Heterotropic Activation of Cytochrome P450 3A4 by Perillyl Alcohol
Abstract
1. Introduction
2. Materials and Methods
2.1. Chemical and Reagents
2.2. Direct CYP Inhibition Assay
2.3. Metabolism-Dependent Inhibition Assay
2.4. Determination of CYP Inhibition Mode
2.5. Determination of Kinetic Parameters
2.6. Enzyme Activity Assay Using rCYP3A4
2.7. POH Concentration-Dependent MDZ Hydroxylation in hHOs
2.8. Effect of POH on the Metabolism of Other CYP3A4 Substrates
2.9. Analytical Methods
2.10. Data Analysis
3. Results
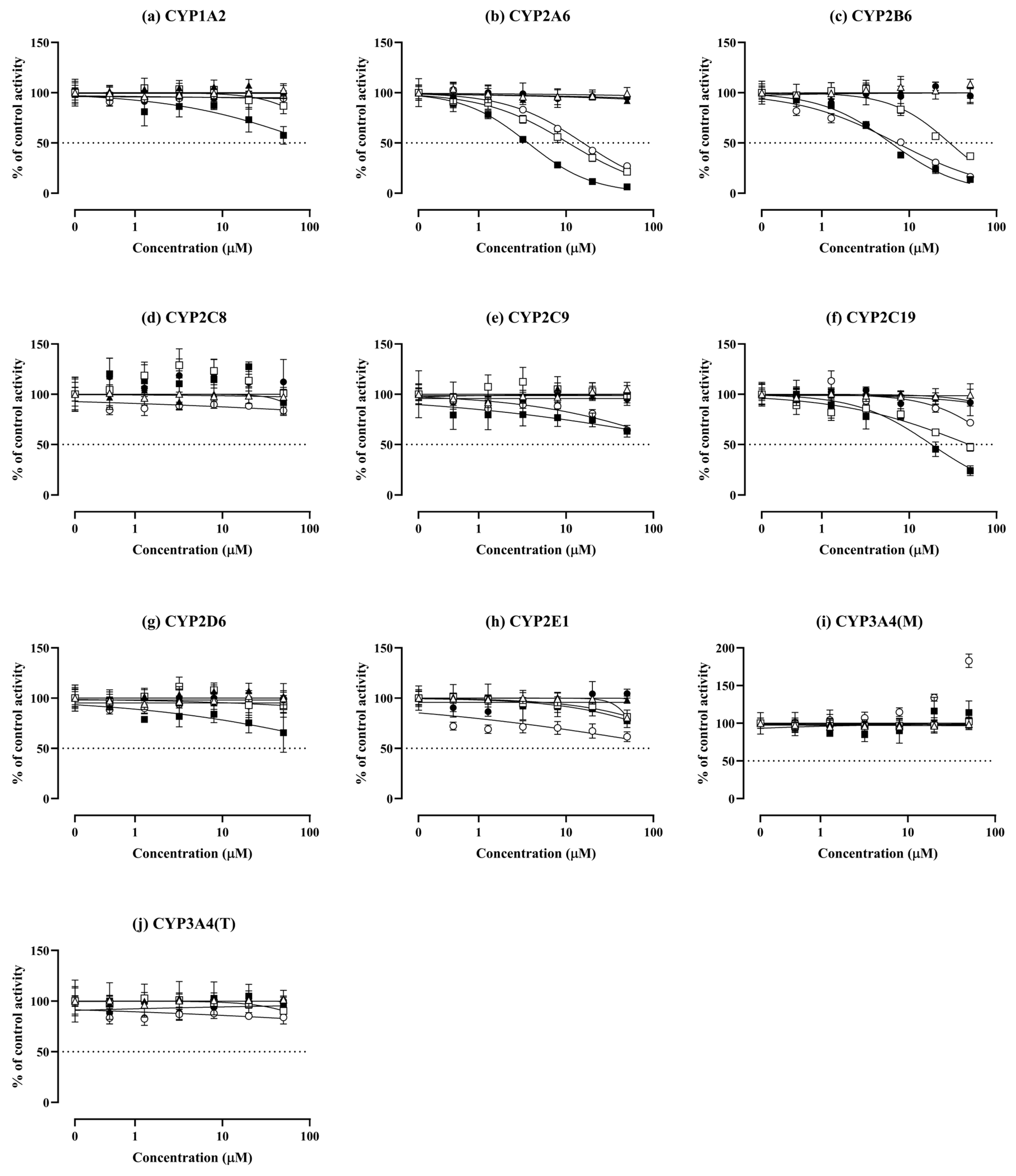
3.1. Direct CYP Inhibition by LMN, POH, PAH, and PA in HLMs
3.2. Metabolism-Dependent Inhibition Assay
3.3. Determination of Mode of Inhibition of CYP by (−)-POH and (−)-PAH
3.4. Effect of POH on the Kinetic Parameters for MDZ Hydroxylation in Pooled HLMs
3.5. Effect of POH on MDZ 1′-Hydroxylation in the Absence or Presence of Cytochrome b5 in rCYP3A4
3.6. Effect of POH on MDZ Hydroxylation in hHOs
3.7. Effect of POH on Metabolism of Other CYP3A4 Substrates in Pooled HLMs
4. Discussion
5. Conclusions
Supplementary Materials
Author Contributions
Funding
Institutional Review Board Statement
Informed Consent Statement
Data Availability Statement
Conflicts of Interest
References
- Guengerich, F.P. Roles of Individual Human Cytochrome P450 Enzymes in Drug Metabolism. Pharmacol. Rev. 2024, 76, 1104–1132. [Google Scholar] [CrossRef] [PubMed]
- Bhutani, P.; Joshi, G.; Raja, N.; Bachhav, N.; Rajanna, P.K.; Bhutani, H.; Paul, A.T.; Kumar, R.U.S. FDA Approved Drugs from 2015-June 2020: A Perspective. J. Med. Chem. 2021, 64, 2339–2381. [Google Scholar] [CrossRef] [PubMed]
- Lynch, T.; Price, A. The effect of cytochrome P450 metabolism on drug response, interactions, and adverse effects. Am. Fam. Physician 2007, 76, 391–396. [Google Scholar] [PubMed]
- Denisov, I.G.; Frank, D.J.; Sligar, S.G. Cooperative properties of cytochromes P450. Pharmacol. Ther. 2009, 124, 151–167. [Google Scholar] [CrossRef] [PubMed]
- Belanger, J.T. Perillyl alcohol: Applications in oncology. Altern. Med. Rev. 1998, 3, 448–457. [Google Scholar] [PubMed]
- Shimada, T.; Shindo, M.; Miyazawa, M. Species differences in the metabolism of (+)- and (−)-limonenes and their metabolites, carveols and carvones, by cytochrome P450 enzymes in liver microsomes of mice, rats, guinea pigs, rabbits, dogs, monkeys, and humans. Drug Metab. Pharmacokinet. 2002, 17, 507–515. [Google Scholar] [CrossRef]
- Shojaei, S.; Kiumarsi, A.; Moghadam, A.R.; Alizadeh, J.; Marzban, H.; Ghavami, S. Perillyl Alcohol (Monoterpene Alcohol), Limonene. Enzymes 2014, 36, 7–32. [Google Scholar] [CrossRef]
- Miyazawa, M.; Shindo, M.; Shimada, T. Metabolism of (+)- and (−)-limonenes to respective carveols and perillyl alcohols by CYP2C9 and CYP2C19 in human liver microsomes. Drug Metab. Dispos. 2002, 30, 602–607. [Google Scholar] [CrossRef]
- Ciriminna, R.; Lomeli-Rodriguez, M.; Demma Carà, P.; Lopez-Sanchez, J.A.; Pagliaro, M. Limonene: A versatile chemical of the bioeconomy. Chem. Commun. 2014, 50, 15288–15296. [Google Scholar] [CrossRef]
- Hobbs, C.A.; Taylor, S.V.; Beevers, C.; Lloyd, M.; Bowen, R.; Lillford, L.; Maronpot, R.; Hayashi, S.-M. Genotoxicity assessment of the flavouring agent, perillaldehyde. Food Chem. Toxicol. 2016, 97, 232–242. [Google Scholar] [CrossRef]
- Food and Drug Administration. Code of Federal Regulations, 21 CFR 172.515. Chapter I—Food and Drug Administration. Title 21—Food and Drugs, Vol. 3. Part 172—Food Additives Permitted for Direct Addition to Food for Human Consumption. Subpart F—Flavoring Agents and Related Substances, 515—Synthetic Flavoring Substances and Adjuvants. Department of Health and Human Services. Available online: https://www.ecfr.gov/current/title-21/chapter-I/subchapter-B/part-172 (accessed on 8 February 2024).
- Food and Drug Administration. Code of Federal Regulations, 21 CFR 182.60. Chapter I—Food and Drug Administration. Title 21—Food and Drugs, Vol. 3. Part 182—Substances Generally Recognized as Safe. Subpart A—General Provisions, 60—Synthetic Flavoring Substances and Adjuvants. Department of Health and Human Services. Available online: https://www.ecfr.gov/current/title-21/chapter-I/subchapter-B/part-182 (accessed on 8 February 2024).
- Adams, T.; Hallagan, J.; Putnam, J.; Gierke, T.; Doull, J.; Munro, I.; Newberne, P.; Portoghese, P.; Smith, R.; Wagner, B.; et al. The FEMA GRAS assessment of alicyclic substances used as flavour ingredients. Food Chem. Toxicol. 1996, 34, 763–828. [Google Scholar] [CrossRef] [PubMed]
- Schönthal, A.H.; Peereboom, D.M.; Wagle, N.; Lai, R.; Mathew, A.J.; Hurth, K.M.; Simmon, V.F.; Howard, S.P.; Taylor, L.P.; Chow, F.; et al. Phase I trial of intranasal NEO100, highly purified perillyl alcohol, in adult patients with recurrent glioblastoma. Neurooncol. Adv. 2021, 3, vdab005. [Google Scholar] [CrossRef] [PubMed]
- Kim, H.; Im, I.; Jeon, J.S.; Kang, E.-H.; Lee, H.-A.; Jo, S.; Kim, J.-W.; Woo, D.-H.; Choi, Y.J.; Kim, H.J.; et al. Development of human pluripotent stem cell-derived hepatic organoids as an alternative model for drug safety assessment. Biomaterials 2022, 286, 121575. [Google Scholar] [CrossRef] [PubMed]
- Kim, H.; Kim, S.K.; Oelgeschläger, M.; Park, H.J. Prediction of Acute Hepatotoxicity With Human Pluripotent Stem Cell-Derived Hepatic Organoids. Curr. Protoc. 2024, 4, e1015. [Google Scholar] [CrossRef] [PubMed]
- Gómez-Tabales, J.; García-Martín, E.; Agúndez, J.A.G.; Gutierrez-Merino, C. Modulation of CYP2C9 activity and hydrogen peroxide production by cytochrome b5. Sci. Rep. 2020, 10, 15571. [Google Scholar] [CrossRef]
- Keubler, A.; Weiss, J.; Haefeli, W.E.; Mikus, G.; Burhenne, J. Drug interaction of efavirenz and midazolam: Efavirenz activates the CYP3A-mediated midazolam 1′-hydroxylation in vitro. Drug Metab. Dispos. 2012, 40, 1178–1182. [Google Scholar] [CrossRef]
- Blobaum, A.L.; Bridges, T.M.; Byers, F.W.; Turlington, M.L.; Mattmann, M.E.; Morrison, R.D.; Mackie, C.; Lavreysen, H.; Bartolomé, J.M.; MacDonald, G.J.; et al. Heterotropic activation of the midazolam hydroxylase activity of CYP3A by a positive allosteric modulator of mGlu5: In vitro to in vivo translation and potential impact on clinically relevant drug-drug interactions. Drug Metab. Dispos. 2013, 41, 2066–2075. [Google Scholar] [CrossRef]
- Zhuang, X.; Zhang, T.; Yue, S.; Wang, J.; Luo, H.; Zhang, Y.; Li, Z.; Che, J.; Yang, H.; Li, H.; et al. Allosteric activation of midazolam CYP3A5 hydroxylase activity by icotinib—Enhancement by ketoconazole. Biochem. Pharmacol. 2016, 121, 67–77. [Google Scholar] [CrossRef]
- Lee, K.S.; Kim, S.K. Direct and metabolism-dependent cytochrome P450 inhibition assays for evaluating drug-drug interactions. J. Appl. Toxicol. 2013, 33, 100–108. [Google Scholar] [CrossRef]
- Park, J.E.; Kim, K.B.; Bae, S.K.; Moon, B.S.; Liu, K.H.; Shin, J.G. Contribution of cytochrome P450 3A4 and 3A5 to the metabolism of atorvastatin. Xenobiotica 2008, 38, 1240–1251. [Google Scholar] [CrossRef]
- Zhu, M.; Zhao, W.; Jimenez, H.; Zhang, D.; Yeola, S.; Dai, R.; Vachharajani, N.; Mitroka, J. Cytochrome P450 3A-mediated metabolism of buspirone in human liver microsomes. Drug Metab. Dispos. 2005, 33, 500–507. [Google Scholar] [CrossRef] [PubMed]
- Foti, R.S.; Rock, D.A.; Wienkers, L.C.; Wahlstrom, J.L. Selection of alternative CYP3A4 probe substrates for clinical drug interaction studies using in vitro data and in vivo simulation. Drug Metab. Dispos. 2010, 38, 981–987. [Google Scholar] [CrossRef] [PubMed]
- Matsui, K.; Taniguchi, S.; Yoshimura, T. Identitication of Cytochrome P450 Involved in the Metabolism of Donepezil and In Vitro Drug Interaction Study in Human Liver Microsomes. Drug Metab. Pharmacokinet. 2000, 15, 101–111. [Google Scholar] [CrossRef][Green Version]
- Patki, K.C.; Von Moltke, L.L.; Greenblatt, D.J. In vitro metabolism of midazolam, triazolam, nifedipine, and testosterone by human liver microsomes and recombinant cytochromes p450: Role of cyp3a4 and cyp3a5. Drug Metab. Dispos. 2003, 31, 938–944. [Google Scholar] [CrossRef] [PubMed]
- Choi, Y.J.; Lee, J.Y.; Ryu, C.S.; Chi, Y.H.; Paik, S.H.; Kim, S.K. Role of cytochrome P450 enzymes in fimasartan metabolism in vitro. Food Chem. Toxicol. 2018, 115, 375–384. [Google Scholar] [CrossRef]
- Takahiro, R.; Nakamura, S.; Kohno, H.; Yoshimura, N.; Nakamura, T.; Ozawa, S.; Hirono, K.; Ichida, F.; Taguchi, M. Contribution of CYP3A isoforms to dealkylation of PDE5 inhibitors: A comparison between sildenafil N-demethylation and tadalafil demethylenation. Biol. Pharm. Bull. 2015, 38, 58–65. [Google Scholar] [CrossRef]
- Grimm, S.W.; Einolf, H.J.; Hall, S.D.; He, K.; Lim, H.-K.; Ling, K.-H.J.; Lu, C.; Nomeir, A.A.; Seibert, E.; Skordos, K.W.; et al. The conduct of in vitro studies to address time-dependent inhibition of drug-metabolizing enzymes: A perspective of the pharmaceutical research and manufacturers of America. Drug Metab. Dispos. 2009, 37, 1355–1370. [Google Scholar] [CrossRef]
- Berry, L.M.; Zhao, Z. An examination of IC50 and IC50-shift experiments in assessing time-dependent inhibition of CYP3A4, CYP2D6 and CYP2C9 in human liver microsomes. Drug Metab. Lett. 2008, 2, 51–59. [Google Scholar] [CrossRef]
- González-Mas, M.C.; Rambla, J.L.; López-Gresa, M.P.; Blázquez, M.A.; Granell, A. Volatile Compounds in Citrus Essential Oils: A Comprehensive Review. Front. Plant Sci. 2019, 10, 12. [Google Scholar] [CrossRef]
- Tang, W.; Stearns, R.A. Heterotropic cooperativity of cytochrome P450 3A4 and potential drug-drug interactions. Curr. Drug Metab. 2001, 2, 185–198. [Google Scholar] [CrossRef]
- Huang, M.T.; Johnson, E.F.; Muller-Eberhard, U.; Koop, D.R.; Coon, M.J.; Conney, A.H. Specificity in the activation and inhibition by flavonoids of benzo[a]pyrene hydroxylation by cytochrome P-450 isozymes from rabbit liver microsomes. J. Biol. Chem. 1981, 256, 10897–10901. [Google Scholar] [CrossRef] [PubMed]
- Ueng, Y.F.; Kuwabara, T.; Chun, Y.J.; Guengerich, F.P. Cooperativity in oxidations catalyzed by cytochrome P450 3A4. Biochemistry 1997, 36, 370–381. [Google Scholar] [CrossRef] [PubMed]
- Ekroos, M.; Sjögren, T. Structural basis for ligand promiscuity in cytochrome P450 3A4. Proc. Natl. Acad. Sci. USA. 2006, 103, 13682–13687. [Google Scholar] [CrossRef]
- Sevrioukova, I.F.; Poulos, T.L. Dissecting cytochrome P450 3A4-ligand interactions using ritonavir analogues. Biochemistry 2013, 52, 4474–4481. [Google Scholar] [CrossRef] [PubMed]
- Shou, M.; Grogan, J.; Mancewicz, J.A.; Krausz, K.W.; Gonzalez, F.J.; Gelboin, H.V.; Korzekwa, K.R. Activation of CYP3A4: Evidence for the simultaneous binding of two substrates in a cytochrome P450 active site. Biochemistry 1994, 33, 6450–6455. [Google Scholar] [CrossRef]
- Guengerich, F.P.; Waterman, M.R.; Egli, M. Recent Structural Insights into Cytochrome P450 Function. Trends Pharmacol. Sci. 2016, 37, 625–640. [Google Scholar] [CrossRef]
- Atkins, W.M.; Wang, R.W.; Lu, A.Y. Allosteric behavior in cytochrome p450-dependent in vitro drug-drug interactions: A prospective based on conformational dynamics. Chem. Res. Toxicol. 2001, 14, 338–347. [Google Scholar] [CrossRef]
- Fernando, H.; Halpert, J.R.; Davydov, D.R. Kinetics of electron transfer in the complex of cytochrome P450 3A4 with the flavin domain of cytochrome P450BM-3 as evidence of functional heterogeneity of the heme protein. Arch. Biochem. Biophys. 2008, 471, 20–31. [Google Scholar] [CrossRef]
- Yamazaki, H.; Johnson, W.W.; Ueng, Y.F.; Shimada, T.; Guengerich, F.P. Lack of electron transfer from cytochrome b5 in stimulation of catalytic activities of cytochrome P450 3A4. Characterization of a reconstituted cytochrome P450 3A4/NADPH-cytochrome P450 reductase system and studies with apo-cytochrome b5. J. Biol. Chem. 1996, 271, 27438–27444. [Google Scholar] [CrossRef]
- Aitken, A.E.; Roman, L.J.; Loughran, P.A.; de la Garza, M.; Masters, B.S. Expressed CYP4A4 metabolism of prostaglandin E1 and arachidonic acid. Arch. Biochem. Biophys. 2001, 393, 329–338. [Google Scholar] [CrossRef]
- Hutzler, J.M.; Wienkers, L.C.; Wahlstrom, J.L.; Carlson, T.J.; Tracy, T.S. Activation of cytochrome P450 2C9-mediated metabolism: Mechanistic evidence in support of kinetic observations. Arch. Biochem. Biophys. 2003, 410, 16–24. [Google Scholar] [CrossRef] [PubMed]
- Locuson, C.W.; Wienkers, L.C.; Jones, J.P.; Tracy, T.S. CYP2C9 protein interactions with cytochrome b5: Effects on the coupling of catalysis. Drug Metab. Dispos. 2007, 35, 1174–1181. [Google Scholar] [CrossRef] [PubMed]
- Backman, J.T.; Mäenpää, J.; Belle, D.J.; Wrighton, S.A.; Kivistö, K.T.; Neuvonen, P.J. Lack of correlation between in vitro and in vivo studies on the effects of tangeretin and tangerine juice on midazolam hydroxylation. Clin. Pharmacol. Ther. 2000, 67, 382–390. [Google Scholar] [CrossRef] [PubMed]
- Guengerich, F.P.; Martin, M.V.; Beaune, P.H.; Kremers, P.; Wolff, T.; Waxman, D.J. Characterization of rat and human liver microsomal cytochrome P-450 forms involved in nifedipine oxidation, a prototype for genetic polymorphism in oxidative drug metabolism. J. Biol. Chem. 1986, 261, 5051–5060. [Google Scholar] [CrossRef] [PubMed]
- Ring, B.J.; Patterson, B.E.; Mitchell, M.I.; Vandenbranden, M.; Gillespie, J.; Bedding, A.W.; Jewell, H.; Payne, C.D.; Forgue, S.T.; Eckstein, J.; et al. Effect of tadalafil on cytochrome P450 3A4-mediated clearance: Studies in vitro and in vivo. Clin. Pharmacol. Ther. 2005, 77, 63–75. [Google Scholar] [CrossRef]
- Hudes, G.R.; Szarka, C.E.; Adams, A.; Ranganathan, S.; McCauley, R.A.; Weiner, L.M.; Langer, C.J.; Litwin, S.; Yeslow, G.; Halberr, T.; et al. Phase I pharmacokinetic trial of perillyl alcohol (NSC 641066) in patients with refractory solid malignancies. Clin. Cancer Res. 2000, 6, 3071–3080. [Google Scholar] [PubMed]
- Paine, M.F.; Hart, H.L.; Ludington, S.S.; Haining, R.L.; Rettie, A.E.; Zeldin, D.C. The human intestinal cytochrome P450 “pie”. Drug Metab. Dispos. 2006, 34, 880–886. [Google Scholar] [CrossRef]
- Hanley, M.J.; Cancalon, P.; Widmer, W.W.; Greenblatt, D.J. The effect of grapefruit juice on drug disposition. Expert Opin. Drug Metab. Toxicol. 2011, 7, 267–286. [Google Scholar] [CrossRef]







| CYP Isoforms | Substrate | IC50 (μM) | |||||
|---|---|---|---|---|---|---|---|
| (+)-LMN | (−)-LMN | (+)-PAH | (−)-PAH | (−)-POH | (−)-PA | ||
| CYP1A2 | Phenacetin | N/A | N/A | N/A | N/A | N/A | N/A |
| CYP2A6 | Coumarin | N/A | N/A | 10.6 (9.07–12.4) | 3.64 (3.40–3.90) | 15.7 (12.8–19.3) | N/A |
| CYP2B6 | Bupropion | N/A | N/A | 29.0 (23.6–36.6) | 6.15 (5.53–6.85) | 6.99 (5.82–8.41) | N/A |
| CYP2C8 | Amodiaquine | N/A | N/A | N/A | N/A | N/A | N/A |
| CYP2C9 | Tolbutamide | N/A | N/A | N/A | N/A | N/A | N/A |
| CYP2C19 | (S)-Mephenytoin | N/A | N/A | 50.5 (33.0–100) | 18.0 (13.2–25.0) | N/A | N/A |
| CYP2D6 | Dextromethorphan | N/A | N/A | N/A | N/A | N/A | N/A |
| CYP2E1 | Chlorzoxazone | N/A | N/A | N/A | N/A | N/A | N/A |
| CYP3A4 | Midazolam | N/A | N/A | N/A | N/A | Stimulation * | N/A |
| Testosterone | N/A | N/A | N/A | N/A | N/A | N/A | |
Disclaimer/Publisher’s Note: The statements, opinions and data contained in all publications are solely those of the individual author(s) and contributor(s) and not of MDPI and/or the editor(s). MDPI and/or the editor(s) disclaim responsibility for any injury to people or property resulting from any ideas, methods, instructions or products referred to in the content. |
© 2024 by the authors. Licensee MDPI, Basel, Switzerland. This article is an open access article distributed under the terms and conditions of the Creative Commons Attribution (CC BY) license (https://creativecommons.org/licenses/by/4.0/).
Share and Cite
Ryu, J.H.; Yu, J.; Jeon, J.S.; Jo, S.; Lee, S.M.; Kim, H.; Park, H.-J.; Oh, S.J.; Kim, S.K. Heterotropic Activation of Cytochrome P450 3A4 by Perillyl Alcohol. Pharmaceutics 2024, 16, 1581. https://doi.org/10.3390/pharmaceutics16121581
Ryu JH, Yu J, Jeon JS, Jo S, Lee SM, Kim H, Park H-J, Oh SJ, Kim SK. Heterotropic Activation of Cytochrome P450 3A4 by Perillyl Alcohol. Pharmaceutics. 2024; 16(12):1581. https://doi.org/10.3390/pharmaceutics16121581
Chicago/Turabian StyleRyu, Ji Hyeon, Jieun Yu, Jang Su Jeon, Seongyea Jo, Soo Min Lee, Hyemin Kim, Han-Jin Park, Soo Jin Oh, and Sang Kyum Kim. 2024. "Heterotropic Activation of Cytochrome P450 3A4 by Perillyl Alcohol" Pharmaceutics 16, no. 12: 1581. https://doi.org/10.3390/pharmaceutics16121581
APA StyleRyu, J. H., Yu, J., Jeon, J. S., Jo, S., Lee, S. M., Kim, H., Park, H.-J., Oh, S. J., & Kim, S. K. (2024). Heterotropic Activation of Cytochrome P450 3A4 by Perillyl Alcohol. Pharmaceutics, 16(12), 1581. https://doi.org/10.3390/pharmaceutics16121581

