Cannabidiol-Loaded Nanoparticles Based on Crosslinked Starch: Anti-Inflammatory Activity and Improved Nose-to-Brain Delivery
Abstract
1. Introduction
2. Materials and Methods
2.1. Materials
2.2. Preparation of Starch Nanoparticles
2.3. Determination of CBD Content in SNPs
2.4. Transmission Electron Microscopy (TEM)
2.5. Cell Culture Assays
2.6. Cell Viability Assay
2.7. Cannabidiol Release from SNPs in Culture Medium
2.8. Cellular Uptake of Nanoparticles
2.9. Nitric Oxide (NO) Formation
2.10. IL-6 Determination
2.11. Animals
2.12. Intranasal Administration (IN)
2.13. Statistical Analysis
3. Results and Discussion
3.1. Production and Size Characterization of Nanoparticles
3.2. CBD Penetration to the Brain after Intranasal Administration
3.3. CBD Release from SNPs
3.4. Cellular Uptake of CBD-SNPs
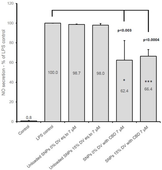
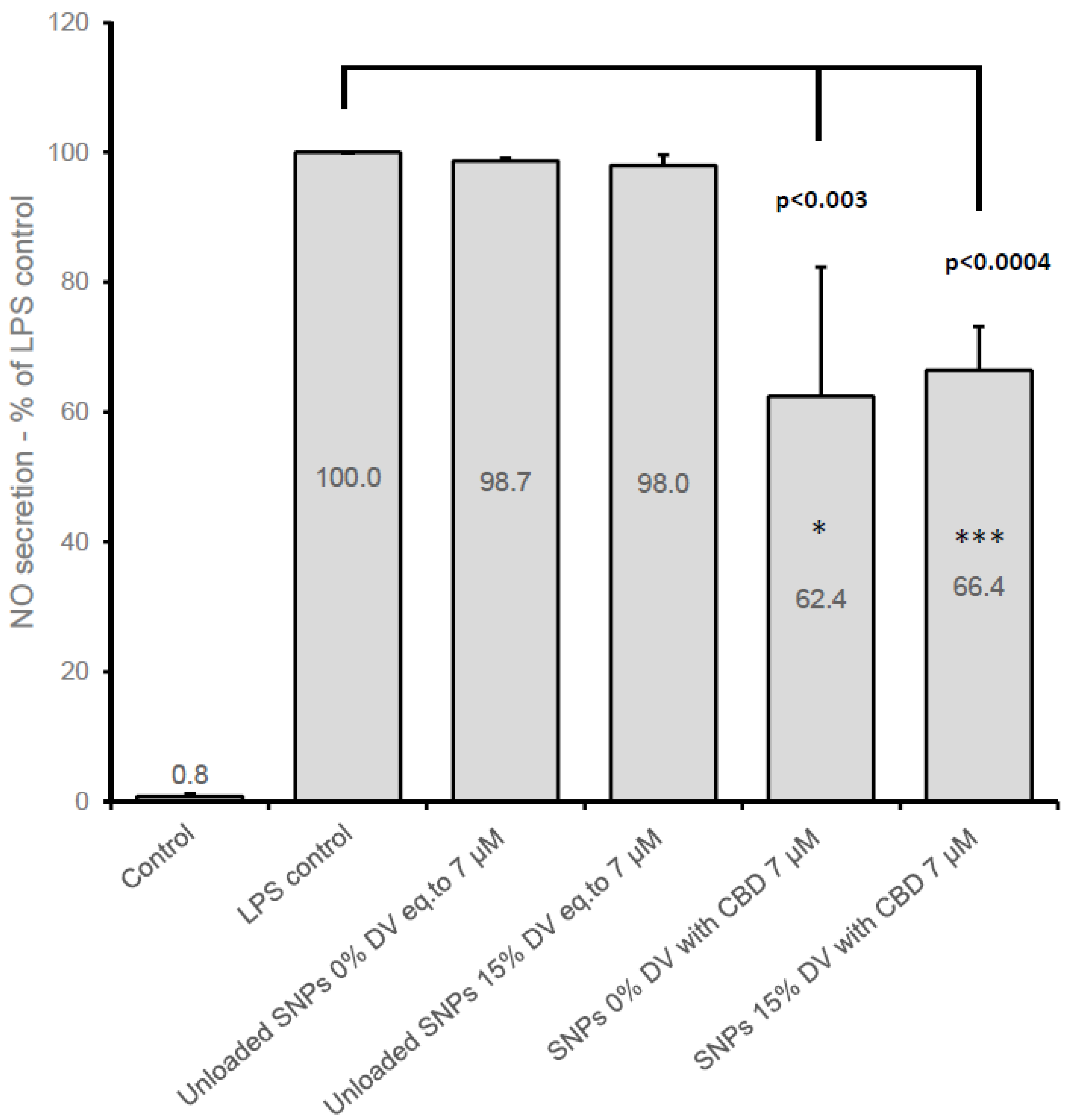
3.5. Effect of CBD-Loaded SNPs Treatment on Cell Viability and Nitric Oxide (NO) Formation in BV2 Cells
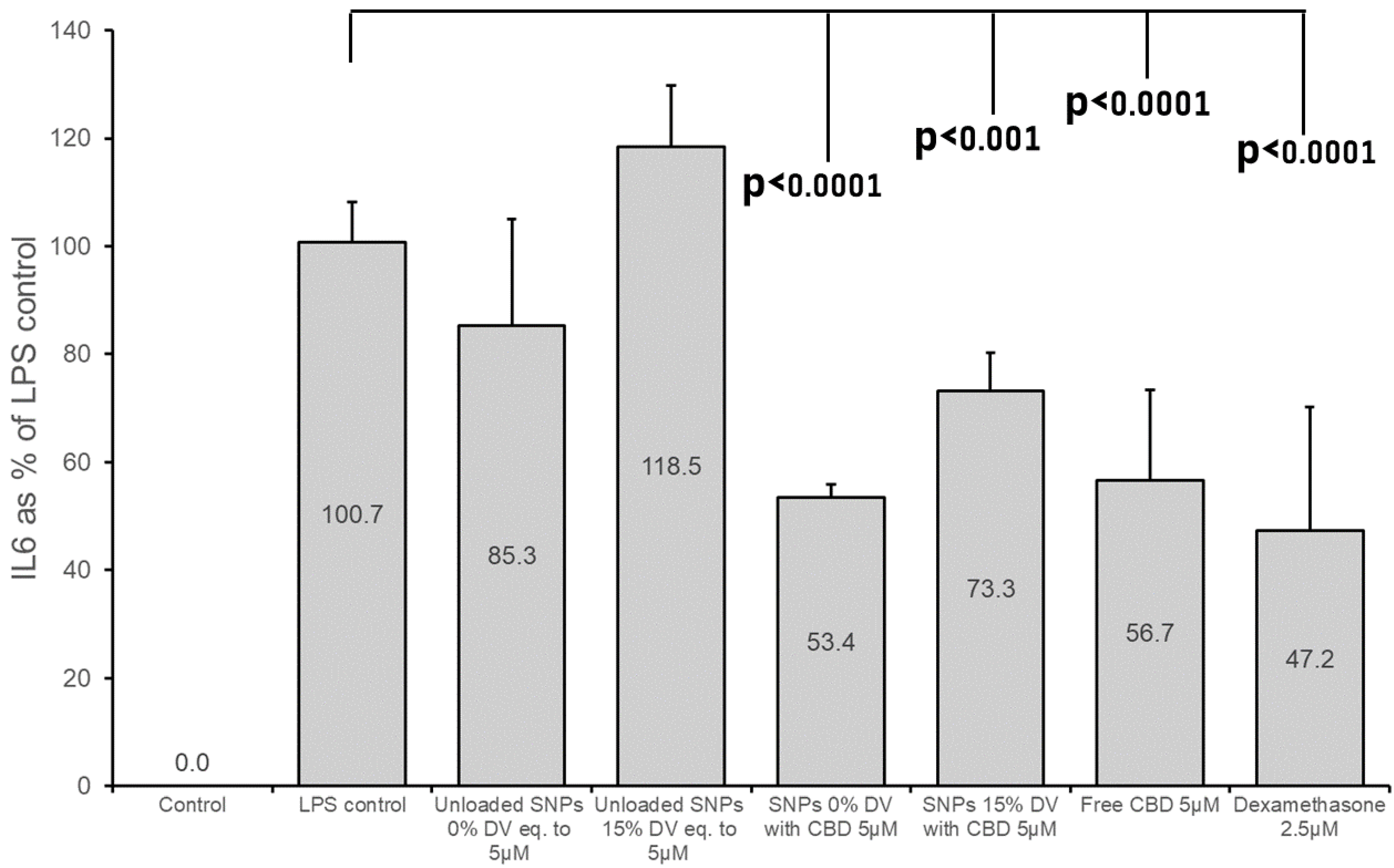
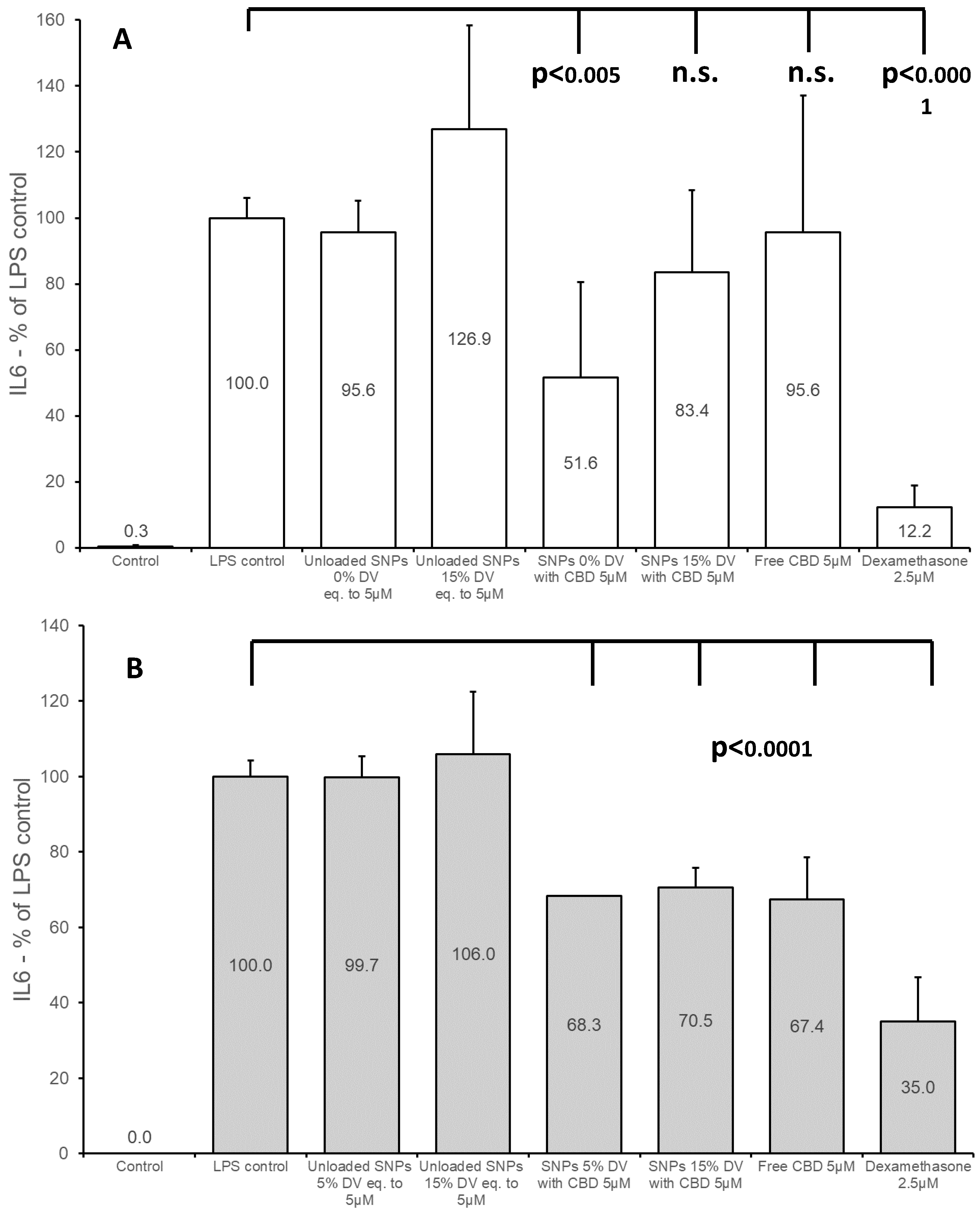
3.6. Effect of Treatment with CBD-Loaded SNPs on IL-6 Levels in BV2 Cells
4. Conclusions
Supplementary Materials
Author Contributions
Funding
Institutional Review Board Statement
Informed Consent Statement
Data Availability Statement
Acknowledgments
Conflicts of Interest
References
- GBD 2016 Neurology Collaborators. Global, Regional, and National Burden of Neurological Disorders, 1990–2016: A Systematic Analysis for the Global Burden of Disease Study 2016. Lancet Neurol. 2019, 18, 459–480. [Google Scholar] [CrossRef] [PubMed]
- Gilhus, N.E.; Deuschl, G. Neuroinflammation—A Common Thread in Neurological Disorders. Nat. Rev. Neurol. 2019, 15, 429–430. [Google Scholar] [CrossRef] [PubMed]
- Azodi, S.; Jacobson, S. Cytokine Therapies in Neurological Disease. Neurother. J. Am. Soc. Exp. Neurother. 2016, 13, 555–561. [Google Scholar] [CrossRef] [PubMed]
- Mansur, R.B.; Delgado-Peraza, F.; Subramaniapillai, M.; Lee, Y.; Iacobucci, M.; Rodrigues, N.; Rosenblat, J.D.; Brietzke, E.; Cosgrove, V.E.; Kramer, N.E.; et al. Extracellular Vesicle Biomarkers Reveal Inhibition of Neuroinflammation by Infliximab in Association with Antidepressant Response in Adults with Bipolar Depression. Cells 2020, 9, E895. [Google Scholar] [CrossRef]
- Cerqueira, S.R.; Ayad, N.G.; Lee, J.K. Neuroinflammation Treatment via Targeted Delivery of Nanoparticles. Front. Cell. Neurosci. 2020, 14, 576037. [Google Scholar] [CrossRef]
- Saijo, K.; Glass, C.K. Microglial Cell Origin and Phenotypes in Health and Disease. Nat. Rev. Immunol. 2011, 11, 775–787. [Google Scholar] [CrossRef]
- Kosović, E.; Sýkora, D.; Kuchař, M. Stability Study of Cannabidiol in the Form of Solid Powder and Sunflower Oil Solution. Pharmaceutics 2021, 13, 412. [Google Scholar] [CrossRef]
- Pisanti, S.; Malfitano, A.M.; Ciaglia, E.; Lamberti, A.; Ranieri, R.; Cuomo, G.; Abate, M.; Faggiana, G.; Proto, M.C.; Fiore, D.; et al. Cannabidiol: State of the Art and New Challenges for Therapeutic Applications. Pharmacol. Ther. 2017, 175, 133–150. [Google Scholar] [CrossRef]
- Kozela, E.; Pietr, M.; Juknat, A.; Rimmerman, N.; Levy, R.; Vogel, Z. Cannabinoids Delta(9)-Tetrahydrocannabinol and Cannabidiol Differentially Inhibit the Lipopolysaccharide-Activated NF-KappaB and Interferon-Beta/STAT Proinflammatory Pathways in BV-2 Microglial Cells. J. Biol. Chem. 2010, 285, 1616–1626. [Google Scholar] [CrossRef]
- Pires, P.C.; Santos, A.O. Nanosystems in Nose-to-Brain Drug Delivery: A Review of Non-Clinical Brain Targeting Studies. J. Control. Release Off. J. Control. Release Soc. 2018, 270, 89–100. [Google Scholar] [CrossRef]
- Battaglia, L.; Panciani, P.P.; Muntoni, E.; Capucchio, M.T.; Biasibetti, E.; De Bonis, P.; Mioletti, S.; Fontanella, M.; Swaminathan, S. Lipid Nanoparticles for Intranasal Administration: Application to Nose-to-Brain Delivery. Expert Opin. Drug Deliv. 2018, 15, 369–378. [Google Scholar] [CrossRef] [PubMed]
- Zhang, F.; Lin, Y.-A.; Kannan, S.; Kannan, R.M. Targeting Specific Cells in the Brain with Nanomedicines for CNS Therapies. J. Control. Release Off. J. Control. Release Soc. 2016, 240, 212–226. [Google Scholar] [CrossRef] [PubMed]
- Hornig, S.; Heinze, T.; Becer, C.R.; Schubert, U.S. Synthetic Polymeric Nanoparticles by Nanoprecipitation. J. Mater. Chem. 2009, 19, 3838. [Google Scholar] [CrossRef]
- Morán, D.; Gutiérrez, G.; Blanco-López, M.C.; Marefati, A.; Rayner, M.; Matos, M. Synthesis of Starch Nanoparticles and Their Applications for Bioactive Compound Encapsulation. Appl. Sci. 2021, 11, 4547. [Google Scholar] [CrossRef]
- Sintov, A.C.; Yariv, D. A New Nanoparticulate System Based on Divanillin-Crosslinked Starch: Mode of Manufacturing and In-Vitro Evaluation of Skin Penetration. Starch-Stärke 2022, 74, 2100172. [Google Scholar] [CrossRef]
- Paudel, K.S.; Hammell, D.C.; Agu, R.U.; Valiveti, S.; Stinchcomb, A.L. Cannabidiol Bioavailability after Nasal and Transdermal Application: Effect of Permeation Enhancers. Drug Dev. Ind. Pharm. 2010, 36, 1088–1097. [Google Scholar] [CrossRef]
- Watt, G.; Karl, T. In Vivo Evidence for Therapeutic Properties of Cannabidiol (CBD) for Alzheimer’s Disease. Front. Pharmacol. 2017, 8, 20. [Google Scholar] [CrossRef]
- Builders, P.F.; Arhewoh, M.I. Pharmaceutical Applications of Native Starch in Conventional Drug Delivery: Pharmaceutical Applications of Native Starch. Starch-Stärke 2016, 68, 864–873. [Google Scholar] [CrossRef]
- Rodrigues, A.; Emeje, M. Recent Applications of Starch Derivatives in Nanodrug Delivery. Carbohydr. Polym. 2012, 87, 987–994. [Google Scholar] [CrossRef]
- Hedayati, S.; Niakousari, M.; Mohsenpour, Z. Production of Tapioca Starch Nanoparticles by Nanoprecipitation-Sonication Treatment. Int. J. Biol. Macromol. 2020, 143, 136–142. [Google Scholar] [CrossRef]
- Saari, H.; Fuentes, C.; Sjöö, M.; Rayner, M.; Wahlgren, M. Production of Starch Nanoparticles by Dissolution and Non-Solvent Precipitation for Use in Food-Grade Pickering Emulsions. Carbohydr. Polym. 2017, 157, 558–566. [Google Scholar] [CrossRef] [PubMed]
- El-Naggar, M.E.; El-Rafie, M.H.; El-sheikh, M.A.; El-Feky, G.S.; Hebeish, A. Synthesis, Characterization, Release Kinetics and Toxicity Profile of Drug-Loaded Starch Nanoparticles. Int. J. Biol. Macromol. 2015, 81, 718–729. [Google Scholar] [CrossRef] [PubMed]
- Lee, E.J.; Khan, S.A.; Park, J.K.; Lim, K.-H. Studies on the Characteristics of Drug-Loaded Gelatin Nanoparticles Prepared by Nanoprecipitation. Bioprocess Biosyst. Eng. 2012, 35, 297–307. [Google Scholar] [CrossRef] [PubMed]
- Podaralla, S.; Perumal, O. Influence of Formulation Factors on the Preparation of Zein Nanoparticles. AAPS PharmSciTech 2012, 13, 919–927. [Google Scholar] [CrossRef]
- Polidoro, D.; Temmerman, R.; Devreese, M.; Charalambous, M.; Ham, L.V.; Cornelis, I.; Broeckx, B.J.G.; Mandigers, P.J.J.; Fischer, A.; Storch, J.; et al. Pharmacokinetics of Cannabidiol Following Intranasal, Intrarectal, and Oral Administration in Healthy Dogs. Front. Vet. Sci. 2022, 9, 899940. [Google Scholar] [CrossRef]
- Zamansky, M.; Zehavi, N.; Ben-Shabat, S.; Sintov, A.C. Characterization of Nanoparticles Made of Ethyl Cellulose and Stabilizing Lipids: Mode of Manufacturing, Size Modulation, and Study of Their Effect on Keratinocytes. Int. J. Pharm. 2021, 607, 121003. [Google Scholar] [CrossRef]
- Atalay, S.; Jarocka-Karpowicz, I.; Skrzydlewska, E. Antioxidative and Anti-Inflammatory Properties of Cannabidiol. Antioxidants 2019, 9, 21. [Google Scholar] [CrossRef]
- Yousaf, M.; Chang, D.; Liu, Y.; Liu, T.; Zhou, X. Neuroprotection of Cannabidiol, Its Synthetic Derivatives and Combination Preparations against Microglia-Mediated Neuroinflammation in Neurological Disorders. Mol. Basel Switz. 2022, 27, 4961. [Google Scholar] [CrossRef]
- ChoiPark, W.-H.-D.; Baek, S.-H.; Chu, J.-P.; Kang, M.-H.; Mi, Y.-J. Cannabidiol Induces Cytotoxicity and Cell Death via Apoptotic Pathway in Cancer Cell Lines. Biomol. Ther. 2008, 16, 87–94. [Google Scholar] [CrossRef]
- Russo, C.; Lavorgna, M.; Nugnes, R.; Orlo, E.; Isidori, M. Comparative Assessment of Antimicrobial, Antiradical and Cytotoxic Activities of Cannabidiol and Its Propyl Analogue Cannabidivarin. Sci. Rep. 2021, 11, 22494. [Google Scholar] [CrossRef]
- Sainz-Cort, A.; Müller-Sánchez, C.; Espel, E. Anti-Proliferative and Cytotoxic Effect of Cannabidiol on Human Cancer Cell Lines in Presence of Serum. BMC Res. Notes 2020, 13, 389. [Google Scholar] [CrossRef]
- Pagano, S.; Coniglio, M.; Valenti, C.; Federici, M.I.; Lombardo, G.; Cianetti, S.; Marinucci, L. Biological Effects of Cannabidiol on Normal Human Healthy Cell Populations: Systematic Review of the Literature. Biomed. Pharmacother. Biomed. Pharmacother. 2020, 132, 110728. [Google Scholar] [CrossRef] [PubMed]
- Dos-Santos-Pereira, M.; Guimarães, F.S.; Del-Bel, E.; Raisman-Vozari, R.; Michel, P.P. Cannabidiol Prevents LPS-Induced Microglial Inflammation by Inhibiting ROS/NF-ΚB-Dependent Signaling and Glucose Consumption. Glia 2020, 68, 561–573. [Google Scholar] [CrossRef] [PubMed]
- Wang, F.; Li, M.; Lin, C.; Jin, S.; Li, H.; Lu, Y.; Wang, H.; Wang, H.; Wang, X. Cannabidiol-Dihydroartemisinin Conjugates for Ameliorating Neuroinflammation with Reduced Cytotoxicity. Bioorg. Med. Chem. 2021, 39, 116131. [Google Scholar] [CrossRef] [PubMed]
- Zamansky, M.; Zehavi, N.; Sintov, A.C.; Ben-Shabat, S. The Fundamental Role of Lipids in Polymeric Nanoparticles: Dermal Delivery and Anti-Inflammatory Activity of Cannabidiol. Molecules 2023, 28, 1774. [Google Scholar] [CrossRef]
- Borgonetti, V.; Benatti, C.; Governa, P.; Isoldi, G.; Pellati, F.; Alboni, S.; Tascedda, F.; Montopoli, M.; Galeotti, N.; Manetti, F.; et al. Non-Psychotropic Cannabis sativa L. Phytocomplex Modulates Microglial Inflammatory Response through CB2 Receptors-, Endocannabinoids-, and NF-ΚB-Mediated Signaling. Phytother. Res. PTR 2022, 36, 2246–2263. [Google Scholar] [CrossRef]
- Muñoz, L.E.; Bilyy, R.; Biermann, M.H.C.; Kienhöfer, D.; Maueröder, C.; Hahn, J.; Brauner, J.M.; Weidner, D.; Chen, J.; Scharin-Mehlmann, M.; et al. Nanoparticles Size-Dependently Initiate Self-Limiting NETosis-Driven Inflammation. Proc. Natl. Acad. Sci. USA 2016, 113, E5856–E5865. [Google Scholar] [CrossRef]






| Formulation | Aqueous Starch Concentration, mg/mL | Divanillin Concentration on Starch Basis, %w/w | Mean Particle Size ± SD (in Diameter), nm | Polydispersity Index |
|---|---|---|---|---|
| SNP0-1 | 1.7 | 0 | 274.0 ± 75.2 | 0.11 ± 0.03 |
| SNP0-2 | 1.0 | 0 | * 187.4 ± 19.3 | 0.19 ± 0.03 |
| SNP5-1 | 1.7 | 5.0 | 260.5 ± 16.1 | 0.15 ± 0.07 |
| SNP5-2 | 1.0 | 5.0 | * 206.1 ± 21.0 | 0.13 ± 0.02 |
| SNP10-1 | 1.7 | 10.0 | 248.6 ± 11.8 | 0.16 ± 0.07 |
| SNP10-2 | 1.0 | 10.0 | NS 205.8 ± 44.4 | 0.17 ± 0.06 |
| SNP15-1 | 1.7 | 15.0 | 297.0 ± 14.8 | 0.16 ± 0.02 |
| SNP15-2 | 1.0 | 15.0 | * 206.7 ± 43.6 | 0.21 ± 0.07 |
| 10 µM CBD 2.67 × 109 SNPs/mL | 5 µM CBD 1.33 × 109 SNPs/mL | |
|---|---|---|
| “ExCell” CBD, µg | 0.15 (±0.002) | 0.15 (±0.008) |
| “InCell” CBD, µg | 0.21 (±0.05) | 0.12 (±0.02) |
| “InCytosol” CBD, µg | 0.22 (±0.04) | 0.12 (±0.04) |
| % of administered CBD found in cells | 1.4 | 1.6 |
Disclaimer/Publisher’s Note: The statements, opinions and data contained in all publications are solely those of the individual author(s) and contributor(s) and not of MDPI and/or the editor(s). MDPI and/or the editor(s) disclaim responsibility for any injury to people or property resulting from any ideas, methods, instructions or products referred to in the content. |
© 2023 by the authors. Licensee MDPI, Basel, Switzerland. This article is an open access article distributed under the terms and conditions of the Creative Commons Attribution (CC BY) license (https://creativecommons.org/licenses/by/4.0/).
Share and Cite
Eydelman, I.; Zehavi, N.; Feinshtein, V.; Kumar, D.; Ben-Shabat, S.; Sintov, A.C. Cannabidiol-Loaded Nanoparticles Based on Crosslinked Starch: Anti-Inflammatory Activity and Improved Nose-to-Brain Delivery. Pharmaceutics 2023, 15, 1803. https://doi.org/10.3390/pharmaceutics15071803
Eydelman I, Zehavi N, Feinshtein V, Kumar D, Ben-Shabat S, Sintov AC. Cannabidiol-Loaded Nanoparticles Based on Crosslinked Starch: Anti-Inflammatory Activity and Improved Nose-to-Brain Delivery. Pharmaceutics. 2023; 15(7):1803. https://doi.org/10.3390/pharmaceutics15071803
Chicago/Turabian StyleEydelman, Ilya, Na’ama Zehavi, Valeria Feinshtein, Dinesh Kumar, Shimon Ben-Shabat, and Amnon C. Sintov. 2023. "Cannabidiol-Loaded Nanoparticles Based on Crosslinked Starch: Anti-Inflammatory Activity and Improved Nose-to-Brain Delivery" Pharmaceutics 15, no. 7: 1803. https://doi.org/10.3390/pharmaceutics15071803
APA StyleEydelman, I., Zehavi, N., Feinshtein, V., Kumar, D., Ben-Shabat, S., & Sintov, A. C. (2023). Cannabidiol-Loaded Nanoparticles Based on Crosslinked Starch: Anti-Inflammatory Activity and Improved Nose-to-Brain Delivery. Pharmaceutics, 15(7), 1803. https://doi.org/10.3390/pharmaceutics15071803

