Mild Hyperthermia Responsive Liposomes for Enhanced In Vitro and In Vivo Anticancer Efficacy of Doxorubicin against Hepatocellular Carcinoma
Abstract
:1. Introduction
2. Materials and Methods
2.1. Materials
2.2. Preparation of Dox-Loaded Thermoresponsive Liposomes
2.3. Analysis of Vesicle Size, PDI, and Zeta Potential
2.4. Entrapped Drug Contents (%)
2.5. Morphological Analysis
2.6. Thermal Analysis
2.7. Physicochemical Stability and Compatibility Analysis
2.8. In Vitro Drug Release Analysis
2.9. Statistical Analysis
2.10. Mathematical Modeling
2.11. In Vitro Cytotoxicity and Cell Uptake Studies
2.11.1. Cell Culture
2.11.2. In Vitro Cytotoxicity Study
2.11.3. Fluorescence Microscopy Based Cell Uptake Study
2.12. In Vivo Cancer Induction and Healing Study
3. Results and Discussion
3.1. Preparation of Dox-Loaded Thermoresponsive Liposomes
3.2. Analysis of Vesicle Size, PDI, and Zeta Potential
3.3. Entrapped Drug Contents (%)
3.4. Morphological Analysis
3.5. Thermal Analysis
3.6. Physicochemical Stability and Compatibility Analysis
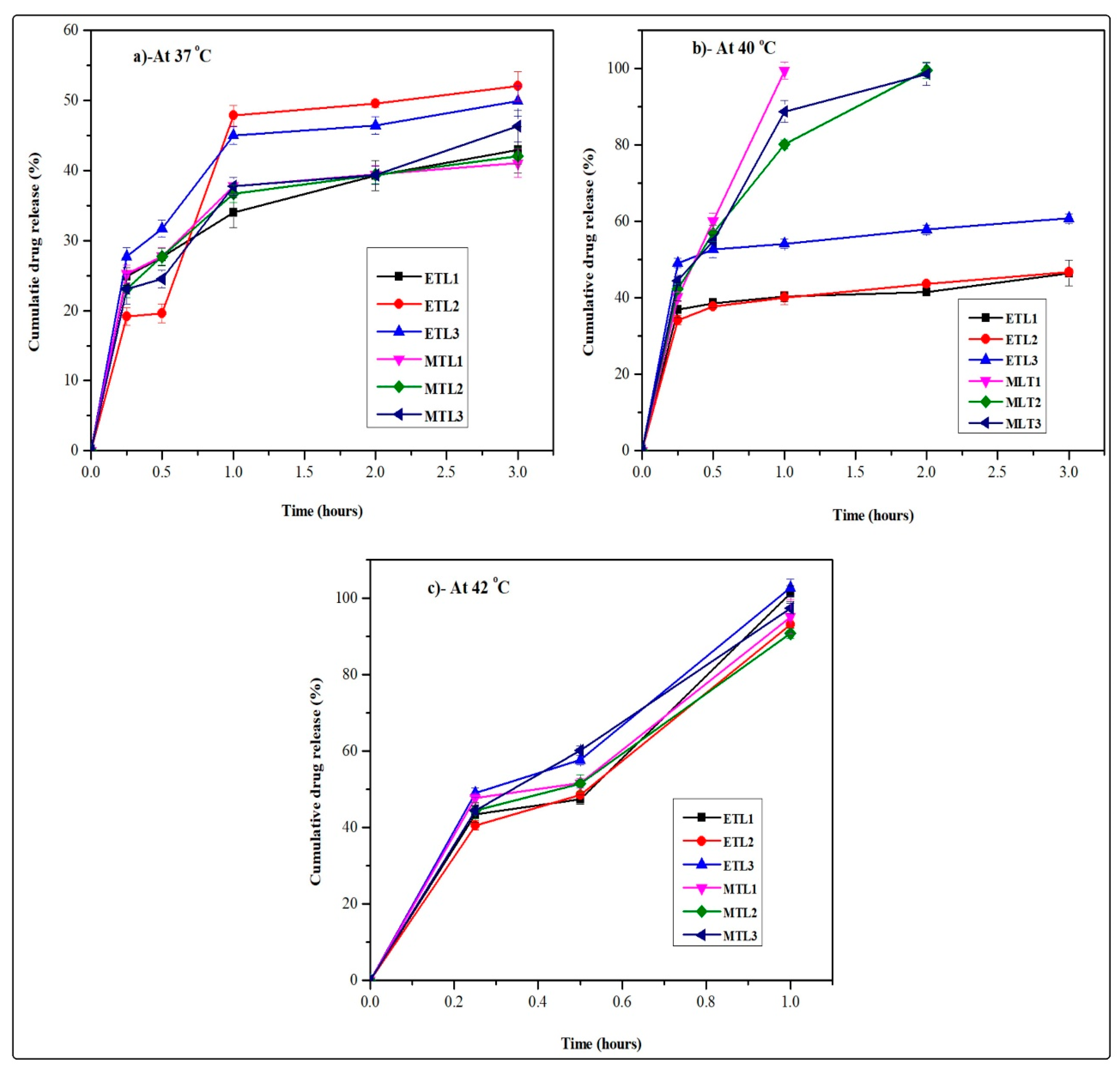
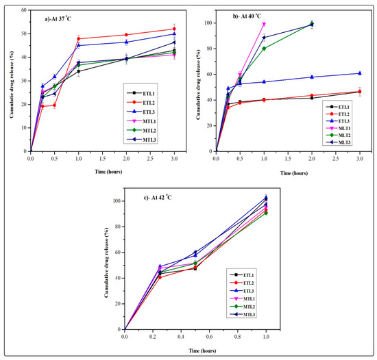
3.7. In Vitro Drug Release Analysis
3.8. Mathematical Modeling
3.9. In Vitro Cytotoxicity Study
3.10. Fluorescence Microscopy Based Cell Uptake Studies
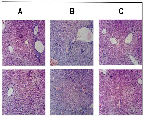
3.11. In Vivo Cancer Induction and Healing Study
4. Conclusions
Supplementary Materials
Author Contributions
Funding
Institutional Review Board Statement
Informed Consent Statement
Data Availability Statement
Acknowledgments
Conflicts of Interest
References
- Horsman, M.R.; Vaupel, P. Pathophysiological basis for the formation of the tumor microenvironment. Front. Oncol. 2016, 6, 66. [Google Scholar] [CrossRef] [Green Version]
- Tsoulfas, G. Hepatocellular carcinoma and metabolic syndrome: The times are changing and so should we. World J. Gastroenterol. 2019, 25, 3842. [Google Scholar] [CrossRef] [PubMed]
- Sayiner, M.; Golabi, P.; Younossi, Z.M. Disease burden of hepatocellular carcinoma: A global perspective. Dig. Dis. Sci. 2019, 64, 910–917. [Google Scholar] [CrossRef] [PubMed]
- Sosa, J.A.; Bowman, H.M.; Tielsch, J.M.; Powe, N.R.; Gordon, T.A.; Udelsman, R. The importance of surgeon experience for clinical and economic outcomes from thyroidectomy. Ann. Surg. 1998, 228, 320. [Google Scholar] [CrossRef] [PubMed]
- Singhal, S.; Nie, S.; Wang, M.D. Nanotechnology applications in surgical oncology. Ann. Rev. Med. 2010, 61, 359–373. [Google Scholar] [CrossRef] [PubMed] [Green Version]
- Nie, S.; Xing, Y.; Kim, G.J.; Simons, J.W. Nanotechnology applications in cancer. Ann. Rev. Biomed. Eng. 2007, 9, 257–288. [Google Scholar] [CrossRef] [PubMed] [Green Version]
- Misra, R.; Acharya, S.; Sahoo, S.K. Cancer nanotechnology: Application of nanotechnology in cancer therapy. Drug Discov. Today 2010, 15, 842–850. [Google Scholar] [CrossRef] [PubMed]
- Deamer, D.W. From “Banghasomes” to liposomes: A memoir of Alec Bangham, 1921–2010. FASEB J. 2010, 24, 1308–1310. [Google Scholar] [CrossRef] [PubMed]
- Chellappan, D.K.; Ng, Z.Y.; Wong, J.-Y.; Hsu, A.; Wark, P.; Hansbro, N.; Taylor, J.; Panneerselvam, J.; Madheswaran, T.; Gupta, G. Immunological axis of curcumin-loaded vesicular drug delivery systems. Future Med. Chem. 2018, 10, 839–844. [Google Scholar] [CrossRef] [PubMed]
- Tsermentseli, S.K.; Kontogiannopoulos, K.N.; Papageorgiou, V.P.; Assimopoulou, A.N. Comparative study of PEGylated and conventional liposomes as carriers for shikonin. Fluids 2018, 3, 36. [Google Scholar] [CrossRef] [Green Version]
- Tagami, T.; Foltz, W.D.; Ernsting, M.J.; Lee, C.M.; Tannock, I.F.; May, J.P.; Li, S.-D. MRI monitoring of intratumoral drug delivery and prediction of the therapeutic effect with a multifunctional thermosensitive liposome. Biomaterials 2011, 32, 6570–6578. [Google Scholar] [CrossRef]
- Rahim, M.A.; Jan, N.; Khan, S.; Shah, H.; Madni, A.; Khan, A.; Jabar, A.; Khan, S.; Elhissi, A.; Hussain, Z. Recent Advancements in Stimuli Responsive Drug Delivery Platforms for Active and Passive Cancer Targeting. Cancers 2021, 13, 670. [Google Scholar] [CrossRef]
- Pattni, B.S.; Chupin, V.V.; Torchilin, V.P. New developments in liposomal drug delivery. Chem. Rev. 2015, 115, 10938–10966. [Google Scholar] [CrossRef]
- Cagel, M.; Grotz, E.; Bernabeu, E.; Moretton, M.A.; Chiappetta, D.A. Doxorubicin: Nanotechnological overviews from bench to bedside. Drug Discov. Today 2017, 22, 270–281. [Google Scholar] [CrossRef] [PubMed]
- Aminsharifi, A.; Brousell, S.C.; Chang, A.; León, J.; Inman, B.A. Heat-targeted drug delivery: A promising approach for organsparing treatment of bladder cancer. THERMODOX®. Arch. Espan. Urol. 2018, 71, 447–452. [Google Scholar] [PubMed]
- Lyon, P.C.; Griffiths, L.F.; Lee, J.; Chung, D.; Carlisle, R.; Wu, F.; Middleton, M.R.; Gleeson, F.V.; Coussios, C.C. Clinical trial protocol for TARDOX: A phase I study to investigate the feasibility of targeted release of lyso-thermosensitive liposomal doxorubicin (ThermoDox®) using focused ultrasound in patients with liver tumours. J. Ther. Ultrasound 2017, 5, 28. [Google Scholar] [CrossRef] [PubMed] [Green Version]
- Lu, T.; Lokerse, W.J.M.; Seynhaeve, A.L.B.; Koning, G.A.; ten Hagen, T.L.M. Formulation and optimization of idarubicin thermosensitive liposomes provides ultrafast triggered release at mild hyperthermia and improves tumor response. J. Control. Rel. 2015, 220, 425–437. [Google Scholar] [CrossRef] [PubMed]
- Kim, M.S.; Lee, D.-W.; Park, K.; Park, S.-J.; Choi, E.-J.; Park, E.S.; Kim, H.R. Temperature-triggered tumor-specific delivery of anticancer agents by cRGD-conjugated thermosensitive liposomes. Coll. Surf. B Bioint. 2014, 116, 17–25. [Google Scholar] [CrossRef] [PubMed]
- Abraham, S.A.; Waterhouse, D.N.; Mayer, L.D.; Cullis, P.R.; Madden, T.D.; Bally, M.B. The liposomal formulation of doxorubicin. In Methods in Enzymology; Elsevier: Boston, MA, USA, 2005; Volume 391, pp. 71–97. [Google Scholar]
- de Matos, M.B.C.; Beztsinna, N.; Heyder, C.; Fens, M.H.A.M.; Mastrobattista, E.; Schiffelers, R.M.; Leneweit, G.; Kok, R.J. Thermosensitive liposomes for triggered release of cytotoxic proteins. Eur. J. Pharm. Biopharm. 2018, 132, 211–221. [Google Scholar] [CrossRef]
- Liang, Y.; Fu, X.; Du, C.; Xia, H.; Lai, Y.; Sun, Y. Enzyme/pH-triggered anticancer drug delivery of chondroitin sulfate modified doxorubicin nanocrystal. Artif. Cells Nanomed. Biotech. 2020, 48, 1114–1124. [Google Scholar] [CrossRef] [PubMed]
- Sadeghi, N.; Kok, R.J.; Bos, C.; Zandvliet, M.; Geerts, W.J.; Storm, G.; Moonen, C.T.; Lammers, T.; Deckers, R. Hyperthermia-triggered release of hypoxic cell radiosensitizers from temperature-sensitive liposomes improves radiotherapy efficacy in vitro. Nanotechnology 2019, 30, 264001. [Google Scholar] [CrossRef] [PubMed]
- Li, S.; Yin, G.; Pu, X.; Huang, Z.; Liao, X.; Chen, X. A novel tumor-targeted thermosensitive liposomal cerasome used for thermally controlled drug release. Int. J. Pharm. 2019, 570, 118660. [Google Scholar] [CrossRef] [PubMed]
- Gao, W.; Li, L.; Zhang, X.; Luo, L.; He, Y.; Cong, C.; Gao, D. Nanomagnetic liposome-encapsulated parthenolide and indocyanine green for targeting and chemo-photothermal antitumor therapy. Nanomedicine 2020, 15, 871–890. [Google Scholar] [CrossRef] [PubMed]
- Mady, M.M.; Shafaa, M.W.; Abbase, E.R.; Fahium, A.H. Interaction of Doxorubicin and Dipalmitoylphosphatidylcholine Liposomes. Cell Biochem. Biophys. 2012, 62, 481–486. [Google Scholar] [CrossRef] [PubMed]
- Needham, D.; Anyarambhatla, G.; Kong, G.; Dewhirst, M.W. A new temperature-sensitive liposome for use with mild hyperthermia: Characterization and testing in a human tumor xenograft model. Cancer Res. 2000, 60, 1197–1201. [Google Scholar] [PubMed]
- Shen, J.; Burgess, D.J. In vitro dissolution testing strategies for nanoparticulate drug delivery systems: Recent developments and challenges. Drug Deliv. Transl. Res. 2013, 3, 409–415. [Google Scholar] [CrossRef] [PubMed] [Green Version]
- Lu, T.; ten Hagen, T.L. A novel kinetic model to describe the ultra-fast triggered release of thermosensitive liposomal drug delivery systems. J. Control. Rel. 2020, 324, 669–678. [Google Scholar] [CrossRef]
- Christensen, E.; Henriksen, J.R.; Jørgensen, J.T.; Amitay, Y.; Shmeeda, H.; Gabizon, A.A.; Kjær, A.; Andresen, T.L.; Hansen, A.E. Folate receptor targeting of radiolabeled liposomes reduces intratumoral liposome accumulation in human KB carcinoma xenografts. Int. J. Nanomed. 2018, 13, 7647. [Google Scholar] [CrossRef] [Green Version]
- Jain, A.; Jain, S.K. In vitro release kinetics model fitting of liposomes: An insight. Chem. Phys. Lipids 2016, 201, 28–40. [Google Scholar] [CrossRef] [PubMed]
- Fatimah, A.A.; Omaima, M. Histopathological and biochemical studies in male Wistar albino rats injected with diethylnitrosamine and treated with Camel’s milk and Curcuma longa. Egypt. J. Chem. Environ. Health 2016, 2, 548–565. [Google Scholar]
- Abo Mansour, H.; El-Batsh, M.; Badawy, N.; Mehanna, E.; Mesbah, N.; Abo-Elmatty, D. Effect of co-treatment with doxorubicin and verapamil loaded into chitosan nanoparticles on diethylnitrosamine-induced hepatocellular carcinoma in mice. Human Exp. Toxicol. 2020, 39, 1528–1544. [Google Scholar] [CrossRef] [PubMed]
- Pittala, S.; Krelin, Y.; Shoshan-Barmatz, V. Targeting liver cancer and associated pathologies in mice with a mitochondrial VDAC1-based peptide. Neoplasia 2018, 20, 594–609. [Google Scholar] [CrossRef] [PubMed]
- Madni, A.; Rahim, M.A.; Mahmood, M.A.; Jabar, A.; Rehman, M.; Shah, H.; Khan, A.; Tahir, N.; Shah, A. Enhancement of dissolution and skin permeability of pentazocine by proniosomes and niosomal gel. AAPS Pharm. Sci. Tech. 2018, 19, 1544–1553. [Google Scholar] [CrossRef] [PubMed]
- Khan, S.; Madni, A.; Rahim, M.A.; Shah, H.; Jabar, A.; Khan, M.M.; Khan, A.; Jan, N.; Mahmood, M.A. Enhanced in vitro release and Permeability of Glibenclamide by Proliposomes: Development, Characterization and Histopathological Evaluation. J. Drug Deliv. Sci. Technol. 2021, 10, 102450. [Google Scholar] [CrossRef]
- Kneidl, B.; Peller, M.; Winter, G.; Lindner, L.H.; Hossann, M. Thermosensitive liposomal drug delivery systems: State of the art review. Int. J. Nanomed. 2014, 9, 4387. [Google Scholar]
- Dorjsuren, B.; Chaurasiya, B.; Ye, Z.; Liu, Y.; Li, W.; Wang, C.; Shi, D.; Evans, C.E.; Webster, T.J.; Shen, Y. Cetuximab-Coated Thermo-Sensitive Liposomes Loaded with Magnetic Nanoparticles and Doxorubicin for Targeted EGFR-Expressing Breast Cancer Combined Therapy. Int. J. Nanomed. 2020, 15, 8201–8215. [Google Scholar] [CrossRef] [PubMed]
- Hsu, H.-L.; Chen, J.-P. Preparation of thermosensitive magnetic liposome encapsulated recombinant tissue plasminogen activator for targeted thrombolysis. J. Mag. Mag. Mat. 2017, 427, 188–194. [Google Scholar] [CrossRef]
- Ong, S.G.M.; Chitneni, M.; Lee, K.S.; Ming, L.C.; Yuen, K.H. Evaluation of extrusion technique for nanosizing liposomes. Pharmaceutics 2016, 8, 36. [Google Scholar] [CrossRef]
- Hossann, M.; Wang, T.; Wiggenhorn, M.; Schmidt, R.; Zengerle, A.; Winter, G.; Eibl, H.; Peller, M.; Reiser, M.; Issels, R.D.; et al. Size of thermosensitive liposomes influences content release. J. Control. Rel. 2010, 147, 436–443. [Google Scholar] [CrossRef]
- Bhatia, N.M.; Gaikwad, V.L.; Mane, R.V.; Dhavale, R.P.; Bhatia, M.S. Quantitative structure–property relationship modeling for the prediction of hydrophilic drug entrapment in liposomes for lung targeted delivery. New J. Chem. 2018, 42, 4384–4393. [Google Scholar] [CrossRef]
- Chiu, G.N.C.; Abraham, S.A.; Ickenstein, L.M.; Ng, R.; Karlsson, G.; Edwards, K.; Wasan, E.K.; Bally, M.B. Encapsulation of doxorubicin into thermosensitive liposomes via complexation with the transition metal manganese. J. Control. Rel. 2005, 104, 271–288. [Google Scholar] [CrossRef]
- Shi, D.; Mi, G.; Shen, Y.; Webster, T.J. Glioma-targeted dual functionalized thermosensitive Ferri-liposomes for drug delivery through an in vitro blood–brain barrier. Nanoscale 2019, 11, 15057–15071. [Google Scholar] [CrossRef]
- Almeida, J.A.; Morán, M.C.; Infante, M.R.; Pais, A. Interaction of arginine-based cationic surfactants with lipid membranes. An experimental and molecular simulation study. ARKIVOC 2010, 34, 34–40. [Google Scholar]
- Tahir, N.; Madni, A.; Kashif, P.M.; Rehman, M.; Raza, A.; Khan, M.I.; Rahim, M.A.; Jabar, A. Formulation and compatibility assessment of PLGA/lecithin based lipid-polymer hybrid nanoparticles containing doxorubicin. Acta Pol. Pharm-Drug Res. 2017, 74, 1563–1572. [Google Scholar]
- Danmaigoro, A.; Selvarajah, G.T.; Noor, M.H.M.; Mahmud, R.; Zakaria, M.; Bakar, Z.A. Development of cockleshell (Anadara granosa) derived CaCO3 nanoparticle for doxorubicin delivery. J. Comput. Theor. Nanosci. 2017, 14, 5074–5086. [Google Scholar] [CrossRef]
- Ghosh, S.; Lalani, R.; Maiti, K.; Banerjee, S.; Patel, V.; Bhowmick, S.; Misra, A. Optimization and efficacy study of synergistic vincristine coloaded liposomal doxorubicin against breast and lung cancer. Nanomedicine 2020, 15, 2585–2607. [Google Scholar] [CrossRef] [PubMed]
- Huang, X.; Li, M.; Bruni, R.; Messa, P.; Cellesi, F. The effect of thermosensitive liposomal formulations on loading and release of high molecular weight biomolecules. Int. J. Pharm. 2017, 524, 279–289. [Google Scholar] [CrossRef]
- Affram, K.; Udofot, O.; Singh, M.; Krishnan, S.; Reams, R.; Rosenberg, J.; Agyare, E. Smart thermosensitive liposomes for effective solid tumor therapy and in vivo imaging. PLoS ONE 2017, 12, e0185116. [Google Scholar] [CrossRef]
- Ma, M.; Lei, M.; Tan, X.; Tan, F.; Li, N. Theranostic liposomes containing conjugated polymer dots and doxorubicin for bio-imaging and targeted therapeutic delivery. RSC Adv. 2016, 6, 1945–1957. [Google Scholar] [CrossRef]
- Huff, T.B.; Tong, L.; Zhao, Y.; Hansen, M.N.; Cheng, J.-X.; Wei, A. Hyperthermic effects of gold nanorods on tumor cells. Future Med. 2007, 2. [Google Scholar] [CrossRef] [Green Version]
- Dar, K.; Ali, S.; Ejaz, M.; Nasreen, S.; Ashraf, N.; Gillani, S.; Shafi, N.; Safeer, S.; Khan, M.; Andleeb, S. In vivo induction of hepatocellular carcinoma by diethylnitrosoamine and pharmacological intervention in Balb C mice using Bergenia ciliata extracts. Braz. J. Biol. 2019, 79, 629–638. [Google Scholar] [CrossRef] [PubMed]







| Formulation Code | DPPC:DSPE-(PEG)2k:L-PC:Chol (µmol%) | EDC (%) | Zeta Size (nm) | Zeta Potential (mV) | PDI | ||||
|---|---|---|---|---|---|---|---|---|---|
| CH | AL | NE | E | NE | E | NE | E | ||
| ETL1 | 190:8:0:2 | 22.56 ± 3.55 | 28.71 ± 2.01 | 150.40 ± 2.30 | 118.20 ±2.81 | −13.08 ± 0.12 | −13.27 ± 0.04 | 0.41 ± 0.01 | 0.24 ± 0.02 |
| ETL2 | 184:12:0:4 | 28.80 ± 2.78 | 44.22 ± 1.70 | 216.03 ± 5.35 | 151.70 ±6.45 | −22.30 ± 0.14 | −22.33 ± 0.20 | 0.64 ± 0.05 | 0.33 ± 0.02 |
| ETL3 | 178:16:0:6 | 38.33 ± 2.47 | 51.26 ± 1.85 | 500.83 ± 9.95 | 187.13 ±4.15 | −22.52 ± 0.14 | −22.63 ± 0.31 | 0.61 ± 0.04 | 0.43 ± 0.01 |
| MTL1 | 182:8:8:2 | 52.06 ± 3.24 | 79.24 ± 2.16 | 318.50 ± 2.90 | 144.63 ±2.43 | −28.22 ± 0.39 | −29.32 ± 0.41 | 0.28 ± 0.01 | 0.21 ± 0.02 |
| MTL2 | 176:8:12:4 | 44.22 ± 2.47 | 58.57 ± 1.23 | 342.02 ± 3.14 | 168.01 ±3.08 | −29.38 ± 0.41 | −30.60 ± 0.51 | 0.45 ± 0.03 | 0.29 ± 0.01 |
| MTL3 | 170:8:16:6 | 43.50 ± 1.85 | 61.77 ± 2.16 | 345.43 ± 3.02 | 172.76 ±3.15 | −31.69 ± 0.13 | −32.34 ± 0.15 | 0.80 ± 0.04 | 0.24 ± 0.01 |
| Kinetic Modeling Associated with In Vitro Drug Release at 37 °C | |||||||||
| Sample Code | Zero Order | First Order | Higuchi Model | Korsmeyer–Peppas Model | |||||
| R2 | K0 | R2 | K1 | R2 | KH | R2 | KKP | n | |
| ETL1-E(AL) | 0.0141 | 18.26 | 0.2820 | 0.27 | 0.7862 | 29.01 | 0.9921 | 33.47 | 0.23 |
| ETL2-E(AL) | 0.4979 | 22.19 | 0.7255 | 0.36 | 0.8844 | 34.29 | 0.9040 | 36.36 | 0.40 |
| ETL3-E(AL) | 0.0044 | 21.69 | 0.3598 | 0.36 | 0.7794 | 34.58 | 0.9777 | 39.85 | 0.23 |
| MTL1-E(AL) | 0.1406 | 18.06 | 0.1561 | 0.27 | 0.7160 | 28.97 | 0.9832 | 33.89 | 0.20 |
| MTL2-E(AL) | 0.0233 | 18.25 | 0.2981 | 0.27 | 0.7924 | 29.05 | 0.9873 | 33.46 | 0.23 |
| MTL3-E(AL) | 0.2676 | 19.19 | 0.4930 | 0.29 | 0.8704 | 31.00 | 0.9779 | 32.82 | 0.30 |
| Kinetic Modeling Associated with In Vitro Drug Release at 40 °C | |||||||||
| Sample Code | Zero Order | First Order | Higuchi Model | Korsmeyer–Peppas Model | |||||
| R2 | K0 | R2 | K1 | R2 | KH | R2 | KKP | n | |
| ETL1-E(AL) | 0.6964 | 20.36 | 0.2931 | 0.33 | 0.4082 | 33.38 | 0.9930 | 40.86 | 0.08 |
| ETL2-E(AL) | 0.5091 | 20.60 | 0.1081 | 0.34 | 0.5310 | 33.54 | 0.9988 | 40.49 | 0.12 |
| ETL3-E(AL) | 0.7285 | 27.32 | 0.0287 | 0.67 | 0.3997 | 44.92 | 0.9974 | 55.05 | 0.08 |
| MTL1-E(AL) | 0.9479 | 107.48 | 0.9666 | 2.20 | 0.9763 | 93.54 | 0.9989 | 100.15 | 0.38 |
| MTL2-E(AL) | 0.8078 | 75.46 | 0.9924 | 1.86 | 0.9984 | 81.14 | 0.9988 | 81.12 | 0.44 |
| MTL3-E(AL) | 0.7906 | 78.47 | 0.9907 | 2.03 | 0.9893 | 84.50 | 0.9896 | 84.46 | 0.44 |
| Kinetic Modeling Associated with In Vitro Drug Release at 42 °C | |||||||||
| Sample Code | Zero Order | First Order | Higuchi Model | Korsmeyer–Peppas Model | |||||
| R2 | K0 | R2 | K1 | R2 | KH | R2 | KKP | n | |
| ETL1-E(AL) | 0.9343 | 103.48 | 0.9052 | 1.97 | 0.9230 | 89.42 | 0.9800 | 98.11 | 0.39 |
| ETL2-E(AL) | 0.9352 | 97.18 | 0.9477 | 1.81 | 0.9536 | 84.43 | 0.9778 | 90.82 | 0.36 |
| ETL3-E(AL) | 0.9001 | 109.64 | 0.9425 | 2.36 | 0.9712 | 96.08 | 0.9798 | 100.17 | 0.43 |
| MTL1-E(AL) | 0.9589 | 99.62 | 0.9419 | 1.99 | 0.9637 | 87.49 | 0.9688 | 90.36 | 0.42 |
| MTL2-E(AL) | 0.8987 | 96.42 | 0.9567 | 1.85 | 0.9694 | 84.50 | 0.9780 | 88.08 | 0.44 |
| MTL3-E(AL) | 0.9079 | 105.79 | 0.9755 | 2.23 | 0.9874 | 92.82 | 0.9948 | 96.48 | 0.40 |
| HepG2 Cell Line | MCF-7 Cell Line | |||||
|---|---|---|---|---|---|---|
| Sample Code | At Normothermia (37.2 °C) | At Mild Hyperthermia (40.2 °C) after 1 h | At Normothermia (37.2 °C) | At Mild Hyperthermia (40.2 °C) after 1 h | ||
| after 24 h | after 48 h | after 24 h | after 48 h | |||
| Dox solution | 5.60 | 4.65 | 14.04 | 5.76 | 5.07 | 14.11 |
| MTL1-E(AL) | 6.84 | 3.71 | 3.31 | 7.49 | 4.28 | 3.09 |
Publisher’s Note: MDPI stays neutral with regard to jurisdictional claims in published maps and institutional affiliations. |
© 2021 by the authors. Licensee MDPI, Basel, Switzerland. This article is an open access article distributed under the terms and conditions of the Creative Commons Attribution (CC BY) license (https://creativecommons.org/licenses/by/4.0/).
Share and Cite
Rahim, M.A.; Madni, A.; Tahir, N.; Jan, N.; Shah, H.; Khan, S.; Ullah, R.; Bari, A.; Khan, M.S. Mild Hyperthermia Responsive Liposomes for Enhanced In Vitro and In Vivo Anticancer Efficacy of Doxorubicin against Hepatocellular Carcinoma. Pharmaceutics 2021, 13, 1310. https://doi.org/10.3390/pharmaceutics13081310
Rahim MA, Madni A, Tahir N, Jan N, Shah H, Khan S, Ullah R, Bari A, Khan MS. Mild Hyperthermia Responsive Liposomes for Enhanced In Vitro and In Vivo Anticancer Efficacy of Doxorubicin against Hepatocellular Carcinoma. Pharmaceutics. 2021; 13(8):1310. https://doi.org/10.3390/pharmaceutics13081310
Chicago/Turabian StyleRahim, Muhammad Abdur, Asadullah Madni, Nayab Tahir, Nasrullah Jan, Hassan Shah, Safiullah Khan, Riaz Ullah, Ahmed Bari, and Muhammad Sohaib Khan. 2021. "Mild Hyperthermia Responsive Liposomes for Enhanced In Vitro and In Vivo Anticancer Efficacy of Doxorubicin against Hepatocellular Carcinoma" Pharmaceutics 13, no. 8: 1310. https://doi.org/10.3390/pharmaceutics13081310
APA StyleRahim, M. A., Madni, A., Tahir, N., Jan, N., Shah, H., Khan, S., Ullah, R., Bari, A., & Khan, M. S. (2021). Mild Hyperthermia Responsive Liposomes for Enhanced In Vitro and In Vivo Anticancer Efficacy of Doxorubicin against Hepatocellular Carcinoma. Pharmaceutics, 13(8), 1310. https://doi.org/10.3390/pharmaceutics13081310

