Abstract
Using drone cells to optimize Radio Access Networks is an exemplary way to enhance the capabilities of terrestrial Radio Access Networks. Drones fitted with communication and relay modules can act as drone cells to provide an unobtrusive network connection. The multi-drone-cell placement problem is solved using adapted Dispersive Flies Optimization alongside other meta-heuristic algorithms such as Particle Swarm Optimization and differential evolution. A home-brewed simulator has been used to test the effectiveness of the different implemented algorithms. Specific environment respective parameter tuning has been explored to better highlight the possible advantages of one algorithm over the other in any particular environment. Algorithmic diversity has been explored, leading to several modifications and improvements in the implemented models. The results show that by using tuned parameters, there is a performance uplift in coverage probability when compared to the default meta-heuristic parameters while still remaining within the constraints implied by the problem’s requirements and resource limitation. This paper concludes by offering a study and comparison between multiple meta-heuristic approaches, investigating the impact of parameter tuning as well as analyzing the impact of intermittent restarts for the algorithms’ persistent diversity.
1. Introduction
Due to the ever-growing demand for mobile and communication networks, future Radio Access Networks (RANs) will be put under unprecedented strain to fulfill the needs for all connected users and devices. Providing pervasive connectivity to users and connected devices will have to be the main objective of future RAN architectures, as guaranteed Quality of Service (QoS) is expected by users. High-rise buildings, natural formations or lack of infrastructure can cause network blockages in certain areas, creating Coverage Holes (CHs) or Demanding Areas (DAs). These problems, included with highly dynamic and unevenly distributed traffic, present challenges in providing pervasive connectivity in modern day scenarios [1,2,3]. Deploying network towers or Base Stations (BSs) en masse in DAs or CHs is impractical since they are ineffective and increasingly expensive for construction. Moreover, due to their static nature, BSs cannot be redeployed in required DAs to deal with peak hour traffic or in areas further away from the range of the BS. To tackle these problems, drones or Unmanned Aerial Vehicles (UAVs) with onboard communication modules are leveraged as drone cells (DCs) to assist in network connectivity, creating the Drone-Assisted Radio Access Network (DA-RAN) [2]. DCs can enhance the performance of future RANs by using better Drone-to-Ground (D2G) wireless communication models, and on-board computational capabilities for dynamic and controllable deployment.
Drones fitted with communication and relay modules can provide on-demand network access in both temporal and spatial domains. DCs act as relay stations between the connected users and their respective BSs, extending the wireless communication range for users in CHs or DAs. Due to their flexibility, DCs can be deployed in emergency scenarios such as any temporary occurring event, natural disasters or ground BS failure to enhance network throughput [4]. DCs with their on-demand wireless coverage capabilities are also more economical in terms of operational expenditure [5]. Advances in drone development and related technology have propelled drones to perform complex tasks in diverse scenarios of human life. Equipped with a plethora of equipment and communication modules, drones can tackle a number of tasks such as traffic monitoring and surveillance [6], wildfire monitoring and control [7], security monitoring [8], logistic application as in Amazon Prime Air [9], DHL Parcelcopter [10], communication assistance [11,12], etc. The market share of drones was valued at USD 35.28 billion in 2024 by Modor Intelligence [13] with a market projection of the Compound Annual Growth Rate (CAGR) of 13.90% during the period of 2024–2029. The utility of DCs assisting wireless communication has attracted much attention from both industry and researchers alike. Significant steps were taken by Google and Facebook to create their own wireless drone communication network projects, known as Project Loon [14] and Aquila [15], respectively. Nokia put forward the UAV Traffic Management (UTM) architecture for UAV-assisted control [16], a UTM server for automated UAV missions, 3D navigation and collision avoidance. The world’s first long-term evolution LTE in association with drones was demonstrated by Intel and AT&T at the 2016 Mobile World Congress [17]. The first 5G-enabled drone prototype was field tested in Wuxi, China, in association with China Mobile and Ericsson [18]. Other companies such as Huawei and Qualcom also implemented DA-RANs in their own way to bolster and improve future 5G networks. In 2017, Huawei launched Digital Sky Initiative as their first low airspace digital network with 24-7 flying capabilities to support a low airspace digitized economy [19]. Qualcom introduced their vision for cellular drone communication where drones can fly up to altitudes of 400 ft to optimize cellular connectivity. These drones are capable of seamless handover between different BSs with zero link failures [20]. All these products and trials show that the future of terrestrial RANs in 5G communication will be mainly supported by aerial methods with support provided by DCs. Although some products were not as successful or beneficial as others leading to their early termination, the future of DA-RANs is brighter than ever.
Multiple DA-RAN architectures have been proposed by pioneers in the field based on the advantages of DA-RANs. The two most important DA-RAN architectures based on previous work in the field according to the types of DC used can be classified as the small DC DA-RAN and the macro DC DA-RAN. In the case of a small DC DA-RAN, the network architecture is similar to Cloud-RAN (C-RAN) where each DC exchanges data with its respective connected BS; in a small DC DA-RAN, the Remote Radio Heads (RRHs) are replaced with DCs [21]. Each BS acts as the main controller that can deploy and allocate DCs in DAs. Users in each DA in turn connect to these DCs and connect to the BS by the signal relay between the DC and BS. Small DCs are meant to act as an aerial extension of the BS, and hence, are not needed to support or have the full functionality of a terrestrial BS. This ensures that the power consumption of the DC is kept in check, and due to having a smaller payload and device weight, a small DC can operate for a longer period of time. The relatively small coverage of a small DC in comparison to a macro DC helps keep the inter-drone interference to a minimum, and coupled with its fast deployment capabilities, it has proven to be a suitable and reliable choice for enhancing future RAN and DA-RAN architecture by improving network coverage and signal strength in DAs [22]. A macro DC DA-RAN acts as an independent aerial RAN architecture flying over terrestrial RANs. Macro DCs usually have the full functionality of a terrestrial BS and provide additional spectrum resources to mitigate the inefficiency of the available spectrum and enhance the connectivity of connected users and devices. Macro DCs require a large amount of energy consumption due to being a fully operational BS, and they also support a much larger coverage when compared to terrestrial BSs. Researchers have since proposed many architectures leveraging both macro DCs and small DCs together for providing services, and their efficiency is evident in [23], where FSO wireless links are leveraged for communication networks. This work mainly focuses on the use of small DC-DA-RAN architecture. One of the most critical parts of the small DC-DA-RAN communication model is its limited range and power, which calls for an efficient usage of DCs. Like terrestrial networks, DCs are subjected to many factors that dictate the QoS of the DA-RAN architecture. Free space path loss, signal reflection and blocking due to natural or artificial obstructions are some of the reasons [24]. As such, the optimal placement of DCs has been the main focus for many researchers to achieve a high QoS.
In this work, a concise overview of the DA-RAN’s functionality is presented in Section 2, followed by the system model in Section 3 and the implemented methods in Section 4. Lastly, Section 5 covers a series of experiments conducted using the base algorithm parameters, which sparked further exploration into algorithmic diversity and parameter tuning, culminating in an analysis of the resulting trade-offs.
2. Background
The design challenge that a Drone-Assisted Radio Access Network (DA-RAN) aims to achieve is to optimize multiple DC flying altitudes and also have maximum radio coverage in a specified area while keeping within the constraint boundaries. The advantages of DA-RANs are that each BS can deploy multiple DCs to operate within a specified DA or CH such as a crowded stadium, traffic-congested area, areas suffering from communication loss due to any natural or artificial disaster, etc. They can also act as edge servers to connect more DCs in a mesh network outside the typical range of a BS. CHs created by special events such as concerts or sporting events, etc., are dynamically changing in spatial and temporal domains; hence, DCs need to be deployed or redeployed accordingly.
Three-Dimensional (3D) DC deployment problems have been an area of extensive research and multiple experiments have been conducted where DCs are deployed to act as an extension of a BS or as edge servers and improve signal strength [22]. Bor-Yaliniz, Irem et al. introduced a multi-tier-drone cell deployment complementing the terrestrial Heterogeneous Networks (HetNets) [23]; challenges regarding multi-tier drone networks are also discussed and addressed in the paper. Finally, a Drone-cell Management Framework (DMF) was proposed and the benefits of the proposed solution and its benefits in future RANs is demonstrated via a case study. Lyu, Jiangbin et al. proposed a polynomial-time algorithm with successive DC placement to minimize the number of UAV Mobile Base Stations (MBs) or DCs needed to maximize the radio coverage for a group of Ground Terminals (GTs) [25]. In this scenario, macro BSs are placed one after the other starting along the perimeter and then in a spiral pattern towards the center for any uncovered GT until all the GTs are covered by the DC [25]. A Spectrum Sharing network of DCs was researched by Zhang, Chiya et al. [26], where a 3D Poisson Point process is used to find the optimal density of DCs to maximize the network throughput while satisfying the cellular network efficiency constraint.
One of the key research studies was the creation of a dedicated communication model for an Air-to-Ground (A2G) wireless link. The DC placement is a 3D problem, and hence, the terrestrial RAN communication channels are not suitable for communication between hovering UAVs and terrestrial devices. Al-Hourani in his paper proposed an Air-to-Ground communication model that takes into consideration the Line of Sight (LoS) and non-Line of Sight (nLoS) probability links in different urban scenarios [27]. It has been mainly used to focus on a single performance metric and optimal deployment positions. Mozaffari, Mohammad et al. used a constrained K-means clustering approach to minimize the total transmitting power of DCs for optimal trajectory and deployment while enabling a reliable uplink of information from ground Internet-of-Things (IoT) devices [28]. Based on simulations and testing, the approach reduced the total transmit power of the IoT devices by 45% when compared to a static DC. Similarly, another optimal DC placement algorithm was developed by Alzenad, Mohamed et al. to maximize the number of covered users with minimum power consumption. Alzenad, Mohamed et al. proposed the solution by decoupling the Unmanned Aerial Vehicle Mounted Base Stations (UAV-BSs) into vertical and horizontal dimensions, simplifying the placement problem and then solving it [29]. Zhang, Chiya et al. also adopted the 3D Poisson Point process to optimize the density of DCs and also maximize the DC network throughput while satisfying the cellular network efficiency constraints [26]. The downlink coverage probability for the Rayleigh fading channel was derived in terms of an explicit equation by Zhou, Lai et al., and the optimal height, coverage probability and density of DCs were studied [30]. Taking into account the user mobility, Ghanavi, Rozhina et al. derived a Reinforced Learning approach using Q learning as the base to guarantee QoS to users through optimal DC deployment. Through simulations, it was proved that given enough time to learn the environment and processing time, the DCs are able to improve the QoS of the network considering the user’s movement. With this approach, the agility and the flexibility of future DA-RAN infrastructure can be kept intact [31].
A few constraints dictate the sufficient working and optimization of DA-RANs such as Drone-to-User (D2U), Drone-to-Base (D2B) links, operational constraints due to limited battery, interference from other DCs, interference from terrestrial RAN, weather conditions, etc. Most important from the above constraints is the Drone-to-Base and Drone-to-Ground (D2G) connection link. It is essential for the small DCs to be connected to an existing terrestrial RAN to function properly, since the main purpose of the DCs is to reliably relay data between the BS and connected users in DAs. Kalantari, Elham et al. conducted extensive research on the D2B back-haul links regarding multiple DC deployments with a minimum number of DCs needed for user coverage by implementing a heuristic algorithm. As part of related research in [32,33], the authors also investigated the optimal 3D back-haul placement of DCs by two different approaches, namely, user-centric and network-centric [33]. It was concluded that the network-centric approach maximizes the total number of users served regardless of the network required data rate, while the user-centric approach maximizes their sum rate.
A frequently used meta-heuristic technique used to deal with network coverage and resource allocation is Particle Swarm Optimization (PSO); it was adapted by Kalantari, Elham et al. in their paper and was modified to fit a particular problem, i.e., 3D placement of DBSs or DCs in a DA-RAN. Kalantari, Elham et al. implemented a utility function into PSO to maintain the capacity and find the coverage constraint for each drone. The utility function that successfully satisfied the coverage constraints while maintaining the capacity constraints was marked as the placement for the DBS. The proposed solution was later simulated in a 2D and 3D environment. Through simulations, it was noted that the DBS decreases its altitude in dense areas to reduce the interference to uncovered users and increases its altitude in low-density regions to cover large areas [32]. PSO was implemented by Ghazzai, Hakim et al. [34] for the cell planning problem for fourth-generation (4G) cellular networks. The main aim of the research was to satisfy both the cell coverage and the capacity constraints simultaneously. PSO was used to find the sub-optimal location for the BS that satisfied both the aforementioned constraints in any DAs. For the coverage and cell capacity constraints, many other factors such as the subarea category, user density, resource allocation and inter-cellular interference were also taken into account. Subsequent measures were also taken to remove the possibility of redundant BS placement and keep the inter-cellular interference and the number of BS placements to a minimum. PSO was again adapted by Shi, Weisen et al. to solve the 3D spatial deployment problem of DCs in a DA-RAN. The proposed solution took inspiration from the D2U and D2B path loss models explained in [27] and proposed a model where PSO was implemented in every DC independently, and the algorithm was further optimized to cancel a portion of the search space when an optimal position for the DC was found. The resulting algorithm was coined as per Drone Iterated Particle Swarm Optimization (DI-PSO). This results in the algorithm reaching a global optimum with much higher probability, and since the search space for the DC is updated after each iteration with only uncovered DAs remaining, the inter-drone interference is also kept to a minimum. Simulation testing and results also show that there is a much higher convergence rate in DI-PSO when compared with standard PSO [35].
Other related work in terms of network coverage, resource allocation and capacity include [34] include studies where instead of relying on drone cells, the algorithm finds the optimal place for setting up new Base Stations, implementing both PSO and Grey Wolf Optimization (GWO) [36] and studying their performances. The proposed method for an optimal Base Station location first includes placing the Base Stations in a random location owning to the random behavior of PSO and GWO and then eliminating the eventually redundant Base Stations. The redundant Base Stations are removed based on the assumption that if the absence of a Base Station affects at least one of the optimization problem constraints, then the Base Station has to be kept and assumed indispensable for a safe network operation [34]. A Balanced Grey Wolf Optimization (B-GWO) has been proposed for multi-UAV deployment and power allocation in Non-Orthogonal Multiple Access (NOMA); although different from DA-RAN, this implementation can be used for comparison or to gain insight into DC deployment and allocation [37]. Another researcher proposed the usage of GWO in Path Planning, where a Hybrid Discrete Grey Wolf Optimizer (HDGWO) has been used to optimize a multi-UAV path planning model with energy constraints (MUPPEC). GWO was also used by Pliatsios, Dimitrios et al. as one of many swarm intelligence algorithms for DC placement, and then later, all the implemented algorithms were compared. Among the implemented algorithms, GWO was found to be the most effective in DC placement according to Friedman and Wilcox tests [38].
Similar to user coverage using DCs, differential evolution (DE) has been employed to form a UAV-Assisted IoT Data Collection System with a variable population named differential evolution with a variable population size (DEVIPS) [39]. Similar to user coverage, the DCs in DEVIPS are deployed to have the best possible deployment position for the coverage of IoT devices. DE has also been implemented for a single unmanned aerial vehicle multitasking, since as an optimized problem, the efficiency of standard DE to obtain the global optimal solution is very low; therefore, an improved adaptive differential evolution algorithm has been implemented for this purpose [40]. The proposed algorithm can then adopt the mutation factor and crossover factor into a dynamic adaptive function which makes the above-mentioned factors able to adjust with the number of population iterations and individual fitness values. Much more recent developments in on-demand connectivity enablers have been conducted in [41], where Flying Base Stations or FBSs are deployed on the demanded network and based on user-specific requirements. Two different meta-heuristic models, Cuckoo search and differential evolution, were implemented with feasible results being provided by a novel repair operator and compared in various scenarios under constraints such as uplink and downlink rates, capacity of the FBS, etc. Extensive testing has shown that both models perform relatively well in covering all associated users in the demanding area, with the only major difference being that DE is three to six times faster in computation than the Cuckoo search algorithm.
3. System Model
Expanding more on the A2G communication links, Al-Hourani has proposed the A2G communication model taking into consideration the Line of Sight (LoS) and Non-Line of Sight (NLoS) probability links in different urban scenarios [27]. The link is calculated as:
where h is the height of the DC (altitude), r is the horizontal distance between the user and DC, i.e., ), where () is the location of the DC in the horizontal dimension, () denotes the location of the user, a and b are constant values which are determined by the terrestrial environment of the DC operation. Moreover, the probability of Non-Line of Sight is:
In addition to the path loss suffered in free space propagation, there is additional path loss experienced due to the random behavior and structure of the specific environment. In this report, only the mean path loss values are taken into consideration since DC or BS placement deals with long-term variation rather than short-term behavioral changes in the signal model [34]. From the previous model, the path loss models for NLoS and LoS are:
where , d is the distance between DC and user, and and are the average additional losses for LoS and NLoS links; these were calculated depending on the environment in [42].
The mean path loss covered by the LoS and NLoS probability link is [42]:
where is the frequency of the carrier and c is the speed of light.
For a UAV flying at height h, the coverage can be classified as a circular disk of radius R. Any users within the radius R can be considered as covered since the path loss experienced is less than or equal to the threshold ():
The optimal height of the DC was calculated in [42]. It can be said that for a given path loss, and coverage region R, there can be only one altitude h that maximizes the coverage region. Since R is an implicit function of h, the optimal height or the stationary point can be found by [29]:
where . Finding h that maximizes R can be performed by searching for optimal or . Solving yields the equation [42]:
Solving Equation (9) numerically yields the following optimal elevation angles for different environments, which were calculated in [29] and tabulated in Table 1:
Table 1.
Optimal elevation angles.
With , known, the maximum coverage radius was calculated using:
the optimal height can be found by:
and finally, the coverage region can be calculated by:
Based on these experiments, it was discovered that the optimal DC height can exceed beyond the Earth’s atmosphere, and hence, it was advised to add a height constraint on the DC placement problem [42].
This iteration of the DC problem is devoid of any power consumption or transmission power criteria. Future versions of DC placement will have the power criteria added onto the work shown in this report.
4. Proposed Methods for Optimal DC Placement
Three meta-heuristic algorithms have been implemented to address the DC placement problem, namely Particle Swarm Optimization, differential evolution, and Dispersive Flies Optimization. In the implemented algorithms, upon the first initialization, the population consisting of n number of agents (i.e., particles, chromosomes and flies) contains a random solution made up of x, y and z coordinates, where x and y are the latitudinal and longitudinal coordinates and z is the flying height of the DC. With each loop of the allotted time budget or termination criteria, the entire population moves within the search space, where the movement is dictated by each algorithm’s inner working principle and updates the solution, i.e., the x, y and z coordinates. Throughout the loop for each of the search agents, a fitness function calculates the path loss experienced between the DC and nearby users and stores the number of users whose experienced path loss is less than the path loss threshold specified, i.e., the covered users. Once this calculation has been conducted for all the search agents in the population, the x, y, z location of the search agent having the most number of users covered is stored as the global best and the population (i.e., the swarm) is pushed towards the global best location. This process continues until all the users have been covered or until termination criteria are met. A brief overview of each algorithm’s functioning is provided, along with their corresponding pseudo code.
4.1. Particle Swarm Optimization
Particle Swarm Optimization (PSO) is a meta-heuristic algorithm first proposed by James Kennedy and Russel Eberhart in 1995 inspired by the swarm behavior of flocking birds, and fish schools in nature [43]. As the name suggests, PSO works by having a swarm (population) of possible solutions. The movement of the particles in the search space is dictated by the particle’s best-known position and the best position of the swarm. The best-known position determines the direction of the entire swarm. These steps are repeated in its standard form for a number of iterations until a probable solution is found.
PSO works as a globally connected swarm where all particles share information between each other and know the best position ever visited by any particle in the swarm. Each particle’s position and velocity are given as [44]:
where i is the particle index, d is the dimension (each particle has a position and velocity for each dimension), and and are the position and the velocity of the particle i in dimension d at iteration t, respectively. and are the acceleration constants for the cognitive and social component, and and are the stochastic components of PSO in the limit [0, 1]. is the location of the best visited location in dimension d for particle i and is the best particle in the swarm in dimension d [44]. The pseudo code for PSO is presented in Algorithm 1.
| Algorithm 1 Particle Swarm Optimization (PSO) |
|
4.2. Differential Evolution
DE or the differential evolution algorithm [45] optimizes a problem by iteratively trying to improve a candidate solution with regard to a given measure of quality. DE was first introduced by Storn, Rainer et al. as an effective evolutionary technique that can be utilized in a continuous domain to address global optimization issues. DE first creates a population of candidate solutions which are chosen at random as if nothing is known about the system [46]. The candidate solutions with the best objective values are kept in the next iteration in such a manner that the new values of an individual are improved forming a consequent part of the population, otherwise the new values are discarded. These steps are repeated until the termination criteria are met. For every iteration, DE uses the mutation function to produce a donor vector for each individual in the population. The mutant vector for each target vector can be produced using a specific mutation function [47]. The mutation function used in the report is:
where are integers and are mutually exclusive and . The integers are chosen at random from the interval and are different from the index i. Here, F is a real and constant factor (scaling factor) that controls the intensification of the differential evolution and is the best individual vector [47]. The main advantage of DE is that it requires adjustment of only three parameters and the selection of the mutation strategy: the population size, the mutation factor F and the crossover parameter . The mutation factor is a scaling parameter, where smaller values of F lead to smaller steps in the mutation process, resulting in a longer convergence time. Conversely, higher values of F can accelerate convergence but may also cause the algorithm to overshoot the optimal solution. The crossover parameter CR affects the diversity within the population; higher values of CR introduce more variation, enhancing the algorithm’s ability to perform both local and global searches effectively. Finding an appropriate CR value is crucial for balancing exploration and exploitation capabilities [47]. The pseudo code for DE is presented in Algorithm 2.
| Algorithm 2 Differential evolution (DE) |
|
4.3. Dispersive Flies Optimization
DFO will be treated as the base-mark algorithm. DFO works on the basis of the movement of flies hovering over food sources. It has been proposed in this paper since it has been proven to outperform generic population-based algorithms such as the differential evolution algorithm (DE), PSO and Genetic Algorithm (GA) and is more effective and reliable in 84.62% and 90% of cases, respectively, when tested over a set of standard benchmarks, and if there exists a statically significant difference, DFO converged the solution in 71.05% of the problems set [48]. DFO requires fewer parameters for its function in comparison to the other aforementioned swarm intelligence algorithms. Dispersive Flies Optimization (DFO) is a minimalist, component-stripped swarm optimizer that relies exclusively on the particles’ positions at time t to determine their positions at time . Unlike other algorithms such as PSO, which uses memory and velocity vectors, or DE, which employs mutant and trial vectors, DFO does not use any additional vectors in its process. The pseudo code for DFO is presented in Algorithm 3.
These three meta-heuristic algorithms were selected due to their operational diversity and frequent use in the DA-RAN domain. Particle Swarm Optimization has been the most widely used meta-heuristic by leading researchers in the field, as discussed in Section 2. Differential evolution is also a well-established algorithm, applied in a variety of contexts, with its use cases explored in [49]. Dispersive Flies Optimization, while relatively new, is a simple yet effective swarm algorithm, demonstrating performance that can match or surpass others in certain scenarios, as detailed in Section 4.3. Through the implementation of these algorithms, this paper aims to provide an overview of the most commonly used methods for DC placement, while also highlighting lesser-known approaches that can deliver results comparable to those achieved by the pioneers in the field.
| Algorithm 3 Dispersive Flies Optimization (DFO) |
|
5. Experiment and Results
Two sets of experiments were conducted. Firstly, DC placement using default parameters, and secondly, using tuned parameters. The results of the final experiment were evaluated using the Nemeyi Hypothesis test and a statistical significance value for all environments was calculated to generate a final score for evaluating algorithmic performance. The entire system was implemented in Python, mainly using base python libraries and modules.
5.1. Experiments
For the experiments, a height constraint has been taken into consideration based on the geographical location of the research conducted to make sure the maximum height of the DC placed does not exceed the maximum legal height of any drones in the United Kingdom [50]. Environment has been a main consideration for the experiments, since user coverage is greatly impacted with the change in environment. Looking at the recent contribution in the field of DC placement and DA-RAN in [29,38,42,51], all available urban environments have been taken into consideration while conducting the experiments. The experimental parameters for the experiments conducted are listed in Table 2.
Table 2.
Experimental parameters.
Here, instead of iterations, function evaluation (FE) has been implemented as the main criteria for algorithm termination to make sure the implemented algorithms are more in line with the previous experiments conducted in the field. FE is calculated based on the number of times the algorithm calls the fitness function to calculate the potential solution (fitness) in the search space. Based on the research conducted in [38], the maximum the number of FEs allowed has been fixed at 2500, calculated by:
where is the number of iterations and N is the population size; the number of DCs is fixed at 10, making the obtained results parallel with the research conducted by pioneers in the field. Total FE has been divided into 10 segments, each having 250 FEs. The search agents (flies, particles or chromosomes) are deployed (initialized) in the search space for 250 FEs; upon reaching these criteria, the covered users along with their associated DC are removed from the search space, allowing every DC to be deployed one after the other rather than all at once. This process continues until all 10 DCs have been deployed. A fourth algorithm or Random Search (RS) has also been implemented on the basis of the same theory where one DC is randomly deployed in the search space and the covered users and the associated DC is removed from the search space, continuing until all 10 DCs are deployed in the same process. RS was implemented to visualize the complex nature of the problem and serve as a control to illustrate the potential improvements achievable with more sophisticated algorithms like DFO, PSO and DE, demonstrating the effectiveness when using a hyper-heuristic method. Each experiment has been executed 1000 times, and the means of those executions have been compiled into a graph showcasing the coverage probability of each algorithm. Figure 1 represents the structure of the experiments conducted.
Figure 1.
Experiment tree.
Figure 2 depicts the coverage probability for DE, DFO, PSO and RS for four different terrestrial environments for four path loss values using default parameters. During initial experimentation, some irregularities were found with PSO and DE, where these implementations were prone to being stuck in the local minima after initial users were identified and removed. This phenomenon can be due to low diversity in PSO and DE; the diversities of said algorithms have been reported in [48]. Positional diversity was calculated with the implemented algorithms based on [52]:
where N is the number of search agents (flies, chromosomes or particles), D is the dimensionality of the problem, is the value at dimension d for agent i and is the average value of dimension d for all search agents.
Figure 2.
Coverage probability for all environments with default parameters.
The diversity vs FE graph in Figure 3a is in line with similar experiments conducted in [48]. In this implementation of DA-RAN, PSO and DE decrease in diversity as function evaluation increases, while DFO diversity stays relatively higher owing to its disturbance threshold that enables the flies/search agents to be re-initialized to the search space. The lack of such a technique in PSO and DE can create a problem where low diversity can cause lower exploration in certain scenarios leading to the algorithms being stuck on a particular solution and no exploration of other potential solutions in the search space as depicted in Figure 4a. Since diversity changes with changes in the environment and path loss threshold, the results could be more skewed towards DFO implementation. To solve this problem, a phased restart strategy has been introduced to re-initialize the search agents in the search space after each FE segment to promote exploration and reduce the probability of the search agents being stuck on the local minima.
Figure 3.
Default and phased restart diversity for suburban 90 environment. (a) Suburban 90 diversity without phased restart; (b) suburban 90 diversity with phased restart.
Figure 4.
Default and phased restart diversity for suburban 120 environment. (a) Suburban 120 diversity without phased restart; (b) suburban 120 diversity with phased restart.
Plotting the diversity again using the phased restart strategy in Figure 3b and Figure 4b shows that the diversities of all algorithms are comparable throughout the process, only becoming low at the end of each segment where the probable best solution has been found. It is to be noted that DFO inherently does not require a phased restart, but it has been implemented in DFO as well to make sure that all the algorithms are on par with each other.
To further optimize the effectiveness of the algorithms, meta-meta-heuristic parameter tuning has been conducted on all the environments for all path loss thresholds to gather the best suitable parameter for each combination of environments.
5.2. Parameter Tuning
DFO has been implemented as the meta-meta-heuristic to optimize all the algorithms including itself. The meta-meta-heuristic algorithm has been compiled for a total of 100 iteration; five sets of parameters have been gathered for each of the combinations in Figure 5. The set of parameters that results in the highest user coverage has been used for the rest of the experimentation. Table 3 contains the parameters for the meta-meta-heuristic parameter tuning.
Figure 5.
Parameter tuning tree.
Table 3.
DFO optimizer parameters.
The pseudo code for the meta-meta-optimizer is presented in Algorithm 4. Based on previous experiments conducted in the field in regards to parameter tuning of the implemented algorithm, the upper and lower bounds were selected from several pioneers in the field [48,53,54,55,56]. The default and optimized parameters for DFO, PSO and DE are tabulated in Table 4.
| Algorithm 4 DFO Meta-meta-optimizer pseudo code |
|
Table 4.
Comparison of standard and optimized parameters.
5.3. Results
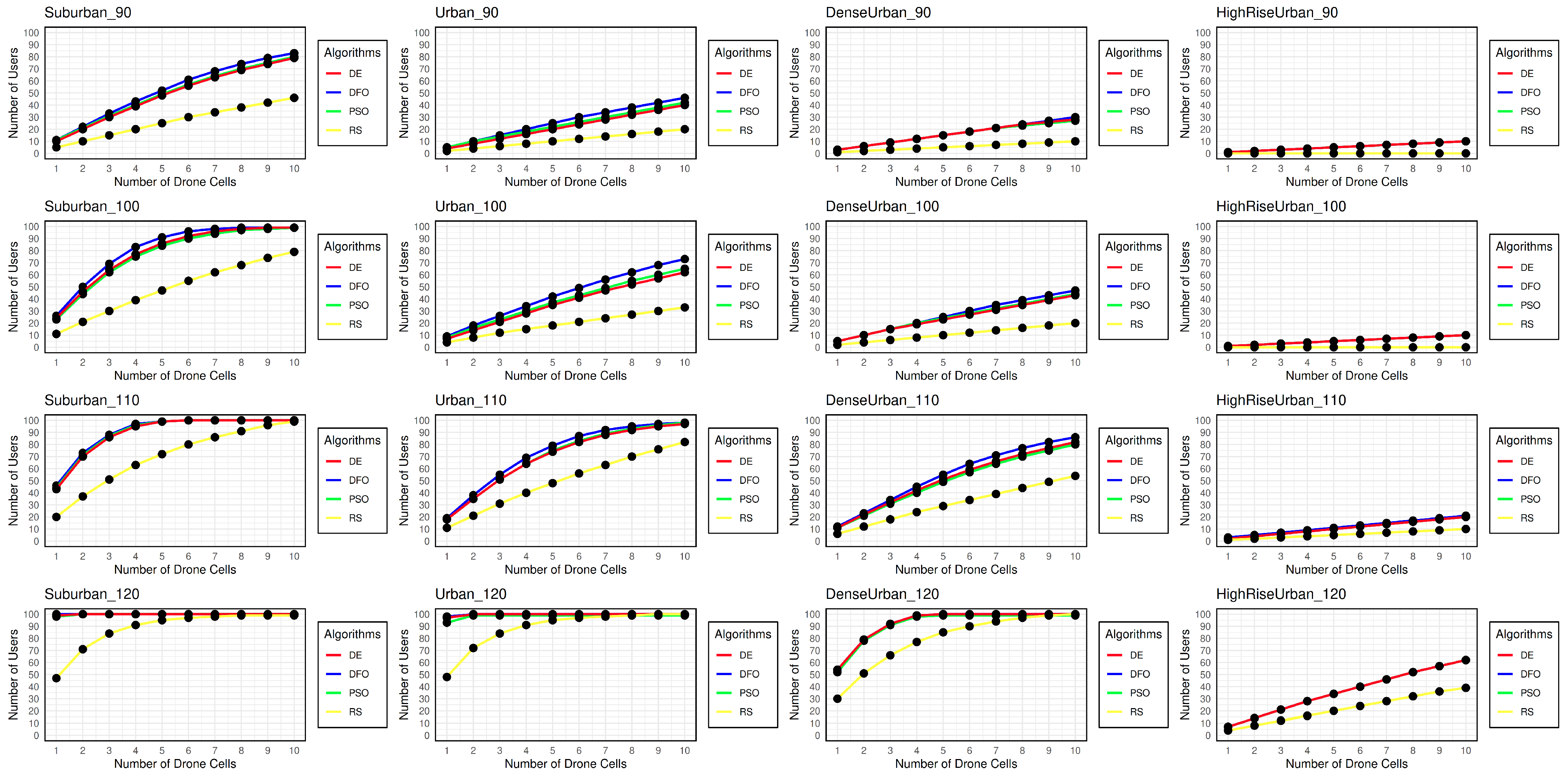
Figure 6 represents the final coverage probability of the algorithms with all the above experiments accounted for. There has been a noticeable improvement in user coverage among most of the environments.
Figure 6.
Coverage probability for all environments with optimal parameters.
Figure 7, Figure 8, Figure 9 and Figure 10 visualize the difference between the coverage probability of the implemented algorithm for the default and tuned parameter values. DFO, due to the restart mechanic with higher diversity, has the least improvement in user coverage probability. However, with DFO’s advantage in diversity from the disturbance threshold, the coverage probabilities of DFO and DE are very similar in all instances. The DC placement problem on its own, although being a complex problem, can be converted to a simpler one when broken down into multiple sub-parts. In the case of the problem presented in this paper, its complexity has been minimized. It is hypothesized that for DE implementation with its 250 FEs per segment, the search agents are not converging fast enough to the local minima and the scattered agents are leading to its higher diversity, while PSO converges faster, initially leading to its less than optimal user coverage. Given increased FEs or iterations, DE will converge to the local minima, leading to less than optimal coverage. Any additional constraints or changes in the parameter tuning process for finding the user coverage could affect the algorithms’ performance.

Figure 7.
User coverage for suburban environments.
Figure 8.
User coverage for urban environments.
Figure 9.
User coverage for dense urban environments.
Figure 10.
User coverage for high-rise urban environments.
In some cases, Figure 8a,b and Figure 9b,c, mainly in the case of DFO and DE, the base coverage sometimes exceeds the coverage with tuned parameters. This behavior could be accounted for by the heuristic nature of the algorithms. A Wilcoxon Signed-Rank test was conducted between the two sets of results; the result of the statistical test in Table 5 illustrates the lack of any significant difference between the performance of the standard and tuned algorithms. Although there has been a noticeable improvement in user coverage in some environments, the paired test illustrates that the different implementations of PSO are significantly different (highlighted in red) than those of DFO and DE.
Table 5.
Wilcoxon Paired test for base and tuned parameter coverage; highlighted cells indicate significant difference between the two sets of results.
Not all scenarios have seen an improvement in user coverage. The major factors affecting the improvement in user coverage can be separated into two parts
- Path loss threshold: Scenarios with a low path loss threshold have had the most improvement. Lower path loss dictates a smaller coverage radius and vice versa. Due to the smaller coverage area, there is a greater possibility for improvement in such scenarios. Figure 7a,b, Figure 8a,b, Figure 9a,b and Figure 10a are such cases where parameter tuning had a bigger impact, except for Figure 10b where the type of environment also affects the coverage. Scenarios with a higher threshold such as Figure 7c,d, Figure 8c,d and Figure 9d have had the least improvement in user coverage because most available users are already covered by a large coverage radius (with a few exceptions). However, it is to be noted that a higher threshold does not always dictate a greater coverage radius; as we change the environment type, the coverage radius is also affected.
- Environment: Environments such as suburban and urban are considered as easy environment since there are a limited number of factors obstructing LoS, while environments such as high-rise urban and dense urban are considered as hard environments where multiple artificial structures can easily obstruct LoS, with high-rise urban being considered the hardest of all the given environments. As the environment changes from easy to difficult, the coverage radius also starts decreasing, leading to less user coverage as can be seen from Figure 7, Figure 8, Figure 9 and Figure 10. Among all the environments, high-rise urban has had the least improvement in user coverage. In Figure 10a–d, there is little to no change in user coverage, and it can be considered that given the constraints and environment, there can be no better solution that can be found in that particular scenario. Dense urban, while still being a challenging environment, has had some improvement in coverage radius in all scenarios.
Among all the implemented algorithms, PSO implementation has benefited the most from parameter tuning and a phased restart. RS values remain consistent throughout the experiments, although the placement is random; after averaging a thousand placements, the results achieved have reached a stable value. Optimized results for PSO, DE and DFO have reached nearly the same user coverage in all environments, and hence, the results obtained can be perceived as the ”feasible peak” in that scenario, which is an improvement over the default algorithm configuration. Finally, a Friedman test was conducted for all environments; the results are presented in Table 6.
Table 6.
Friedman test statistics, p-values and Nemenyi post hoc test results for all environments; highlighted cells indicate significant difference between the implemented algorithms.
The Friedman test shows that there are no significant differences between the implemented algorithms with the introduction of a phased restart and parameter tuning except with RS, which is to be expected. Highlighted in red are the scenarios where there is a significant difference in performance between the implemented algorithms. The rest are cases where all the algorithms have reached a similar level of performance. With the addition of more constraints or more complicated methods such as power efficiency or resource allocation, dynamic users, etc., there is expected to be a much greater difference between the implemented algorithms.
6. Conclusions
Motivated by the emergence of DC communication practices and their associated challenges in terms of coverage and placement, different swarm intelligence approaches have been investigated for optimal DC placement with different constraints in multiple scenarios. The DC placement problem has been investigated with three different models and a base line has been achieved with previous research conducted in the field. Parameter tuning has been performed across all environments, followed by additional experiments using the optimized parameters. The results and statistical test show that there has been a noticeable improvement over the default algorithm. With the adoption of parameter tuning and re-initialization, all three algorithms have shown to be capable of DC placement, even when optimizing DC placement in a challenging environment. DFO implementation has demonstrated that it is competitive for both default and re-initialized algorithms; any further experimentation would be conducted with DFO as the basis for DC placement.
The objective of this research was to provide an overview of the various techniques used for DC placement and to implement meta-heuristic approaches for a comparative study. The diversity of the algorithms was analyzed, leading to the introduction of phased restarts, particularly for PSO. This enhancement has increased the algorithms’ ability to explore the solution space, resulting in an overall performance boost. Parameter tuning was carried out to maximize the performance of each algorithm across different scenarios and threshold values. Despite its minimalist design, DFO maintained consistent performance across all tests, while DE, even without phased restarts, proved to be an effective algorithm for DC placement. The inherent diversity in DE may become even more valuable in cases where the need for exploration is not as evident.
This paper contributed to DC placement in its implementation of all available urban environments as proposed in [51] and implemented by other researchers as stated in Section 5.1, giving a full overview of all possible real-world scenarios where some researchers have decided to focus on one urban environment. The investigation of algorithmic diversity has also identified a key limitation in the implementation of different algorithms, which has been neglected in recent papers. It is hypothesized that diversity and the principle working of the algorithms will be a more important part of DC placement as more constraints are added to the current implementation.
However, this study has also identified several key limitations that must be addressed to fully utilize the potential of DA-RAN in real-world scenarios. The research did not account for energy efficiency, a critical factor for sustained operations, nor was inter-DC interference a priority, which could impact data flow and redundancy, especially in large-scale distributed systems. Moreover, the scenarios tested mainly consisted of static users, leaving out dynamic user behaviors such as frequent connections, disconnections and varying demand.
Building on these limitations, future research should address several critical areas to improve DC placement strategies. Adding support for dynamic user behavior into the DC placement models is essential for developing adaptive, real-time solutions that can maintain optimal performance under dynamic load conditions. In addition to dynamic users, inter-DC interference should be explored leading to the creation of a distributed DC network which could improve load balancing, data flow and system redundancy. Addressing energy efficiency is another critical avenue, as reducing power consumption without sacrificing performance is fundamental to the sustainability of drone-based systems.
Beyond these immediate challenges, broader research should focus on scalability and the application of the implemented strategies on large-scale real-world problems. As DC technology continues to evolve, it will be essential to validate these models in complex dynamic environments, ensuring their utility across diverse scenarios such as smart cities, disaster relief, remote or rural communication networks, etc. These real-world tests will help ensure that the proposed strategies are robust, scalable and adaptable across a wide variety of applications. Finally, integrating advance computational techniques with meta-heuristic approaches, creating a hybrid method, could further enhance the decision-making process where DCs can adapt to real-time changes, enabling more responsive and efficient DC placement solutions.
By addressing these challenges, future research will contribute to a more comprehensive understanding of how meta-heuristic algorithms can be utilized for DC placement, ensuring its relevance in increasingly interconnected and resource-constrained environments. This includes applications in 5G/6G networks, Internet-of-Things-based communication systems and emergency communication networks. Ultimately, these advancements will help shape the future of drone-assisted communication, making it more efficient, adaptive and sustainable across a wide range of industries and scenarios.
Author Contributions
Conceptualization, A.B. and M.M.A.-R.; methodology, A.B. and M.M.A.-R.; investigation, A.B. and M.M.A.-R.; simulation development, A.B.; experiments, A.B.; writing—original draft preparation, A.B.; writing—review and editing, A.B., M.M.A.-R., H.O. and G.S.; visualization, A.B.; supervision, M.M.A.-R., H.O. and G.S. All authors have read and agreed to the published version of the manuscript.
Funding
This research received no external funding.
Data Availability Statement
The original contributions presented in this study are included in the article. Further inquiries can be directed to the corresponding authors.
Conflicts of Interest
The authors declare no conflicts of interest.
Abbreviations
The following abbreviations are used in this manuscript:
| RANs | Radio Access Networks |
| DC | Drone cell |
| BS | Base Station |
| CH | Coverage Hole |
| DA | Demanding Area |
| QoS | Quality-of-Service |
| D2G | Drone-to-Ground |
| DA-RAN | Drone-Assisted Radio Access Network |
| 3D | Three-Dimensional |
| 4G | Fourth-Generation |
| DFO | Dispersive Flies Optimization |
| PSO | Particle Swarm Optimization |
| DE | Differential evolution |
| RS | Random Search |
| DMF | Drone-cell Management Framework |
| GTs | Ground Terminals |
| A2G | Air-to-Ground |
| UAVs | Unmanned Aerial Vehicles |
| UAV-BS | Unmanned Aerial Vehicle Base Station |
| IoT | Internet-of-Things |
| GWO | Grey Wolf Optimization |
| B-GWO | Balanced Grey Wolf Optimization |
| NOMA | Non-orthogonal Multiple Access |
| HDGWO | Hybrid Discrete Grey Wolf Optimization |
| MUPPEC | multi-UAV planning model with energy constraints |
| DEVIPS | Differential evolution with a variable population size |
| FBS | Flying Base Station |
| LoS | Line of Sight |
| NLoS | non-Line of Sight |
| LTE | Long-Term Evolution |
| UTM | UAV Traffic Management |
| CAGR | Compound Annual Growth Rate |
| C-RAN | Cloud-RAN |
| RRH | Remote Radio Head |
References
- Zhang, S.; Quan, W.; Li, J.; Shi, W.; Yang, P.; Shen, X. Air-Ground Integrated Vehicular Network Slicing with Content Pushing and Caching. IEEE J. Sel. Areas Commun. 2018, 36, 2114–2127. [Google Scholar] [CrossRef]
- Mozaffari, M.; Taleb Zadeh Kasgari, A.; Saad, W.; Bennis, M.; Debbah, M. Beyond 5G with UAVs: Foundations of a 3D Wireless Cellular Network. IEEE Trans. Wirel. Commun. 2019, 18, 357–372. [Google Scholar] [CrossRef]
- Shen, X.; Gao, J.; Wu, W.; Lyu, K.; Li, M.; Zhuang, W.; Li, X.; Rao, J. AI-Assisted Network-Slicing Based Next-Generation Wireless Networks. IEEE Open J. Veh. Technol. 2020, 1, 45–66. [Google Scholar] [CrossRef]
- Naqvi, S.A.R.; Hassan, S.A.; Pervaiz, H.; Ni, Q. Drone-Aided Communication as a Key Enabler for 5G and Resilient Public Safety Networks. IEEE Commun. Mag. 2018, 56, 36–42. [Google Scholar] [CrossRef]
- Sharma, N.; Magarini, M.; Jayakody, D.N.K.; Sharma, V.; Li, J. On-Demand Ultra-Dense Cloud Drone Networks: Opportunities, Challenges and Benefits. IEEE Commun. Mag. 2018, 56, 85–91. [Google Scholar] [CrossRef]
- Wu, D.; Arkhipov, D.I.; Kim, M.; Talcott, C.L.; Regan, A.C.; McCann, J.A.; Venkatasubramanian, N. ADDSEN: Adaptive Data Processing and Dissemination for Drone Swarms in Urban Sensing. IEEE Trans. Comput. 2017, 66, 183–198. [Google Scholar] [CrossRef]
- ‘Dragon’ Drones: The Flame Throwerts Fighting Wildfires with Fire. 2019. Available online: https://www.theguardian.com/us-news/2019/sep/03/wildfires-drones-controlled-prescribed-burns (accessed on 1 October 2024).
- Cui, J.Q.; Phang, S.K.; Ang, K.Z.Y.; Wang, F.; Dong, X.; Ke, Y.; Lai, S.; Li, K.; Li, X.; Lin, F.; et al. Drones for cooperative search and rescue in post-disaster situation. In Proceedings of the 2015 IEEE 7th International Conference on Cybernetics and Intelligent Systems (CIS) and IEEE Conference on Robotics, Automation and Mechatronics (RAM), Siem Reap, Cambodia, 15–17 July 2015; pp. 167–174. [Google Scholar] [CrossRef]
- D’Andrea, R. Guest Editorial Can Drones Deliver? IEEE Trans. Autom. Sci. Eng. 2014, 11, 647–648. [Google Scholar] [CrossRef]
- DHL’S Parcelcopter: Changing Shipping Forever. 2013. Available online: https://www.dhl.com/discover/en-my/business/business-ethics/parcelcopter-drone-technology (accessed on 1 October 2024).
- Hossein Motlagh, N.; Taleb, T.; Arouk, O. Low-Altitude Unmanned Aerial Vehicles-Based Internet of Things Services: Comprehensive Survey and Future Perspectives. IEEE Internet Things J. 2016, 3, 899–922. [Google Scholar] [CrossRef]
- Shi, W.; Zhou, H.; Li, J.; Xu, W.; Zhang, N.; Shen, X. Drone Assisted Vehicular Networks: Architecture, Challenges and Opportunities. IEEE Netw. 2018, 32, 130–137. [Google Scholar] [CrossRef]
- Drones. 2021. Available online: https://www.mordorintelligence.com/industry-reports/drones-market (accessed on 1 October 2024).
- Loon-Expanding Internet Connectivity with Stratospheric Balloons. 2021. Available online: https://x.company/projects/loon/ (accessed on 1 October 2024).
- The Technology Behind Aquila. 2016. Available online: https://m.facebook.com/nt/screen/?params=%7B%22note_id%22%3A670584150260175%7D&path=%2Fnotes%2Fnote%2F&_rdr (accessed on 1 October 2024).
- Nokia Collaborates with the UAE General Civil Aviation Authority to Pave Way for Safe and Sustainable Drone Operations in the Country. 2016. Available online: https://www.nokia.com/about-us/news/releases/2016/11/21/nokia-collaborates-with-the-uae-general-civil-aviation-authority-to-pave-way-for-safe-and-sustainable-drone-operations-in-the-country/ (accessed on 1 October 2024).
- AT&T, Intel Agree to Test Drones on LTE Network. 2016. Available online: https://www.fiercewireless.com/tech/at-t-intel-agree-to-test-drones-lte-network (accessed on 1 October 2024).
- Ericsson and China Mobile Conduct World’S First 5G Drone Prototype Field Trial. 2014. Available online: https://www.microwavejournal.com/articles/26980-ericsson-and-china-mobile-conduct-worlds-first-5g-drone-prototype-field-trial (accessed on 1 October 2024).
- Digital Sky Initiative. 2017. Available online: https://www.huawei.com/en/technology-insights/industry-insights/outlook/mobile-broadband/xlabs/industry-views/digital-sky-initiative (accessed on 1 October 2024).
- Cellular Enables Safer Drone Deployments. 2017. Available online: https://www.qualcomm.com/documents/lte-unmanned-aircraft-systems-trial-report (accessed on 1 October 2024).
- Chen, M.; Mozaffari, M.; Saad, W.; Yin, C.; Debbah, M.; Hong, C.S. Caching in the Sky: Proactive Deployment of Cache-Enabled Unmanned Aerial Vehicles for Optimized Quality-of-Experience. IEEE J. Sel. Areas Commun. 2017, 35, 1046–1061. [Google Scholar] [CrossRef]
- Dhekne, A.; Gowda, M.; Choudhury, R.R. Cell tower extension through drones: Poster. In Proceedings of the MobiCom ’16: Proceedings of the 22nd Annual International Conference on Mobile Computing and Networking, New York, NY, USA, 3–7 October 2016; pp. 456–457. [Google Scholar] [CrossRef]
- Bor-Yaliniz, I.; Yanikomeroglu, H. The New Frontier in RAN Heterogeneity: Multi-Tier Drone-Cells. IEEE Commun. Mag. 2016, 54, 48–55. [Google Scholar] [CrossRef]
- Amorim, R.; Nguyen, H.; Mogensen, P.; Kovács, I.Z.; Wigard, J.; Sørensen, T.B. Radio Channel Modeling for UAV Communication Over Cellular Networks. IEEE Wirel. Commun. Lett. 2017, 6, 514–517. [Google Scholar] [CrossRef]
- Lyu, J.; Zeng, Y.; Zhang, R.; Lim, T.J. Placement Optimization of UAV-Mounted Mobile Base Stations. IEEE Commun. Lett. 2017, 21, 604–607. [Google Scholar] [CrossRef]
- Zhang, C.; Zhang, W. Spectrum Sharing for Drone Networks. IEEE J. Sel. Areas Commun. 2017, 35, 136–144. [Google Scholar] [CrossRef]
- Al-Hourani, A.; Kandeepan, S.; Jamalipour, A. Modeling air-to-ground path loss for low altitude platforms in urban environments. In Proceedings of the 2014 IEEE Global Communications Conference, Austin, TX, USA, 8–12 December 2014; pp. 2898–2904. [Google Scholar] [CrossRef]
- Mozaffari, M.; Saad, W.; Bennis, M.; Debbah, M. Mobile Unmanned Aerial Vehicles (UAVs) for Energy-Efficient Internet of Things Communications. IEEE Trans. Wirel. Commun. 2017, 16, 7574–7589. [Google Scholar] [CrossRef]
- Alzenad, M.; El-Keyi, A.; Lagum, F.; Yanikomeroglu, H. 3-D Placement of an Unmanned Aerial Vehicle Base Station (UAV-BS) for Energy-Efficient Maximal Coverage. IEEE Wirel. Commun. Lett. 2017, 6, 434–437. [Google Scholar] [CrossRef]
- Zhou, L.; Yang, Z.; Zhou, S.; Zhang, W. Coverage Probability Analysis of UAV Cellular Networks in Urban Environments. In Proceedings of the 2018 IEEE International Conference on Communications Workshops (ICC Workshops), Kansas City, MO, USA, 20–24 May 2018; pp. 1–6. [Google Scholar] [CrossRef]
- Ghanavi, R.; Kalantari, E.; Sabbaghian, M.; Yanikomeroglu, H.; Yongacoglu, A. Efficient 3D aerial base station placement considering users mobility by reinforcement learning. In Proceedings of the 2018 IEEE Wireless Communications and Networking Conference (WCNC), Barcelona, Spain, 15–18 April 2018; pp. 1–6. [Google Scholar] [CrossRef]
- Kalantari, E.; Yanikomeroglu, H.; Yongacoglu, A. On the Number and 3D Placement of Drone Base Stations in Wireless Cellular Networks. In Proceedings of the 2016 IEEE 84th Vehicular Technology Conference (VTC-Fall), Montreal, QC, Canada, 18–21 September 2016; pp. 1–6. [Google Scholar] [CrossRef]
- Kalantari, E.; Shakir, M.Z.; Yanikomeroglu, H.; Yongacoglu, A. Backhaul-aware robust 3D drone placement in 5G+ wireless networks. In Proceedings of the 2017 IEEE International Conference on Communications Workshops (ICC Workshops), Paris, France, 21–25 May 2017; pp. 109–114. [Google Scholar] [CrossRef]
- Ghazzai, H.; Yaacoub, E.; Alouini, M.S.; Dawy, Z.; Abu-Dayya, A. Optimized LTE Cell Planning With Varying Spatial and Temporal User Densities. IEEE Trans. Veh. Technol. 2016, 65, 1575–1589. [Google Scholar] [CrossRef]
- Shi, W.; Li, J.; Xu, W.; Zhou, H.; Zhang, N.; Shen, X. 3D Drone-cell deployment optimization for drone assisted radio access networks. In Proceedings of the 2017 IEEE/CIC International Conference on Communications in China (ICCC), Qingdao, China, 22–24 October 2017; pp. 1–6. [Google Scholar] [CrossRef]
- Mirjalili, S.; Mirjalili, S.M.; Lewis, A. Grey Wolf Optimizer. Adv. Eng. Softw. 2014, 69, 46–61. [Google Scholar] [CrossRef]
- Gupta, A.; Trivedi, A.; Prasad, B. B-GWO Based Multi-UAV Deployment and Power Allocation in Noma Assisted Wireless Networks—Wireless Networks; Springer: Berlin/Heidelberg, Germany, 2022. [Google Scholar]
- Pliatsios, D.; Goudos, S.K.; Lagkas, T.; Argyriou, V.; Boulogeorgos, A.A.A.; Sarigiannidis, P. Drone-Base-Station for Next-Generation Internet-of-Things: A Comparison of Swarm Intelligence Approaches. IEEE Open J. Antennas Propag. 2022, 3, 32–47. [Google Scholar] [CrossRef]
- Huang, P.Q.; Wang, Y.; Wang, K.; Yang, K. Differential Evolution With a Variable Population Size for Deployment Optimization in a UAV-Assisted IoT Data Collection System. IEEE Trans. Emerg. Top. Comput. Intell. 2020, 4, 324–335. [Google Scholar] [CrossRef]
- li Su, J.; Wang, H. An improved adaptive differential evolution algorithm for single unmanned aerial vehicle multitasking. Def. Technol. 2021, 17, 1967–1975. [Google Scholar] [CrossRef]
- Pokorny, J.; Seda, P.; Seda, M.; Hosek, J. Modeling Optimal Location Distribution for Deployment of Flying Base Stations as On-Demand Connectivity Enablers in Real-World Scenarios. Sensors 2021, 21, 5580. [Google Scholar] [CrossRef] [PubMed]
- Al-Hourani, A.; Kandeepan, S.; Lardner, S. Optimal LAP Altitude for Maximum Coverage. IEEE Wirel. Commun. Lett. 2014, 3, 569–572. [Google Scholar] [CrossRef]
- Kennedy, J.; Eberhart, R. Particle swarm optimization. In Proceedings of the Proceedings of ICNN’95—International Conference on Neural Networks, Perth, WA, Australia, 27 November–1 December 1995; Volume 4, pp. 1942–1948. [Google Scholar] [CrossRef]
- Pereira, G. Particle Swarm Optimization. 2011. Available online: https://www.researchgate.net/publication/228518470_Particle_Swarm_Optimization (accessed on 1 October 2024).
- Storn, R. On the usage of differential evolution for function optimization. In Proceedings of the Proceedings of North American Fuzzy Information Processing, Berkeley, CA, USA, 19–22 June 1996; pp. 519–523. [Google Scholar] [CrossRef]
- Storn, R.; Price, K. Differential Evolution—A Simple and Efficient Heuristic for Global Optimization over Continuous Spaces. J. Glob. Optim. 1997, 11, 341–359. [Google Scholar] [CrossRef]
- Georgioudakis, M.; Plevris, V. A Comparative Study of Differential Evolution Variants in Constrained Structural Optimization. Front. Built Environ. 2020, 6, 102. [Google Scholar] [CrossRef]
- al Rifaie, M.M. Dispersive Flies Optimisation. In Proceedings of the 2014 Federated Conference on Computer Science and Information Systems, Warsaw, Poland, 7–10 September 2014; pp. 529–538. [Google Scholar] [CrossRef]
- Das, S.; Suganthan, P.N. Differential Evolution: A Survey of the State-of-the-Art. IEEE Trans. Evol. Comput. 2011, 15, 4–31. [Google Scholar] [CrossRef]
- Where You Can Fly Drones|UK Civil Aviation Authority. 2019. Available online: https://register-drones.caa.co.uk/drone-code/where-you-can-fly#:~:text=3.,normally%20fly%20higher%20than%20this (accessed on 1 October 2024).
- Holis, J.; Pechac, P. Elevation Dependent Shadowing Model for Mobile Communications via High Altitude Platforms in Built-Up Areas. IEEE Trans. Antennas Propag. 2008, 56, 1078–1084. [Google Scholar] [CrossRef]
- Olorunda, O.; Engelbrecht, A.P. Measuring exploration/exploitation in particle swarms using swarm diversity. In Proceedings of the 2008 IEEE Congress on Evolutionary Computation (IEEE World Congress on Computational Intelligence), Hong Kong, China, 1–6 June 2008; pp. 1128–1134. [Google Scholar] [CrossRef]
- al Rifaie, M.M.; Cavazza, M. Evolutionary Optimisation of Beer Organoleptic Properties: A Simulation Framework. Foods 2022, 11, 351. [Google Scholar] [CrossRef]
- Wang, H.; Geng, Q.; Qiao, Z. Parameter tuning of particle swarm optimization by using Taguchi method and its application to motor design. In Proceedings of the 2014 4th IEEE International Conference on Information Science and Technology, Shenzhen, China, 26–28 April 2014; pp. 722–726. [Google Scholar] [CrossRef]
- Meissner, M.; Schmuker, M.; Schneider, G. Optimized Particle Swarm Optimization (OPSO) and its application to artificial neural network training. BMC Bioinform. 2006, 7, 125. [Google Scholar] [CrossRef]
- Centeno-Telleria, M.; Zulueta, E.; Fernandez-Gamiz, U.; Teso-Fz-Betoño, D.; Teso-Fz-Betoño, A. Differential evolution optimal parameters tuning with artificial neural network. Mathematics 2021, 9, 427. [Google Scholar] [CrossRef]
Disclaimer/Publisher’s Note: The statements, opinions and data contained in all publications are solely those of the individual author(s) and contributor(s) and not of MDPI and/or the editor(s). MDPI and/or the editor(s) disclaim responsibility for any injury to people or property resulting from any ideas, methods, instructions or products referred to in the content. |
© 2024 by the authors. Licensee MDPI, Basel, Switzerland. This article is an open access article distributed under the terms and conditions of the Creative Commons Attribution (CC BY) license (https://creativecommons.org/licenses/by/4.0/).