Avoiding Error and Finding the Right Balance in European Health Technology Assessments: Insights Generated by the European Access Academy
Abstract
1. Introduction
- Balancing Interaction: EU HTA and EMA [7].
- Balancing Expert Input: Joint Scientific Consultation (JSC) and JCA [5].
- Balancing Interface: EU HTA and MS (clinician and patient perspective) [5]
- Balancing Bias due to Stakeholder Interests: Transparency and Expertise [6]
2. Methods
2.1. The Generation of Input for Discussions Through a Pre-Convention Survey
2.2. Preparation of Break-Out Sessions During the EAA Convention
- Topic 1—Balancing Interaction: EU HTA and EMA (WG1).
- Topic 2—Balancing Expert Input: JSC and JCA (WG2).
- Topic 3—Balancing Interface: EU HTA and MS (clinician and patient perspective) (WG3).
- Topic 4—Balancing Bias due to Stakeholder Interests: Transparency and Expertise (WG4).
2.3. Procedural Approach of the Break-Out Sessions
2.4. Plenary Session and Ranking
2.5. Data Handling and Analysis
3. Results
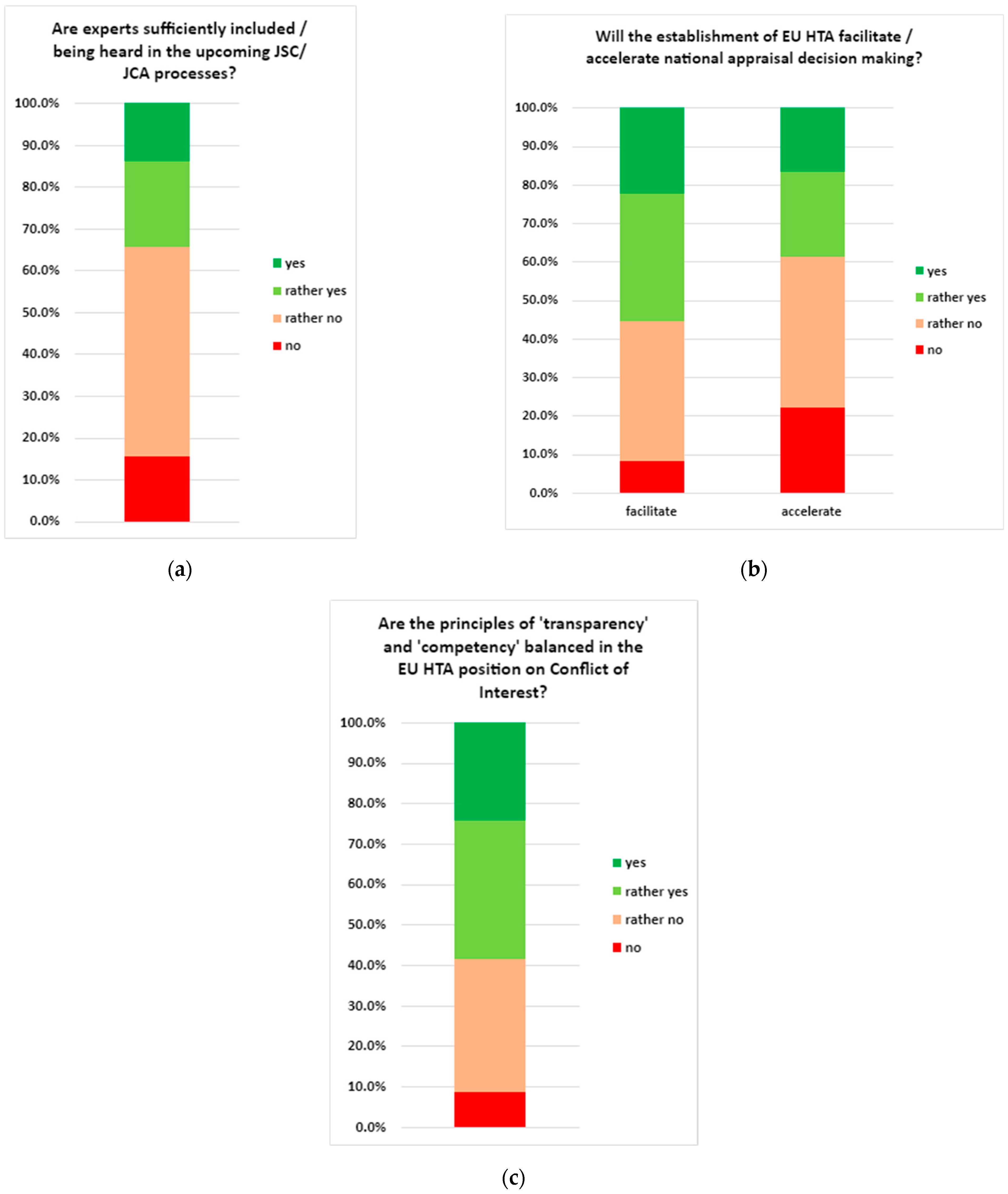
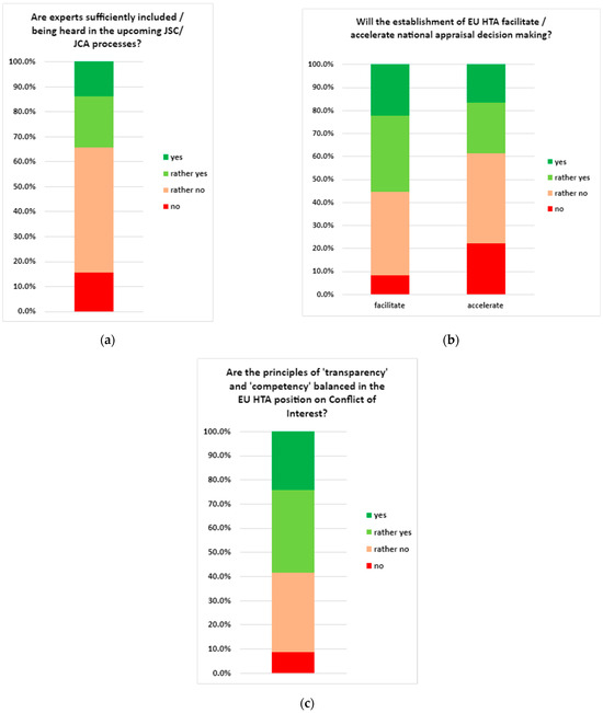
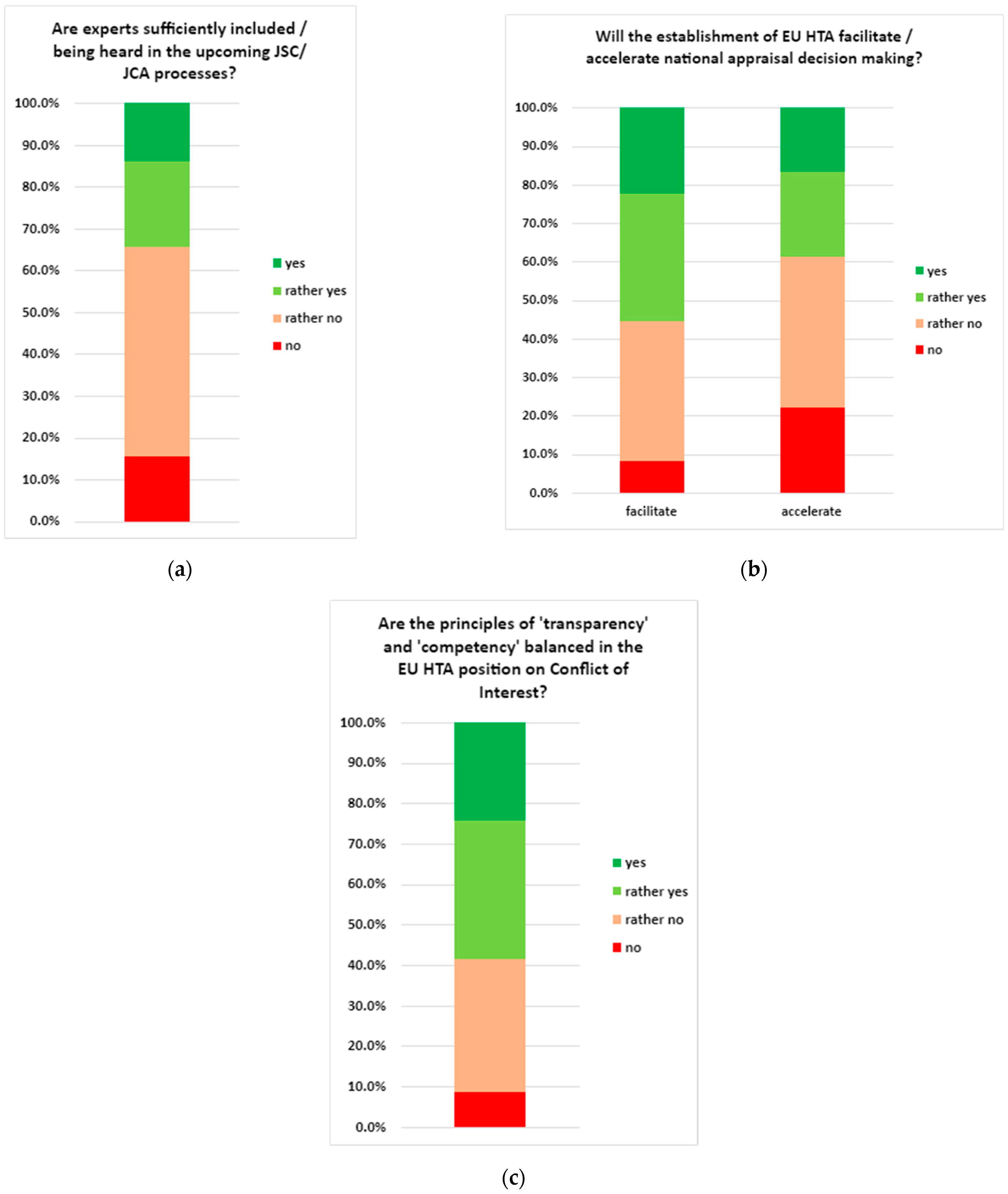
3.1. The Outcomes of the Pre-Convention Survey
- Optimising expert (patients, clinical experts) input into JSC and JCA: 65.5% of the respondents believe that experts are not sufficiently included/being heard in both JSC and JCA.
- Optimising the interface of the EU HTA and national HTA methods and processes: 56.9% of the respondents indicated that the EU HTA will facilitate national appraisal decision-making; however, a minority of respondents—37.9%—thought it would accelerate national appraisal decision-making.
- Bias due to stakeholder interest: 58.6% of the respondents believed that the principles of ‘transparency’ and ‘competency’ are balanced in the current (i.e., before publication of the draft IA on CoI rules under the EU HTAR by the European Commission) EU HTA position on CoI.

3.2. Insights from the Break-Out Sessions
- WG 1: The WG reached a consensus that further collaboration on the therapeutic area methodological guidelines should be aimed for. The participants remained divided on whether the methodologies used to evaluate clinical evidence to support marketing authorisation and relative effectiveness should be further aligned or remain separate due to the differing scope of the two procedures. Further, the importance of an early scientific dialogue was highlighted. Improved communication between the EMA and EU HTA was considered necessary to ensure efficient knowledge transfer from the Committee for Medicinal Products for Human Use, especially the reasoning of the regulatory assessment, to subsequent HTA-related discussions. The WG further elaborated on potential synergies between the EMA regulatory assessment and JCA and opportunities to avoid the duplication of work. For example, the group suggested that, in case a PICO (Population, Intervention, Comparator, Outcomes) identified for a JCA has already been addressed in the marketing authorisation assessment, the JCA might refer to the regulatory assessment for HTA purposes. Table 1 depicts the three key action points identified by WG 1.
- WG 2: While the official “touch points” to include the patient and clinician voice in the EU HTA appeared well defined to the group, the details of when and how to provide this input (i.e., timelines, format, etc.) appeared less clear. The WG insisted on the importance of incorporating patients’ and clinicians’ input in the EU HTA to provide essential guidance on PICOs, insights into certain aspects of trial designs, and guidance on the evaluation of uncertainty in a specific context. The WG stressed that to leverage expertise and align efforts effectively and efficiently—considering the prevailing capacity constraints of the involved stakeholders—all experts (e.g., patients, clinicians, HTDs) should be involved early in the EU HTA process, ideally from horizon scanning and JSC. Details on when and how, and what kind of input will be collected, appeared not sufficiently clear. Furthermore, the WG considered that representativeness across different countries should be aimed for, in order to achieve comprehensive coverage and the balance of every EU region and their specific requirements and health environments. The group also pointed out that clarifying the potential impact that expert input will have at the different process stages of an EU assessment might help achieve a sustained high-quality engagement of experts. The three top priority points identified by WG 2 are detailed in Table 1.
- WG 3: There was clear consensus that, with respect to involvement in the EU HTA, the efforts of both patients and clinicians appear fragmented across the EU. This contrasts with the situation on a national level, where both act in alignment in their specific health environments. The WG considered that expert involvement in EU JCAs will likely reduce this fragmentation due to the participation and collaboration of national associations or societies both at national and the EU level. Concerns were, however, raised regarding both workload and timelines, which appear not feasible based on current guidance. Therefore, it will be important to involve clinicians and patients early and share horizon scanning results to allow for upfront discussion and preparation. To further address timelines and capacity concerns, the WG suggested clarifying processes for coordination at both the EU and national levels, and harmonising methods of expert involvement at the national level. Lastly, the WG found both political willingness and financial support important issues for increasing patient involvement capacities. The top three activities identified by WG 3 are detailed in Table 1.
- WG 4: The WG agreed that, when considering CoI in HTA, both transparency and expertise are the two equally crucial core principles. The management of CoI should be prioritising inclusion of the best available expertise while providing full transparency on relationships and interests. The group found that in the EUnetHTA 21 CoI guidance these principles was not optimally balanced, as there were concerns about the exclusion of certain groups (e.g., patient organisations co-sponsored by industry) due to CoI. The WG argued that the existence of a certain level of CoI should be accepted, but made transparent, to avoid important and valuable expertise being excluded. As a result, there should be an emphasis on the quality of the evaluation, and CoI should be managed effectively and with flexibility to meet this standard, i.e., aiming for decisions on CoI to be taken on a case-by-case basis, taking into account the individual context. The suggested three highest-priority points of relevance identified by WG 4 are stated in Table 1.

3.3. Ranking Obtained in the Final Plenary Session
4. Discussion
4.1. Balancing Interaction for Efficient and Effective Collaboration
4.2. Balancing Expert Input for Efficient and Effective Inclusion
4.3. Limitations and Further Research
5. Conclusions
Supplementary Materials
Author Contributions
Funding
Institutional Review Board Statement
Informed Consent Statement
Data Availability Statement
Acknowledgments
Conflicts of Interest
Correction Statement
Statements and Declarations
References
- European Access Academy. European Access Academy EAA Convention Proceedings EU HTA—Finding the Right Balance; The European Access Academy: Basel, Switzerland, 2024; Volume 5, pp. 1–36. [Google Scholar]
- The European Parliament and the Council of the European Union. Regulation (EU) 2021/2282 of the European Parliament and of the Council of 15 December 2021 on Health Technology Assessment and Amending Directive 2011/24/EU (2021); § 3. Available online: https://eur-lex.europa.eu/legal-content/EN/TXT/?uri=CELEX:32021R2282#d1e631-1-1 (accessed on 30 July 2024).
- The European Parliament and the Council of the European Union. Regulation (EU) 2021/2282 of the European Parliament and of the Council of 15 December 2021 on Health Technology Assessment and Amending Directive 2011/24/EU (2021); § 8. Available online: https://eur-lex.europa.eu/legal-content/EN/TXT/?uri=CELEX:32021R2282#d1e631-1-1 (accessed on 30 July 2024).
- European Commission. Rolling Plan—Implementation of the Regulation on Health Technology Assessment. 2022. Available online: https://health.ec.europa.eu/latest-updates/rolling-plan-implementation-regulation-health-technology-assessment-2022-03-10_en (accessed on 30 July 2024).
- European Commission. Commission Implementing Regulation (EU) …/… of 23.5.2024 Laying Down, Pursuant to Regulation (EU) 2021/2282 on Health Technology Assessment, Procedural Rules for the Interaction During, Exchange of Information on, and Participation in, the Preparation and Update of Joint Clinical Assessments of Medicinal Products for Human Use at Union Level, as Well as Templates for Those Joint Clinical Assessments. C(2024)3320. 2024. Available online: https://ec.europa.eu/info/law/better-regulation/have-your-say/initiatives/13708-Health-technology-assessment-joint-clinical-assessments-of-medicinal-products_en (accessed on 30 July 2024).
- European Commission. Commission Implementing Regulation (EU) …/… of 25.10.2024: Laying Down Rules for the Application of Regulation (EU) 2021/2282 of the European Parliament and of the Council as Regards the Management of Conflicts of Interest in the Joint Work of the Member State Coordination Group on Health Technology Assessment and Its subgroups. C(2024) 7401 final. 2024. Available online: https://ec.europa.eu/info/law/better-regulation/have-your-say/initiatives/13751-Health-technology-assessment-procedural-rules-for-assessing-and-managing-conflicts-of-interest_en (accessed on 8 February 2024).
- European Commission. Commission Implementing Regulation (EU) …/… of 18.10.2024 Laying Down, Pursuant to Regulation (EU) 2021/2282 of the European Parliament and of the Council, Detailed Procedural Rules for the Cooperation of the Member State Coordination Group on Health Technology Assessment and the Commission with the European Medicines Agency in the Form of Exchange of Information as Regards the Joint Clinical Assessment of Medicinal Products and Medical Devices and In Vitro Diagnostic Medical Devices and as Regards the Joint Scientific Consultation on Medicinal Products and Medical Devices. Ares(2024)4600553. 2024. Available online: https://ec.europa.eu/info/law/better-regulation/have-your-say/initiatives/14164-Health-technology-assessment-cooperation-with-the-European-Medicines-Agency_en (accessed on 30 July 2024).
- The European Parliament and the Council of the European Union. Regulation (EU) 2021/2282 of the European Parliament and of the Council of 15 December 2021 on Health Technology Assessment and Amending Directive 2011/24/EU (2021). Available online: https://eur-lex.europa.eu/legal-content/EN/TXT/?uri=CELEX:32021R2282#d1e631-1-1 (accessed on 30 July 2024).
- Julian, E.; Pavlovic, M.; Sola-Morales, O.; Gianfrate, F.; Toumi, M.; Bucher, H.C.; Dierks, C.; Greiner, W.; Mol, P.; Bergmann, J.-F.; et al. Shaping a research agenda to ensure a successful European health technology assessment: Insights generated during the inaugural convention of the European access academy. Health Econ. Rev. 2022, 5, 54. [Google Scholar] [CrossRef]
- Wang, T.; McAuslane, N.; Liberti, L.; Leufkens, H.; Hövels, A. Building Synergy between Regulatory and HTA Agencies beyond Processes and Procedures-Can We Effectively Align the Evidentiary Requirements? A Survey of Stakeholder Perceptions. Value Health 2018, 21, 707–714. [Google Scholar] [CrossRef] [PubMed]
- Hogervorst, M.A.; Møllebæk, M.; Vreman, R.A.; Lu, T.; Wang, J.; De Bruin, M.L.; Leufkens, H.G.M.; Mantel-Teeuwisse, A.; Goettsch, W. Perspectives on how to build bridges between regulation, health technology assessment and clinical guideline development: A qualitative focus group study with European experts. BMJ Open 2023, 13, e072309. [Google Scholar] [CrossRef] [PubMed]
- Desmet, T.; Julian, E.; Van Dyck, W.; Huys, I.; Simoens, S.; Giuliani, R.; Toumi, M.; Dierks, C.; Dierks, J.; Cardone, A.; et al. An Inclusive Civil Society Dialogue for Successful Implementation of the EU HTA Regulation: Call to Action to Ensure Appropriate Involvement of Stakeholders and Collaborators. J. Mark. Access Health Policy 2024, 12, 34. [Google Scholar] [CrossRef]
- Van Haesendonck, L.; Ruof, J.; Desmet, T.; Van Dyck, W.; Simoens, S.; Huys, I.; Giuliani, R.; Toumi, M.; Dierks, C.; Dierks, J.; et al. The role of stakeholder involvement in the evolving EU HTA process: Insights generated through the European Access Academy’s multi-stakeholder pre-convention questionnaire. J. Mark. Access Health Policy 2023, 11, 2217543. [Google Scholar] [CrossRef]
- Julian, E.; Solà-Morales, O.; Garcia, M.J.; Brinkhuis, F.; Pavlovic, M.; Martín-Saborido, C.; Doeswijk, R.; Giuliani, R.; Willemsen, A.; Goettsch, W.; et al. The Role of Medical Societies and the Relevance of Clinical Perspective in the Evolving EU HTA Process: Insights Generated at the 2023 Fall Convention and Survey of the European Access Academy. J. Mark. Access Health Policy 2024, 12, 143. [Google Scholar] [CrossRef]
- EUCAPA—European Capacity Building for Patients. About HTA. Available online: https://www.eucapa.eu/project/hta (accessed on 29 August 2024).
- EUPATI. HTA4Patients—Bringing Health Technology Assessment Closer to Patients. Available online: https://eupati.eu/hta4patients/ (accessed on 29 August 2024).
- EUnetHTA 21. D7.2—Guidance On Patient & Healthcare Professional Involvement. 2023. Available online: https://www.eunethta.eu/wp-content/uploads/2023/04/EUnetHTA-21-D7.2-Guidance-for-involvement-of-patient-and-clinical-expert-in-JSC-and-JCA-v1.0.pdf (accessed on 29 August 2024).
- Brinkhuis, F.; Julian, E.; van den Ham, H.; Gianfrate, F.; Strammiello, V.; Berntgen, M.; Pavlovic, M.; Mol, P.; Wasem, J.; Van Dyck, W.; et al. Navigating the path towards successful implementation of the EU HTA Regulation: Key takeaways from the 2023 Spring Convention of the European Access Academy. Health Res. Policy Syst. 2024, 22, 74. [Google Scholar] [CrossRef]
- Claessens, Z.; Lammens, M.; Barbier, L.; Huys, I. Opportunities and Challenges in Cross-Country Collaboration: Insights from the Beneluxa Initiative. J. Mark Access Health Policy 2024, 12, 144–157. [Google Scholar] [CrossRef]
- Desmet, T.; Brijs, M.; Vanderdonck, F.; Tops, S.; Simoens, S.; Huys, I. Implementing the EU HTA regulation: Insights from semi-structured interviews on patient expectations, Belgian and European institutional perspectives, and industry outlooks. Front. Pharmacol. 2024, 15, 1369508. [Google Scholar] [CrossRef]
- Alejandra, C.; Rebecca, S.; Arocha, L.S.; Ramagopalan Sreeram, V. EU HTA Joint Clinical Assessment: Are patients with rare disease going to lose out? J. Comp. Eff. Res. 2024, 13, e240052. [Google Scholar]
- Pisapia, A.; Banfi, G.; Tomaiuolo, R. The novelties of the regulation on health technology assessment, a key achievement for the European union health policies. Clin. Chem. Lab. Med. 2022, 60, 1160–1163. [Google Scholar] [CrossRef] [PubMed]
- Joshi, A.; Kale, S.; Chandel, S.; Pal, D.K. Likert Scale: Explored and Explained. Curr. J. Appl. Sci. Technol. 2015, 7, 396–403. [Google Scholar] [CrossRef]
- Niederberger, M.; Spranger, J. Delphi Technique in Health Sciences: A Map. Front Public Health 2020, 8, 457. [Google Scholar] [CrossRef] [PubMed]
- Slido. Home Page. Available online: https://www.slido.com (accessed on 30 July 2024).
- European Ombudsman. How the European Commission Applies Its Revised Rules of 2016 to Ensure Transparency in Relation to Its Expert Groups and Other Similar Entities that Support the Commission in the Preparation of (Legislative) Proposals. 2024. Available online: https://www.ombudsman.europa.eu/en/opening-summary/en/188875 (accessed on 20 December 2024).
- Tafuri, G.; Pagnini, M.; Moseley, J.; Massari, M.; Petavy, F.; Behring, A.; Catalan, A.; Gajraj, E.; Hedberg, N.; Obach, M.; et al. How aligned are the perspectives of EU regulators and HTA bodies? A comparative analysis of regulatory-HTA parallel scientific advice. Br. J. Clin. Pharmacol. 2016, 82, 965–973. [Google Scholar]
- Jansen, E.; Hines, P.A.; Berntgen, M.; Brand, A. Strengthening the Interface of Evidence-Based Decision Making Across European Regulators and Health Technology Assessment Bodies. Value Health 2022, 25, 1726–1735. [Google Scholar] [CrossRef]
- Schuster, V. EU HTA Regulation and Joint Clinical Assessment—Threat or Opportunity? J. Mark. Access Health Policy 2024, 12, 104. [Google Scholar] [CrossRef]
- Haas, A. Intersection of HTA and Regulatory Approval: Questions from a Payer Point of View. In Intersection of HTA and Regulatory Approval; Interdisciplinary Platform on Benefit Assessment; Staeck, F., van den Bergh, W., Eds.; Springer Medizin GmbH: Berlin, Germany, 2024; Volume 19, pp. 32–33. [Google Scholar]
- Wolters, S.; Jansman, F.G.A.; Postma, M.J. Differences in Evidentiary Requirements Between European Medicines Agency and European Health Technology Assessment of Oncology Drugs—Can Alignment Be Enhanced? Value Health 2022, 25, 1958–1966. [Google Scholar] [CrossRef]
- HTA CG—Member State Coordination Group on Health Technology Assessment. Methodological Guideline for Quantitative Evidence Synthesis: Direct and Indirect Comparisons. 2024. Available online: https://health.ec.europa.eu/latest-updates/methodological-guideline-quantitative-evidence-synthesis-direct-and-indirect-comparisons-2024-03-25_en (accessed on 31 July 2024).
- Hebborn, A. Demanding and Nurturing within Regulatory Assessment, HTA and Reimbursement: Arguments for Advancement. In Intersection of HTA and Regulatory Approval; Interdisciplinary Platform on Benefit Assessment; Staeck, F., van den Bergh, W., Eds.; Springer Medizin GmbH: Berlin, Germany, 2024; Volume 19, pp. 26–31. [Google Scholar]
- Adams, R.; Health Technology Assessment and Regulatory Methodologists and Assessors came Together for a Webinar [Post]. LinkedIn. 2024. Available online: https://www.linkedin.com/feed/update/urn:li:activity:7216425875540455424/ (accessed on 30 July 2024).
- European Commission. Health Technology Assessment: Commission Welcomes the Adoption of New Rules to Improve Access to Innovative Technologies. 2021. Available online: https://ec.europa.eu/commission/presscorner/detail/en/IP_21_6771 (accessed on 30 July 2024).
- European Commission. Promoting our European Way of Life—European Health Union. 2024. Available online: https://commission.europa.eu/strategy-and-policy/priorities-2019-2024/promoting-our-european-way-life/european-health-union_en (accessed on 30 July 2024).
- European Access Academy. Feedback from: Faculty of the European Access Academy—EAA Commentary to Draft Implementing Act on Conflict of Interest (CoI). 2024. Available online: https://ec.europa.eu/info/law/better-regulation/have-your-say/initiatives/13751-Health-technology-assessment-procedural-rules-for-assessing-and-managing-conflicts-of-interest/F3470267_en (accessed on 30 July 2024).
- Hunger, T.; Schnell-Inderst, P.; Sahakyan, N.; Siebert, U. Using Expert Opinion in Health Technology Assessment: A Guideline Review. Int. J. Technol. Assess. Health Care 2016, 32, 131–139. [Google Scholar] [CrossRef]
- Lips, P.; Timmers, L.; Bal, R.; Delnoij, D. Involvement of Patients and Medical Professionals in the Assessment of Relative Effectiveness: A Need for Closer Cooperation. Value Health 2022, 25, 1480–1488. [Google Scholar] [CrossRef]
- Monleón, C.; Martin-Späth, H.; Crespo, C.; Dussart, C.; Toumi, M. Implicit factors influencing the HTA deliberative processes in 5 European countries: Results from a mixed-methods research. Health Policy OPEN 2023, 5, 100109. [Google Scholar] [CrossRef]
- Sackett, D.L.; Rosenberg, W.M.; Gray, J.A.; Haynes, R.B.; Richardson, W.S. Evidence based medicine: What it is and what it isn’t. BMJ 1996, 312, 71–72. [Google Scholar] [CrossRef] [PubMed]
- European Commission, Directorate-General for Health and Food Safety. 3rd Meeting of the Health Technology Assessment Stakeholder Network, 11 June 2024, Brussels—Summary Minutes. 2024. Available online: https://health.ec.europa.eu/latest-updates/summary-report-hta-stakeholder-network-11-june-2024-2024-08-21_en (accessed on 2 September 2024).
- Drummond, M.; Tarricone, R.; Torbica, A. European union regulation of health technology assessment: What is required for it to succeed? Eur. J. Health Econ. 2022, 23, 913–915. [Google Scholar] [CrossRef] [PubMed]
- Dierks, C. Transparency and Expertise—The Guiding Principles in Managing Conflict of Interest. EAA Convention Proceedings—Midterms & Status of the Preparation Phase of the EU HTA Regulation; The European Access Academy: Basel, Switzerland, 2023; Volume 3, pp. 15–17. [Google Scholar]
- European Medicines Agency. European Medicines Agency Policy on the Handling of Competing Interests of Scientific Committees’ Members and Experts. 2022. Available online: https://www.ema.europa.eu/en/documents/other/policy-44-european-medicines-agency-policy-handling-competing-interests-scientific-committees-members-and-experts_en.pdf (accessed on 11 August 2024).
- European Medicines Agency. Declarations of Interests—A Practical Guide. Available online: https://www.ema.europa.eu/en/documents/presentation/presentation-declarations-interests-practical-guide_en.pdf (accessed on 11 August 2024).
- European Commission. Health Technology Assessment—Procedural Rules for Assessing and Managing Conflicts of Interest. Available online: https://ec.europa.eu/info/law/better-regulation/have-your-say/initiatives/13751-Health-technology-assessment-procedural-rules-for-assessing-and-managing-conflicts-of-interest/feedback_en?p_id=32892772 (accessed on 4 February 2025).
- Dorussen, H.; Lenz, H.; Blavoukos, S. Assessing the Reliability and Validity of Expert Interviews. Eur. Union Politics 2005, 6, 315–337. [Google Scholar] [CrossRef]
- Von Soest, C. Why Do We Speak to Experts? Reviving the Strength of the Expert Interview Method. Perspect. Politics 2023, 21, 277–287. [Google Scholar] [CrossRef]
- Pomerol, J.C. What is the added value of expert groups for decision making? J. Decis. Syst. 2022, 1–12. [Google Scholar] [CrossRef]

| Priority | Balancing Interaction: EU HTA and EMA | Balancing Expert Input: JSC and JCA | Balancing Interface: EU HTA and MS (Clinician and Patient Perspective) | Balancing Bias Due to Stakeholder Interests: Transparency and Expertise |
|---|---|---|---|---|
| 1 | Strengthen early scientific dialogue | Early and inclusive involvement of experts, i.e., patients, clinicians, HTDs, etc. | Share results of horizon scanning with MS and facilitate upfront discussion on PICOs both by patients and clinicians and national and EU level (scientific advice) | Involvement of best available expertise |
| 2 | (Better) Communicate CHMP reasoning applicable for subsequent HTA discussion | Aim for balanced representation of countries | Foster political willingness/financial support to increase capacities | Ensure full transparency |
| 3 | Collaborate on therapeutic area related methodological guidelines | Clarify official touchpoints (timelines, format) | Install clear process on coordination across EU and national level both for clinicians and patients | Accept that CoI is there and manage it effectively and with flexibility |
Disclaimer/Publisher’s Note: The statements, opinions and data contained in all publications are solely those of the individual author(s) and contributor(s) and not of MDPI and/or the editor(s). MDPI and/or the editor(s) disclaim responsibility for any injury to people or property resulting from any ideas, methods, instructions or products referred to in the content. |
© 2025 by the authors. Published by MDPI on behalf of the Market Access Society. Licensee MDPI, Basel, Switzerland. This article is an open access article distributed under the terms and conditions of the Creative Commons Attribution (CC BY) license (https://creativecommons.org/licenses/by/4.0/).
Share and Cite
Julian, E.; Belleman, T.; Garcia, M.J.; Rutten-van Mölken, M.; Doeswijk, R.; Giuliani, R.; Wörmann, B.J.; Widmer, D.; Tilleul, P.; Casado Arroyo, R.; et al. Avoiding Error and Finding the Right Balance in European Health Technology Assessments: Insights Generated by the European Access Academy. J. Mark. Access Health Policy 2025, 13, 6. https://doi.org/10.3390/jmahp13010006
Julian E, Belleman T, Garcia MJ, Rutten-van Mölken M, Doeswijk R, Giuliani R, Wörmann BJ, Widmer D, Tilleul P, Casado Arroyo R, et al. Avoiding Error and Finding the Right Balance in European Health Technology Assessments: Insights Generated by the European Access Academy. Journal of Market Access & Health Policy. 2025; 13(1):6. https://doi.org/10.3390/jmahp13010006
Chicago/Turabian StyleJulian, Elaine, Tom Belleman, Maria João Garcia, Maureen Rutten-van Mölken, Robin Doeswijk, Rosa Giuliani, Bernhard J. Wörmann, Daniel Widmer, Patrick Tilleul, Ruben Casado Arroyo, and et al. 2025. "Avoiding Error and Finding the Right Balance in European Health Technology Assessments: Insights Generated by the European Access Academy" Journal of Market Access & Health Policy 13, no. 1: 6. https://doi.org/10.3390/jmahp13010006
APA StyleJulian, E., Belleman, T., Garcia, M. J., Rutten-van Mölken, M., Doeswijk, R., Giuliani, R., Wörmann, B. J., Widmer, D., Tilleul, P., Casado Arroyo, R., Strammiello, V., Morgan, K., Guardian, M., Ermisch, M., Bernardini, R., Gianfrate, F., Capri, S., Uyl-de Groot, C. A., Pavlovic, M., & Ruof, J. (2025). Avoiding Error and Finding the Right Balance in European Health Technology Assessments: Insights Generated by the European Access Academy. Journal of Market Access & Health Policy, 13(1), 6. https://doi.org/10.3390/jmahp13010006

