Contribution of Epigenetic Modifications to the Decline in Transgene Expression from Plasmid DNA in Mouse Liver
Abstract
:1. Introduction
2. Experimental Section
2.1. Mice
2.2. Plasmid DNA
| Plasmid | Promoter | Backbone | cDNA |
|---|---|---|---|
| pCMV-Luc | CMV | pcDNA3.1 | Luciferase |
| pCpG-Luc | EF1 | pCpG-mcs | Luciferase |
| pCMV-Huγ | CMV | pcDNA3 | Human IFN-γ |
| pCpG-Huγ | EF1 | pCpG-mcs | Human IFN-γ |
2.3. In Vivo Gene Transfer and Reactivation of Transgene Expression
2.4. Luciferase Assay
2.5. Extraction of DNA
2.6. Methylation of Cytosine Residues in Plasmid DNA
2.7. Bisulfite Sequencing
2.8. 5-aza-2’-Deoxycytidine and Trichostatin A Treatment
2.9. Partial Hepatectomy
2.10. Measurement of Serum Concentration of Human IFN-γ
2.11. Statistical Analysis
3. Results
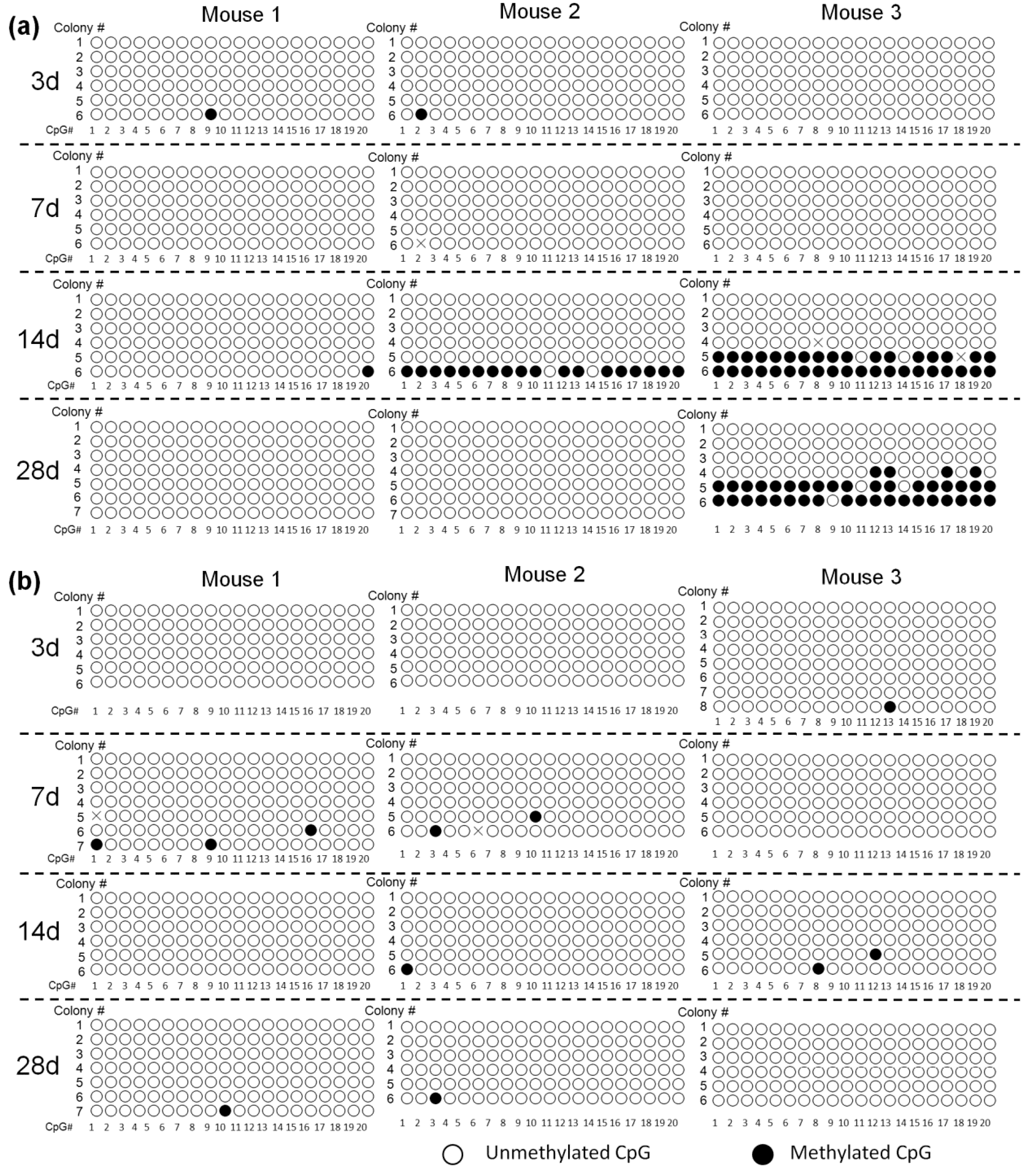
3.1. Methylation Status of CMV Promoter and Luciferase cDNA of pCMV-Luc in Mouse Liver

3.2. Correlation of Methylation and Reactivation of Silenced Transgene Expression

3.3. Effect of 5-AZA on the Transgene Expression of pCMV-Huγ

3.4. Effect of TSA on the Transgene Expression of pCMV-Huγ

3.5. Effect of Partial Hepatectomy on the Transgene Expression of pCpG-Huγ

4. Discussion
5. Conclusions
Acknowledgments
Author Contributions
Conflicts of Interest
References
- Nishikawa, M.; Takakura, Y.; Hashida, M. Pharmacokinetic considerations regarding non-viral cancer gene therapy. Cancer Sci. 2008, 99, 856–862. [Google Scholar] [CrossRef] [PubMed]
- Nishikawa, M.; Nakayama, A.; Takahashi, Y.; Fukuhara, Y.; Takakura, Y. Reactivation of silenced transgene expression in mouse liver by rapid, large-volume injection of isotonic solution. Hum. Gene Ther. 2008, 19, 1009–1020. [Google Scholar] [CrossRef] [PubMed]
- Jacobs, F.; Snoeys, J.; Feng, Y.; van Craeyveld, E.; Lievens, J.; Armentano, D.; Cheng, S.H.; De Geest, B. Direct comparison of hepatocyte-specific expression cassettes following adenoviral and nonviral hydrodynamic gene transfer. Gene Ther. 2008, 15, 594–603. [Google Scholar] [CrossRef] [PubMed]
- Kawabata, K.; Takakura, Y.; Hashida, M. The fate of plasmid DNA after intravenous injection in mice: Involvement of scavenger receptors in its hepatic uptake. Pharm. Res. 1995, 12, 825–830. [Google Scholar] [CrossRef] [PubMed]
- Ochiai, H.; Fujimuro, M.; Yokosawa, H.; Harashima, H.; Kamiya, H. Transient activation of transgene expression by hydrodynamics-based injection may cause rapid decrease in plasmid DNA expression. Gene Ther. 2007, 14, 1152–1159. [Google Scholar] [CrossRef] [PubMed]
- Pringle, I.A.; Raman, S.; Sharp, W.W.; Cheng, S.H.; Hyde, S.C.; Gill, D.R. Detection of plasmid DNA vectors following gene transfer to the murine airways. Gene Ther. 2005, 12, 1206–1214. [Google Scholar] [CrossRef] [PubMed]
- Loguercio, C.; Federico, A. Oxidative stress in viral and alcoholic hepatitis. Free Radic. Biol. Med. 2003, 34, 1–10. [Google Scholar] [CrossRef]
- Jaeschke, H. Molecular mechanisms of hepatic ischemia-reperfusion injury and preconditioning. Am. J. Physiol. Gastrointest. Liver Physiol. 2003, 284, G15–G26. [Google Scholar] [CrossRef] [PubMed]
- Takiguchi, N.; Takahashi, Y.; Nishikawa, M.; Matsui, Y.; Fukuhara, Y.; Oushiki, D.; Kiyose, K.; Hanaoka, K.; Nagano, T.; Takakura, Y. Positive correlation between the generation of reactive oxygen species and activation/reactivation of transgene expression after hydrodynamic injections into mice. Pharm. Res. 2011, 28, 702–711. [Google Scholar] [CrossRef] [PubMed]
- Argyros, O.; Wong, S.P.; Niceta, M.; Waddington, S.N.; Howe, S.J.; Coutelle, C.; Miller, A.D.; Harbottle, R.P. Persistent episomal transgene expression in liver following delivery of a scaffold/matrix attachment region containing non-viral vector. Gene Ther. 2008, 15, 1593–1605. [Google Scholar] [CrossRef] [PubMed]
- Nakanishi, H.; Higuchi, Y.; Kawakami, S.; Yamashita, F.; Hashida, M. piggyBac transposon-mediated long-term gene expression in mice. Mol. Ther. 2010, 18, 707–714. [Google Scholar] [CrossRef] [PubMed]
- Yew, N.S.; Zhao, H.; Przybylska, M.; Wu, I.H.; Tousignant, J.D.; Scheule, R.K.; Cheng, S.H. CpG-depleted plasmid DNA vectors with enhanced safety and long-term gene expression in vivo. Mol. Ther. 2002, 5, 731–738. [Google Scholar] [CrossRef] [PubMed]
- Mitsui, M.; Nishikawa, M.; Zang, L.; Ando, M.; Hattori, K.; Takahashi, Y.; Watanabe, Y.; Takakura, Y. Effect of the content of unmethylated CpG dinucleotides in plasmid DNA on the sustainability of transgene expression. J. Gene Med. 2009, 11, 435–443. [Google Scholar] [CrossRef] [PubMed]
- Hattori, K.; Nishikawa, M.; Watcharanurak, K.; Ikoma, A.; Kabashima, K.; Toyota, H.; Takahashi, Y.; Takahashi, R.; Watanabe, Y.; Takakura, Y. Sustained exogenous expression of therapeutic levels of IFN-γ ameliorates atopic dermatitis in NC/Nga mice via Th1 polarization. J. Immunol. 2010, 184, 2729–2735. [Google Scholar] [CrossRef] [PubMed]
- Ando, M.; Takahashi, Y.; Nishikawa, M.; Watanabe, Y.; Takakura, Y. Constant and steady transgene expression of interferon-γ by optimization of plasmid construct for safe and effective interferon-γ gene therapy. J. Gene Med. 2012, 14, 288–295. [Google Scholar] [CrossRef] [PubMed]
- Takahashi, Y.; Ando, M.; Nishikawa, M.; Hiraga, N.; Imamura, M.; Chayama, K.; Takakura, Y. Long-term elimination of hepatitis C virus from human hepatocyte chimeric mice after interferon-γ gene transfer. Hum. Gene Ther. Clin. Dev. 2014, 25, 28–39. [Google Scholar] [CrossRef] [PubMed]
- Kiyota, T.; Takahashi, Y.; Watcharanurak, K.; Nishikawa, M.; Ohara, S.; Ando, M.; Watanabe, Y.; Takakura, Y. Enhancement of anticancer effect of interferon-γ gene transfer against interferon-γ-resistant tumor by depletion of tumor-associated macrophages. Mol. Pharm. 2014, 11, 1542–1549. [Google Scholar] [CrossRef] [PubMed]
- Watcharanurak, K.; Zang, L.; Nishikawa, M.; Yoshinaga, K.; Yamamoto, Y.; Takahashi, Y.; Ando, M.; Saito, K.; Watanabe, Y.; Takakura, Y. Effects of upregulated indoleamine 2,3-dioxygenase 1 by interferon γ gene transfer on interferon γ-mediated antitumor activity. Gene Ther. 2014, 21, 794–801. [Google Scholar] [CrossRef] [PubMed]
- Luger, K.; Mäder, A.W.; Richmond, R.K.; Sargent, D.F.; Richmond, T.J. Crystal structure of the nucleosome core particle at 2.8 A resolution. Nature 1997, 389, 251–260. [Google Scholar] [PubMed]
- Riu, E.; Chen, Z.Y.; Xu, H.; He, C.Y.; Kay, M.A. Histone modifications are associated with the persistence or silencing of vector-mediated transgene expression in vivo. Mol. Ther. 2007, 15, 1348–1355. [Google Scholar] [CrossRef] [PubMed]
- Nomura, T.; Yasuda, K.; Yamada, T.; Okamoto, S.; Mahato, R.I.; Watanabe, Y.; Takakura, Y.; Hashida, M. Gene expression and antitumor effects following direct interferon (IFN)-γ gene transfer with naked plasmid DNA and DC-chol liposome complexes in mice. Gene Ther. 1999, 6, 121–129. [Google Scholar] [CrossRef] [PubMed]
- Zang, L.; Nishikawa, M.; Machida, K.; Ando, M.; Takahashi, Y.; Watanabe, Y.; Takakura, Y. Inhibition of nuclear delivery of plasmid DNA and transcription by interferon γ: Hurdles to be overcome for sustained gene therapy. Gene Ther. 2011, 18, 891–897. [Google Scholar] [CrossRef] [PubMed]
- Liu, F.; Song, Y.; Liu, D. Hydrodynamics-based transfection in animals by systemic administration of plasmid DNA. Gene Ther. 1999, 6, 1258–1266. [Google Scholar] [CrossRef] [PubMed]
- Dahl, C.; Guldberg, P. DNA methylation analysis techniques. Biogerontology 2003, 4, 233–250. [Google Scholar] [CrossRef] [PubMed]
- McCabe, M.T.; Low, J.A.; Daignault, S.; Imperiale, M.J.; Wojno, K.J.; Day, M.L. Inhibition of DNA methyltransferase activity prevents tumorigenesis in a mouse model of prostate cancer. Cancer Res. 2006, 66, 385–392. [Google Scholar] [CrossRef] [PubMed]
- Avila, A.M.; Burnett, B.G.; Taye, A.A.; Gabanella, F.; Knight, M.A.; Hartenstein, P.; Cizman, Z.; Di Prospero, N.A.; Pellizzoni, L.; Fischbeck, K.H.; et al. Trichostatin A increases SMN expression and survival in a mouse model of spinal muscular atrophy. J. Clin. Investig. 2007, 117, 659–671. [Google Scholar] [CrossRef] [PubMed]
- Nikfarjam, M.; Malcontenti-Wilson, C.; Fanartzis, M.; Daruwalla, J.; Christophi, C. A model of partial hepatectomy in mice. J. Investig. Surg. 2004, 17, 291–294. [Google Scholar] [CrossRef] [PubMed]
- Chen, Z.Y.; Riu, E.; He, C.Y.; Xu, H.; Kay, M.A. Silencing of episomal transgene expression in liver by plasmid bacterial backbone DNA is independent of CpG methylation. Mol. Ther. 2008, 16, 548–556. [Google Scholar] [CrossRef] [PubMed]
- Bauer, A.P.; Leikam, D.; Krinner, S.; Notka, F.; Ludwig, C.; Längst, G.; Wagner, R. The impact of intragenic CpG content on gene expression. Nucleic Acids Res. 2010, 38, 3891–3908. [Google Scholar] [CrossRef] [PubMed]
- Chen, W.Y.; Bailey, E.C.; McCune, S.L.; Dong, J.Y.; Townes, T.M. Reactivation of silenced, virally transduced genes by inhibitors of histone deacetylase. Proc. Natl. Acad. Sci. USA 1997, 94, 5798–5803. [Google Scholar] [CrossRef] [PubMed]
- Sanderson, L.; Taylor, G.W.; Aboagye, E.O.; Alao, J.P.; Latigo, J.R.; Coombes, R.C.; Vigushin, D.M. Plasma pharmacokinetics and metabolism of the histone deacetylase inhibitor trichostatin a after intraperitoneal administration to mice. Drug Metab. Dispos. 2004, 32, 1132–1138. [Google Scholar] [CrossRef] [PubMed]
- Olivares, E.C.; Hollis, R.P.; Chalberg, T.W.; Meuse, L.; Kay, M.A.; Calos, M.P. Site-specific genomic integration produces therapeutic Factor IX levels in mice. Nat. Biotechnol. 2002, 20, 1124–1128. [Google Scholar] [CrossRef] [PubMed]
- Nakai, H.; Yant, S.R.; Storm, T.A.; Fuess, S.; Meuse, L.; Kay, M.A. Extrachromosomal recombinant adeno-associated virus vector genomes are primarily responsible for stable liver transduction in vivo. J. Virol. 2001, 75, 6969–6976. [Google Scholar] [CrossRef] [PubMed]
- Chen, Z.Y.; He, C.Y.; Meuse, L.; Kay, M.A. Silencing of episomal transgene expression by plasmid bacterial DNA elements in vivo. Gene Ther. 2004, 11, 856–864. [Google Scholar] [CrossRef] [PubMed]
- Schneider, R.; Bannister, A.J.; Myers, F.A.; Thorne, A.W.; Crane-Robinson, C.; Kouzarides, T. Histone H3 lysine 4 methylation patterns in higher eukaryotic genes. Nat. Cell Biol. 2004, 6, 73–77. [Google Scholar] [CrossRef] [PubMed]
- Okitsu, C.Y.; Hsieh, C.L. DNA methylation dictates histone H3K4 methylation. Mol. Cell Biol. 2007, 27, 2746–2757. [Google Scholar] [CrossRef] [PubMed]
© 2015 by the authors; licensee MDPI, Basel, Switzerland. This article is an open access article distributed under the terms and conditions of the Creative Commons Attribution license (http://creativecommons.org/licenses/by/4.0/).
Share and Cite
Zang, L.; Nishikawa, M.; Ando, M.; Takahashi, Y.; Takakura, Y. Contribution of Epigenetic Modifications to the Decline in Transgene Expression from Plasmid DNA in Mouse Liver. Pharmaceutics 2015, 7, 199-212. https://doi.org/10.3390/pharmaceutics7030199
Zang L, Nishikawa M, Ando M, Takahashi Y, Takakura Y. Contribution of Epigenetic Modifications to the Decline in Transgene Expression from Plasmid DNA in Mouse Liver. Pharmaceutics. 2015; 7(3):199-212. https://doi.org/10.3390/pharmaceutics7030199
Chicago/Turabian StyleZang, Lei, Makiya Nishikawa, Mitsuru Ando, Yuki Takahashi, and Yoshinobu Takakura. 2015. "Contribution of Epigenetic Modifications to the Decline in Transgene Expression from Plasmid DNA in Mouse Liver" Pharmaceutics 7, no. 3: 199-212. https://doi.org/10.3390/pharmaceutics7030199
APA StyleZang, L., Nishikawa, M., Ando, M., Takahashi, Y., & Takakura, Y. (2015). Contribution of Epigenetic Modifications to the Decline in Transgene Expression from Plasmid DNA in Mouse Liver. Pharmaceutics, 7(3), 199-212. https://doi.org/10.3390/pharmaceutics7030199
