Effects of H2-Receptor Antagonists on the Exposure of Dacomitinib
Abstract
1. Introduction
2. Materials and Methods
2.1. Analysis of Clinical PK of Dacomitinib with and without H2RA Co-Administration
2.1.1. Summary of Clinical Studies
2.1.2. Dacomitinib PK Population
2.1.3. Statistical Analysis
- = dacomitinib parent, metabolite and active moiety Ctrough,ss for the group (test), the patient and the within patient observation.
- µ = mean dacomitinib parent, metabolite and active moiety Ctrough,ss (natural log scale) for the reference group.
- θ1 = H2RA effect as the mean dacomitinib parent, metabolite and active moiety Ctrough,ss difference (natural log scale) between test ( = 1) and reference ( = 0).
- θ2 = time effect for the test dacomitinib parent, metabolite and active moiety Ctrough,ss.
- = time of observed dacomitinib parent, metabolite and active moiety Ctrough,ss after first dose in hours.
- = inter-patient random effect.
- = intra-patient random error.
2.2. PBPK Modeling and Sensitivity Analysis of Dacomitinib PK
2.2.1. PBPK Model Development
2.2.2. PBPK Model Verification
2.2.3. PBPK Model Simulations
3. Results
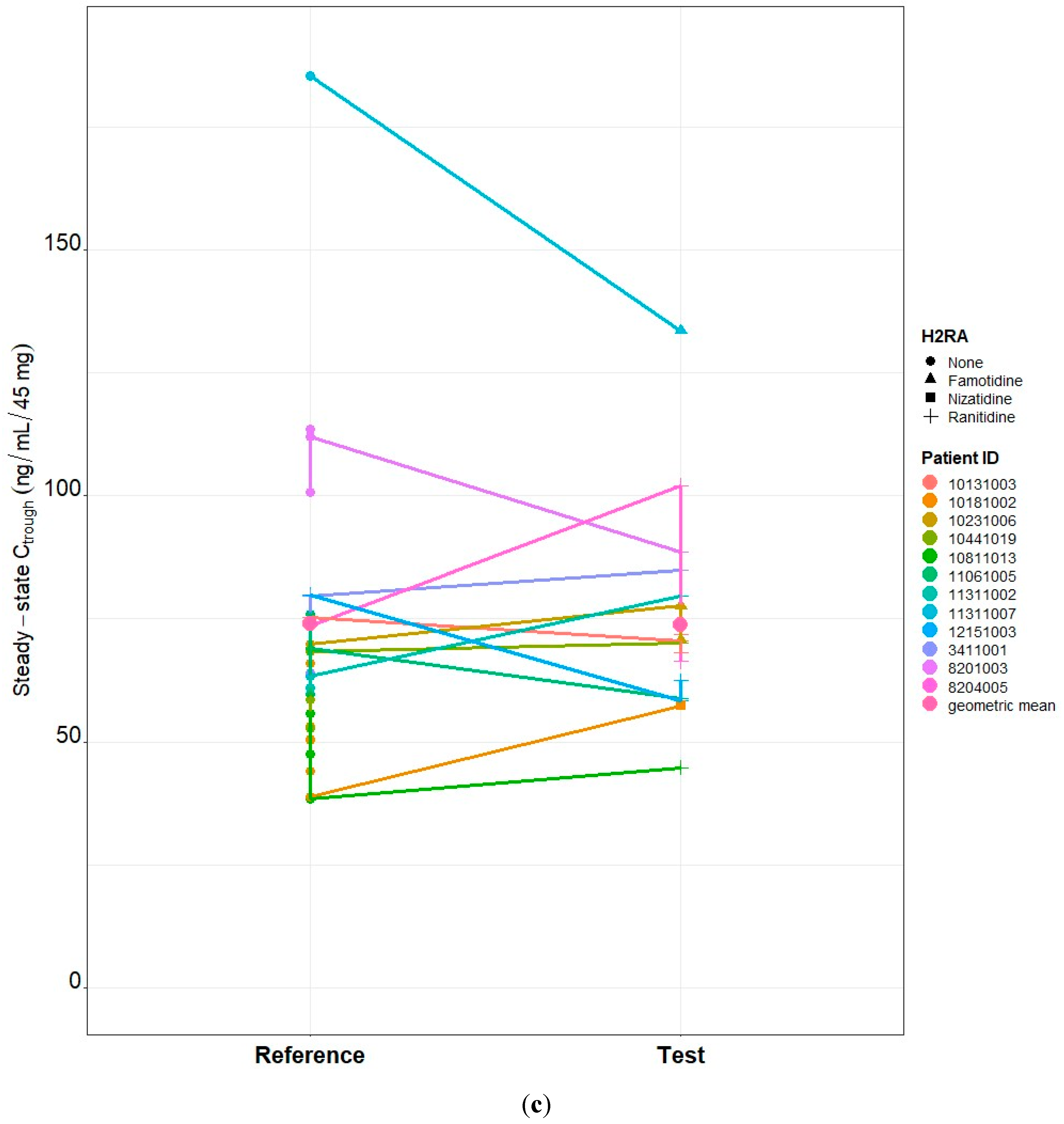
3.1. Analysis of Clinical PK of Dacomitinib with and without H2RA Co-Administration
3.2. PBPK Modeling and Sensitivity Analysis of Dacomitinib PK
4. Discussion
5. Conclusions
Author Contributions
Funding
Data Availability Statement
Acknowledgments
Conflicts of Interest
References
- Shirley, M. Dacomitinib: First Global Approval. Drugs 2018, 78, 1947–1953. [Google Scholar] [CrossRef] [PubMed]
- US Food and Drug Administration (FDA). VIZIMPRO® (Dacomitinib) Prescribing Information. Available online: https://www.accessdata.fda.gov/drugsatfda_docs/label/2018/211288s000lbl.pdf (accessed on 6 November 2023).
- Sullivan, I.; Planchard, D. Next-Generation EGFR Tyrosine Kinase Inhibitors for Treating EGFR-Mutant Lung Cancer beyond First Line. Front. Med. 2016, 3, 76. [Google Scholar] [CrossRef] [PubMed]
- Mok, T.S.; Cheng, Y.; Zhou, X.; Lee, K.H.; Nakagawa, K.; Niho, S.; Chawla, A.; Rosell, R.; Corral, J.; Migliorino, M.R.; et al. Updated Overall Survival in a Randomized Study Comparing Dacomitinib with Gefitinib as First-Line Treatment in Patients with Advanced Non-Small-Cell Lung Cancer and EGFR-Activating Mutations. Drugs 2021, 81, 257–266. [Google Scholar] [CrossRef] [PubMed]
- Wu, Y.L.; Cheng, Y.; Zhou, X.; Lee, K.H.; Nakagawa, K.; Niho, S.; Tsuji, F.; Linke, R.; Rosell, R.; Corral, J.; et al. Dacomitinib versus gefitinib as first-line treatment for patients with EGFR-mutation-positive non-small-cell lung cancer (ARCHER 1050): A randomised, open-label, phase 3 trial. Lancet Oncol. 2017, 18, 1454–1466. [Google Scholar] [CrossRef] [PubMed]
- European Medicines Agency (EMA). VIZIMPRO® (Dacomitinib) Summary of Product characteristics (SmPC). Available online: https://www.ema.europa.eu/en/documents/product-information/vizimpro-epar-product-information_en.pdf (accessed on 6 November 2023).
- Budha, N.R.; Benet, L.Z.; Ware, J.A. Response to “Drug interactions produced by proton pump inhibitors: Not simply a pH effect”. Clin. Pharmacol. Ther. 2013, 93, 151. [Google Scholar] [CrossRef] [PubMed]
- Numico, G.; Fusco, V.; Franco, P.; Roila, F. Proton Pump Inhibitors in cancer patients: How useful they are? A review of the most common indications for their use. Crit. Rev. Oncol. Hematol. 2017, 111, 144–151. [Google Scholar] [CrossRef] [PubMed]
- Ruiz-Garcia, A.; Tan, W.; Li, J.; Haughey, M.; Masters, J.; Hibma, J.; Lin, S. Pharmacokinetic Models to Characterize the Absorption Phase and the Influence of a Proton Pump Inhibitor on the Overall Exposure of Dacomitinib. Pharmaceutics 2020, 12, 330. [Google Scholar] [CrossRef]
- Janne, P.A.; Boss, D.S.; Camidge, D.R.; Britten, C.D.; Engelman, J.A.; Garon, E.B.; Guo, F.; Wong, S.; Liang, J.; Letrent, S.; et al. Phase I dose-escalation study of the pan-HER inhibitor, PF299804, in patients with advanced malignant solid tumors. Clin. Cancer Res. 2011, 17, 1131–1139. [Google Scholar] [CrossRef]
- Ruiz-Garcia, A.; Masters, J.C.; Mendes da Costa, L.; LaBadie, R.R.; Liang, Y.; Ni, G.; Ellery, C.A.; Boutros, T.; Goldberg, Z.; Bello, C.L. Effect of food or proton pump inhibitor treatment on the bioavailability of dacomitinib in healthy volunteers. J. Clin. Pharmacol. 2016, 56, 223–230. [Google Scholar] [CrossRef]
- Study to Evaluate the Safety, Pharmacokinetics, and Pharmacodynamics of PF-00299804 in Patients with Advanced Solid Tumors. Clinicaltrials.Gov Identifier: NCT0022512. Available online: https://clinicaltrials.gov/study/NCT00225121?term=NCT00225121&rank=1 (accessed on 6 November 2023).
- Reckamp, K.L.; Giaccone, G.; Camidge, D.R.; Gadgeel, S.M.; Khuri, F.R.; Engelman, J.A.; Koczywas, M.; Rajan, A.; Campbell, A.K.; Gernhardt, D.; et al. A phase 2 trial of dacomitinib (PF-00299804), an oral, irreversible pan-HER (human epidermal growth factor receptor) inhibitor, in patients with advanced non-small cell lung cancer after failure of prior chemotherapy and erlotinib. Cancer 2014, 120, 1145–1154. [Google Scholar] [CrossRef]
- Park, K.; Cho, B.C.; Kim, D.W.; Ahn, M.J.; Lee, S.Y.; Gernhardt, D.; Taylor, I.; Campbell, A.K.; Zhang, H.; Giri, N.; et al. Safety and efficacy of dacomitinib in korean patients with KRAS wild-type advanced non-small-cell lung cancer refractory to chemotherapy and erlotinib or gefitinib: A phase I/II trial. J. Thorac. Oncol. 2014, 9, 1523–1531. [Google Scholar] [CrossRef] [PubMed][Green Version]
- Takahashi, T.; Boku, N.; Murakami, H.; Naito, T.; Tsuya, A.; Nakamura, Y.; Ono, A.; Machida, N.; Yamazaki, K.; Watanabe, J.; et al. Phase I and pharmacokinetic study of dacomitinib (PF-00299804), an oral irreversible, small molecule inhibitor of human epidermal growth factor receptor-1, -2, and -4 tyrosine kinases, in Japanese patients with advanced solid tumors. Investig. New Drugs 2012, 30, 2352–2363. [Google Scholar] [CrossRef] [PubMed][Green Version]
- Ramalingam, S.S.; O’Byrne, K.; Boyer, M.; Mok, T.; Janne, P.A.; Zhang, H.; Liang, J.; Taylor, I.; Sbar, E.I.; Paz-Ares, L. Dacomitinib versus erlotinib in patients with EGFR-mutated advanced nonsmall-cell lung cancer (NSCLC): Pooled subset analyses from two randomized trials. Ann. Oncol. 2016, 27, 423–429. [Google Scholar] [CrossRef] [PubMed]
- A Study to Test the Impact of PF-00299804 on How the Body Handles Dextromethorphan in Cancer Patients. Clinicaltrials.Gov Identifier: NCT00728468. Available online: https://clinicaltrials.gov/study/NCT00728468?term=NCT00728468&rank=1 (accessed on 6 November 2023).
- Kris, M.G.; Camidge, D.R.; Giaccone, G.; Hida, T.; Li, B.T.; O’Connell, J.; Taylor, I.; Zhang, H.; Arcila, M.E.; Goldberg, Z.; et al. Targeting HER2 aberrations as actionable drivers in lung cancers: Phase II trial of the pan-HER tyrosine kinase inhibitor dacomitinib in patients with HER2-mutant or amplified tumors. Ann. Oncol. 2015, 26, 1421–1427. [Google Scholar] [CrossRef] [PubMed]
- Kim, H.S.; Kwon, H.J.; Jung, I.; Yun, M.R.; Ahn, M.J.; Kang, B.W.; Sun, J.M.; Kim, S.B.; Yoon, D.H.; Park, K.U.; et al. Phase II clinical and exploratory biomarker study of dacomitinib in patients with recurrent and/or metastatic squamous cell carcinoma of head and neck. Clin. Cancer Res. 2015, 21, 544–552. [Google Scholar] [CrossRef]
- Ramalingam, S.S.; Blackhall, F.; Krzakowski, M.; Barrios, C.H.; Park, K.; Bover, I.; Seog Heo, D.; Rosell, R.; Talbot, D.C.; Frank, R.; et al. Randomized phase II study of dacomitinib (PF-00299804), an irreversible pan-human epidermal growth factor receptor inhibitor, versus erlotinib in patients with advanced non-small-cell lung cancer. J. Clin. Oncol. 2012, 30, 3337–3344. [Google Scholar] [CrossRef]
- Lacouture, M.E.; Keefe, D.M.; Sonis, S.; Jatoi, A.; Gernhardt, D.; Wang, T.; Doherty, J.P.; Giri, N.; Nadanaciva, S.; O’Connell, J.; et al. A phase II study (ARCHER 1042) to evaluate prophylactic treatment of dacomitinib-induced dermatologic and gastrointestinal adverse events in advanced non-small-cell lung cancer. Ann. Oncol. 2016, 27, 1712–1718. [Google Scholar] [CrossRef]
- Cheng, Y.; Mok, T.S.; Zhou, X.; Lu, S.; Zhou, Q.; Zhou, J.; Du, Y.; Yu, P.; Liu, X.; Hu, C.; et al. Safety and efficacy of first-line dacomitinib in Asian patients with EGFR mutation-positive non-small cell lung cancer: Results from a randomized, open-label, phase 3 trial (ARCHER 1050). Lung Cancer 2021, 154, 176–185. [Google Scholar] [CrossRef]
- Bello, C.L.; Smith, E.; Ruiz-Garcia, A.; Ni, G.; Alvey, C.; Loi, C.M. A phase I, open-label, mass balance study of [(14)C] dacomitinib (PF-00299804) in healthy male volunteers. Cancer Chemother. Pharmacol. 2013, 72, 379–385. [Google Scholar] [CrossRef]
- Piscitelli, J.; Chen, J.; LaBadie, R.R.; Salageanu, J.; Chung, C.H.; Tan, W. The Effect of Hepatic Impairment on the Pharmacokinetics of Dacomitinib. Clin. Drug Investig. 2022, 42, 221–235. [Google Scholar] [CrossRef]
- A Study to Assess Absorption of Study Drug Dacomitinib (PF-00299804), Given as an Oral Tablet Compared to an Intravenous Infusion in Healthy Volunteers. Clinicaltrials.Gov Identifier: NCT01796327. Available online: https://clinicaltrials.gov/study/NCT01796327?term=NCT01796327&rank=1 (accessed on 6 November 2023).
- US Food and Drug Administration (FDA). VIZIMPRO® (Dacomitinib) Review. Available online: https://www.accessdata.fda.gov/drugsatfda_docs/nda/2018/211288Orig1s000ChemR.pdf (accessed on 6 November 2023).
- Dong, Z.; Li, J.; Wu, F.; Zhao, P.; Lee, S.C.; Zhang, L.; Seo, P.; Zhang, L. Application of Physiologically-Based Pharmacokinetic Modeling to Predict Gastric pH-Dependent Drug-Drug Interactions for Weak Base Drugs. CPT Pharmacomet. Syst. Pharmacol. 2020, 9, 456–465. [Google Scholar] [CrossRef]
- Smelick, G.S.; Heffron, T.P.; Chu, L.; Dean, B.; West, D.A.; Duvall, S.L.; Lum, B.L.; Budha, N.; Holden, S.N.; Benet, L.Z.; et al. Prevalence of acid-reducing agents (ARA) in cancer populations and ARA drug-drug interaction potential for molecular targeted agents in clinical development. Mol. Pharm. 2013, 10, 4055–4062. [Google Scholar] [CrossRef] [PubMed]
- DeVault, K.R.; Castell, D.O. Guidelines for the diagnosis and treatment of gastroesophageal reflux disease. Practice Parameters Committee of the American College of Gastroenterology. Arch. Intern. Med. 1995, 155, 2165–2173. [Google Scholar] [CrossRef]
- US Food and Drug Administration (FDA) Guidance “Evaluation of Gastric pH-Dependent Drug Interactions with Acid-Reducing Agents: Study Design, Data Analysis, and Clinical Implications”. Available online: https://www.fda.gov/regulatory-information/search-fda-guidance-documents/evaluation-gastric-ph-dependent-drug-interactions-acid-reducing-agents-study-design-data-analysis (accessed on 6 November 2023).
- Wagner, C.; Pan, Y.; Hsu, V.; Grillo, J.A.; Zhang, L.; Reynolds, K.S.; Sinha, V.; Zhao, P. Predicting the effect of cytochrome P450 inhibitors on substrate drugs: Analysis of physiologically based pharmacokinetic modeling submissions to the US Food and Drug Administration. Clin. Pharmacokinet. 2015, 54, 117–127. [Google Scholar] [CrossRef] [PubMed]
- Wagner, C.; Pan, Y.; Hsu, V.; Sinha, V.; Zhao, P. Predicting the Effect of CYP3A Inducers on the Pharmacokinetics of Substrate Drugs Using Physiologically Based Pharmacokinetic (PBPK) Modeling: An Analysis of PBPK Submissions to the US FDA. Clin. Pharmacokinet. 2016, 55, 475–483. [Google Scholar] [CrossRef] [PubMed]
- Dodd, S.; Kollipara, S.; Sanchez-Felix, M.; Kim, H.; Meng, Q.; Beato, S.; Heimbach, T. Prediction of ARA/PPI Drug-Drug Interactions at the Drug Discovery and Development Interface. J. Pharm. Sci. 2019, 108, 87–101. [Google Scholar] [CrossRef] [PubMed]
- Mitra, A.; Kesisoglou, F.; Beauchamp, M.; Zhu, W.; Chiti, F.; Wu, Y. Using absorption simulation and gastric pH modulated dog model for formulation development to overcome achlorhydria effect. Mol. Pharm. 2011, 8, 2216–2223. [Google Scholar] [CrossRef]
- Parrott, N.J.; Yu, L.J.; Takano, R.; Nakamura, M.; Morcos, P.N. Physiologically Based Absorption Modeling to Explore the Impact of Food and Gastric pH Changes on the Pharmacokinetics of Alectinib. AAPS J. 2016, 18, 1464–1474. [Google Scholar] [CrossRef]
- Walt, R.P.; Gomes, M.D.; Wood, E.C.; Logan, L.H.; Pounder, R.E. Effect of daily oral omeprazole on 24 hour intragastric acidity. Br. Med. J. 1983, 287, 12–14. [Google Scholar] [CrossRef]
- Tolman, K.G.; Sanders, S.W.; Buchi, K.N.; Karol, M.D.; Jennings, D.E.; Ringham, G.L. The effects of oral doses of lansoprazole and omeprazole on gastric pH. J. Clin. Gastroenterol. 1997, 24, 65–70. [Google Scholar] [CrossRef]
- Wolfe, M.M.; Soll, A.H. The physiology of gastric acid secretion. N. Engl. J. Med. 1988, 319, 1707–1715. [Google Scholar] [CrossRef] [PubMed]
- Sachs, G.; Shin, J.M.; Hunt, R. Novel approaches to inhibition of gastric acid secretion. Curr. Gastroenterol. Rep. 2010, 12, 437–447. [Google Scholar] [CrossRef]
- US Food and Drug Administration (FDA). Bosulif® (Bosutinib) Prescribing Informatio. Available online: https://www.accessdata.fda.gov/drugsatfda_docs/label/2020/203341s018lbl.pdf (accessed on 6 November 2023).
- US Food and Drug Administration (FDA). Sprycel® (Dasatinib) Prescribing Information. Available online: https://www.accessdata.fda.gov/drugsatfda_docs/label/2021/021986s025lbl.pdf (accessed on 6 November 2023).
- US Food and Drug Administration (FDA). Tarceva® (Erlotinib) Prescribing Information. Available online: https://www.accessdata.fda.gov/drugsatfda_docs/label/2010/021743s14s16lbl.pdf (accessed on 6 November 2023).
- US Food and Drug Administration (FDA). IBRANCE® (Palbociclib) Prescribing Information. Available online: https://www.accessdata.fda.gov/drugsatfda_docs/label/2017/207103s004lbl.pdf (accessed on 6 November 2023).
- DeVault, K.R.; Castell, D.O.; Practice Parameters Committee of the American College of Gastroenterology. Updated guidelines for the diagnosis and treatment of gastroesophageal reflux disease. Am. J. Gastroenterol. 2005, 100, 190–200. [Google Scholar] [CrossRef] [PubMed]
- Li, J.; Nickens, D.; Wilner, K.; Tan, W. Evaluation of the Effect of Proton Pump Inhibitors on the Efficacy of Dacomitinib and Gefitinib in Patients with Advanced Non-Small Cell Lung Cancer and EGFR-Activating Mutations. Oncol. Ther. 2021, 9, 525–539. [Google Scholar] [CrossRef]
- Rosell, R.; Carcereny, E.; Gervais, R.; Vergnenegre, A.; Massuti, B.; Felip, E.; Palmero, R.; Garcia-Gomez, R.; Pallares, C.; Sanchez, J.M.; et al. Erlotinib versus standard chemotherapy as first-line treatment for European patients with advanced EGFR mutation-positive non-small-cell lung cancer (EURTAC): A multicentre, open-label, randomised phase 3 trial. Lancet Oncol. 2012, 13, 239–246. [Google Scholar] [CrossRef]
- Hilton, J.F.; Tu, D.; Seymour, L.; Shepherd, F.A.; Bradbury, P.A. An evaluation of the possible interaction of gastric acid suppressing medication and the EGFR tyrosine kinase inhibitor erlotinib. Lung Cancer 2013, 82, 136–142. [Google Scholar] [CrossRef] [PubMed]
- Van De Sijpe, G.; Beuselinck, B.; Van Nieuwenhuyse, T.; Poncelet, R.; Bechter, O.; Albersen, M.; Roussel, E.; Baldewijns, M.; Tack, J.; Spriet, I. Impact of concomitant acid suppressive therapy on pazopanib efficacy and dose reductions in patients with metastatic renal cell carcinoma. Eur. J. Clin. Pharmacol. 2020, 76, 1273–1280. [Google Scholar] [CrossRef] [PubMed]
- McAlister, R.K.; Aston, J.; Pollack, M.; Du, L.; Koyama, T.; Chism, D.D. Effect of Concomitant pH-Elevating Medications with Pazopanib on Progression-Free Survival and Overall Survival in Patients with Metastatic Renal Cell Carcinoma. Oncologist 2018, 23, 686–692. [Google Scholar] [CrossRef]
- Mir, O.; Touati, N.; Lia, M.; Litiere, S.; Le Cesne, A.; Sleijfer, S.; Blay, J.Y.; Leahy, M.; Young, R.; Mathijssen, R.H.J.; et al. Impact of Concomitant Administration of Gastric Acid-Suppressive Agents and Pazopanib on Outcomes in Soft-Tissue Sarcoma Patients Treated within the EORTC 62043/62072 Trials. Clin. Cancer Res. 2019, 25, 1479–1485. [Google Scholar] [CrossRef]
- Cristofoletti, R.; Patel, N.; Dressman, J.B. Assessment of Bioequivalence of Weak Base Formulations Under Various Dosing Conditions Using Physiologically Based Pharmacokinetic Simulations in Virtual Populations. Case Examples: Ketoconazole and Posaconazole. J. Pharm. Sci. 2017, 106, 560–569. [Google Scholar] [CrossRef]
- Bruley des Varannes, S.; Levy, P.; Lartigue, S.; Dellatolas, F.; Lemaire, M.; Galmiche, J.P. Comparison of lansoprazole with omeprazole on 24-hour intragastric pH, acid secretion and serum gastrin in healthy volunteers. Aliment. Pharmacol. Ther. 1994, 8, 309–314. [Google Scholar] [CrossRef] [PubMed]
- Rasmussen, L.; Oster-Jorgensen, E.; Qvist, N.; Pedersen, S.A. The effects of omeprazole on intragastric pH, intestinal motility, and gastric emptying rate. Scand. J. Gastroenterol. 1999, 34, 671–675. [Google Scholar] [CrossRef] [PubMed]
- Parkman, H.P.; Urbain, J.L.; Knight, L.C.; Brown, K.L.; Trate, D.M.; Miller, M.A.; Maurer, A.H.; Fisher, R.S. Effect of gastric acid suppressants on human gastric motility. Gut 1998, 42, 243–250. [Google Scholar] [CrossRef] [PubMed]







| Study | Study Description | Reference |
|---|---|---|
| 1 | A phase 1, open-label, dose-escalation study to evaluate safety, PKs and PD of 2 dosing schedules of dacomitinib in patients with advanced malignant solid tumors | [12] |
| 2 | A phase 2, open-label, two-arm study to evaluate the efficacy of dacomitinib in patients with advanced NSCLC after failure of at least one prior chemotherapy regimen and failure of prior treatment with erlotinib | [13] |
| 3 | A phase 1/2, open-label, single-arm study to determine the recommended phase 2 dose and evaluate the efficacy of dacomitinib in patients in Korea with Kras wild-type advanced NSCLC, which is refractory to chemotherapy and erlotinib or gefitinib | [14] |
| 4 | A clinical phase 1 study of dacomitinib in patients with advanced malignant solid tumors | [15] |
| 5 | A randomized, double-blind phase 3 efficacy and safety study of dacomitinib vs. erlotinib for the treatment of advanced NSCLC following progression after, or intolerance to, at least one prior chemotherapy | [16] |
| 6 | A phase 1, open-label, single-arm study to evaluate the effect of dacomitinib on the PKs of dextromethorphan in patients with advanced malignant solid tumors | [17] |
| 7 | A phase 2, open-label study of dacomitinib in selected patients with advanced adenocarcinoma of the lung | [18] |
| 8 | Clinical phase 2 multicenter study of dacomitinib in patients with recurrent or metastatic squamous cell carcinoma of the head and neck | [19] |
| 9 | A randomized, phase 2 study of dacomitinib versus erlotinib for the treatment of advanced NSCLC after failure of at least 1 prior chemotherapy regimen | [20] |
| 10 | A phase 2 study of dacomitinib in advanced NSCLC (post-chemotherapy or select first-line patients) to evaluate prophylactic intervention on dermatologic and gastrointestinal adverse events and patient-reported outcomes | [21] |
| 11 | A randomized, open-label, phase 3 efficacy and safety study of dacomitinib versus gefitinib for the first-line treatment of locally advanced or metastatic NSCLC in subjects with EGFR-activating mutation(s) | [22] |
| Parameter | Dacomitinib Value | Source |
|---|---|---|
| Molecular weight (g/mol) | 469.9 | [26] |
| LogP | 5.3 (neutral), 1.8 (cationic) | [26] |
| pKa | 5.03 (base) | [26] |
| Solubility (mg/mL) | 10.0 at pH 1.28 3.7 at pH 4.71 0.34 at pH 5.09 0.23 at pH 5.17 0.16 at pH 5.3 0.006 at pH 6.13 0.001 at pH 6.94 | [26] |
| Effective human permeability (cm/s) | 1.18 × 104 | [26] |
| Permeability source | Caco-2 | [26] |
| Precipitation time (s) | 900 | Default value in GastroPlus™ 9.7 |
| Particle size radius (μm) | 58 | [26] |
| Disposition model parameters | ||
| CL (L/h) | 36.1 | Automatic estimation using PK Plus based on IV data from clinical study [25] |
| Vc (L/kg) | 21.9 | |
| V2 (L/kg) | 19.018 | |
| K12 (1/h) | 0.033 | |
| K21 (1/h) | 0.038 | |
| ASF model (Modified) | ||
| Stomach | 0 | Default value in GastroPlus™ 9.7 |
| Duodenum | 0.020 | Optimized value (initial value from default value in G+: 2.695) |
| Jejunum | 0.081 | Optimized value (initial value from default value in G+: 2.646) |
| Jejunum | 0.152 | Optimized value (initial value from default value in G+: 2.649) |
| Ileum | 0.029 | Optimized value (initial value from default value in G+: 2.603) |
| Ileum | 10.00 | Optimized value (initial value from default value in G+: 2.582) |
| Ileum | 40.00 | Optimized value (initial value from default value in G+: 2.512) |
| Caecum | 120.00 | Optimized value (initial value from default value in G+: 11.49) |
| Asc Colon | 20.00 | Optimized value (initial value from default value in G+: 25.14) |
| Study ID | Study Number | Total | ||||||||||
|---|---|---|---|---|---|---|---|---|---|---|---|---|
| 1 | 2 | 3 | 4 | 5 | 6 | 7 | 8 | 9 | 10 | 11 | ||
| Patients treated with dacomitinib | 121 | 66 | 55 | 13 | 436 | 15 | 119 | 69 | 93 | 236 | 227 | 1450 |
| Patients with at least one dacomitinib Ctrough,ss | 20 | 50 | 48 | 11 | 311 | 6 | 110 | 57 | 60 | 125 | 203 | 1001 |
| H2RA use population | 1 | 3 | 5 | 0 | 40 | 0 | 4 | 4 | 2 | 13 | 14 | 86 |
| H2RA–Dacomitinib Ctrough,ss analysis population | 0 | 0 | 3 | 0 | 6 | 0 | 1 | 0 | 0 | 3 | 3 | 16 |
| H2RA–metabolite and active moiety Ctrough,ss analysis population | 0 | 0 | 0 | 0 | 6 | 0 | 0 | 0 | 0 | 3 | 3 | 12 |
| Parameter | Geometric Mean (ng/mL) (Geometric CV%) | Geometric Mean Ratio (%) (90% CI) | |
|---|---|---|---|
| Reference | Test | ||
| Dacomitinib Ctrough,ss | 57.56 (8.4) | 53.2 (18.7) | 85.88 (72.9, 101.11) |
| Metabolite Ctrough,ss | 6.41 (47.8) | 8.81 (41.6) | 103.82 (89.9–119.8) |
| Active drug moiety Ctrough,ss | 66.45 (7.7) | 72.23 (5.7) | 99.77 (90.9–109.5) |
| CI: confidence interval | |||
| Cmax (ng/mL) | AUCinf (ng·h/mL) | Ratio of Cmax | Ratio of AUCinf | |||
|---|---|---|---|---|---|---|
| Predicted | Observed | Predicted | Observed | |||
| Fasted state | 18.526 | 18.41 | 1175.2 | 1171 | 1.01 | 1.00 |
| Fed state | 20.317 | 21.35 | 1246.3 | 1163 | 0.952 | 1.07 |
| Co-administration with PPI | 8.576 | 9.125 | 613.23 | 715.96 | 0.940 | 0.857 |
Disclaimer/Publisher’s Note: The statements, opinions and data contained in all publications are solely those of the individual author(s) and contributor(s) and not of MDPI and/or the editor(s). MDPI and/or the editor(s) disclaim responsibility for any injury to people or property resulting from any ideas, methods, instructions or products referred to in the content. |
© 2024 by the authors. Licensee MDPI, Basel, Switzerland. This article is an open access article distributed under the terms and conditions of the Creative Commons Attribution (CC BY) license (https://creativecommons.org/licenses/by/4.0/).
Share and Cite
Liu, J.; Lin, S.; Huynh, A.; Tan, W. Effects of H2-Receptor Antagonists on the Exposure of Dacomitinib. Pharmaceutics 2024, 16, 118. https://doi.org/10.3390/pharmaceutics16010118
Liu J, Lin S, Huynh A, Tan W. Effects of H2-Receptor Antagonists on the Exposure of Dacomitinib. Pharmaceutics. 2024; 16(1):118. https://doi.org/10.3390/pharmaceutics16010118
Chicago/Turabian StyleLiu, Jian, Swan Lin, Anthony Huynh, and Weiwei Tan. 2024. "Effects of H2-Receptor Antagonists on the Exposure of Dacomitinib" Pharmaceutics 16, no. 1: 118. https://doi.org/10.3390/pharmaceutics16010118
APA StyleLiu, J., Lin, S., Huynh, A., & Tan, W. (2024). Effects of H2-Receptor Antagonists on the Exposure of Dacomitinib. Pharmaceutics, 16(1), 118. https://doi.org/10.3390/pharmaceutics16010118

