In Vitro Metabolism and Transport Characteristics of Zastaprazan
Abstract
1. Introduction
2. Materials and Methods
2.1. Materials
2.2. Metabolic Stability of JP-1366 in Human, Mouse, Rat, Dog, and Monkey Hepatocytes
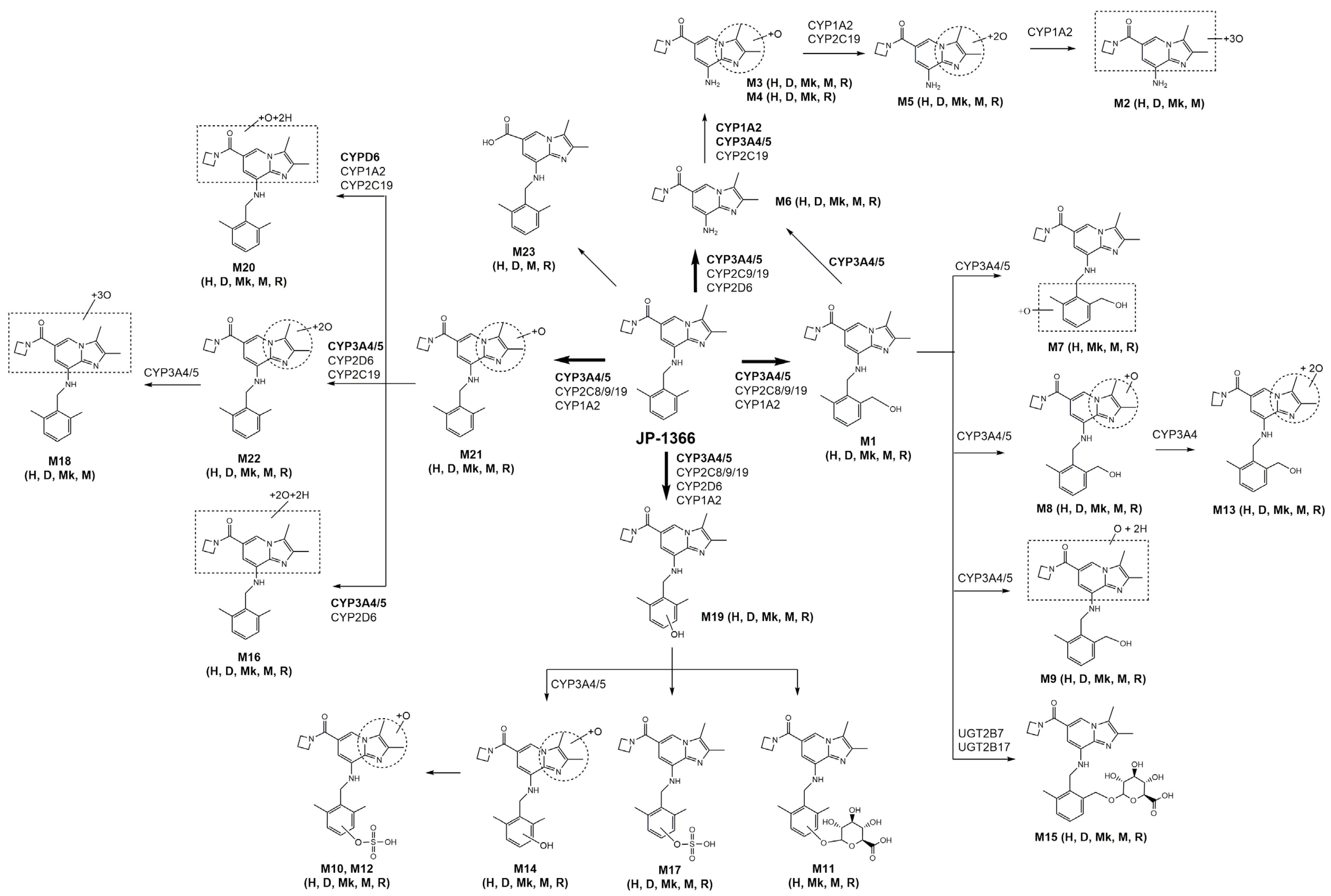
2.3. In Vitro Metabolic Profiling of JP-1366 in Hepatocytes
2.4. Screening of CYP and UGT Isozymes Involved in JP-1366 Metabolism
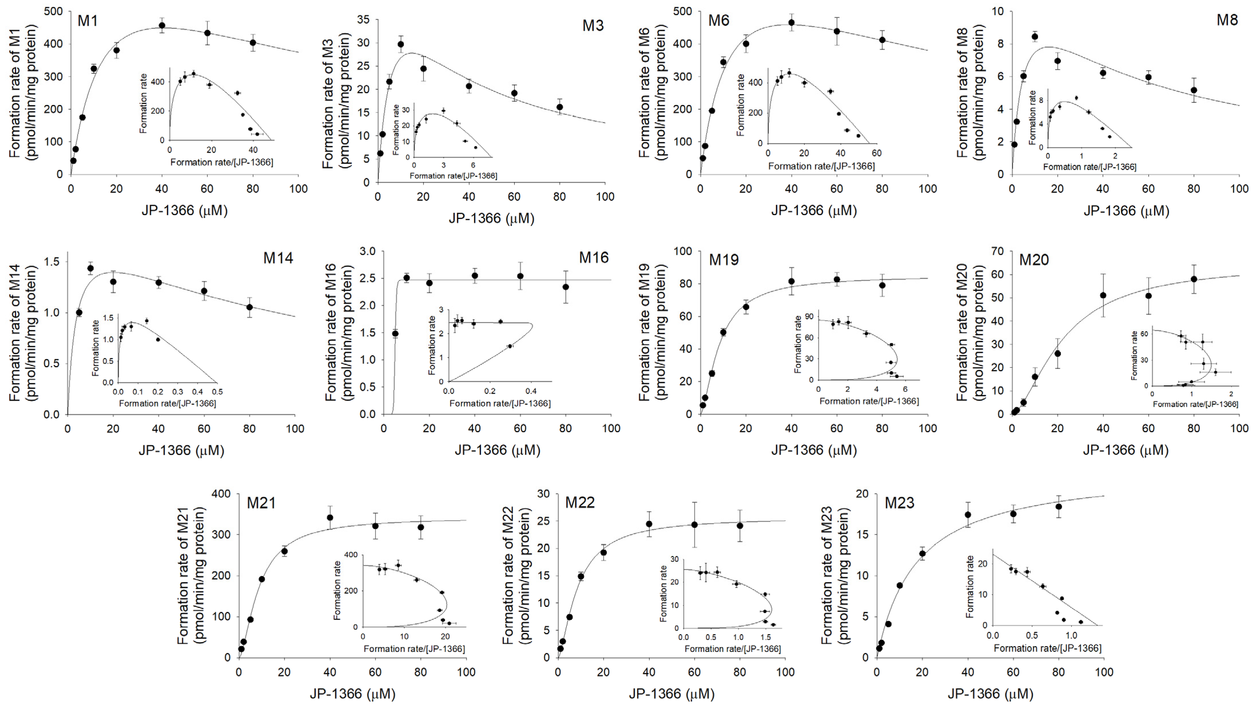
2.5. Enzyme Kinetics of JP-1366 Metabolism in Human Liver Microsomes, CYP, and UGT Enzymes
2.6. Immuno-Inhibition of JP-1366 Metabolism with CYP Antibodies
2.7. Uptake of JP-1366 and M1 in HEK293 Cells Overexpressing Drug Transporters
2.8. Permeability of JP-1366 and M1
2.9. LC-MS/MS Analysis of JP-1366 and Its Metabolites
2.10. Data Analysis and Statistical Analysis
3. Results
3.1. Metabolic Stability of JP-1366 in Hepatocytes
3.2. In Vitro Metabolic Profiling of JP-1366 in Hepatocytes
3.3. Characterization of CYP Isozymes Involved in JP-1366 Metabolism
3.4. Characterization of UGT Enzymes Responsible for M1 Glucuronidation
3.5. Elucidation of Metabolic Pathway of JP-1366
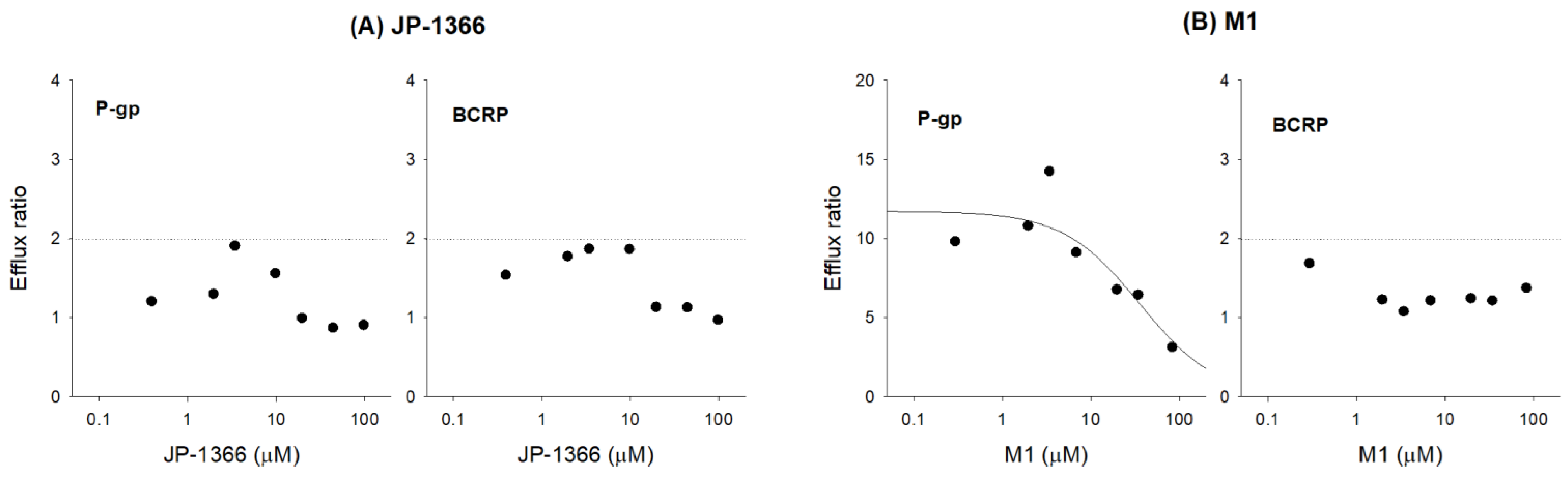
3.6. Screening of Substrate Specificity of JP-1366 and M1 on Drug Transporters
3.7. Permeability of JP-1366 and M1 in Caco-2 Cells
4. Discussion
5. Conclusions
Supplementary Materials
Author Contributions
Funding
Institutional Review Board Statement
Informed Consent Statement
Data Availability Statement
Conflicts of Interest
References
- Hwang, I.; Ji, S.C.; Oh, J.; Kim, H.; Cha, H.; Kim, J.; Lee, C.S.; Yu, K.S.; Lee, S. Randomised clinical trial: Safety, tolerability, pharmacodynamics and pharmacokinetics of zastaprazan (JP-1366), a novel potassium-competitive acid blocker, in healthy subjects. Aliment. Pharmacol. Ther. 2023, 57, 763–772. [Google Scholar] [CrossRef] [PubMed]
- Nirwan, J.S.; Hasan, S.S.; Babar, Z.U.; Conway, B.R.; Ghori, M.U. Global prevalence and risk factors of gastroesophageal reflux disease (GORD): Systematic Review with meta-analysis. Sci. Rep. 2020, 10, 5814. [Google Scholar] [CrossRef] [PubMed]
- Shibli, F.; Kitayama, Y.; Fass, R. Novel therapies for gastroesophageal reflux disease: Beyond proton pump inhibitors. Curr. Gastroenterol. Rep. 2020, 22, 16. [Google Scholar] [CrossRef] [PubMed]
- Sachs, G.; Shin, J.M.; Howden, C.W. Review article: The clinical pharmacology of proton pump inhibitors. Aliment. Pharmacol. Ther. 2006, 23 (Suppl. S2), 2–8. [Google Scholar] [CrossRef] [PubMed]
- Fass, R.; Shapiro, M.; Dekel, R.; Sewell, J. Systematic review: Proton-pump inhibitor failure in gastroesophageal reflux disease—Where next? Aliment. Pharmacol. Ther. 2005, 22, 79–94. [Google Scholar] [CrossRef] [PubMed]
- Maradey-Romero, C.; Fass, R. New and future drug development for gastroesophageal reflux disease. J. Neurogastroenterol. Motil. 2014, 20, 6–16. [Google Scholar] [CrossRef] [PubMed]
- Oshima, T.; Miwa, H. Potent potassium-competitive acid blockers: A new era for the treatment of acid-related diseases. J. Neurogastroenterol. Motil. 2018, 24, 334–344. [Google Scholar] [CrossRef] [PubMed]
- Shin, J.M.; Sachs, G. Long lasting inhibitors of the gastric H,K-ATPase. Expert Rev. Clin. Pharmacol. 2009, 2, 461–468. [Google Scholar] [CrossRef] [PubMed]
- Andersson, K.; Carlsson, E. Potassium-competitive acid blockade: A new therapeutic strategy in acid-related diseases. Pharmacol. Ther. 2005, 108, 294–307. [Google Scholar] [CrossRef]
- Rawla, P.; Sunkara, T.; Ofosu, A.; Gaduputi, V. Potassium-competitive acid blockers—Are they the next generation of proton pump inhibitors? World J. Gastrointest. Pharmacol. Ther. 2018, 9, 63–68. [Google Scholar] [CrossRef]
- Yang, E.; Kim, S.; Kim, B.; Kim, B.; Kim, Y.; Park, S.S.; Song, G.S.; Yu, K.S.; Jang, I.J.; Lee, S. Night-time gastric acid suppression by tegoprazan compared to vonoprazan or esomeprazole. Br. J. Clin. Pharmacol. 2022, 88, 3288–3296. [Google Scholar] [CrossRef]
- Kim, G.H.; Choi, M.G.; Kim, J.I.; Lee, S.T.; Chun, H.J.; Lee, K.L.; Choi, S.C.; Jang, J.Y.; Lee, Y.C.; Kim, J.G.; et al. Efficacy and safety of fexuprazan in patients with acute or chronic gastritis. Gut Liver 2023, 17, 884–893. [Google Scholar] [CrossRef]
- US FDA Guidance for Industry. In Vitro Drug Interaction Studies—Cytochrome P450 Enzyme- and Transporter-Mediated Drug Interactions. 2020. Available online: https://www.fda.gov/media/134582/download (accessed on 8 July 2023).
- Giacomini, K.M.; Huang, S.M. Transporters in drug development and clinical pharmacology. Clin. Pharmacol. Ther. 2013, 94, 3–9. [Google Scholar] [CrossRef]
- Giacomini, K.M.; Huang, S.M.; Tweedie, D.J.; Benet, L.Z.; Brouwer, K.L.; Chu, X.; Dahlin, A.; Evers, R.; Fischer, V.; Hillgren, K.M.; et al. Membrane transporters in drug development. Nat. Rev. Drug Discov. 2010, 9, 215–236. [Google Scholar]
- Lee, M.S.; Shim, H.J.; Cho, Y.Y.; Lee, J.Y.; Kang, H.C.; Song, I.S.; Lee, H.S. Comparative metabolism of aschantin in human and animal hepatocytes. Arch. Pharmacal Res. 2024, 47, 111–126. [Google Scholar] [CrossRef]
- Shou, M.; Lu, T.; Krausz, K.W.; Sai, Y.; Yang, T.; Korzekwa, K.R.; Gonzalez, F.J.; Gelboin, H.V. Use of inhibitory monoclonal antibodies to assess the contribution of cytochromes P450 to human drug metabolism. Eur. J. Pharmacol. 2000, 394, 199–209. [Google Scholar] [CrossRef]
- Soars, M.G.; Gelboin, H.V.; Krausz, K.W.; Riley, R.J. A comparison of relative abundance, activity factor and inhibitory monoclonal antibody approaches in the characterization of human CYP enzymology. Br. J. Clin. Pharmacol. 2003, 55, 175–181. [Google Scholar] [CrossRef]
- Shiraga, T.; Tozuka, Z.; Ishimura, R.; Kawamura, A.; Kagayama, A. Identification of cytochrome P450 enzymes involved in the metabolism of FK228, a potent histone deacetylase inhibitor, in human liver microsomes. Biol. Pharm. Bull. 2005, 28, 124–129. [Google Scholar] [CrossRef]
- Yamashiro, W.; Maeda, K.; Hirouchi, M.; Adachi, Y.; Hu, Z.; Sugiyama, Y. Involvement of transporters in the hepatic uptake and biliary excretion of valsartan, a selective antagonist of the angiotensin II AT1-receptor, in humans. Drug Metab. Dispos. 2006, 34, 1247–1254. [Google Scholar] [CrossRef]
- Kang, Y.J.; Lee, C.H.; Park, S.J.; Lee, H.S.; Choi, M.K.; Song, I.S. Involvement of organic anion transporters in the pharmacokinetics and drug interaction of rosmarinic acid. Pharmaceutics 2021, 13, 83. [Google Scholar] [CrossRef]
- Wang, Z.; Li, Y.; Peng, T.; Su, Y.; Luo, X.; Han, W.; Zhang, H.; Ruan, J.; Gui, C. Human organic anion transporting polypeptides 1B1, 1B3, and 2B1 are involved in the hepatic uptake of phenolsulfonphthalein ACS Omega 2021, 6, 35844–35851.
- Volpe, D.A. Permeability classification of representative fluoroquinolones by a cell culture method. AAPS J. 2004, 6, 13. [Google Scholar] [CrossRef]
- Jeon, J.H.; Park, J.H.; Jeon, S.Y.; Pang, M.; Choi, M.K.; Song, I.S. Concomitant administration of red ginseng extract with lactic acid bacteria increases the plasma concentration of deglycosylated ginsenosides in healthy human subjects. Biomolecules 2022, 12, 1896. [Google Scholar] [CrossRef]
- Bohnert, T.; Gan, L.S. The role of drug metabolism in drug discovery. In Enzyme Inhibition in Drug Discovery and Development: The Good and the Bad; Lu, C., Li, A.P., Eds.; John Wiley& Sons, Inc.: Hoboken, NJ, USA, 2009; pp. 91–176. [Google Scholar]
- Davies, B.; Morris, T. Physiological parameters in laboratory animals and humans. Pharm. Res. 1993, 10, 1093–1095. [Google Scholar] [CrossRef]
- Emoto, C.; Murase, S.; Sawada, Y.; Jones, B.C.; Iwasaki, K. In vitro inhibitory effect of 1-aminobenzotriazole on drug oxidations catalyzed by human cytochrome P450 enzymes: A comparison with SKF-525A and ketoconazole. Drug Metab. Pharmacokinet. 2003, 18, 287–295. [Google Scholar] [CrossRef]
- Tweedie, D.; Polli, J.W.; Berglund, E.G.; Huang, S.M.; Zhang, L.; Poirier, A.; Chu, X.; Feng, B. Transporter studies in drug development: Experience to date and follow-up on decision trees from the International Transporter Consortium. Clin. Pharmacol. Ther. 2013, 94, 113–125. [Google Scholar] [CrossRef]
- Westerhout, J.; van de Steeg, E.; Grossouw, D.; Zeijdner, E.E.; Krul, C.A.; Verwei, M.; Wortelboer, H.M. A new approach to predict human intestinal absorption using porcine intestinal tissue and biorelevant matrices. Eur. J. Pharm. Sci. 2014, 63, 167–177. [Google Scholar] [CrossRef]
- Paixão, P.; Gouveia, L.F.; Morais, J.A. Prediction of the in vitro permeability determined in Caco-2 cells by using artificial neural networks. Eur. J. Pharm. Sci. 2010, 41, 107–117. [Google Scholar] [CrossRef]
- Vanderhoff, B.T.; Tahboub, R.M. Proton pump inhibitors: An update. Am. Fam. Physician 2002, 66, 273–280. [Google Scholar]
- Flockhart, D.A.; Desta, Z.; Mahal, S.K. Selection of drugs to treat gastroesophageal reflux disease: The role of drug interactions. Clin. Pharmacokinet. 2000, 39, 295–309. [Google Scholar] [CrossRef]
- Jeong, H.C.; Kim, M.G.; Wei, Z.; Lee, K.R.; Lee, J.; Song, I.S.; Shin, K.H. Integration of a physiologically based pharmacokinetic and pharmacodynamic model for tegoprazan and its metabolite: Application for predicting food effect and intragastric pH alterations. Pharmaceutics 2022, 14, 1298. [Google Scholar] [CrossRef]
- Kogame, A.; Takeuchi, T.; Nonaka, M.; Yamasaki, H.; Kawaguchi, N.; Bernards, A.; Tagawa, Y.; Morohashi, A.; Kondo, T.; Moriwaki, T.; et al. Disposition and metabolism of TAK-438 (vonoprazan fumarate), a novel potassium-competitive acid blocker, in rats and dogs. Xenobiotica 2017, 47, 255–266. [Google Scholar] [CrossRef]
- Yamasaki, H.; Kawaguchi, N.; Nonaka, M.; Takahashi, J.; Morohashi, A.; Hirabayashi, H.; Moriwaki, T.; Asahi, S. In vitro metabolism of TAK-438, vonoprazan fumarate, a novel potassium-competitive acid blocker. Xenobiotica 2017, 47, 1027–1034. [Google Scholar] [CrossRef] [PubMed]
- Jeong, Y.S.; Kim, M.S.; Lee, N.; Lee, A.; Chae, Y.J.; Chung, S.J.; Lee, K.R. Development of physiologically based pharmacokinetic model for orally administered fexuprazan in humans. Pharmaceutics 2021, 13, 813. [Google Scholar] [CrossRef] [PubMed]
- Sunwoo, J.; Oh, J.; Moon, S.J.; Ji, S.C.; Lee, S.H.; Yu, K.S.; Kim, H.S.; Lee, A.; Jang, I.J. Safety, tolerability, pharmacodynamics and pharmacokinetics of DWP14012, a novel potassium-competitive acid blocker, in healthy male subjects. Aliment. Pharmacol. Ther. 2018, 48, 206–218. [Google Scholar] [CrossRef] [PubMed]
- Scarpignato, C.; Hunt, R.H. Acid suppressant therapy: A step forward with potassium-competitive acid blockers. Curr. Treat. Options Gastroenterol. 2021, 19, 94–132. [Google Scholar] [CrossRef]
- Lee, K.N.; Lee, O.Y.; Chun, H.J.; Kim, J.I.; Kim, S.K.; Lee, S.W.; Park, K.S.; Lee, K.L.; Choi, S.C.; Jang, J.Y.; et al. Randomized controlled trial to evaluate the efficacy and safety of fexuprazan compared with esomeprazole in erosive esophagitis. World J. Gastroenterol. 2022, 28, 6294–6309. [Google Scholar] [CrossRef] [PubMed]
- He, J.; Cao, G.; Yu, J.; Wang, J.; Cheng, N.; Wu, J.; Zhang, J.; Wu, X.; Zhang, B.; Lu, J.; et al. Safety, Tolerability and pharmacokinetics of single ascending and multiple oral doses of tegoprazan in healthy chinese subjects. Clin. Drug Investig. 2021, 41, 89–97. [Google Scholar] [CrossRef] [PubMed]
- Chung, J.; Alvarez-Nunez, F.; Chow, V.; Daurio, D.; Davis, J.; Dodds, M.; Emery, M.; Litwiler, K.; Paccaly, A.; Peng, J.; et al. Utilizing physiologically based pharmacokinetic modeling to inform formulation and clinical development for a compound with pH-dependent solubility. J. Pharm. Sci. 2015, 104, 1522–1532. [Google Scholar] [CrossRef] [PubMed]
- Han, S.; Choi, H.Y.; Kim, Y.H.; Nam, J.Y.; Kim, B.; Song, G.S.; Lim, H.S.; Bae, K.S. Randomised clinical trial: Safety, tolerability, pharmacokinetics, and pharmacodynamics of single and multiple oral doses of tegoprazan (CJ-12420), a novel potassium-competitive acid blocker, in healthy male subjects. Aliment. Pharmacol. Ther. 2019, 50, 751–759. [Google Scholar] [CrossRef]
- Ku, J.M.; Cho, J.H.; Kim, K.; Kim, J.Y.; Kim, J.Y.; Kim, J.; Cha, H.; Cheon, B. JP-1366: A novel and potent potassium-competitive acid blocker that is effective in the treatment of acid-related diseases. Pharmacol. Res. Perspect. 2023, 11, e01090. [Google Scholar] [CrossRef]











| Analytes | Mass Transition (m/z) | Collision Energy (V) | tR |
|---|---|---|---|
| JP-1366 | 363.1 → 119.1 | 20 | 26.6 |
| M1 | 379.2 → 107.1 | 24 | 19.1 |
| M2 | 293.1 → 233.0 | 32 | 0.9 |
| M3 | 261.1 → 233.0 | 28 | 1.2 |
| M4 | 261.1 → 243.0 | 28 | 1.3 |
| M5 | 277.1 → 217.1 | 28 | 1.7 |
| M6 | 245.1 → 217.1 | 28 | 2.6 |
| M7 | 395.0 → 150.9 | 22 | 9.0 |
| M8 | 395.0 → 107.1 | 24 | 15.8 |
| M13 | 411.0 → 107.0 | 20 | 16.9 |
| M14 | 395.0 → 135.0 | 20 | 17.0 |
| M16 | 397.0 → 119.0 | 20 | 19.6 |
| M18 | 411.0 → 119.0 | 20 | 20.2 |
| M19 | 379.0 → 135.0 | 24 | 20.4 |
| M20 | 381.0 → 119.0 | 20 | 22.5 |
| M21 | 379.2 → 119.1 | 20 | 23.4 |
| M22 | 395.0 → 119.0 | 20 | 23.3 |
| M23 | 324.0 → 119.0 | 20 | 24.0 |
| Lansoprazole (IS) | 369.9 → 252.0 | 10 | 2.74 |
| Name | tR (min) | [M+H]+ (m/z) | Formula | Product Ions | Hepatocytes |
|---|---|---|---|---|---|
| JP-1366 | 27.58 | 363.21794 | C22H26N4O | 119.08553, 188.08184, 245.13969, 257.13969, 306.16009 | |
| M1 | 20.33 | 379.21285 | C22H26N4O2 | 107.08553, 135.08044, 188.08184, 245.13969, 304.14444, 361.20229 | H, D, Mk, M, R |
| M2 | 1.16 | 293.12443 | C13H16N4O4 | 203.09274, 221.10330, 233.10330, 247.11895, 263.11387, 275.11387 | H, D, Mk, M |
| M3 | 1.42 | 261.13460 | C13H16N4O2 | 203.09274, 215.09274, 233.10330, 243.12404 | H, D, Mk, M, R |
| M4 | 1.55 | 261.13460 | C13H16N4O2 | 203.09274, 215.09274, 233.10330, 243.12404 | H, D, Mk, R |
| M5 | 2.21 | 277.12952 | C13H16N4O3 | 193.08458, 205.10839, 217.10839 | H, D, Mk, M, R |
| M6 | 3.22 | 245.13969 | C13H16N4O | 161.09475, 188.08184, 217.10839 | H, D, Mk, M, R |
| M7 | 10.40 | 395.20777 | C22H26N4O3 | 151.07536, 188.08184, 245.13969, 320.13935, 359.18664, 377.19720 | H, Mk, M, R |
| M8 | 17.01 | 395.20777 | C22H26N4O3 | 107.08553, 135.08044, 204.07675, 261.13460, 320.13935, 377.19720 | H, D, Mk, M, R |
| M9 | 17.52 | 397.22342 | C22H28N4O3 | 107.08553, 135.08044, 188.08184, 263.15025, 304.14444, 322.15500, 379.21285 | H, D, Mk, M, R |
| M10 | 17.64 | 475.16459 | C22H26N4O6S | 135.08044, 215.03726, 243.12404, 261.13460, 273.13460, 338.14992, 377.19720, 395.20777 | H, D, Mk, M, R |
| M11 | 17.81 | 555.24494 | C28H34N4O8 | 107.08553, 135.08044, 245.13969, 257.13969, 311.11253, 379.21285 | H, Mk, M, R |
| M12 | 17.96 | 475.16459 | C22H26N4O6S | 135.08044, 215.03726, 243.12404, 261.13460, 273.13460, 338.14992, 377.19720, 395.20777 | H, D, Mk, M, R |
| M13 | 18.02 | 411.20268 | C22H26N4O4 | 107.08553, 135.08044, 188.08184, 277.12952, 333.17099, 393.19212 | H, D, Mk, M, R |
| M14 | 18.18 | 395.20777 | C22H26N4O3 | 135.08044, 204.07675, 243.12404, 261.13460, 338.14992 | H, D, Mk, M, R |
| M15 | 19.11 | 555.24494 | C28H34N4O8 | 135.08044, 245.13969, 304.14444, 361.20229, 379.21285 | H, D, Mk, M, R |
| M16 | 20.78 | 397.22342 | C22H28N4O3 | 119.08553, 204.07675, 261.13460, 291.14517, 367.21285 | H, D, Mk, M, R |
| M17 | 21.20 | 459.16967 | C22H26N4O5S | 135.08044, 188.08184, 215.03726, 245.13969, 257.13969, 322.15500, 379.21285 | H, D, Mk, M, R |
| M18 | 21.50 | 411.20268 | C22H26N4O4 | 119.08553, 245.10335, 275.11387, 305.12443, 381.19212 | H, D, Mk, M |
| M19 | 21.65 | 379.21285 | C22H26N4O2 | 135.08044, 188.08184, 245.13969, 257.13969, 322.15500 | H, D, Mk, M, R |
| M20 | 23.69 | 381.22850 | C22H28N4O2 | 119.08553, 188.08184, 275.15025, 306.16009 | H, D, Mk, M, R |
| M21 | 24.42 | 379.21285 | C22H26N4O2 | 119.08553, 204.07675, 243.12404, 261.13460, 273.13460, 349.20229 | H, D, Mk, M, R |
| M22 | 24.43 | 395.20777 | C22H26N4O3 | 119.08553, 188.08184, 229.10839, 277.12952, 289.12952 | H, D, Mk, M, R |
| M23 | 25.15 | 324.17065 | C19H21N3O2 | 119.08553, 206.09240 | H, D, M, R |
| Parameters | CYP1A2 | CYP2C8 | CYP2C9 | CYP2C19 | CYP2D6 | CYP3A4 | CYP3A5 | HLM |
|---|---|---|---|---|---|---|---|---|
| M1 | ||||||||
| Km (μM) | 32.4 | 12.4 | 2.0 | 4.0 | - | 13.2 | 19.2 | 17.0 |
| Vmax | 0.046 | 0.38 | 0.29 | 0.27 | - | 4.6 | 6.3 | 826.1 |
| Ki (μM) | - | 197.3 | - | - | - | - | - | 96.5 |
| CLint | 0.0014 | 0.031 | 0.14 | 0.068 | - | 0.35 | 0.33 | 48.6 |
| n | 0.6 | - | 1.2 | 1.6 | - | 2.9 | 1.5 | - |
| Contribution (%) | 0.1 | 3.7 | 10.3 | 0.1 | - | 17.3 | 68.6 | |
| M3 b | ||||||||
| Km (μM) | - | - | - | - | - | 12.5 | 2.4 | 6.8 |
| Vmax | - | - | - | - | - | 2.1 | 0.18 | 53.3 |
| Ki (μM) | - | - | - | - | - | 29.3 | - | 32.2 |
| CLint | - | - | - | - | - | 0.17 | 0.076 | 7.8 |
| n | - | - | - | - | - | - | 1.6 | - |
| Contribution (%) | 79.9 | 20.1 | ||||||
| M6 | ||||||||
| Km (μM) | - | - | 9.6 | 111.0 | 158.4 | 8.5 | 13.3 | 14.3 |
| Vmax | - | - | 0.068 | 0.25 | 0.24 | 6.5 | 5.5 | 798.8 |
| Ki (μM) | - | - | - | - | - | - | - | 104.6 |
| CLint | - | - | 0.0070 | 0.0023 | 0.0015 | 0.77 | 0.41 | 55.9 |
| n | - | - | 0.7 | 0.6 | 0.7 | 1.8 | 1.5 | - |
| Contribution (%) | 2.8 | 0.1 | 0.1 | 28.1 | 68.9 | |||
| M8 a | ||||||||
| Km (μM) | - | - | - | - | - | 16.7 | 4.2 | 5.2 |
| Vmax | - | - | - | - | - | 0.75 | 0.18 | 12.8 |
| Ki (μM) | - | - | - | - | - | 32.0 | - | 5.3 |
| CLint | - | - | - | - | - | 0.045 | 0.044 | 2.5 |
| n | - | - | - | - | - | - | 1.3 | - |
| Contribution (%) | 58.3 | 41.7 | ||||||
| M14 c | ||||||||
| Km (μM) | - | - | - | - | - | 41.8 | 6.1 | 3.9 |
| Vmax | - | - | - | - | - | 0.16 | 0.036 | 1.9 |
| Ki (μM) | - | - | - | - | - | 22.9 | 187.0 | 102.0 |
| CLint | - | - | - | - | - | 0.0037 | 0.0060 | 0.50 |
| Contribution (%) | 59.2 | 40.8 | ||||||
| M16 c | ||||||||
| Km (μM) | - | - | - | - | 5.4 | 8.1 | 7.0 | 4.9 |
| Vmax | - | - | - | - | 0.026 | 0.050 | 0.016 | 2.5 |
| CLint | - | - | - | - | 0.0048 | 0.0062 | 0.0023 | 0.51 |
| n | - | - | - | - | 1.9 | 2.4 | 1.3 | 17.4 |
| Contribution (%) | 3.3 | 49.7 | 47.1 | |||||
| M19 c | ||||||||
| Km (μM) | 12.4 | 5.0 | 3.4 | 4.1 | 7.5 | 15.9 | 20.1 | 8.2 |
| Vmax | 0.014 | 0.16 | 0.036 | 0.056 | 0.028 | 0.64 | 1.5 | 85.1 |
| CLint | 0.0011 | 0.032 | 0.011 | 0.014 | 0.0037 | 0.040 | 0.074 | 10.3 |
| n | 0.7 | 1.4 | 1.2 | 1.7 | 2.9 | 3.2 | 1.6 | 1.5 |
| Contribution (%) | 0.2 | 7.3 | 6.0 | 0.1 | 0.1 | 11.0 | 75.5 | |
| M20 c | ||||||||
| Km (μM) | 22.5 | - | - | 1091.7 | 5.1 | - | - | 22.4 |
| Vmax | 0.021 | - | - | 0.10 | 0.96 | - | - | 64.9 |
| CLint | 0.0010 | - | - | 0.0001 | 0.19 | - | - | 2.9 |
| n | 0.6 | - | - | 0.3 | 1.7 | - | - | 1.6 |
| Contribution (%) | 9.8 | 3.8 | 86.4 | |||||
| M21 c | ||||||||
| Km (μM) | 16.6 | 7.0 | 2.3 | 4.8 | - | 17.4 | 18.9 | 8.8 |
| Vmax | 1.67 | 0.20 | 0.039 | 0.26 | - | 3.2 | 2.1 | 342.4 |
| CLint | 0.10 | 0.028 | 0.017 | 0.054 | - | 0.18 | 0.11 | 38.9 |
| n | 0.9 | 1.2 | 1.2 | 1.4 | - | 3.0 | 1.6 | 1.6 |
| Contribution (%) | 9.5 | 4.4 | 3.3 | 0.1 | - | 27.9 | 54.8 | |
| M22 c | ||||||||
| Km (μM) | - | - | - | 4.2 | 6.5 | 9.5 | 11.9 | 8.6 |
| Vmax | - | - | - | 0.019 | 0.43 | 0.37 | 0.13 | 25.7 |
| CLint | - | - | - | 0.0045 | 0.067 | 0.039 | 0.011 | 3.0 |
| n | - | - | - | 0.9 | 1.6 | 2.2 | 1.4 | 1.5 |
| Contribution (%) | 0.1 | 6.8 | 45.2 | 47.9 | ||||
| M23 c | ||||||||
| Km (μM) | - | - | - | - | - | - | - | 17.4 |
| Vmax | - | - | - | - | - | - | - | 23.2 |
| CLint | - | - | - | - | - | - | - | 1.3 |
| System | Km (μM) | Vmax (pmol/min/mg Protein) | Ki (μM) | CLint (μL/min/mg Protein) | n |
|---|---|---|---|---|---|
| HLM | 57.9 | 74.9 | - | 1.29 | 1.0 |
| UGT2B7 | 178.8 | 107.1 | - | 0.60 | 0.8 |
| UGT2B17 | 6.5 | 8.27 | 59.0 | 1.27 | - |
| Compounds | Cells | Treatment | Uptake Rate (pmol/min/105 Cells) | Fold-Change | Substrate |
|---|---|---|---|---|---|
| JP-1366 | HEK293-mock | control | 51.53 ± 3.16 | 1.0 | |
| cimetidine 100 μM | 55.35 ± 2.24 | 1.1 | |||
| probenecid 20 μM | 54.22 ± 1.90 | 1.1 | |||
| rifampin 20 μM | 57.80 ± 0.89 | 1.1 | |||
| HEK293-MATE1 | control | 65.32 ± 4.13 | 1.3 | No | |
| cimetidine 100 μM | 78.57 ± 5.38 | 1.5 | |||
| HEK293-MATE2K | control | 59.19 ± 3.66 | 1.1 | No | |
| cimetidine 100 μM | 72.81 ± 3.33 | 1.4 | |||
| HEK293-OCT1 | control | 82.43 ± 3.59 | 1.6 | No | |
| cimetidine 100 μM | 82.01 ± 3.72 | 1.6 | |||
| HEK293-OCT2 | control | 51.71 ± 1.36 | 1.0 | No | |
| cimetidine 100 μM | 49.28 ± 4.50 | 1.0 | |||
| HEK293-OAT1 | control | 68.04 ± 2.96 | 1.3 | No | |
| probenecid 20 μM | 61.04 ± 5.29 | 1.2 | |||
| HEK293-OAT3 | control | 58.53 ± 3.71 | 1.1 | No | |
| probenecid 20 μM | 52.47 ± 2.27 | 1.0 | |||
| HEK293-OATP1B1 | control | 52.79 ± 2.39 | 1.0 | No | |
| rifampin 20 μM | 53.60 ± 3.73 | 1.0 | |||
| HEK293-OATP1B3 | control | 44.54 ± 0.74 | 0.9 | No | |
| rifampin 20 μM | 52.67 ± 2.99 | 1.0 | |||
| M1 | HEK293-mock | control | 51.53 ± 3.16 | 1.0 | |
| cimetidine 100 μM | 55.35 ± 2.24 | 1.1 | |||
| probenecid 20 μM | 54.22 ± 1.90 | 1.1 | |||
| rifampin 20 μM | 57.80 ± 0.89 | 1.1 | |||
| HEK293-MATE1 | control | 65.32 ± 4.13 | 1.3 | No | |
| cimetidine 100 μM | 78.57 ± 5.38 | 1.5 | |||
| HEK293-MATE2K | control | 59.19 ± 3.66 | 1.1 | No | |
| cimetidine 100 μM | 72.81 ± 3.33 | 1.4 | |||
| HEK293-OCT1 | control | 82.43 ± 3.59 | 1.6 | No | |
| cimetidine 100 μM | 82.01 ± 3.72 | 1.6 | |||
| HEK293-OCT2 | control | 51.71 ± 1.36 | 1.0 | No | |
| cimetidine 100 μM | 49.28 ± 4.50 | 1.0 | |||
| HEK293-OAT1 | control | 68.04 ± 2.96 | 1.3 | No | |
| probenecid 20 μM | 61.04 ± 5.29 | 1.2 | |||
| HEK293-OAT3 | control | 58.53 ± 3.71 | 1.1 | No | |
| probenecid 20 μM | 52.47 ± 2.27 | 1.0 | |||
| HEK293-OATP1B1 | control | 52.79 ± 2.39 | 1.0 | No | |
| rifampin 20 μM | 53.60 ± 3.73 | 1.0 | |||
| HEK293-OATP1B3 | control | 44.54 ± 0.74 | 0.9 | No | |
| rifampin 20 μM | 52.67 ± 2.99 | 1.0 |
| Compounds | Cells | Treatment | Papp (×10−6 cm/s) a | ER b | Substrate | |
|---|---|---|---|---|---|---|
| A to B | B to A | |||||
| JP-1366 | LLC-PK1-P-gp | Control | 20.28 ± 0.53 | 25.65 ± 1.71 | 1.3 | No |
| CsA 20 μM | 20.69 ± 1.31 | 32.05 ± 0.94 | 1.5 | |||
| LLC-PK1-BCRP | Control | 14.84 ± 1.23 | 20.52 ± 3.95 | 1.4 | No | |
| Ko134 1 μM | 13.58 ± 0.54 | 22.62 ± 0.47 | 1.7 | |||
| M1 | LLC-PK1-P-gp | Control | 6.99 ± 0.60 | 99.30 ± 1.66 | 14.2 | Yes |
| CsA 20 μM | 18.52 ± 0.96 | 62.83 ± 5.26 | 3.4 | |||
| LLC-PK1-BCRP | Control | 31.66 ± 3.39 | 33.80 ± 3.45 | 1.4 | No | |
| Ko134 1 μM | 31.97 ± 2.84 | 47.31 ± 1.39 | 1.7 | |||
| Group | Compound | Papp (×10−6 cm/s) a | ER b | |
|---|---|---|---|---|
| A to B | B to A | |||
| Marker | Caffeine | 27.00 ± 1.55 | 26.05 ± 1.95 | 0.96 |
| Propranolol | 9.75 ± 0.68 | 12.20 ± 1.51 | 1.3 | |
| Ofloxacin | 3.45 ± 0.03 | 4.79 ± 0.15 | 1.4 | |
| Atenolol | 0.11 ± 0.01 | 0.11 ± 0.01 | 0.98 | |
| Test compounds | JP-1366 | 22.98 ± 5.79 | 10.70 ± 1.77 | 0.47 |
| M1 | 3.36 ± 0.24 | 20.30 ± 1.51 | 6.0 | |
Disclaimer/Publisher’s Note: The statements, opinions and data contained in all publications are solely those of the individual author(s) and contributor(s) and not of MDPI and/or the editor(s). MDPI and/or the editor(s) disclaim responsibility for any injury to people or property resulting from any ideas, methods, instructions or products referred to in the content. |
© 2024 by the authors. Licensee MDPI, Basel, Switzerland. This article is an open access article distributed under the terms and conditions of the Creative Commons Attribution (CC BY) license (https://creativecommons.org/licenses/by/4.0/).
Share and Cite
Lee, M.S.; Lee, J.; Pang, M.; Kim, J.; Cha, H.; Cheon, B.; Choi, M.-K.; Song, I.-S.; Lee, H.S. In Vitro Metabolism and Transport Characteristics of Zastaprazan. Pharmaceutics 2024, 16, 799. https://doi.org/10.3390/pharmaceutics16060799
Lee MS, Lee J, Pang M, Kim J, Cha H, Cheon B, Choi M-K, Song I-S, Lee HS. In Vitro Metabolism and Transport Characteristics of Zastaprazan. Pharmaceutics. 2024; 16(6):799. https://doi.org/10.3390/pharmaceutics16060799
Chicago/Turabian StyleLee, Min Seo, Jihoon Lee, Minyoung Pang, John Kim, Hyunju Cha, Banyoon Cheon, Min-Koo Choi, Im-Sook Song, and Hye Suk Lee. 2024. "In Vitro Metabolism and Transport Characteristics of Zastaprazan" Pharmaceutics 16, no. 6: 799. https://doi.org/10.3390/pharmaceutics16060799
APA StyleLee, M. S., Lee, J., Pang, M., Kim, J., Cha, H., Cheon, B., Choi, M.-K., Song, I.-S., & Lee, H. S. (2024). In Vitro Metabolism and Transport Characteristics of Zastaprazan. Pharmaceutics, 16(6), 799. https://doi.org/10.3390/pharmaceutics16060799

