Delicate Hybrid Laponite–Cyclic Poly(ethylene glycol) Nanoparticles as a Potential Drug Delivery System
Abstract
1. Introduction
2. Materials and Methods
2.1. Materials
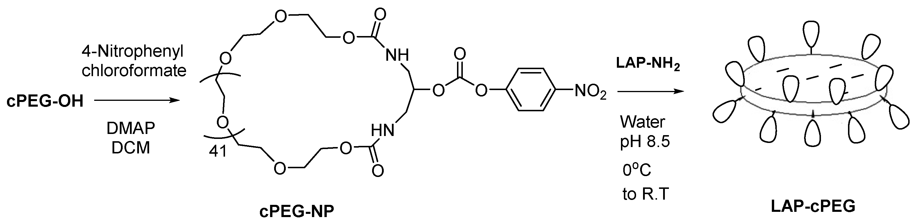
2.2. Synthesis of LAP-cPEG Nanoparticles
2.2.1. Procedure for Activation of PEG, mPEG, and cPEG
2.2.2. Cyclization of PEG-NP to Form cPEG-OH
2.2.3. Modification of LAP to Form LAP-NH2
2.2.4. PEGylation of LAP with mPEG or cPEG to Form LAP-mPEG or LAP-cPEG
2.3. LAP-PEG/DOX Formulation
2.4. In Vitro DOX Release Kinetics from LAP-cPEG/DOX Formulation
2.5. Antitumor Efficacy of LAP-cPEG/DOX Formulation
2.5.1. XTT Assay
2.5.2. Flow Cytometric Assay
3. Results and Discussion
3.1. Synthesis of Functional Cyclic PEG
3.2. PEGylation of Laponite with cPEG and mPEG
3.3. Microstructure of PEG-cPEG Particle System
3.4. Dynamic Light Scattering (DLS) Characterization of PEG-cPEG Nanoparticles
3.5. Primary Studies of LAP−cPEG/DOX Formulation
3.5.1. LAP−cPEG/DOX Formulation
3.5.2. In Vitro Release Studies
3.5.3. Efficacy of LAP-cPEG/DOX Formulation on A549 Cell Growth Inhibition
3.5.4. Increased Drug Efficacy in LAP-cPEG/DOX in Comparison with LAP-mPEG/DOX
3.5.5. Increased Drug Efficacy in LAP-cPEG/DOX in Primary Lung Epithelial Cells
4. Conclusions
Supplementary Materials
Author Contributions
Funding
Institutional Review Board Statement
Informed Consent Statement
Data Availability Statement
Acknowledgments
Conflicts of Interest
References
- Liu, G.; Yang, L.; Chen, G.; Xu, F.; Yang, F.; Yu, H.; Li, L.; Dong, X.; Han, J.; Cao, C.; et al. A Review on Drug Delivery System for Tumor Therapy. Front. Pharmacol. 2021, 12, 735446. [Google Scholar] [CrossRef]
- Mitchell, M.J.; Billingsley, M.M.; Haley, R.M.; Wechsler, M.E.; Peppas, N.A.; Langer, R. Engineering precision nanoparticles for drug delivery. Nat. Rev. Drug Discov. 2021, 20, 101–124. [Google Scholar] [CrossRef] [PubMed]
- Mansour, A.; Romani, M.; Acharya, A.B.; Rahman, B.; Verron, E.; Badran, Z. Drug Delivery Systems in Regenerative Medicine: An Updated Review. Pharmaceutics 2023, 15, 695. [Google Scholar] [CrossRef] [PubMed]
- Ananikov, V.P. Organic–Inorganic Hybrid Nanomaterials. Nanomaterials 2019, 9, 1197. [Google Scholar] [CrossRef]
- Wang, S.; Wu, Y.; Guo, R.; Huang, Y.; Wen, S.; Shen, M.; Wang, J.; Shi, X. Laponite Nanodisks as an Efficient Platform for Doxorubicin Delivery to Cancer Cells. Langmuir 2013, 29, 5030–5036. [Google Scholar] [CrossRef]
- Das, S.S.; Neelam; Hussain, K.; Singh, S.; Hussain, A.; Faruk, A.; Tebyetekerwa, M. Laponite-based Nanomaterials for Biomedical Applications: A Review. Curr. Pharm. Des. 2019, 25, 424–443. [Google Scholar] [CrossRef]
- Kiaee, K.; Dimitrakakis, N.; Sharifzadeh, S.; Kim, H.J.; Avery, R.K.; Moghaddam, K.M.; Haghniaz, R.; Yalcintas, E.P.; Barros, N.R.; Karamikamkar, S.; et al. Laponite-Based Nanomaterials for Drug Delivery. Adv. Healthc. Mater. 2022, 11, 2102054. [Google Scholar] [CrossRef]
- BYK Additives & Instruments. Laponite: Performance Additives; Technical Information B-RI 21; BYK Additives & Instruments: Wesel, Germany, 2014. [Google Scholar]
- Tawari, S.L.; Koch, D.L.; Cohen, C. Electrical Double-Layer Effects on the Brownian Diffusivity and Aggregation Rate of Laponite Clay Particles. J. Colloid Interface Sci. 2001, 240, 54–66. [Google Scholar] [CrossRef] [PubMed]
- Tomas, H.; Alves, C.S.; Rodrigues, J. Laponite®: A key nanoplatform for biomedical applications? Nanomed. Nanotechnol. Biol. Med. 2018, 14, 2407–2420. [Google Scholar] [CrossRef]
- Chen, W.; Zuo, H.; Mahony, T.J.; Zhang, B.; Rolfe, B.; Xu, Z.P. Efficient induction of comprehensive immune responses to control pathogenic E. coli by clay nano-adjuvant with the moderate size and surface charge. Sci. Rep. 2017, 7, 13367. [Google Scholar] [CrossRef]
- Kalwar, K.; Zhang, X.; Bhutto, M.A.; Dali, L.; Shan, D. Incorporation of ciprofloxacin/laponite in polycaprolactone electrospun nanofibers: Drug release and antibacterial studies. Mater. Res. Express 2017, 4, 125401. [Google Scholar] [CrossRef]
- Wheeler, P.A.; Wang, J.; Baker, J.; Mathias, L.J. Synthesis and Characterization of Covalently Functionalized Laponite Clay. Chem. Mater. 2005, 17, 3012–3018. [Google Scholar] [CrossRef]
- Mustafa, R.; Luo, Y.; Wu, Y.; Guo, R.; Shi, X. Dendrimer-Functionalized Laponite Nanodisks as a Platform for Anticancer Drug Delivery. Nanomaterials 2015, 5, 1716–1731. [Google Scholar] [CrossRef]
- Ling, K.; Jiang, H.; Zhang, Q. A colorimetric method for the molecular weight determination of polyethylene glycol using gold nanoparticles. Nanoscale Res. Lett. 2013, 8, 538. [Google Scholar] [CrossRef] [PubMed]
- Bippus, L.; Jaber, M.; Lebeau, B. Laponite and hybrid surfactant/laponite particles processed as spheres by spray-drying. New J. Chem. 2009, 33, 1116–1126. [Google Scholar] [CrossRef]
- Gaharwar, A.K.; Rivera, C.P.; Wu, C.-J.; Schmidt, G. Transparent, elastomeric and tough hydrogels from poly(ethylene glycol) and silicate nanoparticles. Acta Biomater. 2011, 7, 4139–4148. [Google Scholar] [CrossRef]
- Kricheldorf, H.R.; Schwarz, G. Cyclic polymers by kinetically controlled step-growth polymerization. Macromol. Rapid Commun. 2003, 24, 359–381. [Google Scholar] [CrossRef]
- Yamamoto, T.; Tezuka, Y. Cyclic polymers revealing topology effects upon self-assemblies, dynamics and responses. Soft Matter 2015, 11, 7458. [Google Scholar] [CrossRef] [PubMed]
- Wang, Y.; Quinsaat, J.E.Q.; Ono, T.; Maeki, M.; Tokeshi, M.; Isono, T.; Tajima, K.; Satoh, T.; Sato, T.; Miura, Y.; et al. Enhanced dispersion stability of gold nanoparticles by the physisorption of cyclic poly(ethylene glycol). Nat. Commun. 2020, 11, 6089. [Google Scholar] [CrossRef]
- Veronese, F.M.; Largajolli, R.; Boccu, E.; Benassi, C.A.; Schiavon, O. Surface modification of proteins. Activation of monomethoxypolyethylene glycols by phenylchloroformates and modification of ribonuclease and superoxide dismutase. Appl. Biochem. Biotechnol. 1985, 11, 141–152. [Google Scholar] [CrossRef]
- Kito, M.; Miron, T.; Wilchek, M.; Kojima, N.; Ohishi, N.; Yagi, K. A Simple and Efficient Method for Preparation of Monomethoxypolyethylene Glycol Activated with p-Nitrophenylchloroformate and Its Application to Modification of L-Asparaginase. J. Clin. Biochem. Nutr. 1996, 21, 101–111. [Google Scholar] [CrossRef]
- Sun, T.; Yu, G.-E.; Price, C.; Booth, C. Cyclic polyethers. Polym. Commun. 1995, 36, 3775–3778. [Google Scholar] [CrossRef]
- Zhang, B.; Zhang, H.; Li, Y.; Hoskins, J.N.; Grayson, S.M. Exploring the Effect of Amphiphilic Polymer Architecture: Synthesis, Characterization, and Self-Assembly of Both Cyclic and Linear Poly(ethylene gylcol) b polycaprolactone. ACS Macro Lett. 2013, 2, 845–848. [Google Scholar] [CrossRef] [PubMed]
- Tao, Y.; Zhao, H. Synthesis and self-assembly of amphiphilic tadpole-shaped block copolymer with disulfides at the junction points between cyclic PEG and linear PS. Polymer 2017, 122, 52–59. [Google Scholar] [CrossRef]
- Stoychev, D. On the role of poly(ethylen glycol) in deposition of galvanic copper coatings. Trans. IMF 1998, 76, 73–80. [Google Scholar] [CrossRef]
- Mroczka, R.; Słodkowska, A. The properties of the polyethylene glycol complex PEG(Na+)(Cu+) on the copper electrodeposited layer by Time-of-Flight Secondary-Ion Mass Spectrometry. The new insights. Electrochim. Acta 2020, 339, 135931. [Google Scholar] [CrossRef]
- Yamada, Y. Dimerization of Doxorubicin Causes Its Precipitation. ACS Omega 2020, 5, 33235–33241. [Google Scholar] [CrossRef] [PubMed]
- Laubrock, N.; Hempel, G.; Schulze-Westhoff, P.; Würthwein, G.; Flege, S.; Boos, J. The Stability of Doxorubicin and Idarubicin in Plasma and Whole Blood. Chromatographia 2000, 52, 9–13. [Google Scholar] [CrossRef]
- Matsumura, Y.; Maeda, H. A new concept for macromolecular therapeutics in cancer chemotherapy: Mechanism of tumoritropic accumulation of proteins and the antitumor agent smancs. Cancer Res. 1986, 46, 6387–6392. [Google Scholar]
- Maeda, H.; Tsukigawa, K.; Fang, J. A retrospective 30 years after discovery of the enhanced permeability and retention effect of solid tumors: Nextgeneration chemotherapeutics and photodynamic therapy—Problems, solutions, and prospects. Microcirculation 2016, 23, 173–182. [Google Scholar] [CrossRef]














| Nanoparticles | Hydrodynamic Size (nm) | Zeta Potential (mV) | Polydispersity (PDI) |
|---|---|---|---|
| LAP | 284 ± 6 | −37.5 ± 0.7 | 0.32 |
| LAP-NH2 | 360 ± 19 | −18.8 ± 1.2 | 0.52 |
| LAP-mPEG | 2653 ± 42 | −30.7 ± 5.5 | 0.85 |
| LAP-cPEG | 4661 ± 32 | −27.2 ± 3.2 | 0.41 |
Disclaimer/Publisher’s Note: The statements, opinions and data contained in all publications are solely those of the individual author(s) and contributor(s) and not of MDPI and/or the editor(s). MDPI and/or the editor(s) disclaim responsibility for any injury to people or property resulting from any ideas, methods, instructions or products referred to in the content. |
© 2023 by the authors. Licensee MDPI, Basel, Switzerland. This article is an open access article distributed under the terms and conditions of the Creative Commons Attribution (CC BY) license (https://creativecommons.org/licenses/by/4.0/).
Share and Cite
Tang, S.; Chen, J.; Cannon, J.; Chekuri, M.; Farazuddin, M.; Baker, J.R., Jr.; Wang, S.H. Delicate Hybrid Laponite–Cyclic Poly(ethylene glycol) Nanoparticles as a Potential Drug Delivery System. Pharmaceutics 2023, 15, 1998. https://doi.org/10.3390/pharmaceutics15071998
Tang S, Chen J, Cannon J, Chekuri M, Farazuddin M, Baker JR Jr., Wang SH. Delicate Hybrid Laponite–Cyclic Poly(ethylene glycol) Nanoparticles as a Potential Drug Delivery System. Pharmaceutics. 2023; 15(7):1998. https://doi.org/10.3390/pharmaceutics15071998
Chicago/Turabian StyleTang, Shengzhuang, Jesse Chen, Jayme Cannon, Mona Chekuri, Mohammad Farazuddin, James R. Baker, Jr., and Su He Wang. 2023. "Delicate Hybrid Laponite–Cyclic Poly(ethylene glycol) Nanoparticles as a Potential Drug Delivery System" Pharmaceutics 15, no. 7: 1998. https://doi.org/10.3390/pharmaceutics15071998
APA StyleTang, S., Chen, J., Cannon, J., Chekuri, M., Farazuddin, M., Baker, J. R., Jr., & Wang, S. H. (2023). Delicate Hybrid Laponite–Cyclic Poly(ethylene glycol) Nanoparticles as a Potential Drug Delivery System. Pharmaceutics, 15(7), 1998. https://doi.org/10.3390/pharmaceutics15071998

