxicity, Redox-Modulating Capacity and Intestinal Permeability of Novel Aroylhydrazone Derivatives as Anti-Tuberculosis Agents. Pharmaceutics. 2023; 15(1):79. https://doi.org/10.3390/pharmaceutics15010079
Chicago/Turabian StyleValcheva, Violeta, Rumyana Simeonova, Milka Mileva, Stanislav Philipov, Reneta Petrova, Simeon Dimitrov, Almira Georgieva, Elina Tsvetanova, Yoana Teneva, and Violina T. Angelova. 2023. "In Vivo Toxicity, Redox-Modulating Capacity and Intestinal Permeability of Novel Aroylhydrazone Derivatives as Anti-Tuberculosis Agents" Pharmaceutics 15, no. 1: 79. https://doi.org/10.3390/pharmaceutics15010079
APA StyleValcheva, V., Simeonova, R., Mileva, M., Philipov, S., Petrova, R., Dimitrov, S., Georgieva, A., Tsvetanova, E., Teneva, Y., & Angelova, V. T. (2023). In Vivo Toxicity, Redox-Modulating Capacity and Intestinal Permeability of Novel Aroylhydrazone Derivatives as Anti-Tuberculosis Agents. Pharmaceutics, 15(1), 79. https://doi.org/10.3390/pharmaceutics15010079

