DNA Copy Number Aberrations and Expression of ABC Transporter Genes in Breast Tumour: Correlation with the Effect of Neoadjuvant Chemotherapy and Prognosis of the Disease
Abstract
:1. Introduction
2. Materials and Methods
Patients and Treatment
3. Results
3.1. Copy Number Aberration of the ABC Transporter Genes
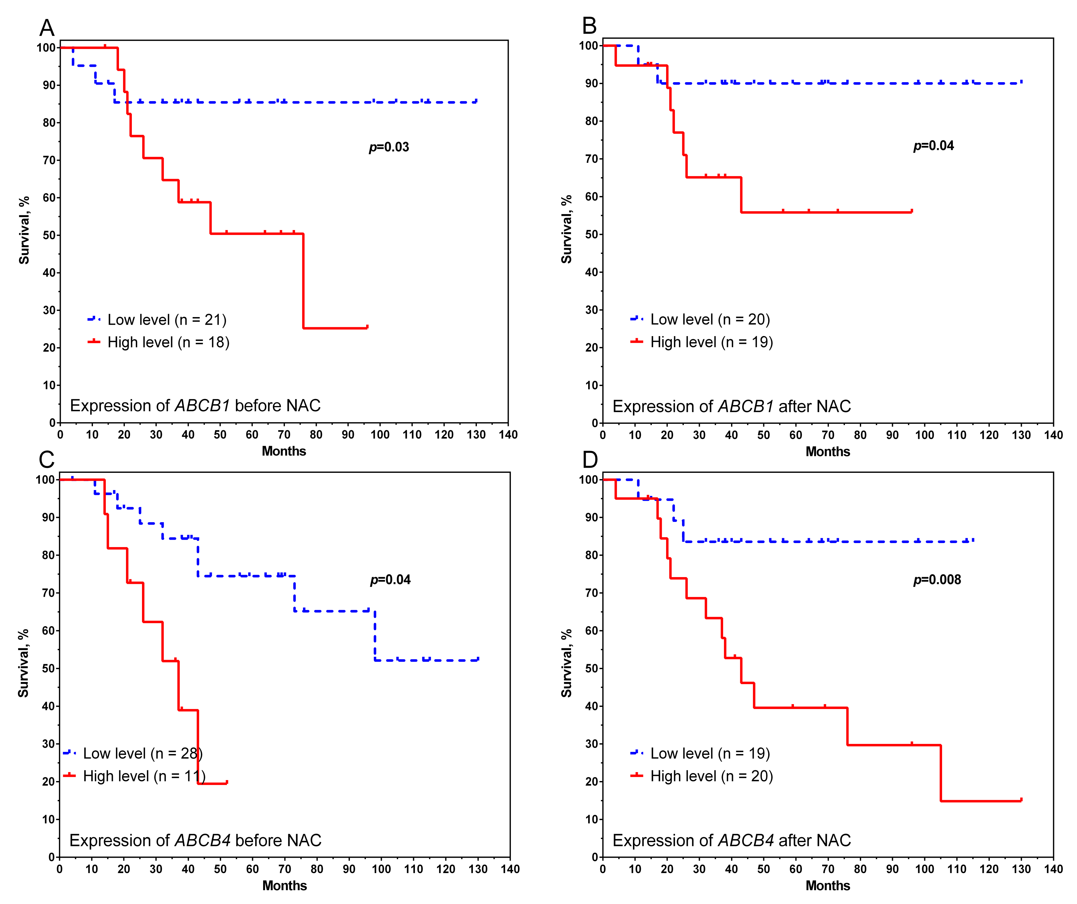
3.2. Assessment of Transcript Levels of ABC Transporter Genes
3.3. Gene Expression Clustering of ABC Transporter
4. Discussion
Supplementary Materials
Author Contributions
Funding
Institutional Review Board Statement
Informed Consent Statement
Data Availability Statement
Conflicts of Interest
References
- Korde, L.A.; Somerfield, M.R.; Carey, L.A.; Crews, J.R.; Denduluri, N.; Hwang, E.S.; Khan, S.A.; Loibl, S.; Morris, E.A.; Perez, A. Neoadjuvant chemotherapy, endocrine therapy, and targeted therapy for breast cancer: ASCO guideline. J. Clin. Oncol. Off. J. Am. Soc. Clin. Oncol. 2021, 39, 1485–1505. [Google Scholar] [CrossRef] [PubMed]
- Litviakov, N.V.; Cherdyntseva, N.V.; Tsyganov, M.M.; Denisov, E.V.; Garbukov, E.Y.; Merzliakova, M.K.; Volkomorov, V.V.; Vtorushin, S.V.; Zavyalova, M.V.; Slonimskaya, E.M. Changing the expression vector of multidrug resistance genes is related to neoadjuvant chemotherapy response. Cancer Chemother. Pharmacol. 2013, 71, 153–163. [Google Scholar] [CrossRef] [PubMed]
- Holohan, C.; Van Schaeybroeck, S.; Longley, D.B.; Johnston, P.G. Cancer drug resistance: An evolving paradigm. Nat. Rev. Cancer 2013, 13, 714–726. [Google Scholar] [CrossRef]
- He, J.; Fortunati, E.; Liu, D.-X.; Li, Y. Pleiotropic Roles of ABC Transporters in Breast Cancer. Int. J. Mol. Sci. 2021, 22, 3199. [Google Scholar] [CrossRef] [PubMed]
- Iacopetta, D.; Rosano, C.; Sirignano, M.; Mariconda, A.; Ceramella, J.; Ponassi, M.; Saturnino, C.; Sinicropi, M.S.; Longo, P. Is the way to fight cancer paved with gold? Metal-based carbene complexes with multiple and fascinating biological features. Pharmaceuticals 2020, 13, 91. [Google Scholar] [CrossRef] [PubMed]
- Parkinson, A.; Ogilvie, B.W. Biotransformation of xenobiotics. Casarett Doull’s Toxicol. Basic Sci. Poisons 2008, 7, 161–304. [Google Scholar]
- Vtorushin, S.V.; Khristenko, K.; Zavyalova, M.; Perelmuter, V.; Litviakov, N.V.; Denisov, E.V.; Dulesova, A.; Cherdyntseva, N.V. The phenomenon of multi-drug resistance in the treatment of malignant tumors. Exp. Oncol. 2014, 36, 144–156. [Google Scholar]
- Catalano, A.; Iacopetta, D.; Ceramella, J.; Scumaci, D.; Giuzio, F.; Saturnino, C.; Aquaro, S.; Rosano, C.; Sinicropi, M.S. Multidrug Resistance (MDR): A Widespread Phenomenon in Pharmacological Therapies. Molecules 2022, 27, 616. [Google Scholar] [CrossRef]
- Wen, S.-H.; Su, S.-C.; Liou, B.-H.; Lin, C.-H.; Lee, K.-R. Sulbactam-enhanced cytotoxicity of doxorubicin in breast cancer cells. Cancer Cell Int. 2018, 18, 128. [Google Scholar] [CrossRef] [Green Version]
- Chen, S.; Sutiman, N.; Zhang, C.Z.; Yu, Y.; Lam, S.; Khor, C.C.; Chowbay, B. Pharmacogenetics of irinotecan, doxorubicin and docetaxel transporters in Asian and Caucasian cancer patients: A comparative review. Drug Metab. Rev. 2016, 48, 502–540. [Google Scholar] [CrossRef]
- Zhao, Y.; Alakhova, D.Y.; Zhao, X.; Band, V.; Batrakova, E.V.; Kabanov, A.V. Eradication of cancer stem cells in triple negative breast cancer using doxorubicin/pluronic polymeric micelles. Nanomed. Nanotechnol. Biol. Med. 2020, 24, 102124. [Google Scholar] [CrossRef]
- Heald, R. The Effect of Doxorubicin on ABC Transporter Gene Expression in Triple Negative Breast Cancer; Auckland University of Technology: Auckland, New Zealand, 2021. [Google Scholar]
- Chen, J.; Wang, Z.; Gao, S.; Wu, K.; Bai, F.; Zhang, Q.; Wang, H.; Ye, Q.; Xu, F.; Sun, H. Human drug efflux transporter ABCC5 confers acquired resistance to pemetrexed in breast cancer. Cancer Cell Int. 2021, 21, 136. [Google Scholar] [CrossRef]
- Konkimalla, V.B.; Kaina, B.; Efferth, T. Role of transporter genes in cisplatin resistance. Vivo 2008, 22, 279–283. [Google Scholar]
- Hlavata, I.; Mohelnikova-Duchonova, B.; Vaclavikova, R.; Liska, V.; Pitule, P.; Novak, P.; Bruha, J.; Vycital, O.; Holubec, L.; Treska, V. The role of ABC transporters in progression and clinical outcome of colorectal cancer. Mutagenesis 2012, 27, 187–196. [Google Scholar] [CrossRef] [Green Version]
- Patel, A.; Li, T.-W.; Anreddy, N.; Wang, D.-S.; Sodani, K.; Gadhia, S.; Kathawala, R.; Yang, D.-H.; Cheng, C.; Chen, Z.-S. Suppression of ABCG2 mediated MDR in vitro and in vivo by a novel inhibitor of ABCG2 drug transport. Pharmacol. Res. 2017, 121, 184–193. [Google Scholar] [CrossRef]
- Sharp, A.J.; Locke, D.P.; McGrath, S.D.; Cheng, Z.; Bailey, J.A.; Vallente, R.U.; Pertz, L.M.; Clark, R.A.; Schwartz, S.; Segraves, R. Segmental duplications and copy-number variation in the human genome. Am. J. Hum. Genet. 2005, 77, 78–88. [Google Scholar] [CrossRef] [Green Version]
- Litviakov, N.V.; Cherdyntseva, N.V.; Tsyganov, M.M.; Slonimskaya, E.M.; Ibragimova, M.K.; Kazantseva, P.V.; Kzhyshkowska, J.; Choinzonov, E.L. Deletions of multidrug resistance gene loci in breast cancer leads to the down-regulation of its expression and predict tumor response to neoadjuvant chemotherapy. Oncotarget 2016, 7, 7829. [Google Scholar] [CrossRef] [Green Version]
- Tsyganov, M.M.; Freidin, M.B.; Ibragimova, M.K.; Deryusheva, I.V.; Kazantseva, P.V.; Slonimskaya, E.M.; Cherdyntseva, N.V.; Litviakov, N.V. Genetic variability in the regulation of the expression cluster of MDR genes in patients with breast cancer. Cancer Chemother. Pharmacol. 2017, 80, 251–260. [Google Scholar] [CrossRef]
- Knuutila, S.; Aalto, Y.; Autio, K.; Björkqvist, A.-M.; Hemmer, S.; Huhta, T.; Kettunen, E.; Kiuru-Kuhlefelt, S.; Larramendy, M.L.; Lushnikova, T. DNA copy number losses in human neoplasms. Am. J. Pathol. 1999, 155, 683–694. [Google Scholar] [CrossRef] [Green Version]
- Chekhun, V.F.; Kulik, G.I.; Yurchenko, O.V.; Tryndyak, V.P.; Todor, I.N.; Luniv, L.S.; Tregubova, N.A.; Pryzimirska, T.V.; Montgomery, B.; Rusetskaya, N.V. Role of DNA hypomethylation in the development of the resistance to doxorubicin in human MCF-7 breast adenocarcinoma cells. Cancer Lett. 2006, 231, 87–93. [Google Scholar] [CrossRef]
- Sharma, G.; Mirza, S.; Parshad, R.; Srivastava, A.; Datta Gupta, S.; Pandya, P.; Ralhan, R. CpG hypomethylation of MDR1 gene in tumor and serum of invasive ductal breast carcinoma patients. Clin. Biochem. 2010, 43, 373–379. [Google Scholar] [CrossRef]
- Seborova, K.; Vaclavikova, R.; Soucek, P.; Elsnerova, K.; Bartakova, A.; Cernaj, P.; Bouda, J.; Rob, L.; Hruda, M.; Dvorak, P. Association of ABC gene profiles with time to progression and resistance in ovarian cancer revealed by bioinformatics analyses. Cancer Med. 2019, 8, 606–616. [Google Scholar] [CrossRef]
- Hlaváč, V.; Brynychová, V.; Václavíková, R.; Ehrlichová, M.; Vrána, D.; Pecha, V.; Koževnikovová, R.; Trnková, M.; Gatěk, J.; Kopperová, D. The expression profile of ATP-binding cassette transporter genes in breast carcinoma. Pharmacogenomics 2013, 14, 515–529. [Google Scholar] [CrossRef]
- Schwartz, G.F.; Hortobagyi, G.N. Proceedings of the Consensus Conference on Neoadjuvant Chemotherapy in Carcinoma of the Breast, April 26–28, 2003, Philadelphia, Pennsylvania. Breast J. 2004, 10, 273–294. [Google Scholar] [CrossRef]
- Wolff, A.C.; Hammond, M.E.H.; Schwartz, J.N.; Hagerty, K.L.; Allred, D.C.; Cote, R.J.; Dowsett, M.; Fitzgibbons, P.L.; Hanna, W.M.; Langer, A. American Society of Clinical Oncology/College of American Pathologists guideline recommendations for human epidermal growth factor receptor 2 testing in breast cancer. Arch. Pathol. Lab. Med. 2007, 131, 18–43. [Google Scholar] [CrossRef]
- Irizarry, R.; Hobbs, B.; Collin, F.; Beazer-Barclay, Y.D.; Antonellis, K.J.; Scherf, U.; Speed, T.P. Exploration, normalization, and summaries of high density oligonucleotide array probe level data. Biostatistics 2003, 4, 249–264. [Google Scholar] [CrossRef] [Green Version]
- Wind, N.; Holen, I. Multidrug resistance in breast cancer: From in vitro models to clinical studies. Int. J. Breast Cancer 2011, 2011, 967419. [Google Scholar] [CrossRef] [PubMed]
- Kim, B.; Fatayer, H.; Hanby, A.M.; Horgan, K.; Perry, S.L.; Valleley, E.M.; Verghese, E.T.; Williams, B.J.; Thorne, J.L.; Hughes, T.A. Neoadjuvant Chemotherapy Induces Expression Levels of Breast Cancer Resistance Protein That Predict Disease-Free Survival in Breast Cancer. PLoS ONE 2013, 8, e62766. [Google Scholar] [CrossRef] [PubMed] [Green Version]
- Adamska, A.; Falasca, M. ATP-binding cassette transporters in progression and clinical outcome of pancreatic cancer: What is the way forward? World J. Gastroenterol. 2018, 24, 3222. [Google Scholar] [CrossRef] [PubMed]
- Robey, R.W.; Pluchino, K.M.; Hall, M.D.; Fojo, A.T.; Bates, S.E.; Gottesman, M.M. Revisiting the role of ABC transporters in multidrug-resistant cancer. Nat. Rev. Cancer 2018, 18, 452. [Google Scholar] [CrossRef] [PubMed]
- Hansen, S.N.; Ehlers, N.S.; Zhu, S.; Thomsen, M.B.H.; Nielsen, R.L.; Liu, D.; Wang, G.; Hou, Y.; Zhang, X.; Xu, X. The stepwise evolution of the exome during acquisition of docetaxel resistance in breast cancer cells. BMC Genom. 2016, 17, 442. [Google Scholar] [CrossRef] [Green Version]
- Hansen, S.N.; Westergaard, D.; Thomsen, M.B.H.; Vistesen, M.; Do, K.N.; Fogh, L.; Belling, K.C.; Wang, J.; Yang, H.; Gupta, R. Acquisition of docetaxel resistance in breast cancer cells reveals upregulation of ABCB1 expression as a key mediator of resistance accompanied by discrete upregulation of other specific genes and pathways. Tumor Biol. 2015, 36, 4327–4338. [Google Scholar] [CrossRef]
- Sumarpo, A.; Ito, K.; Saiki, Y.; Ishizawa, K.; Wang, R.; Chen, N.; Sunamura, M.; Horii, A. Genetic and epigenetic aberrations of ABCB1 synergistically boost the acquisition of taxane resistance in esophageal squamous cancer cells. Biochem. Biophys. Res. Commun. 2020, 526, 586–591. [Google Scholar] [CrossRef]
- Morita, S.-Y.; Kobayashi, A.; Takanezawa, Y.; Kioka, N.; Handa, T.; Arai, H.; Matsuo, M.; Ueda, K. Bile salt–dependent efflux of cellular phospholipids mediated by ATP binding cassette protein B4. Hepatology 2007, 46, 188–199. [Google Scholar] [CrossRef]
- Gordo-Gilart, R.; Andueza, S.; Hierro, L.; Martínez-Fernández, P.; D′Agostino, D.; Jara, P.; Alvarez, L. Functional analysis of ABCB4 mutations relates clinical outcomes of progressive familial intrahepatic cholestasis type 3 to the degree of MDR3 floppase activity. Gut 2015, 64, 147–155. [Google Scholar] [CrossRef]
- Ciriello, G.; Gatza, M.L.; Beck, A.H.; Wilkerson, M.D.; Rhie, S.K.; Pastore, A.; Zhang, H.; McLellan, M.; Yau, C.; Kandoth, C. Comprehensive molecular portraits of invasive lobular breast cancer. Cell 2015, 163, 506–519. [Google Scholar] [CrossRef] [Green Version]
- Network, C.G.A. Comprehensive molecular portraits of human breast tumours. Nature 2012, 490, 61. [Google Scholar] [CrossRef] [Green Version]
- Shah, S.P.; Roth, A.; Goya, R.; Oloumi, A.; Ha, G.; Zhao, Y.; Turashvili, G.; Ding, J.; Tse, K.; Haffari, G. The clonal and mutational evolution spectrum of primary triple-negative breast cancers. Nature 2012, 486, 395–399. [Google Scholar] [CrossRef]
- Kikuchi-Koike, R.; Nagasaka, K.; Tsuda, H.; Ishii, Y.; Sakamoto, M.; Kikuchi, Y.; Fukui, S.; Miyagawa, Y.; Hiraike, H.; Kobayashi, T. Array comparative genomic hybridization analysis discloses chromosome copy number alterations as indicators of patient outcome in lymph node-negative breast cancer. BMC Cancer 2019, 19, 521. [Google Scholar] [CrossRef] [Green Version]
- Velaei, K.; Samadi, N.; Soltani, S.; Barazvan, B.; Rad, J.S. NFκBP65 transcription factor modulates resistance to doxorubicin through ABC transporters in breast cancer. Breast Cancer 2017, 24, 552–561. [Google Scholar] [CrossRef]
- Patch, A.-M.; Christie, E.L.; Etemadmoghadam, D.; Garsed, D.W.; George, J.; Fereday, S.; Nones, K.; Cowin, P.; Alsop, K.; Bailey, P.J. Whole–genome characterization of chemoresistant ovarian cancer. Nature 2015, 521, 489–494. [Google Scholar] [CrossRef]
- Steinbach, D.; Gillet, J.-P.; Sauerbrey, A.; Gruhn, B.; Dawczynski, K.; Bertholet, V.; de Longueville, F.; Zintl, F.; Remacle, J.; Efferth, T. ABCA3 as a possible cause of drug resistance in childhood acute myeloid leukemia. Clin. Cancer Res. 2006, 12, 4357–4363. [Google Scholar] [CrossRef] [Green Version]
- Schimanski, S.; Wild, P.J.; Treeck, O.; Horn, F.; Sigruener, A.; Rudolph, C.; Blaszyk, H.; Klinkhammer-Schalke, M.; Ortmann, O.; Hartmann, A. Expression of the lipid transporters ABCA3 and ABCA1 is diminished in human breast cancer tissue. Horm. Metab. Res. 2010, 42, 102–109. [Google Scholar] [CrossRef]
- Elsnerova, K.; Mohelnikova-Duchonova, B.; Cerovska, E.; Ehrlichova, M.; Gut, I.; Rob, L.; Skapa, P.; Hruda, M.; Bartakova, A.; Bouda, J. Gene expression of membrane transporters: Importance for prognosis and progression of ovarian carcinoma. Oncol. Rep. 2016, 35, 2159–2170. [Google Scholar] [CrossRef]
- Chen, Z.; Shi, T.; Zhang, L.; Zhu, P.; Deng, M.; Huang, C.; Hu, T.; Jiang, L.; Li, J. Mammalian drug efflux transporters of the ATP binding cassette (ABC) family in multidrug resistance: A review of the past decade. Cancer Lett. 2016, 370, 153–164. [Google Scholar] [CrossRef]
- Fung, S.W.; Cheung, P.F.-Y.; Yip, C.W.; Ng, L.W.-C.; Cheung, T.T.; Chong, C.C.-N.; Lee, C.; Bo-San Lai, P.; Chan, A.W.-H.; Tsao, G.S.-W. The ATP-binding cassette transporter ABCF1 is a hepatic oncofetal protein that promotes chemoresistance, EMT and cancer stemness in hepatocellular carcinoma. Cancer Lett. 2019, 457, 98–109. [Google Scholar] [CrossRef]
- Huang, J.-F.; Wen, C.-J.; Zhao, G.-Z.; Dai, Y.; Li, Y.; Wu, L.-X.; Zhou, H.-H. Overexpression of ABCB4 contributes to acquired doxorubicin resistance in breast cancer cells in vitro. Cancer Chemother. Pharmacol. 2018, 82, 199–210. [Google Scholar] [CrossRef]
- Tulsyan, S.; Mittal, R.D.; Mittal, B. The effect of ABCB1 polymorphisms on the outcome of breast cancer treatment. Pharm. Pers. Med. 2016, 9, 47. [Google Scholar]
- Szakács, G.; Annereau, J.-P.; Lababidi, S.; Shankavaram, U.; Arciello, A.; Bussey, K.J.; Reinhold, W.; Guo, Y.; Kruh, G.D.; Reimers, M. Predicting drug sensitivity and resistance: Profiling ABC transporter genes in cancer cells. Cancer Cell 2004, 6, 129–137. [Google Scholar] [CrossRef] [Green Version]
- Park, S.; Shimizu, C.; Shimoyama, T.; Takeda, M.; Ando, M.; Kohno, T.; Katsumata, N.; Kang, Y.-K.; Nishio, K.; Fujiwara, Y. Gene expression profiling of ATP-binding cassette (ABC) transporters as a predictor of the pathologic response to neoadjuvant chemotherapy in breast cancer patients. Breast Cancer Res. Treat. 2006, 99, 9–17. [Google Scholar] [CrossRef] [PubMed]
- Dahlin, A.; Geier, E.; Stocker, S.L.; Cropp, C.D.; Grigorenko, E.; Bloomer, M.; Siegenthaler, J.; Xu, L.; Basile, A.S.; Tang-Liu, D.D.-S. Gene expression profiling of transporters in the solute carrier and ATP-binding cassette superfamilies in human eye substructures. Mol. Pharm. 2013, 10, 650. [Google Scholar] [CrossRef] [Green Version]
- Hee Choi, Y.; Yu, A.-M. ABC transporters in multidrug resistance and pharmacokinetics, and strategies for drug development. Curr. Pharm. Des. 2014, 20, 793–807. [Google Scholar] [CrossRef] [PubMed]
- Natarajan, K.; Xie, Y.; Baer, M.R.; Ross, D.D. Role of breast cancer resistance protein (BCRP/ABCG2) in cancer drug resistance. Biochem. Pharmacol. 2012, 83, 1084–1103. [Google Scholar] [CrossRef] [PubMed] [Green Version]
- Dvorak, P.; Pesta, M.; Soucek, P. ABC gene expression profiles have clinical importance and possibly form a new hallmark of cancer. Tumor Biol. 2017, 39, 1010428317699800. [Google Scholar] [CrossRef] [Green Version]
- Hlavac, V.; Kovacova, M.; Elsnerova, K.; Brynychova, V.; Kozevnikovova, R.; Raus, K.; Kopeckova, K.; Mestakova, S.; Vrana, D.; Gatek, J. Use of germline genetic variability for prediction of chemoresistance and prognosis of breast cancer patients. Cancers 2018, 10, 511. [Google Scholar] [CrossRef] [Green Version]
- Burger, H.; Foekens, J.A.; Look, M.P.; Meijer-van Gelder, M.E.; Klijn, J.G.; Wiemer, E.A.; Stoter, G.; Nooter, K. RNA expression of breast cancer resistance protein, lung resistance-related protein, multidrug resistance-associated proteins 1 and 2, and multidrug resistance gene 1 in breast cancer: Correlation with chemotherapeutic response. Clin. Cancer Res. 2003, 9, 827–836. [Google Scholar]
- Xiao, Q.; Zhou, Y.; Winter, S.; Büttner, F.; Schaeffeler, E.; Schwab, M.; Lauschke, V.M. Germline variant burden in multidrug resistance transporters is a therapy-specific predictor of survival in breast cancer patients. Int. J. Cancer 2020, 146, 2475–2487. [Google Scholar] [CrossRef] [Green Version]
- Hlaváč, V.; Václavíková, R.; Brynychová, V.; Koževnikovová, R.; Kopečková, K.; Vrána, D.; Gatěk, J.; Souček, P. Role of genetic variation in ABC transporters in breast cancer prognosis and therapy response. Int. J. Mol. Sci. 2020, 21, 9556. [Google Scholar] [CrossRef]
- Kim, J.-E.; Choi, J.; Park, J.; Park, C.; Lee, S.M.; Park, S.E.; Song, N.; Chung, S.; Sung, H.; Han, W. Associations between genetic polymorphisms of membrane transporter genes and prognosis after chemotherapy: Meta-analysis and finding from Seoul Breast Cancer Study (SEBCS). Pharm. J. 2018, 18, 633–645. [Google Scholar] [CrossRef]





| Clinical and Pathological Parameter | Number of Patients, abs. (%) | |
|---|---|---|
| Age | ≤45 | 54 (41.9) |
| >45 | 75 (58.1) | |
| Menstrual status | Perimenopause | 65 (50.4) |
| Postmenopause | 64 (49.6) | |
| Histological type | Invasive ductal cancer | 93 (72.1) |
| Invasive lobular carcinoma | 36 (27.9) | |
| Size | T1 | 18 (14.0) |
| T2 | 95 (73.6) | |
| T3 | 7 (5.4) | |
| T4 | 9 (7.0) | |
| Lymphogenous metastasis | N0 | 54 (41.9) |
| N1 | 55 (42.6) | |
| N2 | 9 (7.0) | |
| N3 | 11 (8.5) | |
| Histological form | Unicentric | 57 (44.2) |
| Multicentric | 72 (55.8) | |
| Molecular subtype | Luminal B HER2-negative | 95 (73.6) |
| HER2+ | 12 (9.3) | |
| Triple negative | 22 (17.1) | |
| NAC scheme | CAX | 28 (21.7) |
| AC | 44 (34.1) | |
| Taxotere | 26 (20.2) | |
| AT/ACT | 16 (12.4) | |
| CP | 15 (11.6) | |
| NAC effect | Complete regression | 13 (10.1) |
| Partial regression | 75 (58.1) | |
| Stabilization | 32 (24.8) | |
| Progression | 9 (7.0) | |
| Genes | CR + PR (n = 88) | P + ST (n = 41) | p-Level | ||||
|---|---|---|---|---|---|---|---|
| Loss | n | Gain | Loss | n | Gain | ||
| ABCA1 | 20 (22.7) | 63 (71.6) | 5 (5.7) | 9 (22.0) | 29 (70.7) | 3 (7.3) | 0.93 |
| ABCA2 | 19 (21.6) | 59 (67.0) | 10 (11.4) | (17.1) | 28 (68.3) | 6 (14.6) | 0.76 |
| ABCA3 | 9 (10.2) | 50 (56.8) | 29 (33.0) | 4 (9.8) | 28 (68.3) | 9 (22.0) | 0.41 |
| ABCA4 | 25 (28.4) | 57 (64.8) | 6 (6.8) | 10 (24.4) | 27 (65.9) | 4 (9.8) | 0.78 |
| ABCA5 | 14 (15.9) | 45 (51.1) | 29 (33.0) | 6 (14.6) | 22 (53.7) | 13 (31.7) | 0.96 |
| ABCA6 | 10 (11.4) | 43 (48.9) | 35 (39.8) | 6 (14.6) | 20 (48.8) | 15 (36.6) | 0.85 |
| ABCA7 | 27 (30.7) | 60 (68.2) | 1 (1.1) | 13 (31.7) | 28 (68.3) | 0 (0.0) | 0.78 |
| ABCA8 | 10 (11.4) | 43 (48.9) | 35 (39.8) | 6 (14.6) | 20 (48.8) | 15 (36.6) | 0.85 |
| ABCA9 | 10 (11.4) | 43 (48.9) | 35 (39.8) | 6 (14.6) | 20 (48.8) | 15 (36.6) | 0.85 |
| ABCA10 | 14 (15.9) | 45 (51.1) | 29 (33.0) | 6 (14.6) | 22 (53.7) | 13 (31.7) | 0.96 |
| ABCA11P | 26 (29.5) | 56 (63.6) | 6 (6.8) | 13 (31.7) | 25 (61.0) | 3 (7.3) | 0.96 |
| ABCA12 | 17 (19.3) | 66 (75.0) | 5 (5.7) | 13 (31.7) | 28 (68.3 | 0 (0.0) | 0.11 |
| ABCA13 | 6 (6.8) | 67 (76.1) | 15 (17.0) | 2 (4.9) | 34 (82.9) | 5 (12.2) | 0.68 |
| ABCB1 | 15 (17.0) | 61 (69.3) | 12 (13.6) | 1 (2.4) | 35 (85.4) | 5 (12.2) | 0.01 |
| ABCB2 | 14 (15.9) | 65 (73.9) | 9 (10.2) | 2 (4.9) | 33 (80.5) | 6 (14.6) | 0.18 |
| ABCB3 | 14 (15.9) | 65 (73.9) | 9 (10.2) | 2 (4.9) | 33 (80.5) | 6 (14.6) | 0.18 |
| ABCB4 | 15 (17.) | 61 (69.3) | 12 (13.6) | 1 (2.4) | 35 (85.4) | 5 (12.2) | 0.01 |
| ABCB5 | 7 (8.0) | 66 (75.0) | 15 (17.0) | 2 (4.9) | 31 (75.6) | 8 (19.5) | 0.78 |
| ABCB6 | 17 (19.3) | 66 (75.0) | 5 (5.7) | 13 (31.7) | 28 (68.3) | 0 (0.0) | 0.01 |
| ABCB7 | 16 (18.2) | 70 (79.5) | 2 (2.3) | 7 (17.1) | 29 (70.7) | 5 (12.2) | 0.06 |
| ABCB8 | 17 (19.3) | 58 (65.9) | 13 (14.8) | 1 (2.4) | 31 (75.6) | 9 (22.0) | 0.02 |
| ABCB9 | 16 (18.2) | 61 (69.3) | 11 (12.5) | 5 (12.2) | 32 (78.0) | 4 (9.8) | 0.57 |
| ABCB10 | 4 (4.5) | 23 (26.1) | 61 (69.3) | 2 (4.9) | 24 (58.5) | 15 (36.6) | 3 × 10 −4 |
| ABCB11 | 18 (20.5) | 63 (71.6) | 7 (8.0) | 10 (24.4) | 30 (73.2) | 1 (2.4) | 0.45 |
| ABCC1 | 7 (8.0) | 57 (64.8) | 24 (27.3) | 2 (4.9) | 32 (78.0) | 7 (17.1) | 0.31 |
| ABCC2 | 29 (33.0) | 56 (63.6) | 3 (3.4) | 12 (29.3) | 28 (68.3) | 1 (2.4) | 0.86 |
| ABCC3 | 17 (19.3) | 42 (47.7) | 29 (33.0) | 11 (26.8) | 19 (46.3) | 11 (26.8) | 0.58 |
| ABCC4 | 32 (36.4) | 46 (52.3) | 10 (11.4) | 11 (26.8) | 27 (65.9) | 3 (7.3) | 0.34 |
| ABCC5 | 8 (9.1) | 62 (70.5) | 18 (20.5) | 6 (14.6) | 28 (68.3) | 7 (17.1) | 0.61 |
| ABCC6 | 7 (8.0) | 57 (64.8) | 24 (27.3) | 2 (4.9) | 32 (78.0) | 7 (17.1) | 0.31 |
| ABCC7 | 18 (20.5) | 62 (70.5) | 8 (9.1) | 2 (4.9) | 36 (87.8) | 3 (7.3) | 0.03 |
| ABCC8 | 25 (28.4) | 57 (64.8) | 6 (6.8) | 5 (12.2) | 31 (75.6) | 5 (12.2) | 0.10 |
| ABCC9 | 12 (13.6) | 68 (77.3) | 8 (9.1) | 7 (17.1) | 28 (68.3) | 6 (14.6) | 0.51 |
| ABCC10 | 14 (15.9) | 65 (73.9) | 9 (10.2) | 5 (12.2) | 28 (68.3) | 8 (19.5) | 0.33 |
| ABCC11 | 45 (51.1) | 37 (42.0) | 6 (6.8) | 12 (29.3) | 25 (61.0) | 4 (9.8) | 0.04 |
| ABCC12 | 45 (51.1) | 37 (42.0) | 6 (6.8) | 12 (29.3) | 25 (61.0) | 4 (9.8) | 0.04 |
| ABCD1 | 16 (18.2) | 65 (73.9) | 7 (8.0) | 5 (12.2) | 29 (70.7) | 7 (17.1) | 0.24 |
| ABCD2 | 12 (13.6) | 66 (75.0) | 10 (11.4) | 3 (7.3) | 33 (80.5) | 5 (12.2) | 0.57 |
| ABCD3 | 23 (26.1) | 59 (67.0) | 6 (6.8) | 8 (19.5) | 27 (65.9) | 6 (14.6) | 0.30 |
| ABCD4 | 37 (42.0) | 49 (55.7) | 2 (2.3) | 14 (34.1) | 27 (65.9) | 0 (0.0) | 0.39 |
| ABCE1 | 20 (22.7) | 64 (72.7) | 4 (4.5) | 10 (24.4) | 30 (73.2) | 1 (2.4) | 0.83 |
| ABCF1 | 14 (15.9) | 65 (73.9) | 9 (10.2) | 2 (4.9) | 33 (80.5) | 6 (14.6) | 0.18 |
| ABCF2 | 17 (19.3) | 58 (65.9) | 13 (14.8) | 1 (2.4) | 31 (75.6) | 9 (22.0) | 0.02 |
| ABCF3 | 8 (9.1) | 62 (70.5) | 18 (20.5) | 6 (14.6 | 28 (68.3) | 7 (17.1) | 0.39 |
| ABCG1 | 14 (15.9) | 61 (69.3) | 13 (14.8) | 7 (17.1 | 31 (75.6) | 3 (7.3) | 0.48 |
| ABCG2 | 22 (25.0) | 61 (69.3) | 5 (5.7) | 10 (24.4) | 29 (70.7) | 2 (4.9) | 0.97 |
| ABCG4 | 47 (53.4) | 38 (43.2) | 3 (3.4) | 14 (34.1) | 25 (61.0) | 2 (4.9) | 0.05 |
| ABCG5 | 17 (19.3) | 63 (71.6) | 8 (9.1) | 7 (17.1) | 30 (73.2) | 4 (9.8) | 0.95 |
| ABCG8 | 17 (19.3) | 63 (71.6) | 8 (9.1) | 7 (17.1) | 30 (73.2) | 4 (9.8) | 0.95 |
| Gene | CR + PR (n = 25) | p-Level | P + ST (n = 14) | p-Level | ||||
|---|---|---|---|---|---|---|---|---|
| Before | After | Change | Before | After | Change | |||
| ABCA1 | 10.03 ± 0.32 | 9.47 ± 0.25 | Decrease | 0.11 | 9.34 ± 0.43 | 8.79 ± 0.39 | Decrease | 0.42 |
| ABCA2 | 7.29 ± 0.17 | 5.52 ± 0.29 | Decrease | 1 × 10−3 | 7.43 ± 0.18 | 5.25 ± 0.37 | Decrease | 3 × 10−3 |
| ABCA3 | 7.94 ± 0.25 | 6.10 ± 0.33 | Decrease | 5 × 10−3 | 7.83 ± 0.29 | 6.43 ± 0.40 | Decrease | 0.18 |
| ABCA4 | 6.84 ± 0.17 | 9.52 ± 0.49 | Increase | 1 × 10−3 | 6.36 ± 0.33 | 9.54 ± 0.66 | Increase | 0.01 |
| ABCA5 | 9.89 ± 0.28 | 6.45 ± 0.43 | Decrease | 6 × 10−5 | 9.52 ± 0.42 | 5.92 ± 0.45 | Decrease | 0.01 |
| ABCA6 | 7.32 ± 0.18 | 6.78 ± 0.22 | Decrease | 0.04 | 7.30 ± 0.25 | 9.14 ± 0.21 | Increase | 0.01 |
| ABCA7 | 9.63 ± 0.32 | 8.59 ± 0.24 | Decrease | 2 × 10−3 | 8.93 ± 0.39 | 7.98 ± 0.58 | Decrease | 0.18 |
| ABCA8 | 7.93 ± 0.29 | 11.41 ± 0.36 | Increase | 1 × 10−5 | 7.90 ± 0.35 | 10.61 ± 0.64 | Increase | 0.01 |
| ABCA9 | 7.51 ± 0.23 | 8.97 ± 0.23 | Increase | 5 × 10−3 | 7.34 ± 0.29 | 7.81 ± 0.35 | Increase | 0.78 |
| ABCA10 | 6.52 ± 0.25 | 6.35 ± 0.41 | Decrease | 0.68 | 5.86 ± 0.26 | 6.15 ± 0.39 | Increase | 0.42 |
| ABCA11P | 8.71 ± 0.29 | 5.72 ± 0.36 | Decrease | 6 × 10−5 | 7.92 ± 0.40 | 6.55 ± 0.52 | Decrease | 0.18 |
| ABCA12 | 9.84 ± 0.44 | 7.16 ± 0.33 | Decrease | 3 × 10−4 | 8.79 ± 0.77 | 7.08 ± 0.31 | Decrease | 0.42 |
| ABCA13 | 6.75 ± 0.25 | 7.94 ± 0.25 | Increase | 5 × 10−3 | 6.57 ± 0.34 | 7.77 ± 0.41 | Increase | 0.01 |
| ABCB1 | 6.39 ± 0.19 | 4.32 ± 0.23 | Decrease | 5 × 10−4 | 5.87 ± 0.27 | 9.35 ± 0.55 | Increase | 6 × 10−4 |
| ABCB2 | 10.59 ± 0.32 | 9.98 ± 0.29 | Decrease | 0.04 | 9.76 ± 0.36 | 9.07 ± 0.58 | Decrease | 0.18 |
| ABCB3 | 8.73 ± 0.23 | 8.25 ± 0.26 | Decrease | 5 × 10−3 | 7.68 ± 0.33 | 7.84 ± 0.46 | Increase | 0.78 |
| ABCB4 | 6.80 ± 0.24 | 4.71 ± 0.36 | Decrease | 3 × 10−4 | 6.78 ± 0.32 | 8.75 ± 0.41 | Increase | 0.18 |
| ABCB5 | 7.21 ± 0.38 | 8.35 ± 0.25 | Increase | 0.11 | 6.68 ± 0.49 | 7.49 ± 0.31 | Increase | 0.42 |
| ABCB6 | 5.73 ± 0.15 | 5.56 ± 0.40 | Decrease | 0.01 | 5.43 ± 0.23 | 7.01 ± 0.53 | Increase | 0.18 |
| ABCB7 | 9.84 ± 0.30 | 7.45 ± 0.37 | Decrease | 0.01 | 8.64 ± 0.46 | 7.39 ± 0.40 | Decrease | 0.42 |
| ABCB8 | 6.36 ± 0.13 | 6.51 ± 0.27 | Increase | 1.00 | 5.98 ± 0.26 | 6.66 ± 0.44 | Increase | 0.78 |
| ABCB9 | 6.52 ± 0.21 | 6.15 ± 0.13 | Decrease | 1.00 | 6.22 ± 0.22 | 5.93 ± 0.22 | Decrease | 0.78 |
| ABCB10 | 8.38 ± 0.18 | 8.22 ± 0.16 | Decrease | 0.42 | 7.89 ± 0.38 | 7.95 ± 0.22 | Increase | 0.78 |
| ABCB11 | 5.78 ± 0.25 | 3.61 ± 0.29 | Decrease | 6 × 10−5 | 5.64 ± 0.35 | 7.70 ± 0.35 | Increase | 0.01 |
| ABCC1 | 8.61 ± 0.27 | 7.17 ± 0.26 | Decrease | 5 × 10−3 | 8.71 ± 0.34 | 8.96 ± 0.67 | Increase | 0.01 |
| ABCC2 | 5.18 ± 0.21 | 5.16 ± 0.19 | Decrease | 0.83 | 5.54 ± 0.59 | 5.95 ± 0.26 | Increase | 0.78 |
| ABCC3 | 9.13 ± 0.44 | 10.23 ± 0.31 | Increase | 0.11 | 7.87 ± 0.37 | 8.93 ± 0.55 | Increase | 0.05 |
| ABCC4 | 7.45 ± 0.17 | 7.24 ± 0.17 | Decrease | 1.00 | 7.44 ± 0.37 | 7.50 ± 0.17 | Increase | 0.78 |
| ABCC5 | 8.58 ± 0.23 | 7.90 ± 0.16 | Decrease | 0.31 | 7.72 ± 0.34 | 7.46 ± 0.31 | Decrease | 0.78 |
| ABCC6 | 8.42 ± 0.17 | 6.48 ± 0.31 | Decrease | 1 × 10−3 | 8.22 ± 0.29 | 6.67 ± 0.40 | Decrease | 0.06 |
| ABCC7 | 5.64 ± 0.20 | 9.19 ± 0.47 | Increase | 6 × 10−5 | 5.31 ± 0.30 | 8.63 ± 0.50 | Increase | 0.01 |
| ABCC8 | 6.10 ± 0.16 | 9.11 ± 0.43 | Increase | 1 × 10−3 | 5.78 ± 0.19 | 8.16 ± 0.52 | Increase | 3 × 10−3 |
| ABCC9 | 7.79 ± 0.25 | 6.46 ± 0.42 | Decrease | 5 × 10−3 | 7.42 ± 0.46 | 5.90 ± 0.41 | Decrease | 3 × 10−3 |
| ABCC10 | 8.43 ± 0.20 | 6.93 ± 0.20 | Decrease | 1 × 10−5 | 8.24 ± 0.27 | 8.92 ± 0.44 | Increase | 0.18 |
| ABCC11 | 8.58 ± 0.30 | 7.38 ± 0.25 | Decrease | 0.01 | 8.18 ± 0.64 | 9.97 ± 0.37 | Increase | 1 × 10−3 |
| ABCC12 | 7.32 ± 0.17 | 6.44 ± 0.29 | Decrease | 0.04 | 7.76 ± 0.42 | 9.92 ± 0.44 | Increase | 1 × 10−3 |
| ABCD1 | 7.11 ± 0.17 | 9.55 ± 0.36 | Increase | 3 × 10−4 | 7.21 ± 0.27 | 8.31 ± 0.40 | Increase | 0.18 |
| ABCD2 | 7.33 ± 0.21 | 6.15 ± 0.24 | Decrease | 1 × 10−3 | 6.81 ± 0.34 | 6.44 ± 0.46 | Decrease | 0.57 |
| ABCD3 | 7.60 ± 0.31 | 7.97 ± 0.19 | Increase | 0.42 | 7.17 ± 0.41 | 8.01 ± 0.44 | Increase | 0.06 |
| ABCD4 | 6.60 ± 0.16 | 6.44 ± 0.15 | Decrease | 0.83 | 6.29 ± 0.20 | 6.19 ± 0.17 | Decrease | 0.78 |
| ABCE1 | 11.98 ± 0.35 | 9.59 ± 0.42 | Decrease | 5 × 10−3 | 11.39 ± 0.5 | 9.01 ± 0.44 | Decrease | 0.06 |
| ABCF1 | 9.11 ± 0.21 | 8.13 ± 0.32 | Decrease | 1 × 10−3 | 8.50 ± 0.22 | 7.51 ± 0.33 | Decrease | 0.06 |
| ABCF2 | 6.95 ± 0.16 | 8.26 ± 0.20 | Increase | 6 × 10−5 | 7.00 ± 0.28 | 8.40 ± 0.31 | Increase | 0.18 |
| ABCF3 | 6.41 ± 0.13 | 7.45 ± 0.24 | Increase | 0.01 | 5.98 ± 0.19 | 7.22 ± 0.38 | Increase | 0.42 |
| ABCG1 | 8.17 ± 0.29 | 7.98 ± 0.34 | Decrease | 0.03 | 7.72 ± 0.41 | 9.08 ± 0.54 | Increase | 1 × 10−3 |
| ABCG2 | 8.78 ± 0.21 | 6.61 ± 0.41 | Decrease | 3 × 10−4 | 8.91 ± 0.62 | 9.99 ± 0.38 | Increase | 0.01 |
| ABCG4 | 7.76 ± 0.21 | 5.30 ± 0.41 | Decrease | 3 × 10−4 | 7.20 ± 0.24 | 9.36 ± 0.39 | Increase | 1 × 10−3 |
| ABCG5 | 7.13 ± 0.20 | 5.02 ± 0.33 | Decrease | 3 × 10−4 | 7.86 ± 0.24 | 9.90 ± 0.30 | Increase | 1 × 10−3 |
| ABCG8 | 6.86 ± 0.18 | 4.23 ± 0.32 | Decrease | 6 × 10−5 | 6.83 ± 0.25 | 8.02 ± 0.35 | Increase | 1 × 10−3 |
Publisher’s Note: MDPI stays neutral with regard to jurisdictional claims in published maps and institutional affiliations. |
© 2022 by the authors. Licensee MDPI, Basel, Switzerland. This article is an open access article distributed under the terms and conditions of the Creative Commons Attribution (CC BY) license (https://creativecommons.org/licenses/by/4.0/).
Share and Cite
Tsyganov, M.M.; Ibragimova, M.K.; Gaptulbarova, K.A.; Tsydenova, I.A.; Dolgasheva, D.S.; Garbukov, E.Y.; Frolova, A.A.; Slonimskaya, E.M.; Litvyakov, N.V. DNA Copy Number Aberrations and Expression of ABC Transporter Genes in Breast Tumour: Correlation with the Effect of Neoadjuvant Chemotherapy and Prognosis of the Disease. Pharmaceutics 2022, 14, 948. https://doi.org/10.3390/pharmaceutics14050948
Tsyganov MM, Ibragimova MK, Gaptulbarova KA, Tsydenova IA, Dolgasheva DS, Garbukov EY, Frolova AA, Slonimskaya EM, Litvyakov NV. DNA Copy Number Aberrations and Expression of ABC Transporter Genes in Breast Tumour: Correlation with the Effect of Neoadjuvant Chemotherapy and Prognosis of the Disease. Pharmaceutics. 2022; 14(5):948. https://doi.org/10.3390/pharmaceutics14050948
Chicago/Turabian StyleTsyganov, Matvey M., Marina K. Ibragimova, Kseniya A. Gaptulbarova, Irina A. Tsydenova, Daria S. Dolgasheva, Evgeniy Y. Garbukov, Anastasia A. Frolova, Elena M. Slonimskaya, and Nikolai V. Litvyakov. 2022. "DNA Copy Number Aberrations and Expression of ABC Transporter Genes in Breast Tumour: Correlation with the Effect of Neoadjuvant Chemotherapy and Prognosis of the Disease" Pharmaceutics 14, no. 5: 948. https://doi.org/10.3390/pharmaceutics14050948
APA StyleTsyganov, M. M., Ibragimova, M. K., Gaptulbarova, K. A., Tsydenova, I. A., Dolgasheva, D. S., Garbukov, E. Y., Frolova, A. A., Slonimskaya, E. M., & Litvyakov, N. V. (2022). DNA Copy Number Aberrations and Expression of ABC Transporter Genes in Breast Tumour: Correlation with the Effect of Neoadjuvant Chemotherapy and Prognosis of the Disease. Pharmaceutics, 14(5), 948. https://doi.org/10.3390/pharmaceutics14050948

