Quality-by-Design-Based Development of a Voxelotor Self-Nanoemulsifying Drug-Delivery System with Improved Biopharmaceutical Attributes
Abstract
1. Introduction
2. Materials and Methods
2.1. Materials
2.2. Analytical Methods
2.2.1. HPLC–UV Method
2.2.2. LC–MS Method
2.3. Optimization of the SNEDSS Formulation
2.3.1. Equilibrium Solubility of Vox
2.3.2. Screening of Surfactants and Cosurfactants for Self-Emulsifying Ability
2.3.3. Development of SNEDDSs Employing “Qbd”
Ternary Phase Diagram
Preparation of SNEDDSs for the Experimental Design
Experimental Design
2.3.4. Evaluation of Dependent Variables
Emulsification Time (Y1)
Droplet Size and PDI (Y2 and Y3)
Transmittance Percentage (Y4)
2.3.5. Transmission Electron Microscopy (TEM)
2.4. In Vitro Characterization of Vox-Loaded SNEDDS
2.4.1. In Vitro Dissolution Studies
2.4.2. In Vitro Lipolysis
2.4.3. X-ray Powder Diffraction (PXRD)
2.4.4. Stability of the Vox-SNEDDS Formulation
2.5. In Vitro Cell Line Study
2.5.1. Cell Viability Assay
2.5.2. Cell Culture for Transport Studies
2.6. Pharmacokinetic Study
3. Results and Discussion
3.1. Excipient Screening
3.2. Ternary Phase Diagram
3.3. Statistical Analysis and Optimization of SNEDDS Formulations
3.3.1. Self-Emulsification Time (Y1)
3.3.2. Droplet Size (Y2) and PDI (Y3)
3.3.3. Transmittance Percentage
3.3.4. Optimization by Desirability Function
3.4. Transmission Electron Microscopy
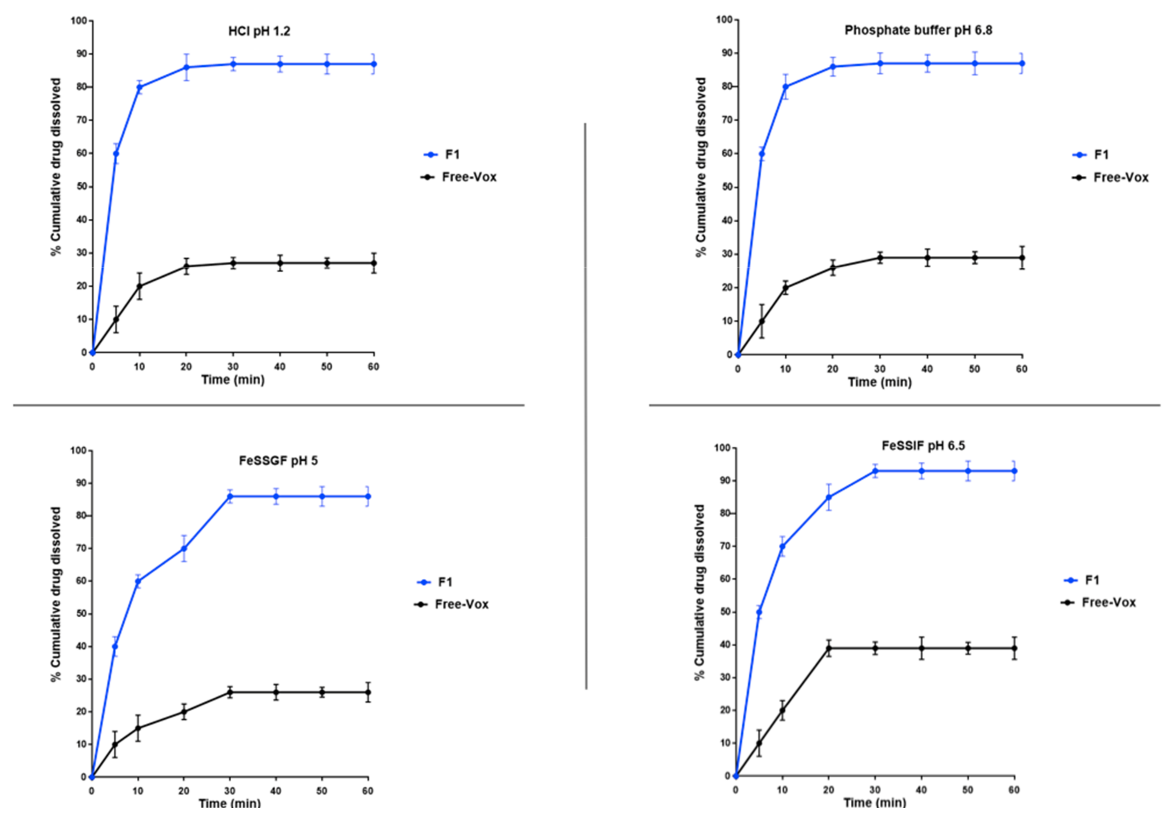
3.5. In Vitro Dissolution Studies
3.6. In Vitro Lipolysis and X-ray Powder Diffraction of the Precipitates
3.7. Stability of the Vox-SNEDDSs Formulation
3.8. The Transport of Vox across Caco-2 Cell Monolayers
3.9. Pharmacokinetics Study
4. Conclusions
Supplementary Materials
Author Contributions
Funding
Institutional Review Board Statement
Informed Consent Statement
Data Availability Statement
Acknowledgments
Conflicts of Interest
References
- Gardner, R.V. Sickle Cell Disease: Advances in Treatment. Ochsner J. 2018, 18, 377–389. [Google Scholar] [CrossRef]
- Telen, M.J.; Malik, P.; Vercellotti, G.M. Therapeutic Strategies for Sickle Cell Disease: Towards a Multi-Agent Approach. Nat. Rev. Drug Discov. 2019, 18, 139–158. [Google Scholar] [CrossRef]
- Oksenberg, D.; Dufu, K.; Patel, M.P.; Chuang, C.; Li, Z.; Xu, Q.; Silva-Garcia, A.; Zhou, C.; Hutchaleelaha, A.; Patskovska, L.; et al. GBT440 Increases Haemoglobin Oxygen Affinity, Reduces Sickling and Prolongs RBC Half-Life in a Murine Model of Sickle Cell Disease. Br. J. Haematol. 2016, 175, 141–153. [Google Scholar] [CrossRef]
- Dufu, K.; Oksenberg, D. GBT440 Reverses Sickling of Sickled Red Blood Cells under Hypoxic Conditions in Vitro. Hematol. Rep. 2018, 10, 1–9. [Google Scholar] [CrossRef]
- Hutchaleelaha, A.; Patel, M.; Washington, C.; Siu, V.; Allen, E.; Oksenberg, D.; Gretler, D.D.; Mant, T.; Lehrer-Graiwer, J. Pharmacokinetics and Pharmacodynamics of Voxelotor (GBT440) in Healthy Adults and Patients with Sickle Cell Disease. Br. J. Clin. Pharmacol. 2019, 85, 1290–1302. [Google Scholar] [CrossRef]
- US Food and Drug Administration Home Page. Available online: https://www.accessdata.fda.gov/drugsatfda_docs/label/2019/213137s000lbl.pdf (accessed on 10 December 2020).
- Qian, J.; Meng, H.; Xin, L.; Xia, M.; Shen, H.; Li, G.; Xie, Y. Self-Nanoemulsifying Drug Delivery Systems of Myricetin: Formulation Development, Characterization, and in Vitro and in Vivo Evaluation. Colloids Surf. B Biointerfaces 2017, 160, 101–109. [Google Scholar] [CrossRef]
- Siqueira Jørgensen, S.D.; Al Sawaf, M.; Graeser, K.; Mu, H.; Müllertz, A.; Rades, T. The Ability of Two in Vitro Lipolysis Models Reflecting the Human and Rat Gastro-Intestinal Conditions to Predict the in Vivo Performance of SNEDDS Dosing Regimens. Eur. J. Pharm. Biopharm. 2018, 124, 116–124. [Google Scholar] [CrossRef]
- Rehman, F.U.; Shah, K.U.; Shah, S.U.; Khan, I.U.; Khan, G.M.; Khan, A. From Nanoemulsions to Self-Nanoemulsions, with Recent Advances in Self-Nanoemulsifying Drug Delivery Systems (SNEDDS). Expert Opin. Drug Deliv. 2017, 14, 1325–1340. [Google Scholar] [CrossRef]
- Buya, A.B.; Beloqui, A.; Memvanga, P.B.; Préat, V. Self-Nano-Emulsifying Drug-Delivery Systems: From the Development to the Current Applications and Challenges in Oral Drug Delivery. Pharmaceutics. 2020, 12, 1194. [Google Scholar] [CrossRef]
- Christiansen, M.L.; Holm, R.; Kristensen, J.; Kreilgaard, M.; Jacobsen, J.; Abrahamsson, B.; Müllertz, A. Cinnarizine Food-Effects in Beagle Dogs Can Be Avoided by Administration in a Self Nano Emulsifying Drug Delivery System (SNEDDS). Eur. J. Pharm. Sci. 2014, 57, 164–172. [Google Scholar] [CrossRef]
- Perlman, M.E.; Murdande, S.B.; Gumkowski, M.J.; Shah, T.S.; Rodricks, C.M.; Thornton-Manning, J.; Freel, D.; Erhart, L.C. Development of a Self-Emulsifying Formulation That Reduces the Food Effect for Torcetrapib. Int. J. Pharm. 2008, 351, 15–22. [Google Scholar] [CrossRef]
- Woo, J.S.; Song, Y.K.; Hong, J.Y.; Lim, S.J.; Kim, C.K. Reduced Food-Effect and Enhanced Bioavailability of a Self-Microemulsifying Formulation of Itraconazole in Healthy Volunteers. Eur. J. Pharm. Sci. 2008, 33, 159–165. [Google Scholar] [CrossRef] [PubMed]
- Bahloul, B.; Lassoued, M.A.; Sfar, S. A Novel Approach for the Development and Optimization of Self Emulsifying Drug Delivery System Using HLB and Response Surface Methodology: Application to Fenofibrate Encapsulation. Int. J. Pharm. 2014, 466, 341–348. [Google Scholar] [CrossRef]
- Tran, T.; Rades, T.; Müllertz, A. Formulation of Self-Nanoemulsifying Drug Delivery Systems Containing Monoacyl Phosphatidylcholine and Kolliphor® RH40 Using Experimental Design. Asian J. Pharm. Sci. 2018, 13, 536–545. [Google Scholar] [CrossRef] [PubMed]
- Vohra, A.M.; Patel, C.V.; Kumar, P.; Thakkar, H.P. Development of Dual Drug Loaded Solid Self Microemulsifying Drug Delivery System: Exploring Interfacial Interactions Using QbD Coupled Risk Based Approach. J. Mol. Liq. 2017, 242, 1156–1168. [Google Scholar] [CrossRef]
- Patel, G.; Shelat, P.; Lalwani, A. Statistical Modeling, Optimization and Characterization of Solid Self-Nanoemulsifying Drug Delivery System of Lopinavir Using Design of Experiment. Drug Deliv. 2016, 23, 3027–3042. [Google Scholar] [CrossRef] [PubMed]
- El-Say, K.M.; Ahmed, T.A.; Ahmed, O.A.A.; Hosny, K.M.; Abd-Allah, F.I. Self-Nanoemulsifying Lyophilized Tablets for Flash Oral Transmucosal Delivery of Vitamin K: Development and Clinical Evaluation. J. Pharm. Sci. 2017, 106, 2447–2456. [Google Scholar] [CrossRef]
- Choi, D.H.; Kim, Y.S.; Kim, D.D.; Jeong, S.H. QbD Based Development and Evaluation of Topical Microemulsion-Based Hydrogel against Superficial Fungal Infections. J. Pharm. Investig. 2019, 49, 87–103. [Google Scholar] [CrossRef]
- Xue, X.; Cao, M.; Ren, L.; Qian, Y.; Chen, G. Preparation and Optimization of Rivaroxaban by Self-Nanoemulsifying Drug Delivery System (SNEDDS) for Enhanced Oral Bioavailability and No Food Effect. AAPS PharmSciTech 2018, 19, 1847–1859. [Google Scholar] [CrossRef]
- Tefas, L.R.; Sylvester, B.; Tomuta, I.; Sesarman, A.; Licarete, E.; Banciu, M.; Porfire, A. Development of Antiproliferative Long-Circulating Liposomes Co-Encapsulating Doxorubicin and Curcumin, through the Use of a Quality-by-Design Approach. Drug Des. Devel. Ther. 2017, 11, 1605–1621. [Google Scholar] [CrossRef]
- Beniwal, A.; Choudhary, H. Rosuvastatin Calcium-Loaded Solid Lipid Nanoparticles (SLN) Using Design of Experiment Approach for Oral Delivery. Int. J. Chem. Life Sci. 2017, 6, 2029. [Google Scholar] [CrossRef][Green Version]
- European Medicines Agency. EMA Guidelines; European Medicines Agency: Amsterdam, The Netherlands, 2012; Volume 44, pp. 1–23. [Google Scholar]
- Date, A.A.; Nagarsenker, M.S. Design and Evaluation of Self-Nanoemulsifying Drug Delivery Systems (SNEDDS) for Cefpodoxime Proxetil. Int. J. Pharm. 2007, 329, 166–172. [Google Scholar] [CrossRef] [PubMed]
- Alayoubi, A.; Aqueel, M.S.; Cruz, C.N.; Ashraf, M.; Zidan, A.S. Application of in Vitro Lipolysis for the Development of Oral Self-Emulsified Delivery System of Nimodipine. Int. J. Pharm. 2018, 553, 441–453. [Google Scholar] [CrossRef] [PubMed]
- Basalious, E.B.; Shawky, N.; Badr-Eldin, S.M. SNEDDS Containing Bioenhancers for Improvement of Dissolution and Oral Absorption of Lacidipine. I: Development and Optimization. Int. J. Pharm. 2010, 391, 203–211. [Google Scholar] [CrossRef]
- Shakeel, F.; Haq, N.; Alanazi, F.K.; Alsarra, I.A. Impact of Various Nonionic Surfactants on Self-Nanoemulsification Efficiency of Two Grades of Capryol (Capryol-90 and Capryol-PGMC). J. Mol. Liq. 2013, 182, 57–63. [Google Scholar] [CrossRef]
- Buya, A.B.; Ucakar, B.; Beloqui, A.; Memvanga, P.B.; Préat, V. Design and Evaluation of Self-Nanoemulsifying Drug Delivery Systems (SNEDDSs) for Senicapoc. Int. J. Pharm. 2020, 580, 119180. [Google Scholar] [CrossRef]
- Pharmacopoeia, J. European Pharmacopoeia, 7th ed.; Springer: Strasbourg, France, 2020. [Google Scholar]
- Jantratid, E.; Janssen, N.; Reppas, C.; Dressman, J.B. Dissolution media simulating conditions in the proximal human gastrointestinal tract: An update. Pharm. Res. 2008, 25, 1663–1676. [Google Scholar] [CrossRef] [PubMed]
- Crum, M.F.; Trevaskis, N.L.; Williams, H.D.; Pouton, C.W.; Porter, C.J.H. A New in Vitro Lipid Digestion In Vivo Absorption Model to Evaluate the Mechanisms of Drug Absorption from Lipid-Based Formulations. Pharm. Res. 2016, 33, 970–982. [Google Scholar] [CrossRef]
- Memvanga, P.B.; Coco, R.; Préat, V. An Oral Malaria Therapy: Curcumin-Loaded Lipid-Based Drug Delivery Systems Combined with β-Arteether. J. Control. Release 2013, 172, 904–913. [Google Scholar] [CrossRef]
- Mohsin, K.; Long, M.A.; Pouton, C.W. Design of lipid-based formulations for oral administration of poorly water-soluble drugs: Precipitation of drug after dispersion of formulations in aqueous solution. J. Pharm Sci. 2009, 98, 3582–3595. [Google Scholar] [CrossRef] [PubMed]
- Zhang, L.; Zhang, L.; Zhang, M.; Pang, Y.; Li, Z.; Zhao, A.; Feng, J. Self-Emulsifying Drug Delivery System and the Applications in Herbal Drugs. Drug Deliv. 2015, 22, 475–486. [Google Scholar] [CrossRef]
- Patel, J.; Dhingani, A.; Garala, K.; Raval, M.; Sheth, N. Quality by Design Approach for Oral Bioavailability Enhancement of Irbesartan by Self-Nanoemulsifying Tablets. Drug Deliv. 2014, 21, 412–435. [Google Scholar] [CrossRef]
- Gelderblom, H.; Verweij, J.; Nooter, K.; Sparreboom, A. Cremophor EL: The Drawbacks and Advantages of Vehicle Selection for Drug Formulation. Eur. J. Cancer 2001, 37, 1590–1598. [Google Scholar] [CrossRef]
- Croy, S.R.; Kwon, G.S. Polysorbate 80 and Cremophor EL Micelles Deaggregate and Solubilize Nystatin at the Core-Corona Interface. J. Pharm. Sci. 2005, 94, 2345–2354. [Google Scholar] [CrossRef] [PubMed]
- Zainol, S.; Basri, M.; Basri, H.B.; Shamsuddin, A.F.; Abdul-Gani, S.S.; Karjiban, R.A.; Abdul-Malek, E. Formulation Optimization of a Palm-Based Nanoemulsion System Containing Levodopa. Int. J. Mol. Sci. 2012, 13, 13049–13064. [Google Scholar] [CrossRef] [PubMed]
- Gursoy, R.N.; Benita, S. Self-Emulsifying Drug Delivery Systems (SEDDS) for Improved Oral Delivery of Lipophilic Drugs. Biomed. Pharmacother. 2004, 58, 173–182. [Google Scholar] [CrossRef] [PubMed]
- Zupančič, O.; Grieβinger, J.A.; Rohrer, J.; Pereira de Sousa, I.; Danninger, L.; Partenhauser, A.; Sündermann, N.E.; Laffleur, F.; Bernkop-Schnürch, A. Development, in Vitro and in Vivo Evaluation of a Self-Emulsifying Drug Delivery System (SEDDS) for Oral Enoxaparin Administration. Eur. J. Pharm. Biopharm. 2016, 109, 113–121. [Google Scholar] [CrossRef]
- Azeem, A.; Rizwan, M.; Ahmad, F.J.; Iqbal, Z.; Khar, R.K.; Aqil, M.; Talegaonkar, S. Nanoemulsion Components Screening and Selection: A Technical Note. AAPS PharmSciTech 2009, 10, 69–76. [Google Scholar] [CrossRef]
- Bali, V.; Ali, M.; Ali, J. Study of Surfactant Combinations and Development of a Novel Nanoemulsion for Minimising Variations in Bioavailability of Ezetimibe. Colloids Surf. B Biointerfaces 2010, 76, 410–420. [Google Scholar] [CrossRef]
- Rahman, M.A.; Iqbal, Z.; Hussain, A. Formulation Optimization and in Vitro Characterization of Sertraline Loaded Self-Nanoemulsifying Drug Delivery System (SNEDDS) for Oral Administration. J. Pharm. Investig. 2012, 42, 191–202. [Google Scholar] [CrossRef]
- Wang, L.; Dong, J.; Chen, J.; Eastoe, J.; Li, X. Design and Optimization of a New Self-Nanoemulsifying Drug Delivery System. J. Colloid Interface Sci. 2009, 330, 443–448. [Google Scholar] [CrossRef]
- Li, F.; Song, S.; Guo, Y.; Zhao, Q.; Zhang, X.; Pan, W.; Yang, X. Preparation and Pharmacokinetics Evaluation of Oral Self-Emulsifying System for Poorly Water-Soluble Drug Lornoxicam. Drug Deliv. 2015, 22, 487–498. [Google Scholar] [CrossRef] [PubMed]
- Kovarik, J.M.; Mueller, E.A.; van Bree, J.B.; Tetzloff, W.; Kutz, K. Reduced Inter- and Intraindividual Variability in Cyclosporine Pharmacokinetics from a Microemulsion Formulation. J. Pharm. Sci. 1994, 83, 444–446. [Google Scholar] [CrossRef]
- Nielsen, F.S.; Petersen, K.B.; Müllertz, A. Bioavailability of Probucol from Lipid and Surfactant Based Formulations in Minipigs: Influence of Droplet Size and Dietary State. Eur. J. Pharm. Biopharm. 2008, 69, 553–562. [Google Scholar] [CrossRef] [PubMed]
- Ujilestari, T.; Martien, R.; Ariyadi, B.; Dono, N.D. Self-Nanoemulsifying Drug Delivery System (SNEDDS) of Amomum Compactum Essential Oil: Design, Formulation, and Characterization. J. Appl. Pharm. Sci. 2018, 8, 14–21. [Google Scholar] [CrossRef]
- Dash, R.N.; Mohammed, H.; Humaira, T.; Ramesh, D. Design, Optimization and Evaluation of Glipizide Solid Self-Nanoemulsifying Drug Delivery for Enhanced Solubility and Dissolution. Saudi Pharm. J. 2015, 23, 528–540. [Google Scholar] [CrossRef]
- Van Speybroeck, M.; Mellaerts, R.; Mols, R.; Thi TDo Martens, J.A.; Van Humbeeck, J.; Augustijns, P. Enhanced absorption of the poorly soluble drug fenofibrate by tuning its release rate from ordered mesoporous silica. Eur. J. Pharm. Sci. 2010, 41, 623–630. [Google Scholar] [CrossRef]
- Thomas, N.; Holm, R.; Müllertz, A.; Rades, T. In Vitro and in Vivo Performance of Novel Supersaturated Self-Nanoemulsifying Drug Delivery Systems (super-SNEDDS). J. Control. Release 2012, 160, 25–32. [Google Scholar] [CrossRef]
- Khan, J.; Hawley, A.; Rades, T.; Boyd, B.J. In Situ Lipolysis and Synchrotron Small-Angle X-Ray Scattering for the Direct Determination of the Precipitation and Solid-State Form of a Poorly Water-Soluble Drug During Digestion of a Lipid-Based Formulation. J. Pharm. Sci. 2016, 105, 2631–2639. [Google Scholar] [CrossRef]
- Bibi, H.A.; Holm, R.; Bauer-Brandl, A. Simultaneous Lipolysis/permeation in Vitro Model, for the Estimation of Bioavailability of Lipid Based Drug Delivery Systems. Eur. J. Pharm. Biopharm. 2017, 117, 300–307. [Google Scholar] [CrossRef]
- Tung, N.T.; Tran, C.S.; Pham, T.M.H.; Nguyen, H.A.; Nguyen, T.L.; Chi, S.C.; Nguyen, D.D.; Bui, T.B.H. Development of Solidified Self-Microemulsifying Drug Delivery Systems Containing L-Tetrahydropalmatine: Design of Experiment Approach and Bioavailability Comparison. Int. J. Pharm. 2018, 537, 9–21. [Google Scholar] [CrossRef]
- Yin, Y.M.; De Cui, F.; Mu, C.F.; Choi, M.K.; Kim, J.S.; Chung, S.J.; Shim, C.K.; Kim, D.D. Docetaxel Microemulsion for Enhanced Oral Bioavailability: Preparation and in Vitro and in Vivo Evaluation. J. Control. Release 2009, 140, 86–94. [Google Scholar] [CrossRef] [PubMed]
- Metcalf, B.; Chuang, C.; Dufu, K.; Patel, M.P.; Silva-Garcia, A.; Johnson, C.; Lu, Q.; Partridge, J.R.; Patskovska, L.; Patskovsky, Y.; et al. Discovery of GBT440, an Orally Bioavailable R-State Stabilizer of Sickle Cell Hemoglobin. ACS Med. Chem. Lett. 2017, 8, 321–326. [Google Scholar] [CrossRef] [PubMed]










| Surfactant | % Transmittance |
|---|---|
| Labrasol ALF® | 60.5 ± 0.86 * |
| Tween® 80 | 95.1 ± 0.79 |
| Cremophor-EL® | 99.3 ± 0.69 |
| Oil (mg) | Surfactant (mg) | Cosurfactant (mg) | Y1 (s) | Y2 (nm) | Y3 | Y4 (%) | |
|---|---|---|---|---|---|---|---|
| 1 | 295 | 605 | 100 | 82 | 47 | 0.57 | 98 |
| 2 | 200 | 560 | 240 | 57 | 27 | 0.16 | 100 |
| 3 | 400 | 300 | 300 | 13 | 60 | 0.15 | 88 |
| 4 | 475 | 375 | 150 | 15 | 48 | 0.18 | 97 |
| 5 | 600 | 300 | 100 | 10 | 83 | 0.24 | 80 |
| 6 | 200 | 700 | 100 | 113 | 45 | 0.78 | 97 |
| 7 | 460 | 300 | 240 | 12 | 65 | 0.19 | 83 |
| 8 | 310 | 545 | 145 | 47 | 30 | 0.26 | 97 |
| 9 | 520 | 300 | 180 | 9.6 | 69 | 0.22 | 86 |
| 10 | 280 | 420 | 300 | 65 | 39 | 0.04 | 97 |
| 11 | 480 | 420 | 100 | 46 | 35 | 0.08 | 99 |
| 12 | 200 | 640 | 160 | 11 | 32 | 0.40 | 99 |
| 13 | 400 | 300 | 300 | 11 | 60 | 0.17 | 92 |
| 14 | 200 | 500 | 300 | 94 | 28 | 0.05 | 100 |
| 15 | 330 | 430 | 240 | 54 | 32 | 0.03 | 99 |
| 16 | 600 | 300 | 100 | 10 | 86 | 0.24 | 82 |
| Reponses | Model | R-Square | Adjusted R-Square | Root Mean Square Error | Prob ≥ F |
|---|---|---|---|---|---|
| Y1 | Quadratic | 0.945 | 0.917 | 11.76 | 0.0036 * |
| Y2 | Cubic | 0.985 | 0.964 | 3.614 | 0.0001 * |
| Y3 | Quadratic | 0.907 | 0.861 | 0.074 | 0.0001 * |
| Y4 | Cubic | 0.985 | 0.963 | 1.67 | 0.0018 * |
| Term | Estimate | Std Error | DFDen | t Ratio | Prob>|t| | |
|---|---|---|---|---|---|---|
| Y1 | (X1 − 0.2)/0.4 | 11.92 | 8.82 | 9.973 | 1.35 | 0.2065 |
| (X2 − 0.3)/0.4 | 114.22 | 11.15 | 9.942 | 10.24 | <0.0001 * | |
| (X3 − 0.1)/0.4 | 144.92 | 65.71 | 7.93 | 2.21 | 0.0588 | |
| X1 × X2 | −26.484 | 45.33 | 7.804 | −0.58 | 0.5756 | |
| X1 × X3 | −230.63 | 123.98 | 7.791 | −1.86 | 0.1009 | |
| X2 × X3 | −189.74 | 120.94 | 7.461 | −1.57 | 0.1580 | |
| Y2 | (X1 − 0.2)/0.4 | 84.62 | 2.87 | 5.211 | 29.44 | <0.0001 * |
| (X2 − 0.3)/0.4 | 46.44 | 4.00 | 4.867 | 11.61 | <0.0001 * | |
| (X3 − 0.1)/0.4 | 71.56 | 122.67 | 3.808 | 0.58 | 0.5924 | |
| X1 × X2 | −125.70 | 19.65 | 4.75 | −6.40 | 0.0017* | |
| X1 × X3 | −70.86 | 243.76 | 3.812 | −0.29 | 0.7864 | |
| X2 × X3 | −117.35 | 241.13 | 3.79 | −0.49 | 0.6533 | |
| X1 × X2 × X3 | 23.12 | 336.44 | 3.837 | 0.07 | 0.9486 | |
| X1× X2 × (X1 − X2) | −114.32 | 29.27 | 3.975 | −3.91 | 0.0177 * | |
| X1 × X3 × (X1 − X3) | 6.80 | 164.65 | 3.903 | 0.04 | 0.9691 | |
| X2 × X3 × (X2 − X3) | −46.16 | 160.425 | 3.887 | −0.29 | 0.7882 | |
| Y3 | (X1 − 0.2)/0.4 | 0.139 | 0.052 | 9.759 | 2.65 | 0.0248 * |
| (X2 − 0.3)/0.4 | 0.792 | 0.067 | 9.948 | 11.75 | <0.0001 * | |
| (X3 − 0.1)/0.4 | 0.084 | 0.421 | 8.384 | 0.20 | 0.8464 | |
| X1 × X2 | −0.844 | 0.3004 | 8.609 | −2.81 | 0.0213* | |
| X1 × X3 | 0.272 | 0.794 | 8.16 | 0.34 | 0.7407 | |
| X2 × X3 | −1.735 | 0.776 | 7.364 | −2.24 | 0.0586 | |
| Y4 | (X1 − 0.2)/0.4 | 80.88 | 1.46 | 5.673 | 55.33 | <0.0001 * |
| (X2 − 0.3)/0.4 | 97.97 | 1.93 | 4.726 | 50.81 | <0.0001 * | |
| (X3 − 0.1)/0.4 | 151.52 | 55.02 | 3.025 | 2.75 | 0.0698 | |
| X1 × X2 | 43.26 | 8.60 | 3.256 | 5.03 | 0.0124* | |
| X1 × X3 | −107.66 | 109.18 | 3.023 | −0.99 | 0.3963 | |
| X2 × X3 | −102.28 | 108.09 | 3.018 | −0.95 | 0.4135 | |
| X1 × X2 × X3 | 161.85 | 149.42 | 3.018 | 1.08 | 0.3576 | |
| X1 × X2 × (X1 − X2) | 49.33 | 13.03 | 3.065 | 3.79 | 0.0311 * | |
| X1 × X3 × (X1 − X3) | 74.99 | 73.51 | 3.047 | 1.02 | 0.3817 | |
| X2 × X3 × (X2 − X3) | 77.48 | 71.94 | 3.049 | 1.08 | 0.3592 |
| Response | Predicted Value | Experimental Value | Bias (%) |
|---|---|---|---|
| Y1, emulsification time (s) | 33.1 | 32.4 ± 0.4 | 2.1 |
| Y2, droplet size (nm) | 33.8 | 34.9 ± 1.2 | −3.2 |
| Y3, PDI | 0.210 | 0.20 ± 0.0 | 2.9 |
| Y4, transmittance (%) | 99.4 | 99.2 ± 0.6 | 0.2 |
| Zeta potential (mV) | -- | −8.4 ± 1.3 | -- |
| Parameters | Suspension | SNEDDS | IV |
|---|---|---|---|
| Dose (mg/kg) | 7.2 | 7.2 | 1.6 |
| T1/2 (h) | 50.5 | 32.6 | 24.6 |
| Tmax (h) | 2 | 0.5 | -- |
| Cmax (ng/mL) | 873.8 ± 294.4 | 1993.9 ± 892.5 ** | 3984.5 ± 239.5 |
| AUC0–72 (h.ng/mL) | 22,529.7 ± 146.1 | 39,468.9 ± 580.2 ** | 19,748.0 ± 420 |
| F (%) | 25.4 | 44.4 | -- |
Publisher’s Note: MDPI stays neutral with regard to jurisdictional claims in published maps and institutional affiliations. |
© 2021 by the authors. Licensee MDPI, Basel, Switzerland. This article is an open access article distributed under the terms and conditions of the Creative Commons Attribution (CC BY) license (https://creativecommons.org/licenses/by/4.0/).
Share and Cite
Buya, A.B.; Terrasi, R.; Mbinze, J.K.; Muccioli, G.G.; Beloqui, A.; Memvanga, P.B.; Préat, V. Quality-by-Design-Based Development of a Voxelotor Self-Nanoemulsifying Drug-Delivery System with Improved Biopharmaceutical Attributes. Pharmaceutics 2021, 13, 1388. https://doi.org/10.3390/pharmaceutics13091388
Buya AB, Terrasi R, Mbinze JK, Muccioli GG, Beloqui A, Memvanga PB, Préat V. Quality-by-Design-Based Development of a Voxelotor Self-Nanoemulsifying Drug-Delivery System with Improved Biopharmaceutical Attributes. Pharmaceutics. 2021; 13(9):1388. https://doi.org/10.3390/pharmaceutics13091388
Chicago/Turabian StyleBuya, Aristote B., Romano Terrasi, Jérémie K. Mbinze, Giulio G. Muccioli, Ana Beloqui, Patrick B. Memvanga, and Véronique Préat. 2021. "Quality-by-Design-Based Development of a Voxelotor Self-Nanoemulsifying Drug-Delivery System with Improved Biopharmaceutical Attributes" Pharmaceutics 13, no. 9: 1388. https://doi.org/10.3390/pharmaceutics13091388
APA StyleBuya, A. B., Terrasi, R., Mbinze, J. K., Muccioli, G. G., Beloqui, A., Memvanga, P. B., & Préat, V. (2021). Quality-by-Design-Based Development of a Voxelotor Self-Nanoemulsifying Drug-Delivery System with Improved Biopharmaceutical Attributes. Pharmaceutics, 13(9), 1388. https://doi.org/10.3390/pharmaceutics13091388

