Fabrication, Optimization, and Characterization of Antibacterial Electrospun Shellac Fibers Loaded with Kaempferia parviflora Extract
Abstract
1. Introduction
2. Materials and Methods
2.1. Materials
2.2. Preparation of Shellac Solutions Containing KP Extract
2.3. Electrospinning Process
2.4. Experimental Design and Data Analysis
2.5. Model Validation
2.6. Morphological Characterization
2.7. Physicochemical Characterization of Fabricated Electrospinning Fibers
2.7.1. Powder X-ray Diffraction (PXRD)
2.7.2. Differential Scanning Calorimeter (DSC)
2.7.3. Fourier Transform Infrared (FTIR) Spectroscopy
2.8. In Vitro Dissolution Study of KP Extract-Loaded Electrospun Shellac Fibers
2.9. Quantification of Methoxyflavones
2.10. Time-Kill Kinetics Assay
3. Results and Discussion
3.1. Optimization of Operating Conditions by BBD
3.1.1. Statistical Analysis
3.1.2. Graphical Representation of the Model and Response Surface Optimization
+ 182.39(solution feed rate) + 62.49(extract concentration)
3.2. Optimization of Extract-Loaded Electrospun Shellac Fibers
3.3. Validation of the Established Models
3.4. Physicochemical Characterization of Fabricated Electrospun Fibers
3.4.1. Powder X-ray Diffractometry (PXRD)
3.4.2. Differential Scanning Calorimetry (DSC)
3.4.3. Fourier Transform Infrared (FTIR) Spectroscopy
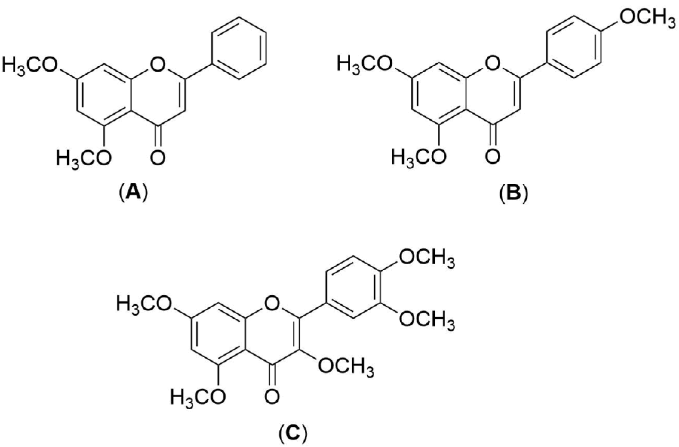
3.5. Determination of Methoxyflavone Content and Loading Capacity
3.6. In Vitro Methoxyflavone Release Behavior
3.7. Time-Kill Kinetics Assay
4. Conclusions
Supplementary Materials
Author Contributions
Funding
Institutional Review Board Statement
Informed Consent Statement
Data Availability Statement
Acknowledgments
Conflicts of Interest
References
- Elshamy, A.I.; Mohamed, T.A.; Essa, A.F.; Abd-ElGawad, A.M.; Alqahtani, A.S.; Shahat, A.A.; Yoneyama, T.; Farrag, A.R.H.; Noji, M.; El-Seedi, H.R.; et al. Recent advances in Kaempferia phytochemistry and biological activity: A comprehensive review. Nutrients 2019, 11, 2396. [Google Scholar] [CrossRef] [PubMed]
- Wungsintaweekul, J.; Sitthithaworn, W.; Putalun, W.; Pfeifhoffer, H.W. Antimicrobial, antioxidant activities and chemical composition of selected Thai spices. Songklanakarin J. Sci. Technol. 2010, 32, 589–598. [Google Scholar]
- Takuathung, M.N.; Potikanond, S.; Sookkhee, S.; Mungkornasawakul, P.; Jearanaikulvanich, T.; Chinda, K.; Wikan, N.; Nimlamool, W. Anti-psoriatic and anti-inflammatory effects of Kaempferia parviflora in keratinocytes and macrophage cells. Biomed. Pharmacother. 2021, 143, 112229. [Google Scholar] [CrossRef] [PubMed]
- Batkhup, L.; Samappito, S. In vitro free radical scavenging and antimicrobial activity of some selected Thai medicinal plants. Res. J. Med. Plant. 2011, 5, 254–265. [Google Scholar]
- Krongrawa, W.; Limmatvapirat, S.; Saibua, S.; Limmatvapirat, C. Effects of gamma irradiation under vacuum and air packaging atmospheres on the phytochemical contents, biological activities, and microbial loads of Kaempferia parviflora rhizomes. Radiat. Phys. Chem. 2020, 173, 108947. [Google Scholar] [CrossRef]
- Sutthanut, K.; Lu, X.; Jay, M.; Sripanidkulchai, B. Solid lipid nanoparticles for topical administration of Kaempferia parviflora extracts. J. Biomed. Nanotech. 2009, 5, 224–232. [Google Scholar] [CrossRef]
- Tuntiyasawasdikul, S.; Limpongsa, E.; Jaipakdee, N.; Sripanidkulchai, B. A monolithic drug-in-adhesive patch of methoxyflavones from Kaempferia parviflora: In vitro and in vivo evaluation. Int. J. Pharm. 2015, 478, 486–495. [Google Scholar] [CrossRef]
- Tuntiyasawasdikul, S.; Limpongsa, E.; Jaipakdee, N.; Sripanidkulchai, B. Transdermal permeation of Kaempferia parviflora methoxyflavones from isopropyl myristate-based vehicles. AAPS PharmSciTech. 2014, 15, 947–955. [Google Scholar] [CrossRef][Green Version]
- Chinatangkul, N.; Limmatvapirat, C.; Limmatvapirat, S. Electrospun nanofibers from natural polymers and their application. Sci. Eng. Health Stud. 2021, 15, 21050014. [Google Scholar]
- Pattnaik, S.; Swain, K.; Ramakrishna, S. Optimal delivery of poorly soluble drugs using electrospun nanofiber technology: Challenges, state of the art, and future directions. Wiley Interdiscip. Rev. Nanomed. Nanobiotechnol. 2022, e1859. [Google Scholar] [CrossRef]
- Hermosilla, J.; Pastene-Navarrete, E.; Acevedo, F. Electrospun fibers loaded with natural bioactive compounds as a biomedical system for skin burn treatment. A review. Pharmaceutics 2021, 13, 2054. [Google Scholar] [CrossRef]
- Shahriar, S.M.S.; Mondal, J.; Hasan, M.N.; Revuri, V.; Lee, D.Y.; Lee, Y. Electrospinning nanofibers for therapeutics delivery. Nanomaterials 2019, 9, 532. [Google Scholar] [CrossRef]
- Chinatangkul, N.; Limmatvapirat, C.; Nunthanid, J.; Luangtana-Anan, M.; Sriamornsak, P.; Limmatvapirat, S. Design and characterization of monolaurin loaded electrospun shellac nanofibers with antimicrobial activity. Asian J. Pharm. Sci. 2018, 13, 459–471. [Google Scholar] [CrossRef]
- Chinatangkul, N.; Pengon, S.; Krongrawa, W.; Chansatidkosol, S.; Limmatvapirat, C.; Limmatvapirat, S. Designing electrospun shellac nanofibers with mupirocin using the Box-Behnken approach for topical wound care. J. Drug Deliv. Sci. Technol. 2022, 76, 103720. [Google Scholar] [CrossRef]
- Thammachat, T.; Sriamornsak, P.; Luangtana-Anan, M.; Nunthanid, J.; Limmatvapirat, C.; Limmatvapirat, S. Preparation and characterization of shellac fiber as a novel material for controlled drug release. Adv. Mater. Res. 2011, 152–153, 1232–1235. [Google Scholar] [CrossRef]
- Chinatangkul, N.; Pengon, S.; Piriyaprasarth, S.; Limmatvapirat, C.; Limmatvapirat, S. Development of electrospun shellac and hydroxypropyl cellulose blended nanofibers for drug carrier application. Key Eng. Mater. 2020, 859, 239–243. [Google Scholar] [CrossRef]
- Chinatangkul, N.; Tubtimsri, S.; Panchapornpon, D.; Akkaramongkolporn, P.; Limmatvapirat, C.; Limmatvapirat, S. Design and characterisation of electrospun shellac-polyvinylpyrrolidone blended micro/nanofibres loaded with monolaurin for application in wound healing. Int. J. Pharm. 2019, 562, 258–270. [Google Scholar] [CrossRef]
- Tamburini, D.; Dyer, J.; Bonaduce, I. The characterisation of shellac resin by flow injection and liquid chromatography coupled with electrospray ionisation and mass spectrometry. Sci. Rep. 2017, 7, 14784. [Google Scholar] [CrossRef]
- Ramakrishna, S.; Fujihara, K.; Teo, W.; Lim, T.C.; Ma, Z. An Introduction to Electrospinning and Nanofibers, 1st ed.; World Scientific Publishing Co. Pte. Ltd.: Hackensack, NJ, USA, 2005; pp. 90–154. [Google Scholar]
- Chinatangkul, N.; Pengon, S.; Limmatvapirat, C.; Limmatvapirat, S. Design of experiment approach for fabrication process of electrospun shellac nanofibers using factorial designs. Key Eng. Mater. 2017, 757, 120–124. [Google Scholar] [CrossRef]
- Biswal, A.K.; Panda, P.K.; Yang, J.; Misra, P.K. Isolation, process optimisation and characterisation of the protein from the de-oiled cake flour of Madhuca latifolia. IET Nanobiotechnol. 2020, 14, 654–661. [Google Scholar] [CrossRef]
- Singh, B.; Bhatowa, R.; Tripathi, C.B.; Kapil, R. Developing micro-/nanoparticulate drug delivery systems using” design of experiments”. Int. J. Pharm. Investig. 2011, 1, 75–87. [Google Scholar] [CrossRef] [PubMed]
- Edwards, D.J.; Mee, R.W. Fractional Box-Behnken designs for one-step response surface methodology. J. Qual. Technol. 2011, 43, 288–306. [Google Scholar] [CrossRef]
- Marasini, N.; Yan, Y.D.; Poudel, B.K.; Choi, H.; Yong, C.S.; Kim, J.O. Development and optimization of self-nanoemulsifying drug delivery system with enhanced bioavailability by Box-Behnken design and desirability function. J. Pharm. Sci. 2012, 101, 4584–4596. [Google Scholar] [CrossRef] [PubMed]
- Ferreira, S.L.C.; Bruns, R.E.; Ferreira, H.S.; Matos, G.D.; David, J.M.; Brandão, G.C.; da Silva, E.G.P.; Portugal, L.A.; dos Reis, P.S.; Souza, A.S.; et al. BoxBehnken design: An alternative for the optimization of analytical methods. Anal. Chim. Acta. 2007, 597, 179–186. [Google Scholar] [CrossRef] [PubMed]
- Jeong, D.; Kim, D.-H.; Chon, J.-W.; Kim, H. Antibacterial effect of crude extracts of Kaempferia parviflora (Krachaidam) against Cronobacter spp. and enterohemorrhagic Escherichia coli (EHEC) in various dairy foods: A preliminary study. J. Milk Sci. Biotechnol. 2016, 34, 63–68. [Google Scholar] [CrossRef]
- Rasouli, M.; Pirsalami, S.; Zebarjad, S.M. Study on the formation and structural evolution of bead-on-string in electrospun polysulfone mats. Polym. Int. 2020, 69, 822–832. [Google Scholar] [CrossRef]
- The United States Pharmacopeial Convention. The United States Pharmacopeia, 43rd Rev., and the National Formulary, 38th ed.; The United States Pharmacopeial Convention: Rockville, MD, USA, 2020. [Google Scholar]
- Park, K.; Sadeghi, K.; Panda, P.K.; Seo, J. Ethylene vinyl acetate/low-density polyethylene/oyster shell powder composite films: Preparation, characterization, and antimicrobial properties for biomedical applications. J. Taiwan. Inst. Chem. Eng. 2022, 134, 104301. [Google Scholar] [CrossRef]
- Xu, Y.; Zou, L.; Lu, H.; Kang, T. Effect of different solvent systems on PHBV/PEO electrospun fibers. RSC Adv. 2017, 7, 4000–4010. [Google Scholar] [CrossRef]
- Motamedi, A.S.; Mirzadeh, H.; Hajiesmaeilbaigi, F.; Bagheri-Khoulenjani, S.; Shokrgozar, M. Effect of electrospinning parameters on morphological properties of PVDF nanofibrous scaffolds. Prog. Biomater. 2017, 6, 113–123. [Google Scholar] [CrossRef]
- Gupta, B.S.; Moghe, A.K. Nanofiber structures for medical biotextiles. In Biotextiles as Medical Implants, 1st ed.; King, M.W., Gupta, B.S., Guidoin, R., Eds.; Woodhead Publishing Series in Textiles: Philadelphia, PA, USA, 2013; pp. 48–90. [Google Scholar]
- Jian, S.; Zhu, J.; Jiang, S.; Chen, S.; Fang, H.; Song, Y.; Duan, G.; Zhang, Y.; Hou, H. Nanofibers with diameter below one nanometer from electrospinning. RSC Adv. 2018, 8, 4794–4802. [Google Scholar] [CrossRef]
- Wei, Q.; Tao, D.; Xu, Y. Nanofibers: Principles and manufacture. In Functional Nanofibers and Their Applications, 1st ed.; Wei, Q., Ed.; Woodhead Publishing Series in Textiles: Philadelphia, PA, USA, 2012; pp. 3–21. [Google Scholar]
- Baker, S.C.; Atkin, N.; Gunning, P.A.; Granville, N.; Wilson, K.; Wilson, D.; Southgate, J. Characterisation of electrospun polystyrene scaffolds for three-dimensional in vitro biological studies. Biomaterials 2006, 27, 3136–3146. [Google Scholar] [CrossRef]
- Liu, Y.; Dong, L.; Fan, J.; Wang, R.; Yu, J.-Y. Effect of applied voltage on diameter and morphology of ultrafine fibers in bubble electrospinning. J. Appl. Polym. Sci. 2011, 120, 592–598. [Google Scholar] [CrossRef]
- Liu, Z.; Ju, K.; Wang, Z.; Li, W.; Ke, H.; He, J. Electrospun jets number and nanofiber morphology effected by voltage value: Numerical simulation and experimental verification. Nanoscale Res. Lett. 2019, 14, 310. [Google Scholar] [CrossRef]
- Beachley, V.; Wen, X. Effect of electrospinning parameters on the nanofiber diameter and length. Mater. Sci. Eng. C Mater. Biol. Appl. 2009, 29, 638–663. [Google Scholar] [CrossRef]
- Zhang, C.; Yuan, X.; Wu, L.; Han, Y.; Sheng, J. Study on morphology of electrospun poly (vinyl alcohol) mats. Eur. Polym. J. 2005, 41, 423–432. [Google Scholar] [CrossRef]
- Yördem, O.S.; Papila, M.; Menceloğlu, Y.Z. Effects of electrospinning parameters on polyacrylonitrile nanofiber diameter: An investigation by response surface methodology. Mater. Des. 2008, 29, 34–44. [Google Scholar] [CrossRef]
- Mekjaruskul, C.; Yang, Y.; Leed, M.G.D. Novel formulation strategies for enhancing oral delivery of methoxyflavones in Kaempferia parviflora by SMEDDS or complexation with 2-hydroxypropyl-β-cyclodextrin. Int. J. Pharm. 2013, 445, 1–11. [Google Scholar] [CrossRef]
- Wongkanya, R.; Teeranachaideekul, V.; Makarasen, A.; Chuysinuan, P.; Yingyuad, P.; Nooeaid, P.; Techasakul, S.; Chuenchom, L.; Dechtrirat, D. Electrospun poly (lactic acid) nanofiber mats for controlled transdermal delivery of essential oil from Zingiber cassumunar Roxb. Mater. Res. Express 2020, 7, 055305. [Google Scholar] [CrossRef]
- Molnar, J.; Zuba, Z.; Sepsi, O.; Ujhelyi, F.; Erdei, G.; Lenk, S.; Menyhárd, A. Structural investigation of semicrystalline polymers. Polym. Test. 2021, 95, 107098. [Google Scholar] [CrossRef]
- Mo, Z.; Zhang, H. The degree of crystallinity in polymers by wide-angle X-ray diffraction (Waxd). J. Macromol. Sci. Part C Polym. Rev. 1995, 35, 555–580. [Google Scholar] [CrossRef]
- Wang, X.; Yu, D.; Li, X.; Bligh, S.W.A.; Williams, G.R. Electrospun medicated shellac nanofibers for colon-targeted drug delivery. Int. J. Pharm. 2015, 490, 384–390. [Google Scholar] [CrossRef] [PubMed]
- Sangnim, T.; Limmatvapirat, S.; Nunthanid, J.; Sriamornsak, P.; Sittikijyothin, W.; Wannachaiyasit, S.; Huanbutta, K. Design and characterization of clindamycin-loaded nanofiber patches composed of polyvinyl alcohol and tamarind seed gum and fabricated by electrohydrodynamic atomization. Asian J. Pharm. Sci. 2018, 13, 450–458. [Google Scholar] [CrossRef] [PubMed]
- Ma, K.; Qiu, Y.; Fu, Y.; Ni, Q.-Q. Improved shellac mediated nanoscale application drug release effect in a gastric-site drug delivery system. RSC Adv. 2017, 7, 53401–53406. [Google Scholar] [CrossRef]
- Ricci, A.; Olejar, K.J.; Parpinello, G.P.; Kilmartin, P.A.; Versari, A. Application of fourier transform infrared (FTIR) spectroscopy in the characterization of tannins. Appl. Spectrosc. Rev. 2015, 50, 407–442. [Google Scholar] [CrossRef]
- Arampatzis, A.S.; Kontogiannopoulos, K.N.; Theodoridis, K.; Aggelidou, E.; Rat, A.; Willems, A.; Tsivintzelis, I.; Papageorgiou, V.P.; Kritis, A.; Assimopoulou, A.N. Electrospun wound dressings containing bioactive natural products: Physicochemical characterization and biological assessment. Biomater. Res. 2021, 25, 23. [Google Scholar] [CrossRef]
- Tuah, K.A.; Chin, S.; Pang, S. Fabrication of drug-loaded starch-based nanofibers via electrospinning technique. Biointerface Res. Appl. Chem. 2021, 11, 10801–10811. [Google Scholar]
- Azimi, B.; Maleki, H.; Zavagna, L.; De la Ossa, J.G.; Linari, S.; Lazzeri, A.; Danti, S. Bio-based electrospun fibers for wound healing. J. Funct. Biomater. 2020, 11, 67. [Google Scholar] [CrossRef]
- Chaiya, P.; Rojviriya, C.; Pichayakorn, W.; Phaechamud, T. New insight into the impact of effervescence on gel layer microstructure and drug release of effervescent matrices using combined mechanical and imaging characterisation techniques. Pharmaceutics 2022, 14, 2299. [Google Scholar] [CrossRef]
- Rezaei, A.; Nasirpour, A. Evaluation of release kinetics and mechanisms of curcumin and curcumin-β-cyclodextrin inclusion complex incorporated in electrospun almond gum/PVA nanofibers in simulated saliva and simulated gastrointestinal conditions. BioNanoScience 2019, 9, 438–445. [Google Scholar] [CrossRef]
- Al-Arjan, W.S.; Khan, M.U.A.; Almutairi, H.H.; Alharbi, S.M.; Razak, S.I.A. pH-Responsive PVA/BC-f-GO dressing materials for burn and chronic wound healing with curcumin release kinetics. Polymers 2022, 14, 1949. [Google Scholar] [CrossRef]
- Breijyeh, Z.; Jubeh, B.; Karaman, R. Resistance of gram-negative bacteria to current antibacterial agents and approaches to resolve it. Molecules 2020, 25, 1340. [Google Scholar] [CrossRef]
- Rodrigues, M.; Kosaric, N.; Bonham, C.A.; Gurtner, G.C. Wound healing: A cellular perspective. Physiol. Rev. 2019, 99, 665–706. [Google Scholar] [CrossRef]
- Sookkhee, S.; Sakonwasun, C.; Mungkornasawakul, P.; Khamnoi, P.; Wikan, N.; Nimlamool, W. Synergistic effects of some methoxyflavones extracted from rhizome of Kaempferia parviflora combined with gentamicin against carbapenem-resistant strains of Klebsiella pneumoniae, Pseudomonas aeruginosa, and Acinetobacter baumannii. Plants 2022, 11, 3128. [Google Scholar] [CrossRef]
- Kennewell, T.L.; Mashtoub, S.; Howarth, G.S.; Cowin, A.J.; Kopecki, Z. Antimicrobial and healing-promoting properties of animal and plant oils for the treatment of infected wounds. Wound Pract. Res. 2019, 27, 175–183. [Google Scholar] [CrossRef]
- Kapoor, G.; Saigal, S.; Elongavan, A. Action and resistance mechanisms of antibiotics: A guide for clinicians. J. Anaesthesiol. Clin. Pharmacol. 2017, 33, 300–305. [Google Scholar] [CrossRef]
- Xing, Y.; An, X.; Wang, B.; Chang, G.; Zhu, H.; Yu, Y. Mechanism of antibacterial enhancement and drug resistance based on smart medical imaging on antibiotics. Comput. Math. Methods Med. 2022, 2022, 6103649. [Google Scholar] [CrossRef]










| Independent Parameters | Symbol | Corresponding Levels | ||
|---|---|---|---|---|
| Low Level (−1) | Center Level (0) | High Level (+1) | ||
| Shellac concentration (% w/w) | x1 | 36 | 38 | 40 |
| Solution feed rate (mL/h) | x2 | 0.4 | 0.8 | 1.2 |
| Electrical voltage (kV) | x3 | 12 | 18 | 24 |
| KP extract content (% w/w) | x4 | 1 | 3 | 5 |
| Sample | Degree of Crystallinity (%) |
|---|---|
| Shellac flakes | 4.13 ± 0.08 A |
| KP extract | 4.65 ± 0.07 A |
| Physical mixture of shellac flakes and KP extract | 4.10 ± 0.64 A |
| Electrospun shellac fibers | 4.03 ± 0.54 A |
| Optimized KP extract-loaded electrospun shellac fibers | 4.06 ± 0.55 A |
| Sample No. | Shellac Concentration (% w/w) | Electrical Voltage (kV) | Methoxyflavones | % Content of Each Methoxyflavone | % Content of Total Methoxyflavones | Loading Capacity |
|---|---|---|---|---|---|---|
| 1 | 36 | 12 | DMF | 105.32 ± 6.01 | 113.33 ± 6.71 B | 0.35 ± 0.02 A |
| TMF | 109.14 ± 6.70 | |||||
| PMF | 126.31 ± 7.47 | |||||
| 2 | 36 | 24 | DMF | 85.20 ± 2.85 | 94.88 ± 2.72 A | 0.86 ± 0.02 B |
| TMF | 94.64 ± 1.96 | |||||
| PMF | 105.53 ± 3.82 | |||||
| 3 | 38 | 12 | DMF | 95.37 ± 1.04 | 106.17 ± 1.41 B | 0.33 ± 0.00 A |
| TMF | 111.15 ± 6.18 | |||||
| PMF | 112.50 ± 1.10 | |||||
| 4 | 38 | 24 | DMF | 87.25 ± 1.30 | 97.36 ± 1.27 A | 0.88 ± 0.01 B |
| TMF | 98.48 ± 2.17 | |||||
| PMF | 107.27 ± 2.19 |
Disclaimer/Publisher’s Note: The statements, opinions and data contained in all publications are solely those of the individual author(s) and contributor(s) and not of MDPI and/or the editor(s). MDPI and/or the editor(s) disclaim responsibility for any injury to people or property resulting from any ideas, methods, instructions or products referred to in the content. |
© 2022 by the authors. Licensee MDPI, Basel, Switzerland. This article is an open access article distributed under the terms and conditions of the Creative Commons Attribution (CC BY) license (https://creativecommons.org/licenses/by/4.0/).
Share and Cite
Krongrawa, W.; Limmatvapirat, S.; Vollrath, M.K.; Kittakoop, P.; Saibua, S.; Limmatvapirat, C. Fabrication, Optimization, and Characterization of Antibacterial Electrospun Shellac Fibers Loaded with Kaempferia parviflora Extract. Pharmaceutics 2023, 15, 123. https://doi.org/10.3390/pharmaceutics15010123
Krongrawa W, Limmatvapirat S, Vollrath MK, Kittakoop P, Saibua S, Limmatvapirat C. Fabrication, Optimization, and Characterization of Antibacterial Electrospun Shellac Fibers Loaded with Kaempferia parviflora Extract. Pharmaceutics. 2023; 15(1):123. https://doi.org/10.3390/pharmaceutics15010123
Chicago/Turabian StyleKrongrawa, Wantanwa, Sontaya Limmatvapirat, Mont Kumpugdee Vollrath, Prasat Kittakoop, Supachai Saibua, and Chutima Limmatvapirat. 2023. "Fabrication, Optimization, and Characterization of Antibacterial Electrospun Shellac Fibers Loaded with Kaempferia parviflora Extract" Pharmaceutics 15, no. 1: 123. https://doi.org/10.3390/pharmaceutics15010123
APA StyleKrongrawa, W., Limmatvapirat, S., Vollrath, M. K., Kittakoop, P., Saibua, S., & Limmatvapirat, C. (2023). Fabrication, Optimization, and Characterization of Antibacterial Electrospun Shellac Fibers Loaded with Kaempferia parviflora Extract. Pharmaceutics, 15(1), 123. https://doi.org/10.3390/pharmaceutics15010123

