Low Molecular Weight Hydrogel for Wound Healing
Abstract
1. Introduction
2. Materials and Methods
2.1. Materials
2.2. Preparing N-(2,3,4,5,6-Pentahydroxylhexyl)-L-Trp (PHTrp)
2.3. Preparing the Complex of PHTrp and Cu2+ (PHTrp-Cu)
2.4. Preparation of C18ADPA Hydrogel and PHTrp-Cu-Loaded Hydrogel
2.5. Characterization of the Hydrogels
2.6. Animal Test
3. Results and Discussion
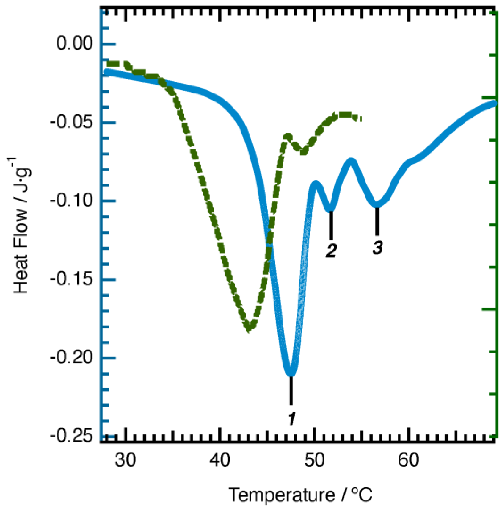
3.1. Hydrogel Structure
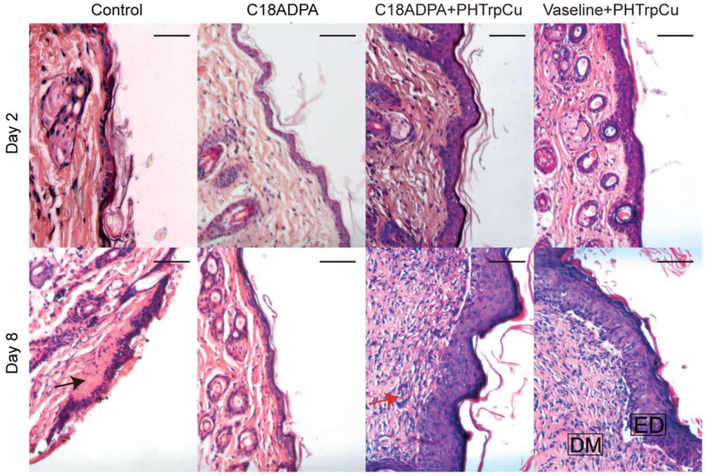
3.2. Animal Test
4. Conclusions
Author Contributions
Funding
Institutional Review Board Statement
Informed Consent Statement
Data Availability Statement
Acknowledgments
Conflicts of Interest
References
- Peppas, N. Hydrogels in Pharmaceutical Formulations. Eur. J. Pharm. Biopharm. 2000, 50, 27–46. [Google Scholar] [CrossRef] [PubMed]
- Amsden, B. Solute Diffusion within Hydrogels. Mechanisms and Models. Macromolecules 1998, 31, 8382–8395. [Google Scholar] [CrossRef]
- Misek, B.; Powers, J.; Ruggiero, J.; Skauen, D. Pharmaceutical Uses of Carbopol® 934. J. Am. Pharm. Assoc. 1956, 45, 56–59. [Google Scholar] [CrossRef]
- Du, X.; Zhou, J.; Shi, J.; Xu, B. Supramolecular Hydrogelators and Hydrogels: From Soft Matter to Molecular Biomaterials. Chem. Rev. 2015, 115, 13165–13307. [Google Scholar] [CrossRef] [PubMed]
- Wu, H.; Zheng, J.; Kjøniksen, A.; Wang, W.; Zhang, Y.; Ma, J. Metallogels: Availability, Applicability, and Advanceability. Adv. Mater. 2019, 31, 1806204. [Google Scholar] [CrossRef]
- Whitesides, G.M.; Grzybowski, B. Self-Assembly at All Scales. Science 2002, 295, 2418–2421. [Google Scholar] [CrossRef]
- Tian, R.; Chen, J.; Niu, R. The Development of Low-Molecular Weight Hydrogels for Applications in Cancer Therapy. Nanoscale 2014, 6, 3474. [Google Scholar] [CrossRef]
- Webber, M.J.; Appel, E.A.; Meijer, E.W.; Langer, R. Supramolecular Biomaterials. Nat. Mater. 2015, 15, 13–26. [Google Scholar] [CrossRef]
- Qu, R.; Shen, L.; Qu, A.; Wang, R.; An, Y.; Shi, L. Artificial Peroxidase/Oxidase Multiple Enzyme System Based on Supramolecular Hydrogel and Its Application as a Biocatalyst for Cascade Reactions. ACS Appl. Mater. Interfaces 2015, 7, 16694–16705. [Google Scholar] [CrossRef]
- Tsuda, Y.; Morimoto, Y.; Takeuchi, S. Monodisperse Cell-Encapsulating Peptide Microgel Beads for 3D Cell Culture. Langmuir 2010, 26, 2645–2649. [Google Scholar] [CrossRef]
- Wang, W.; Lu, W. A Multi-Headed Surfactant as an Efficient Tool in Solubilization of Dimyristoylphosphatidycholine (DMPC) Vesicles. Colloids Surf. B Biointerfaces 2013, 102, 759–765. [Google Scholar] [CrossRef] [PubMed]
- reza Saboktakin, M.; Tabatabaei, R.M. Supramolecular Hydrogels as Drug Delivery Systems. Int. J. Biol. Macromol. 2015, 75, 426–436. [Google Scholar] [CrossRef] [PubMed]
- Raymond, D.M.; Abraham, B.L.; Fujita, T.; Watrous, M.J.; Toriki, E.S.; Takano, T.; Nilsson, B.L. Low-Molecular-Weight Supramolecular Hydrogels for Sustained and Localized in Vivo Drug Delivery. ACS Appl. Bio Mater. 2019, 2, 2116–2124. [Google Scholar] [CrossRef] [PubMed]
- Cao, S.; Fu, X.; Wang, N.; Wang, H.; Yang, Y. Release Behavior of Salicylic Acid in Supramolecular Hydrogels Formed by L-Phenylalanine Derivatives as Hydrogelator. Int. J. Pharm. 2008, 357, 95–99. [Google Scholar] [CrossRef] [PubMed]
- Yang, Z.; Xu, K.; Wang, L.; Gu, H.; Wei, H.; Zhang, M.; Xu, B. Self-Assembly of Small Molecules Affords Multifunctional Supramolecular Hydrogels for Topically Treating Simulated Uranium Wounds. Chem. Commun. 2005, 35, 4414–4416. [Google Scholar] [CrossRef]
- Xie, H.; Lu, W.; Wang, J.; Wang, W. PH Responsive Vesicles with Tunable Size Formed by Single-Tailed Surfactants with a Dendritic Headgroup. RSC Adv. 2017, 7, 22079–22085. [Google Scholar] [CrossRef]
- Xie, H.; Asad Ayoubi, M.; Lu, W.; Wang, J.; Huang, J.; Wang, W. A Unique Thermo-Induced Gel-to-Gel Transition in a PH-Sensitive Small-Molecule Hydrogel. Sci. Rep. 2017, 7, 8459. [Google Scholar] [CrossRef]
- Xie, H.; Wang, J.; Wang, W. Constructing Porous Carbon Nanomaterials Using Redox-Induced Low Molecular Weight Hydrogels and Their Application as Supercapacitors. ChemistrySelect 2017, 2, 9330–9335. [Google Scholar] [CrossRef]
- Wang, W.; Lu, W.; Jiang, L. Influence of PH on the Aggregation Morphology of a Novel Surfactant with Single Hydrocarbon Chain and Multi-Amine Headgroups. J. Phys. Chem. B 2008, 112, 1409–1413. [Google Scholar] [CrossRef]
- Wang, T.-W.; Sun, J.-S.; Wu, H.-C.; Tsuang, Y.-H.; Wang, W.-H.; Lin, F.-H. The Effect of Gelatin–Chondroitin Sulfate–Hyaluronic Acid Skin Substitute on Wound Healing in SCID Mice. Biomaterials 2006, 27, 5689–5697. [Google Scholar] [CrossRef]
- Tammi, R.; Pasonen-Seppänen, S.; Kolehmainen, E.; Tammi, M. Hyaluronan Synthase Induction and Hyaluronan Accumulation in Mouse Epidermis Following Skin Injury. J. Investig. Dermatol. 2005, 124, 898–905. [Google Scholar] [CrossRef]
- Raghavan, S.R.; Douglas, J.F. The Conundrum of Gel Formation by Molecular Nanofibers, Wormlike Micelles, and Filamentous Proteins: Gelation without Cross-Links? Soft Matter 2012, 8, 8539–8546. [Google Scholar] [CrossRef]
- Belman, N.; Israelachvili, J.N.; Li, Y.; Safinya, C.R.; Bernstein, J.; Golan, Y. The Temperature-Dependent Structure of Alkylamines and Their Corresponding Alkylammonium-Alkylcarbamates. J. Am. Chem. Soc. 2009, 131, 9107–9113. [Google Scholar] [CrossRef] [PubMed]
- Nyburg, S.C.; Lüth, H. N-Octadecane: A Correction and Refinement of the Structure given by Hayashida. Acta Crystallogr. B 1972, 28, 2992–2995. [Google Scholar] [CrossRef]
- Gallot, B.; Skoulios, A. Structure des savons alcalins. Kolloid-Z. Z. Polym. 1966, 209, 164–169. [Google Scholar] [CrossRef]
- Encyclopedia of Analytical Chemistry. Available online: https://onlinelibrary.wiley.com/doi/book/10.1002/9780470027318 (accessed on 8 March 2023).
- Davis, M.M. Acid-Base Behavior in Aprotic Organic Solvents; Acid-Base Behavior in Aprotic Organic Solvents; U.S. National Bureau of Standards: Gaithersburg, MD, USA, 1968. [Google Scholar]
- Smith, J.W.; Vitoria, M.C. Infrared Spectroscopic Investigations of Acid–Base Interactions in Aprotic Solvents. Part I. The Interaction of Tri-n-Propylamine and Some Carboxylic Acids. J. Chem. Soc. A 1968, 10, 2468–2474. [Google Scholar] [CrossRef]
- Raghavan, S.R. Distinct Character of Surfactant Gels: A Smooth Progression from Micelles to Fibrillar Networks. Langmuir 2009, 25, 8382–8385. [Google Scholar] [CrossRef] [PubMed]
- Chan, J.C.Y.; Duszczyszyn, D.A.; Castellino, F.J.; Ploplis, V.A. Accelerated Skin Wound Healing in Plasminogen Activator Inhibitor-1-Deficient Mice. Am. J. Pathol. 2001, 159, 1681–1688. [Google Scholar] [CrossRef]
- Shan, Y.-H.; Peng, L.-H.; Liu, X.; Chen, X.; Xiong, J.; Gao, J.-Q. Silk Fibroin/Gelatin Electrospun Nanofibrous Dressing Functionalized with Astragaloside IV Induces Healing and Anti-Scar Effects on Burn Wound. Int. J. Pharm. 2015, 479, 291–301. [Google Scholar] [CrossRef]
- Yang, Y.; Xia, T.; Zhi, W.; Wei, L.; Weng, J.; Zhang, C.; Li, X. Promotion of Skin Regeneration in Diabetic Rats by Electrospun Core-Sheath Fibers Loaded with Basic Fibroblast Growth Factor. Biomaterials 2011, 32, 4243–4254. [Google Scholar] [CrossRef]










Disclaimer/Publisher’s Note: The statements, opinions and data contained in all publications are solely those of the individual author(s) and contributor(s) and not of MDPI and/or the editor(s). MDPI and/or the editor(s) disclaim responsibility for any injury to people or property resulting from any ideas, methods, instructions or products referred to in the content. |
© 2023 by the authors. Licensee MDPI, Basel, Switzerland. This article is an open access article distributed under the terms and conditions of the Creative Commons Attribution (CC BY) license (https://creativecommons.org/licenses/by/4.0/).
Share and Cite
Gu, S.; Lu, Y.; Wang, Y.; Lu, W.; Wang, W. Low Molecular Weight Hydrogel for Wound Healing. Pharmaceutics 2023, 15, 1119. https://doi.org/10.3390/pharmaceutics15041119
Gu S, Lu Y, Wang Y, Lu W, Wang W. Low Molecular Weight Hydrogel for Wound Healing. Pharmaceutics. 2023; 15(4):1119. https://doi.org/10.3390/pharmaceutics15041119
Chicago/Turabian StyleGu, Shangyan, Yu Lu, Yuji Wang, Wensheng Lu, and Wei Wang. 2023. "Low Molecular Weight Hydrogel for Wound Healing" Pharmaceutics 15, no. 4: 1119. https://doi.org/10.3390/pharmaceutics15041119
APA StyleGu, S., Lu, Y., Wang, Y., Lu, W., & Wang, W. (2023). Low Molecular Weight Hydrogel for Wound Healing. Pharmaceutics, 15(4), 1119. https://doi.org/10.3390/pharmaceutics15041119

