Shaping the Future of DHT Assessment: Insights on Industry Challenges, Developer Needs, and a Harmonized, European HTA Framework
Abstract
1. Introduction
2. Objective
3. Methods
4. Results
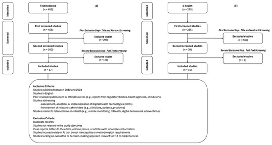
4.1. Literature Review
4.2. Survey
4.3. Interviews and Focus Groups
5. Discussion
6. Conclusions
Supplementary Materials
Author Contributions
Funding
Institutional Review Board Statement
Informed Consent Statement
Data Availability Statement
Conflicts of Interest
Abbreviations
| DHT | Digital Health Technology |
| HTA | Health Technology Assessment |
| HTA-R | Health Technology Assessment Regulation |
| EHDS | European Health Data Space |
| GDPR | General Data Protection Regulation |
| RWE | Real-World Evidence |
| RCT | Randomized Controlled Trial |
| EHR | Electronic Health Record |
| 1 | The developer is intended to be a manufacturer * or provider ** (if the DHT is an AI system), according to EU regulations. * Regulation (EU) 2019/1020: Art.3(8) ‘manufacturer’ means any natural or legal person who manufactures a product or has a product designed or manufactured and markets that product under its name or trademark. ** Regulation (EU) 2024/1689: Art.3(3) ‘provider’ means a natural or legal person, public authority, agency, or other body that develops an AI system or a general-purpose AI model or that has an AI system or a general-purpose AI model developed and places it on the market or puts the AI system into service under its own name or trademark, whether for payment or free of charge.) |
References
- WHO Recommendations on Digital Interventions for Health System Strengthening. Available online: https://www.who.int/publications/i/item/9789241550505 (accessed on 21 March 2025).
- Zrubka, Z.; Champion, A.; Holtorf, A.-P.; Bidino, R.D.; Earla, J.R.; Boltyenkov, A.T.; Tabata-Kelly, M.; Asche, C.; Burrell, A. The PICOTS-ComTeC Framework for Defining Digital Health Interventions: An ISPOR Special Interest Group Report. Value Health 2024, 27, 383–396. [Google Scholar] [CrossRef]
- van Kessel, R.; Srivastava, D.; Kyriopoulos, I.; Monti, G.; Novillo-Ortiz, D.; Milman, R.; Zhang-Czabanowski, W.W.; Nasi, G.; Stern, A.D.; Wharton, G.; et al. Digital Health Reimbursement Strategies of 8 European Countries and Israel: Scoping Review and Policy Mapping. JMIR mHealth uHealth 2023, 11, e49003. [Google Scholar] [CrossRef] [PubMed]
- Drummond, M.; Tarricone, R.; Torbica, A. Assessing the Added Value of Health Technologies: Reconciling Different Perspectives. Value Health 2013, 16, S7–S13. [Google Scholar] [CrossRef]
- The Fast-Track Process for Digital Health Applications (DiGA) According to Section 139e SGB V: A Guide for Manufacturers, Service Providers and Users. Available online: https://www.bfarm.de/SharedDocs/Downloads/EN/MedicalDevices/DiGA_Guide.html (accessed on 21 March 2025).
- HAS. LPPR: Dépôt d’un Dossier Auprès de la Commission Nationale D’évaluation des Dispositifs Médicaux et des Technologies de Santé (CNEDiMTS); HAS: 2024. Available online: https://www.has-sante.fr/upload/docs/application/pdf/2016-01/guide_fabricant_2016_01_11_cnedimts_vd.pdf (accessed on 21 March 2025).
- RIZIV. Mobiele Medische Toepassingen: Uw Aanvraag Indienen. Available online: https://www.riziv.fgov.be/nl/professionals/andere-professionals/fabrikanten-en-verdelers-van-medische-hulpmiddelen/mobiele-medische-toepassingen-uw-aanvraag-indienen (accessed on 20 March 2025).
- Haverinen, J.; Keränen, N.; Falkenbach, P.; Maijala, A.; Kolehmainen, T.; Reponen, J. Digi-HTA: Health Technology Assessment Framework for Digital Healthcare Services. Finn. J. eHealth eWelfare 2019, 11, 326–341. [Google Scholar] [CrossRef]
- Segur-Ferrer, J.; Moltó-Puigmartí, C.; Pastells-Peiró, R.; Vivanco-Hidalgo, R.M. Health Technology Assessment Framework: Adaptation for Digital Health Technology Assessment: User Guide; Studies and research; Ministry of Health: Madrid, Spain; Agency for Health Quality and Assessment of Catalonia: Barcelona, Spain, 2024. [Google Scholar]
- NICE. Evidence Standards Framework for Digital Health Technologies; Corporate Document; NICE: 2024. Available online: https://www.nice.org.uk/corporate/ecd7/resources/evidence-standards-framework-for-digital-health-technologies-pdf-1124017457605 (accessed on 21 March 2025).
- Batten, L.; Needham-Taylor, A.; England, C.; Jarrom, D. OP08 Health Technology Assessments of Artificial Intelligence: Special Considerations and Development of A Checklist. Int. J. Technol. Assess. Health Care 2025, 40, S4. [Google Scholar] [CrossRef]
- HAS. LPPR: Dossier Submission to the Medical Device and Health Technology Evaluation Committee (CNEDiMTS); HAS: 2020. Available online: https://www.has-sante.fr/upload/docs/application/pdf/2022-02/guide_dm_vf_english_publi_appendix5.pdf (accessed on 21 March 2025).
- Mezei, F.; Horváth, K.; Pálfi, M.; Lovas, K.; Ádám, I.; Túri, G. International Practices in Health Technology Assessment and Public Financing of Digital Health Technologies: Recommendations for Hungary. Front. Public Health 2023, 11, 1197949. [Google Scholar] [CrossRef]
- Hogervorst, M.A.; Vreman, R.; Heikkinen, I.; Bagchi, I.; Gutierrez-Ibarluzea, I.; Ryll, B.; Eichler, H.-G.; Petelos, E.; Tunis, S.; Sapede, C.; et al. Uncertainty Management in Regulatory and Health Technology Assessment Decision-Making on Drugs: Guidance of the HTAi-DIA Working Group. Int. J. Technol. Assess. Health Care 2023, 39, e40. [Google Scholar] [CrossRef]
- EIT Health. Digital Medical Devices: Paths to European Harmonisation Summary Report; EIT Health: Munich, Germany, 2023; p. 27. [Google Scholar]
- Ruether, A.; Imaz-Iglesia, I.; Bélorgey, C.; Lo Scalzo, A.; Garrett, Z.; Guardian, M. European Collaboration on Health Technology Assessment: Looking Backward and Forward. Int. J. Technol. Assess. Health Care 2022, 38, e34. [Google Scholar] [CrossRef]
- Yeung, A.W.K.; Torkamani, A.; Butte, A.J.; Glicksberg, B.S.; Schuller, B.; Rodriguez, B.; Ting, D.S.W.; Bates, D.; Schaden, E.; Peng, H.; et al. The Promise of Digital Healthcare Technologies. Front. Public Health 2023, 11, 1196596. [Google Scholar] [CrossRef]
- Tsiasiotis, E.; Bidino, R.D.; Sacchini, D.; Cicchetti, A. PP39 Co-Creation Of A European Digital Health Technology Assessment Framework: The EDiHTA EU-Funded Project. Int. J. Technol. Assess. Health Care 2024, 40, S70. [Google Scholar] [CrossRef]
- EDiHTA. Available online: https://edihta-project.eu/ (accessed on 14 February 2025).
- Mantovani, A.; Leopaldi, C.; Nighswander, C.M.; Di Bidino, R. Access and Reimbursement Pathways for Digital Health Solutions and in Vitro Diagnostic Devices: Current Scenario and Challenges. Front. Med. Technol. 2023, 5, 1101476. [Google Scholar] [CrossRef] [PubMed]
- Tricco, A.C.; Lillie, E.; Zarin, W.; O’Brien, K.K.; Colquhoun, H.; Levac, D.; Moher, D.; Peters, M.D.J.; Horsley, T.; Weeks, L.; et al. PRISMA Extension for Scoping Reviews (PRISMA-ScR): Checklist and Explanation. Ann. Intern. Med. 2018, 169, 467–473. [Google Scholar] [CrossRef] [PubMed]
- Moola, S.; Munn, Z.; Sears, K.; Sfetcu, R.; Currie, M.; Lisy, K.; Tufanaru, C.; Qureshi, R.; Mattis, P.; Mu, P. Conducting Systematic Reviews of Association (Etiology): The Joanna Briggs Institute’s Approach. Available online: https://pubmed.ncbi.nlm.nih.gov/26262566/ (accessed on 1 June 2025).
- Jiu, L.; Hogervorst, M.A.; Vreman, R.A.; Mantel-Teeuwisse, A.K.; Goettsch, W.G. Understanding Innovation of Health Technology Assessment Methods: The IHTAM Framework. Int. J. Technol. Assess. Health Care 2022, 38, e16. [Google Scholar] [CrossRef]
- Naeem, M.; Ozuem, W.; Howell, K.; Ranfagni, S. A Step-by-Step Process of Thematic Analysis to Develop a Conceptual Model in Qualitative Research. Int. J. Qual. Methods 2023, 22, 16094069231205789. [Google Scholar] [CrossRef]
- Ahmed, A.; Mutahar, M.; Daghrery, A.A.; Albar, N.H.; Alhadidi, I.Q.I.; Asiri, A.M.; Boreak, N.; Alshahrani, A.A.S.; Shariff, M.; Shubayr, M.A.; et al. A Systematic Review of Publications on Perceptions and Management of Chronic Medical Conditions Using Telemedicine Remote Consultations by Primary Healthcare Professionals April 2020 to December 2021 During the COVID-19 Pandemic. Med. Sci. Monit. 2024, 30, e943383-e1. [Google Scholar] [CrossRef]
- Appleton, R.; Barnett, P.; Vera San Juan, N.; Tuudah, E.; Lyons, N.; Parker, J.; Roxburgh, E.; Spyridonidis, S.; Tamworth, M.; Worden, M.; et al. Implementation Strategies for Telemental Health: A Systematic Review. BMC Health Serv. Res. 2023, 23, 78. [Google Scholar] [CrossRef]
- Braga Ferreira, L.; Lanna de Almeida, R.; Arantes, A.; Abdulazeem, H.; Weerasekara, I.; Ferreira, L.S.D.N.; Fonseca de Almeida Messias, L.; Siuves Ferreira Couto, L.; Parreiras Martins, M.A.; Suelen Antunes, N.; et al. Telemedicine-Based Management of Oral Anticoagulation Therapy: Systematic Review and Meta-Analysis. J. Med. Internet Res. 2023, 25, e45922. [Google Scholar] [CrossRef]
- Rettinger, L.; Kuhn, S. Barriers to Video Call–Based Telehealth in Allied Health Professions and Nursing: Scoping Review and Mapping Process. J. Med. Internet Res. 2023, 25, e46715. [Google Scholar] [CrossRef]
- Amiri, P.; Niazkhani, Z.; Pirnejad, H.; ShojaeiBaghini, M.; Bahaadinbeigy, K. Objectives, Outcomes, Facilitators, and Barriers of Telemedicine Systems for Patients with Alzheimer’s Disease and Their Caregivers and Care Providers: A Systematic Review. Arch. Iran. Med. 2022, 25, 564–573. [Google Scholar] [CrossRef]
- Lewinski, A.A.; Walsh, C.; Rushton, S.; Soliman, D.; Carlson, S.M.; Luedke, M.W.; Halpern, D.J.; Crowley, M.J.; Shaw, R.J.; Sharpe, J.A.; et al. Telehealth for the Longitudinal Management of Chronic Conditions: Systematic Review. J. Med. Internet Res. 2022, 24, e37100. [Google Scholar] [CrossRef] [PubMed]
- Appleton, R.; Williams, J.; Juan, N.V.S.; Needle, J.J.; Schlief, M.; Jordan, H.; Rains, L.S.; Goulding, L.; Badhan, M.; Roxburgh, E.; et al. Implementation, Adoption, and Perceptions of Telemental Health During the COVID-19 Pandemic: Systematic Review. J. Med. Internet Res. 2021, 23, e31746. [Google Scholar] [CrossRef] [PubMed]
- Bailey, J.E.; Gurgol, C.; Pan, E.; Njie, S.; Emmett, S.; Gatwood, J.; Gauthier, L.; Rosas, L.G.; Kearney, S.M.; Robler, S.K.; et al. Early Patient-Centered Outcomes Research Experience with the Use of Telehealth to Address Disparities: Scoping Review. J. Med. Internet Res. 2021, 23, e28503. [Google Scholar] [CrossRef]
- Chan, R.J.; Crichton, M.; Crawford-Williams, F.; Agbejule, O.A.; Yu, K.; Hart, N.H.; Alves, F.d.A.; Ashbury, F.D.; Eng, L.; Fitch, M.; et al. The Efficacy, Challenges, and Facilitators of Telemedicine in Post-Treatment Cancer Survivorship Care: An Overview of Systematic Reviews. Ann. Oncol. 2021, 32, 1552–1570. [Google Scholar] [CrossRef]
- Garfan, S.; Alamoodi, A.H.; Zaidan, B.B.; Al-Zobbi, M.; Hamid, R.A.; Alwan, J.K.; Ahmaro, I.Y.Y.; Khalid, E.T.; Jumaah, F.M.; Albahri, O.S.; et al. Telehealth Utilization during the Covid-19 Pandemic: A Systematic Review. Comput. Biol. Med. 2021, 138, 104878. [Google Scholar] [CrossRef]
- Khoshrounejad, F.; Hamednia, M.; Mehrjerd, A.; Pichaghsaz, S.; Jamalirad, H.; Sargolzaei, M.; Hoseini, B.; Aalaei, S. Telehealth-Based Services During the COVID-19 Pandemic: A Systematic Review of Features and Challenges. Front. Public Health 2021, 9, 711762. [Google Scholar] [CrossRef]
- Yi, J.S.; Pittman, C.; Price, C.L.; Nieman, C.L.; Oh, E.S. Telemedicine and Dementia Care: A Systematic Review of Barriers and Facilitators. J. Am. Med. Dir. Assoc. 2021, 22, 1396–1402.e18. [Google Scholar] [CrossRef]
- Aquilanti, L.; Santarelli, A.; Mascitti, M.; Procaccini, M.; Rappelli, G. Dental Care Access and the Elderly: What Is the Role of Teledentistry? A Systematic Review. Int. J. Environ. Res. Public Health 2020, 17, 9053. [Google Scholar] [CrossRef]
- DeNicola, N.; Grossman, D.; Marko, K.; Sonalkar, S.; Butler Tobah, Y.S.; Ganju, N.; Witkop, C.T.; Henderson, J.T.; Butler, J.L.; Lowery, C. Telehealth Interventions to Improve Obstetric and Gynecologic Health Outcomes: A Systematic Review. Obstet. Gynecol. 2020, 135, 371. [Google Scholar] [CrossRef]
- Banbury, A.; Nancarrow, S.; Dart, J.; Gray, L.; Parkinson, L. Telehealth Interventions Delivering Home-Based Support Group Videoconferencing: Systematic Review. J. Med. Internet Res. 2018, 20, e8090. [Google Scholar] [CrossRef] [PubMed]
- Edwards, D.; Noyes, J.; Lowes, L.; Haf Spencer, L.; Gregory, J.W. An Ongoing Struggle: A Mixed-Method Systematic Review of Interventions, Barriers and Facilitators to Achieving Optimal Self-Care by Children and Young People with Type 1 Diabetes in Educational Settings. BMC Pediatr. 2014, 14, 228. [Google Scholar] [CrossRef] [PubMed]
- French, B.; Day, E.; Watkins, C.; McLoughlin, A.; Fitzgerald, J.; Leathley, M.; Davies, P.; Emsley, H.; Ford, G.; Jenkinson, D.; et al. The Challenges of Implementing a Telestroke Network: A Systematic Review and Case Study. BMC Med. Inform. Decis. Mak. 2013, 13, 125. [Google Scholar] [CrossRef] [PubMed]
- Ferreira, V.R.; Metting, E.; Schauble, J.; Seddighi, H.; Beumeler, L.; Gallo, V. eHealth Tools to Assess the Neurological Function for Research, in Absence of the Neurologist—A Systematic Review, Part I (Software). J. Neurol. 2024, 271, 211–230. [Google Scholar] [CrossRef]
- Gryglewicz, K.; Orr, V.L.; McNeil, M.J.; Taliaferro, L.A.; Hines, S.; Duffy, T.L.; Wisniewski, P.J. Translating Suicide Safety Planning Components Into the Design of mHealth App Features: Systematic Review. JMIR Ment. Health 2024, 11, e52763. [Google Scholar] [CrossRef]
- Jiang, S.; Ng, J.Y.Y.; Chong, K.H.; Peng, B.; Ha, A.S. Effects of eHealth Interventions on 24-Hour Movement Behaviors Among Preschoolers: Systematic Review and Meta-Analysis. J. Med. Internet Res. 2024, 26, e52905. [Google Scholar] [CrossRef] [PubMed]
- Jiang, Z.; Huang, X.; Wang, Z.; Liu, Y.; Huang, L.; Luo, X. Embodied Conversational Agents for Chronic Diseases: Scoping Review. J. Med. Internet Res. 2024, 26, e47134. [Google Scholar] [CrossRef]
- Gasteiger, N.; Dowding, D.; Norman, G.; McGarrigle, L.; Eost-Telling, C.; Jones, D.; Vercell, A.; Ali, S.M.; O’Connor, S. Conducting a Systematic Review and Evaluation of Commercially Available Mobile Applications (Apps) on a Health-Related Topic: The TECH Approach and a Step-by-Step Methodological Guide. BMJ Open 2023, 13, e073283. [Google Scholar] [CrossRef]
- Goodman, A.; Mahoney, R.; Spurling, G.; Lawler, S. Influencing Factors to mHealth Uptake with Indigenous Populations: Qualitative Systematic Review. JMIR mHealth uHealth 2023, 11, e45162. [Google Scholar] [CrossRef]
- van der Kamp, M.R.; Hengeveld, V.S.; Brusse-Keizer, M.G.J.; Thio, B.J.; Tabak, M. eHealth Technologies for Monitoring Pediatric Asthma at Home: Scoping Review. J. Med. Internet Res. 2023, 25, e45896. [Google Scholar] [CrossRef]
- Baines, R.; Bradwell, H.; Edwards, K.; Stevens, S.; Prime, S.; Tredinnick-Rowe, J.; Sibley, M.; Chatterjee, A. Meaningful Patient and Public Involvement in Digital Health Innovation, Implementation and Evaluation: A Systematic Review. Health Expect. 2022, 25, 1232–1245. [Google Scholar] [CrossRef]
- Bear, H.A.; Nunes, L.A.; DeJesus, J.; Liverpool, S.; Moltrecht, B.; Neelakantan, L.; Harriss, E.; Watkins, E.; Fazel, M. Determination of Markers of Successful Implementation of Mental Health Apps for Young People: Systematic Review. J. Med. Internet Res. 2022, 24, e40347. [Google Scholar] [CrossRef] [PubMed]
- Butler, S.; Sculley, D.; Santos, D.; Fellas, A.; Gironès, X.; Singh-Grewal, D.; Coda, A. Effectiveness of eHealth and mHealth Interventions Supporting Children and Young People Living with Juvenile Idiopathic Arthritis: Systematic Review and Meta-Analysis. J. Med. Internet Res. 2022, 24, e30457. [Google Scholar] [CrossRef]
- Gillam, J.; Davies, N.; Aworinde, J.; Yorganci, E.; Anderson, J.E.; Evans, C. Implementation of eHealth to Support Assessment and Decision-Making for Residents with Dementia in Long-Term Care: Systematic Review. J. Med. Internet Res. 2022, 24, e29837. [Google Scholar] [CrossRef]
- Jakob, R.; Harperink, S.; Rudolf, A.M.; Fleisch, E.; Haug, S.; Mair, J.L.; Salamanca-Sanabria, A.; Kowatsch, T. Factors Influencing Adherence to mHealth Apps for Prevention or Management of Noncommunicable Diseases: Systematic Review. J. Med. Internet Res. 2022, 24, e35371. [Google Scholar] [CrossRef]
- Bezabih, A.M.; Gerling, K.; Abebe, W.; Abeele, V.V. Behavioral Theories and Motivational Features Underlying eHealth Interventions for Adolescent Antiretroviral Adherence: Systematic Review. JMIR mHealth uHealth 2021, 9, e25129. [Google Scholar] [CrossRef]
- Borghouts, J.; Eikey, E.; Mark, G.; Leon, C.D.; Schueller, S.M.; Schneider, M.; Stadnick, N.; Zheng, K.; Mukamel, D.; Sorkin, D.H. Barriers to and Facilitators of User Engagement with Digital Mental Health Interventions: Systematic Review. J. Med. Internet Res. 2021, 23, e24387. [Google Scholar] [CrossRef] [PubMed]
- Feldman, N.; Back, D.; Boland, R.; Torous, J. A Systematic Review of mHealth Application Interventions for Peripartum Mood Disorders: Trends and Evidence in Academia and Industry. Arch. Womens Ment. Health 2021, 24, 881–892. [Google Scholar] [CrossRef] [PubMed]
- Feroz, A.S.; Ali, N.A.; Khoja, A.; Asad, A.; Saleem, S. Using Mobile Phones to Improve Young People Sexual and Reproductive Health in Low and Middle-Income Countries: A Systematic Review to Identify Barriers, Facilitators, and Range of mHealth Solutions. Reprod. Health 2021, 18, 9. [Google Scholar] [CrossRef] [PubMed]
- Wronikowska, M.W.; Malycha, J.; Morgan, L.J.; Westgate, V.; Petrinic, T.; Young, J.D.; Watkinson, P.J. Systematic Review of Applied Usability Metrics within Usability Evaluation Methods for Hospital Electronic Healthcare Record Systems. J. Eval. Clin. Pract. 2021, 27, 1403–1416. [Google Scholar] [CrossRef]
- Bassi, A.; Arfin, S.; John, O.; Jha, V. An Overview of Mobile Applications (Apps) to Support the Coronavirus Disease 2019 Response in India. Indian J. Med. Res. 2020, 151, 468. [Google Scholar] [CrossRef]
- Gandrup, J.; Ali, S.M.; McBeth, J.; van der Veer, S.N.; Dixon, W.G. Remote Symptom Monitoring Integrated into Electronic Health Records: A Systematic Review. J. Am. Med. Inform. Assoc. 2020, 27, 1752–1763. [Google Scholar] [CrossRef]
- Jonker, L.T.; Haveman, M.E.; de Bock, G.H.; van Leeuwen, B.L.; Lahr, M.M.H. Feasibility of Perioperative eHealth Interventions for Older Surgical Patients: A Systematic Review. J. Am. Med. Dir. Assoc. 2020, 21, 1844–1851.e2. [Google Scholar] [CrossRef]
- Leonardsen, A.-C.L.; Hardeland, C.; Helgesen, A.K.; Grøndahl, V.A. Patient Experiences with Technology Enabled Care across Healthcare Settings- a Systematic Review. BMC Health Serv. Res. 2020, 20, 779. [Google Scholar] [CrossRef] [PubMed]
- Shaffer, K.M.; Tigershtrom, A.; Badr, H.; Benvengo, S.; Hernandez, M.; Ritterband, L.M. Dyadic Psychosocial eHealth Interventions: Systematic Scoping Review. J. Med. Internet Res. 2020, 22, e15509. [Google Scholar] [CrossRef] [PubMed]
- Tighe, S.A.; Ball, K.; Kensing, F.; Kayser, L.; Rawstorn, J.C.; Maddison, R. Toward a Digital Platform for the Self-Management of Noncommunicable Disease: Systematic Review of Platform-Like Interventions. J. Med. Internet Res. 2020, 22, e16774. [Google Scholar] [CrossRef]
- Varsi, C.; Nes, L.S.; Kristjansdottir, O.B.; Kelders, S.M.; Stenberg, U.; Zangi, H.A.; Børøsund, E.; Weiss, K.E.; Stubhaug, A.; Asbjørnsen, R.A.; et al. Implementation Strategies to Enhance the Implementation of eHealth Programs for Patients with Chronic Illnesses: Realist Systematic Review. J. Med. Internet Res. 2019, 21, e14255. [Google Scholar] [CrossRef]
- Allsop, M.J.; Powell, R.A.; Namisango, E. The State of mHealth Development and Use by Palliative Care Services in Sub-Saharan Africa: A Systematic Review of the Literature. BMJ Support. Palliat. Care 2018, 8, 155–163. [Google Scholar] [CrossRef]
- Bry, L.J.; Chou, T.; Miguel, E.; Comer, J.S. Consumer Smartphone Apps Marketed for Child and Adolescent Anxiety: A Systematic Review and Content Analysis. Behav. Ther. 2018, 49, 249–261. [Google Scholar] [CrossRef]
- Gehring, N.D.; McGrath, P.; Wozney, L.; Soleimani, A.; Bennett, K.; Hartling, L.; Huguet, A.; Dyson, M.P.; Newton, A.S. Pediatric eMental Healthcare Technologies: A Systematic Review of Implementation Foci in Research Studies, and Government and Organizational Documents. Implement. Sci. 2017, 12, 76. [Google Scholar] [CrossRef]
- Aranda-Jan, C.B.; Mohutsiwa-Dibe, N.; Loukanova, S. Systematic Review on What Works, What Does Not Work and Why of Implementation of Mobile Health (mHealth) Projects in Africa. BMC Public Health 2014, 14, 188. [Google Scholar] [CrossRef]
- Arnhold, M.; Quade, M.; Kirch, W. Mobile Applications for Diabetics: A Systematic Review and Expert-Based Usability Evaluation Considering the Special Requirements of Diabetes Patients Age 50 Years or Older. J. Med. Internet Res. 2014, 16, e2968. [Google Scholar] [CrossRef] [PubMed]
- de la Vega, R.; Miró, J. mHealth: A Strategic Field without a Solid Scientific Soul. A Systematic Review of Pain-Related Apps. PLoS ONE 2014, 9, e101312. [Google Scholar] [CrossRef] [PubMed]
- Baron, J.; McBain, H.; Newman, S. The Impact of Mobile Monitoring Technologies on Glycosylated Hemoglobin in Diabetes: A Systematic Review. J. Diabetes Sci. Technol. 2012, 6, 1185–1196. [Google Scholar] [CrossRef] [PubMed]
- General Data Protection Regulation (GDPR)—Legal Text. Available online: https://gdpr-info.eu/ (accessed on 20 May 2025).
- Regulation-EU-2025/327—EN-EUR-Lex. Available online: https://eur-lex.europa.eu/eli/reg/2025/327/oj/eng (accessed on 20 May 2025).
- Mathias, R.; McCulloch, P.; Chalkidou, A.; Gilbert, S. Digital Health Technologies Need Regulation and Reimbursement That Enable Flexible Interactions and Groupings. NPJ Digit. Med. 2024, 7, 148. [Google Scholar] [CrossRef] [PubMed]
- Schliess, F.; Affini Dicenzo, T.; Gaus, N.; Bourez, J.-M.; Stegbauer, C.; Szecsenyi, J.; Jacobsen, M.; Müller-Wieland, D.; Kulzer, B.; Heinemann, L. The German Fast Track Toward Reimbursement of Digital Health Applications: Opportunities and Challenges for Manufacturers, Healthcare Providers, and People with Diabetes. J. Diabetes Sci. Technol. 2024, 18, 470–476. [Google Scholar] [CrossRef]


| Factor | Barrier/Facilitator | Description | Lifecycle Phase |
|---|---|---|---|
| Regulatory Complexity (T) | Barrier | Different countries have varying regulations and reimbursement policies, creating access challenges. Variability in legal frameworks across countries creates barriers to market access. | Development and Implementation |
| Digital Literacy Disparities (T) | Barrier | Older adults and socioeconomically disadvantaged populations face difficulties in using telemedicine tools. | Implementation |
| Data Security Concerns (eH/T) | Barrier | Ensuring privacy and protection of patient data is a major challenge for telemedicine and eHealth platforms. | Development and Implementation |
| Integration with Electronic Health Records (T) | Barrier | Telemedicine systems often lack seamless interoperability with existing healthcare IT infrastructures. | Implementation |
| Enhanced Patient Engagement (eH) | Facilitator | eHealth tools empower patients by enabling self-monitoring and personalized health interventions. | Implementation |
| Improved Disease Management (eH) | Facilitator | Wearable sensors and real-time monitoring contribute to better disease outcomes. | Implementation |
| Cost Reduction (eH) | Facilitator | Digital interventions reduce healthcare utilization and improve efficiency in care delivery. | Implementation |
| Sustainability Issues (eH) | Barrier | The long-term adoption of eHealth technologies is hindered by funding gaps and a lack of reimbursement models. | Implementation |
| Financial Constraints (eH/T) | Barrier | High investment requirements make it difficult for startups to sustain projects. | Development and Implementation |
| Technological Challenges (eH/T) | Barrier | Interoperability and cybersecurity concerns hinder widespread implementation. | Development and Implementation |
| User Adoption (T) | Barrier | Low engagement from patients and providers reduces the feasibility of long-term success. | Implementation |
| Aspects | Mobile App | Telemed | AI | All | |||||
|---|---|---|---|---|---|---|---|---|---|
| n = 6 | n = 4 | n = 5 | n = 20 | ||||||
| M * | Md ** (Range) | M | Md (Range) | M | Md (Range) | M | Md (Range) | ||
| General aspects | Clinical need and target population | 8.4 | 9 (6–9) | 8.0 | 8 (7–9) | 7.6 | 8 (6–9) | 8.2 | 9 (6–9) |
| Size of the target population | 7.8 | 9 (5–9) | 7.5 | 7.5 (6–9) | 7.2 | 8 (5–8) | 7.5 | 8 (5–9) | |
| Regulatory compliance requirements | 7.4 | 7.5 (5–9) | 8.8 | 9 (8–9) | 8.0 | 8 (6–9) | 8.2 | 8 (5–9) | |
| Complexity and time required | 8.2 | 8.5 (5–9) | 7.0 | 7 (5–9) | 7.0 | 7 (5–9) | 7.4 | 7.5 (4–9) | |
| Clear standard of care (SoC) comparator | 8.4 | 8.5 (5–9) | 7.0 | 7.5 (5–8) | 7.3 | 8 (4–9) | 7.6 | 8 (4–9) | |
| Adaptability | Adaptability of the technology initially | 8.2 | 8 (5–9) | 7.0 | 6.5 (6–9) | 7.2 | 7 (6–8) | 7.4 | 7 (6–9) |
| Adaptability in the development phase | 7.0 | 6.5 (4–9) | 7.8 | 7.5 (7–9) | 7.2 | 8 (4–9) | 7.3 | 7.5 (4–9) | |
| Adaptability in the use phase | 7.8 | 8.5 (4–9) | 8.5 | 8.5 (8–9) | 8.0 | 9 (4–9) | 8.3 | 9 (4–9) | |
| Costs | Hardware maintenance (shipping cost, spare parts) | 2.4 | 1 (1–7) | 4.3 | 4.5 (1–7) | 2.6 | 1 (1–5) | 3.4 | 2 (1–7) |
| Software development/bug maintenance | 7.2 | 8 (4–8) | 7.0 | 7 (5–9) | 7.0 | 7 (5–9) | 7.2 | 7 (4–9) | |
| Personnel needs (quantity and training) | 7.4 | 7 (1–9) | 6.5 | 6 (5–9) | 7.6 | 8 (5–9) | 6.8 | 7 (5–9) | |
| Other initial costs | 7.5 | 7.5 (1–9) | 3.5 | 3.5 (1–6) | 3.5 | 3.5 (1–6) | 5.5 | 6 (1–9) | |
| Ongoing device/hardware maintenance | 4.4 | 3.5 (1–7) | 5.0 | 6 (1–7) | 2.6 | 1 (1–5) | 4.1 | 5 (1–7) | |
| Ongoing software development/bug maintenance | 6.4 | 6.5 (5–9) | 6.5 | 6 (6–8) | 6.4 | 7 (4–9) | 6.6 | 6 (4–9) | |
| Ongoing personnel needs | 7.2 | 6.5 (1–9) | 7.3 | 7.5 (6–8) | 7.2 | 9 (4–9) | 6.8 | 7 (4–9) | |
| Other ongoing maintenance costs | 7.0 | 6 (1–8) | 8.0 | 8 (8) | 2.7 | 1 (1–6) | 5.1 | 6 (1–9) | |
| Clinical outcomes | Direct impact on clinical outcomes | 8.0 | 9 (4–9) | 8.0 | 8.5 (6–9) | 6.6 | 8 (1–9) | 7.7 | 8.5 (1–9) |
| Integration of care | 7.6 | 8 (1–9) | 8.3 | 8.5 (7–9) | 8.2 | 9 (6–9) | 7.6 | 9 (4–9) | |
| Continuity of care (long-term) | 7.0 | 6.5 (1–9) | 7.5 | 7 (7–9) | 6.2 | 6 (3–9) | 6.8 | 7 (3–9) | |
| Type of clinical improvement evidence | 7.3 | 7 (1–9) | 7.0 | 6.5 (6–9) | 7.4 | 8 (5–9) | 7.2 | 8 (4–9) | |
| Market access, reimbursement | Market access | 7.4 | 8 (3–9) | 7.8 | 8.5 (5–9) | 7.6 | 9 (5–9) | 7.7 | 9 (3–9) |
| Health Technology Assessment process | 7.8 | 7.5 (6–9) | 7.3 | 7.5 (6–8) | 7.4 | 7 (6–9) | 7.2 | 7 (2–9) | |
| Reimbursement and market access policies | 7.6 | 9 (3–9) | 7.5 | 8 (5–9) | 7.0 | 7 (4–9) | 7.7 | 8.5 (3–9) | |
| Expected return on investment (ROI) | 8.0 | 9 (5–9) | 6.5 | 6.5 (6–7) | 8.4 | 8 (8–9) | 8.1 | 8.5 (5–9) | |
| Readiness of health systems and target populations | Readiness of health systems | 7.6 | 9 (4–9) | 7.8 | 7.5 (7–9) | 7.6 | 8 (7–8) | 7.7 | 8 (4–9) |
| Readiness of patients: usability | 8.6 | 9 (7–9) | 8.0 | 8.5 (6–9) | 8.0 | 9 (6–9) | 8.2 | 9 (6–9) | |
| Readiness of patients: acceptance, willingness to use | 8.4 | 9 (7–9) | 7.5 | 7.5 (6–9) | 8.0 | 8 (7–9) | 8.1 | 8 (6–9) | |
| Readiness of patients: expected adherence | 8.6 | 9 (8–9) | 6.8 | 6 (6–9) | 7.8 | 8 (7–9) | 7.9 | 8 (6–9) | |
| Early involvement of patients/caregivers | 7.8 | 7.5 (6–9) | 7.0 | 7 (6–8) | 7.8 | 8 (6–9) | 7.6 | 8 (5–9) | |
| Early involvement of clinicians/HCPs | 8.4 | 9 (6–9) | 7.5 | 7.5 (6–9) | 7.4 | 9 (3–9) | 8.0 | 9 (3–9) | |
| Data aspects | Privacy and security of the end user | 8.4 | 9 (7–9) | 7.3 | 7.5 (6–8) | 8.4 | 9 (7–9) | 8.4 | 9 (6–9) |
| Data ownership | 8.6 | 9 (7–9) | 5.8 | 5.5 (5–7) | 7.8 | 9 (6–9) | 7.9 | 9 (6–9) | |
| Data privacy concerns (e.g., GDPR compliance) | 8.6 | 9 (8–9) | 7.3 | 7 (7–8) | 8.2 | 9 (6–9) | 8.4 | 9 (6–9) | |
| Type of Interview | Survey | Type of Technology | Country of Main Market | Established |
|---|---|---|---|---|
| Focus Group: Mobile App | Yes | mHealth | Italy | 2021 |
| Focus Group: Mobile App | Yes | mHealth | Germany | 2018 |
| Focus Group: Mobile App | Yes | mHealth | France, Belgium, UK | 2020 |
| Focus Group: Mobile App | No | mHealth | Germany | 2019 |
| Focus Group: Mobile App | No | mHealth, Telemed | Germany | 2017 |
| Focus Group: Mobile App | No | mHealth | France | 2017 |
| Focus Group: Telemed | Yes | mHealth, Telemed | Austria | 2015 |
| Focus Group: Telemed | Yes | Telemed, AI | Ukraine, Germany | 2019 |
| Focus Group: AI | Yes | AI | US | 2002 |
| Focus Group: AI | Yes | mHealth, AI | Poland | 2021 |
| Focus Group: AI | No | AI | France | 2020 |
| Focus Group: Mixed | No | mHealth, Telemed | Finland | 2020 |
| Focus Group: Mixed | No | Robotics | Finland | 2008 |
| Focus Group: Mixed | No | mHealth | Finland | 2020 |
| Focus Group: Mixed | Yes | mHealth, Telemed | France, Germany, UK | 2000 |
| Focus Group: Mixed | Yes | mHealth, AI | Austria | 2019 |
| Focus Group: Mixed | No | AI | Austria | 2018 |
| Focus Group: Mixed | Yes | mHealth | France | 2016 |
| Interview | Yes | mHealth, Telemed, AI | Global | 1896 |
| Interview | Yes | Telemed | Germany | 2000 |
| Interview | Yes | mHealth, Telemed, AI | Global | 1888 |
| Interview | Yes | mHealth, Telemed, AI | Global | 1888 |
| Interview | No | mHealth, Telemed, AI | UK | NA |
| Focus Group: MedTech Europe | No | mHealth, Telemed, AI | Global | 1989 |
| Focus Group: MedTech Europe | Yes | mHealth, Telemed, AI | Global | 1949 |
| Focus Group: MedTech Europe | Yes | mHealth, Telemed, AI | Global | 1896 |
| Focus Group: MedTech Europe | No | mHealth, Telemed, AI | Global | 1891 |
| Focus Group: MedTech Europe | No | mHealth, Telemed, AI | Belgium | NA |
| Focus Group: MedTech Europe | No | mHealth, Telemed, AI | Belgium | NA |
| Did Not Participate | Yes | mHealth | France | 2019 |
| Did Not Participate | Yes | AI | Spain | 2021 |
| Did Not Participate | Yes | mHealth | Poland, Germany | 2017 |
| Did Not Participate | Yes | Telemed | France | 2016 |
Disclaimer/Publisher’s Note: The statements, opinions and data contained in all publications are solely those of the individual author(s) and contributor(s) and not of MDPI and/or the editor(s). MDPI and/or the editor(s) disclaim responsibility for any injury to people or property resulting from any ideas, methods, instructions or products referred to in the content. |
© 2025 by the authors. Published by MDPI on behalf of the Market Access Society. Licensee MDPI, Basel, Switzerland. This article is an open access article distributed under the terms and conditions of the Creative Commons Attribution (CC BY) license (https://creativecommons.org/licenses/by/4.0/).
Share and Cite
Mezei, F.; Tsiasiotis, E.; Basile, M.; Sciomenta, I.; Calosci, E.M.; Antonini, D.; Lukacs, A.; Di Bidino, R.; Cicchetti, A.; Sacchini, D. Shaping the Future of DHT Assessment: Insights on Industry Challenges, Developer Needs, and a Harmonized, European HTA Framework. J. Mark. Access Health Policy 2025, 13, 46. https://doi.org/10.3390/jmahp13030046
Mezei F, Tsiasiotis E, Basile M, Sciomenta I, Calosci EM, Antonini D, Lukacs A, Di Bidino R, Cicchetti A, Sacchini D. Shaping the Future of DHT Assessment: Insights on Industry Challenges, Developer Needs, and a Harmonized, European HTA Framework. Journal of Market Access & Health Policy. 2025; 13(3):46. https://doi.org/10.3390/jmahp13030046
Chicago/Turabian StyleMezei, Fruzsina, Emmanouil Tsiasiotis, Michele Basile, Ilaria Sciomenta, Elena Maria Calosci, Debora Antonini, Adam Lukacs, Rossella Di Bidino, Americo Cicchetti, and Dario Sacchini. 2025. "Shaping the Future of DHT Assessment: Insights on Industry Challenges, Developer Needs, and a Harmonized, European HTA Framework" Journal of Market Access & Health Policy 13, no. 3: 46. https://doi.org/10.3390/jmahp13030046
APA StyleMezei, F., Tsiasiotis, E., Basile, M., Sciomenta, I., Calosci, E. M., Antonini, D., Lukacs, A., Di Bidino, R., Cicchetti, A., & Sacchini, D. (2025). Shaping the Future of DHT Assessment: Insights on Industry Challenges, Developer Needs, and a Harmonized, European HTA Framework. Journal of Market Access & Health Policy, 13(3), 46. https://doi.org/10.3390/jmahp13030046

