The Development of Oral Amphotericin B to Treat Systemic Fungal and Parasitic Infections: Has the Myth Been Finally Realized?
Abstract
1. Preamble
2. Purpose
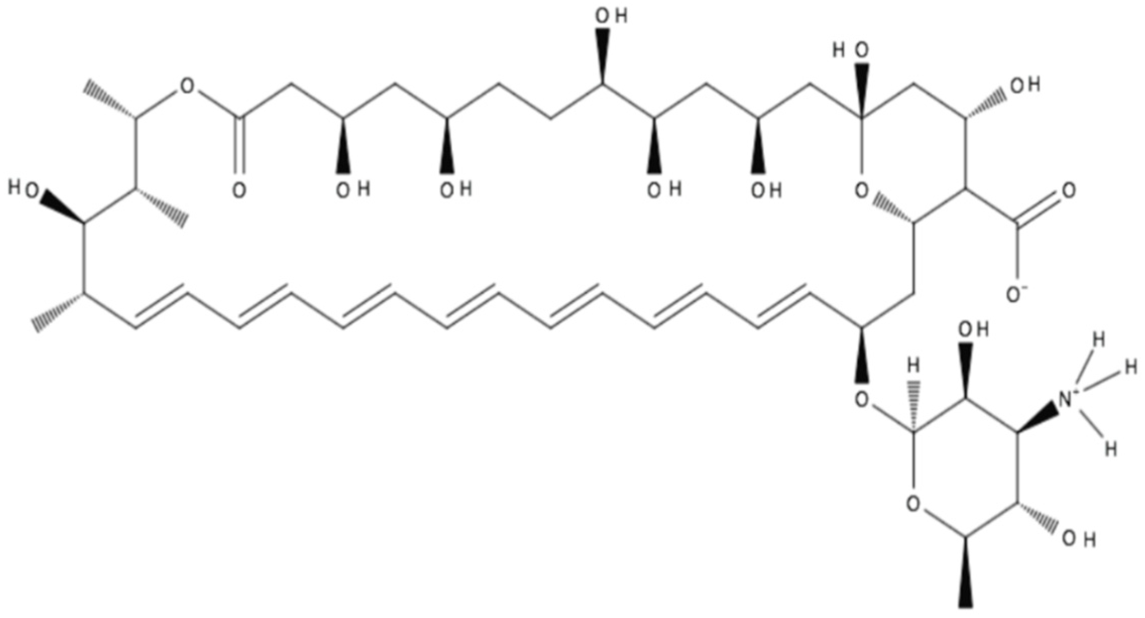
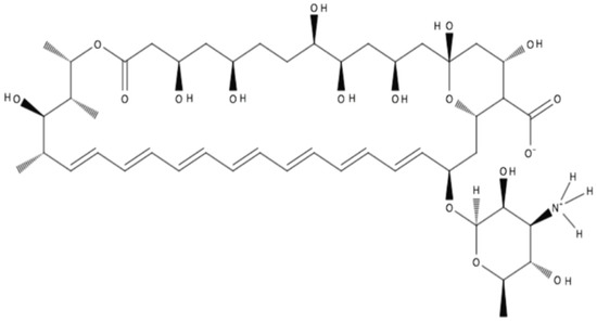
3. Chemistry of AmB
3.1. Structure Overview
3.2. Structure-Activity Relationship
3.3. Mechanism of Action of AmB
3.4. Bioavailability of AmB
4. Treating Visceral Leishmaniasis (VL)
4.1. Amphotericin B Parenteral Formulations
4.2. Visceral Leishmaniasis Treatment Options and Limitations
5. Oral Formulations of AmB Currently in Development
5.1. Solid Lipid Nanoparticles
5.2. PLGA–PEG Nanoparticles
5.3. Chitosan-Coated Nanostructured Lipid Carriers
5.4. Lecithin-Based Mixed Polymeric Micelles
5.5. O/W Microemulsion
5.6. Pickering Emulsion
5.7. Tragacanth/Acrylic Acid Copolymer
5.8. Chitosan (CS) and Porphyrin (POR) Polymeric Nanocarrier
5.9. Chitosan–Ethylenediamine Tetraacetic Acid (EDTA) Microparticles
5.10. Carbon Nanotubes
5.11. Cubosomes
5.12. GCPQ Nanoparticles (Quaternary Ammonium Palmitoyl Glycol Chitosan)
5.13. Cochleates
5.14. SEDDS (iCo-010/019)
6. Discussion and Concluding Remarks
Funding
Conflicts of Interest
Abbreviations
| Acrylic acid | AAc | Anhydrogalactose | AGR |
| Amphotericin B | AmB | Blood urea nitrogen | BUN |
| Amphotericin B cochleates | CAMB | Colony forming units | CFU |
| Chitosan | CS | 1,2-distearoyl-sn-glycero-3-phosphoethanolamine- N-methoxy(poly(ethylene glycol)-2000 | DSPE-PEG 2K |
| Carbon nanotubes | CNTs | Ethylenediaminetet-raacetic acid | EDTA |
| Gut associated lymphatic tissue | GALT | Oral bioavailability | Fo |
| Hydrophilic–lipophilic balances | HLBs | Gastrointestinal tract | GIT |
| Oil-in-water microemulsion | O/W ME | Minimum inhibitory concentration | MIC |
| Polyelectrolyte complexation | PEC | Poly(lactide-co-glycolide)–poly(ethylene glycol) | PLGA–PEG |
| Phamacokinetics | PK | Porphyrin | POR |
| Quaternary ammonium palmitoyl glycol chitosan | GCPQ | Reactive oxygen species | ROS |
| Self-emulsifying drug delivery system | SEDDS | Simulated intestinal fluid | SIF |
| Solid lipid nanoparticles | SLNs | Visceral leishmaniasis | VL |
References
- Cereghetti, D.M.; Carreira, E.M. Amphotericin B: 50 years of chemistry and biochemistry. Synthesis 2006, 6, 0914–0942. [Google Scholar] [CrossRef]
- Fernandez-Garcia, R.; de Pablo, E.; Ballesteros, M.P.; Serrano, D.R. Unmet clinical needs in the treatment of systemic fungal infections: The role of amphotericin B and drug targeting. Int. J. Pharm. 2017, 525, 139–148. [Google Scholar] [CrossRef] [PubMed]
- Mesa-Arango, A.C.; Scorzoni, L.; Zaragoza, O. It only takes one to do many jobs: Amphotericin B as antifungal and immunomodulatory drug. Front. Microbiol. 2012, 3, 286. [Google Scholar] [CrossRef] [PubMed]
- Gray, K.C.; Palacios, D.S.; Dailey, I.; Endo, M.M.; Uno, B.E.; Wilcock, B.C.; Burke, M.D. Amphotericin primarily kills yeast by simply binding ergosterol. Proc. Natl. Acad. Sci. USA 2012, 109, 2234–2239. [Google Scholar] [CrossRef] [PubMed]
- Kaminski, D.M. Recent progress in the study of the interactions of amphotericin B with cholesterol and ergosterol in lipid environments. Eur. Biophys. J. 2014, 43, 453–467. [Google Scholar] [CrossRef] [PubMed]
- Kinsky, S.C. Antibiotic interaction with model membranes. Annu. Rev. Pharmacol. 1970, 10, 119–142. [Google Scholar] [CrossRef] [PubMed]
- Palacios, D.S.; Dailey, I.; Siebert, D.M.; Wilcock, B.C.; Burke, M.D. Synthesis-enabled functional group deletions reveal key underpinnings of amphotericin B ion channel and antifungal activities. Proc. Natl. Acad. Sci. USA 2011, 108, 6733–6738. [Google Scholar] [CrossRef] [PubMed]
- Wu, H.-C.; Yoshioka, T.; Nakagawa, K.; Shintani, T.; Tsuru, T.; Saeki, D.; Shaikh, A.R.; Matsuyama, H. Preparation of Amphotericin B-Ergosterol structures and molecular simulation of water adsorption and diffusion. J. Membrane Sci. 2018, 545, 229–239. [Google Scholar] [CrossRef]
- Grela, E.; Wieczor, M.; Luchowski, R.; Zielinska, J.; Barzycka, A.; Grudzinski, W.; Nowak, K.; Tarkowski, P.; Czub, J.; Gruszecki, W.I. Mechanism of Binding of Antifungal Antibiotic Amphotericin B to Lipid Membranes: An Insight from Combined Single-Membrane Imaging, Microspectroscopy, and Molecular Dynamics. Mol. Pharm. 2018, 15, 4202–4213. [Google Scholar] [CrossRef] [PubMed]
- Anderson, T.M.; Clay, M.C.; Cioffi, A.G.; Diaz, K.A.; Hisao, G.S.; Tuttle, M.D.; Nieuwkoop, A.J.; Comellas, G.; Maryum, N.; Wang, S.; et al. Amphotericin forms an extramembranous and fungicidal sterol sponge. Nat. Chem. Biol. 2014, 10, 400–406. [Google Scholar] [CrossRef] [PubMed]
- Mesa-Arango, A.C.; Trevijano-Contador, N.; Román, E.; Sánchez-Fresneda, R.; Casas, C.; Herrero, E.; Argüelles, J.C.; Pla, J.; Cuenca-Estrella, M.; Zaragoza, O. The production of reactive oxygen species is an universal action mechanism of Amphotericin B against pathogenic yeasts and contributes to the fungicidal effect of this drug: AMPHORES study. Antimicrob. Agents Chemother. 2014, 58, 6627–6638. [Google Scholar] [CrossRef] [PubMed]
- Guirao-Abad, J.P.; Sánchez-Fresneda, R.; Alburquerque, B.; Hernández, J.A.; Argüelles, J.-C. ROS formation is a differential contributory factor to the fungicidal action of amphotericin B and micafungin in Candida albicans. Int. J. Med. Microbiol. 2017, 307, 241–248. [Google Scholar] [CrossRef] [PubMed]
- Phillips, A.J.; Sudbery, I.; Ramsdale, M. Apoptosis induced by environmental stresses and amphotericin B in Candida albicans. Proc. Natl. Acad. Sci. USA 2003, 100, 14327–14332. [Google Scholar] [CrossRef] [PubMed]
- Serrano, D.R.; Lalatsa, A. Oral amphotericin B: The journey from bench to market. J. Drug Deliv. Sci. Tech. 2017, 42, 75–83. [Google Scholar] [CrossRef]
- World Health Organization. Neglected Tropical Diseases. Available online: https://www.who.int/neglected_diseases/diseases/en/ (accessed on 15 September 2018).
- Global Health Observatory Data Repository. Status of Endemicity of Visceral Leishmaniasis Data by Country. Available online: http://apps.who.int/gho/data/view.main.NTDLEISHVENDv (accessed on 15 September 2018).
- Thornton, S.J.; Wasan, K.M.; Piecuch, A.; Lynd, L.L.D.; Wasan, E.K. Barriers to treatment for visceral leishmaniasis in hyperendemic areas: India, Bangladesh, Nepal, Brazil and Sudan. Drug Dev. Ind. Pharm. 2010, 36, 1312–1319. [Google Scholar] [CrossRef] [PubMed]
- World Health Organization. Leishmaniasis: Epidemiological Situation. Available online: https://www.who.int/leishmaniasis/burden/en/ (accessed on 15 September 2018).
- Global Health Observatory Data Repository. Number of Cases of Visceral Leishmaniasis Reported Data by Country. Available online: http://apps.who.int/gho/data/node.main.NTDLEISHVNUM?lang=en (accessed on 15 September 2018).
- Torres-Guerrero, E.; Quintanilla-Cedillo, M.R.; Ruiz-Esmenjaud, J.; Arenas, R. Leishmaniasis: A review. F1000Research 2017, 6, 750. [Google Scholar] [CrossRef] [PubMed]
- Maroli, M.; Feliciangeli, M.D.; Bichaud, L.; Charrel, R.N.; Gradoni, L. Phlebotomine sandflies and the spreading of leishmaniases and other diseases of public health concern. Med. Vet. Entomol. 2013, 27, 123–147. [Google Scholar] [CrossRef] [PubMed]
- Walker, D.M.; Oghumu, S.; Gupta, G.; McGwire, B.S.; Drew, M.E.; Satoskar, A.R. Mechanisms of cellular invasion by intracellular parasites. Cell Mol. Life Sci. 2014, 71, 1245–1263. [Google Scholar] [CrossRef] [PubMed]
- Mosser, D.M.; Edelson, P.J. The third component of complement (C3) is responsible for the intracellular survival of Leishmania major. Nature 1987, 327, 329–331. [Google Scholar] [CrossRef] [PubMed]
- Kima, P.E. The amastigote forms of Leishmania are experts at exploiting host cell processes to establish infection and persist. Int. J. Parasitol. 2007, 37, 1087–1096. [Google Scholar] [CrossRef] [PubMed]
- Beattie, L.; Kaye, P.M. Leishmania–host interactions: What has imaging taught us? Cell Microbiol. 2011, 13, 1659–1667. [Google Scholar] [CrossRef] [PubMed]
- Bates, P.A. Revising Leishmania’s life cycle. Nat. Microbiol. 2018, 3, 529–530. [Google Scholar] [CrossRef] [PubMed]
- Thornton, S.J.; Wasan, K.M. The reformulation of amphotericin B for oral administration to treat systemic fungal infections and visceral leishmaniasis. Expert Opin. Drug Deliv. 2009, 6, 271–284. [Google Scholar] [CrossRef] [PubMed]
- Grace, E.; Asbill, S.; Virga, K. Naegleria fowleri: Pathogenesis, diagnosis, and treatment options. Antimicrob. Agents Chemother. 2015, 59, 6677–6681. [Google Scholar] [CrossRef] [PubMed]
- Belkherroubi-Sari, L.; Adida, H.; Seghir, A.; Boucherit, Z.; Boucherit, K. New strategy for enhancing the therapeutic index of Fungizone((R)). J. Mycol. Med. 2013, 23, 3–7. [Google Scholar] [CrossRef] [PubMed]
- Pham, T.T.; Loiseau, P.M.; Barratt, G. Strategies for the design of orally bioavailable antileishmanial treatments. Int. J. Pharm. 2013, 454, 539–552. [Google Scholar] [CrossRef] [PubMed]
- Stone, N.R.; Bicanic, T.; Salim, R.; Hope, W. Liposomal amphotericin B (AmBisome®): A review of the pharmacokinetics, pharmacodynamics, clinical experience and future directions. Drugs 2016, 76, 485–500. [Google Scholar] [CrossRef] [PubMed]
- Lister, J. Amphotericin B Lipid Complex (Abelcet) in the treatment of invasive mycoses: The North American experience. Eur. J. Haematol. Suppl. 1996, 57, 18–23. [Google Scholar] [CrossRef] [PubMed]
- Clemons, K.V.; Stevens, D.A. Comparative efficacies of four amphotericin B formulations—Fungizone, Amphotec (Amphocil), AmBisome, and Abelcet—against systemic murine aspergillosis. Antimicrob. Agents Chemother. 2004, 48, 1047–1050. [Google Scholar] [CrossRef] [PubMed]
- Sundar, S.; Pandey, K.; Thakur, C.P.; Jha, T.K.; Das, V.N.; Verma, N.; Lal, C.S.; Verma, D.; Alam, S.; Das, P. Efficacy and safety of amphotericin B emulsion versus liposomal formulation in Indian patients with visceral leishmaniasis: A randomized, open-label study. PLoS Negl. Trop. Dis. 2014, 8, e3169. [Google Scholar] [CrossRef] [PubMed]
- World Health Organization. Control of the leishmaniases. World Health Organ. Tech. Rep. Ser. 2010, 949, 57–59. [Google Scholar]
- Sundar, S.; Chakravarty, J. Liposomal amphotericin B and leishmaniasis: Dose and response. J. Glob. Infect. Dis. 2010, 2, 159–166. [Google Scholar] [CrossRef] [PubMed]
- Sundar, S.; Chakravarty, J. An update on pharmacotherapy for leishmaniasis. Expert Opin. Pharmacother. 2015, 16, 237–252. [Google Scholar] [CrossRef] [PubMed]
- Alvar, J.; Velez, I.D.; Bern, C.; Herrero, M.; Desjeux, P.; Cano, J.; Jannin, J.; den Boer, M.; WHO Leishmaniasis Control Team. Leishmaniasis worldwide and global estimates of its incidence. PLoS ONE 2012, 7, e35671. [Google Scholar] [CrossRef] [PubMed]
- World Health Organization. Costs of Medicines in Current Use for the Treatment of Leishmaniasis. 2010. Available online: https://www.who.int/leishmaniasis/research/978_92_4_12_949_6_Annex6.pdf?ua=1 (accessed on 15 September 2018).
- de Assis, T.S.; Rosa, D.C.; de Morais Teixeira, E.; Cota, G.; Azeredo-da-Silva, A.L.; Werneck, G.; Rabello, A. The direct costs of treating human visceral Leishmaniasis in Brazil. Rev. Soc. Bras. Med. Trop. 2017, 4, 478–482. [Google Scholar]
- Jensen, G.M. The care and feeding of a commercial liposomal product: Liposomal amphotericin B (AmBisome((R))). J. Liposome Res. 2017, 27, 173–179. [Google Scholar] [CrossRef] [PubMed]
- Ling Tan, J.S.; Roberts, C.J.; Billa, N. Mucoadhesive chitosan-coated nanostructured lipid carriers for oral delivery of amphotericin B. Pharm. Dev. Technol. 2018, 26, 1–9. [Google Scholar] [CrossRef] [PubMed]
- Radwan, M.A.; AlQuadeib, B.T.; Siller, L.; Wright, M.C.; Horrocks, B. Oral administration of amphotericin B nanoparticles: Antifungal activity, bioavailability and toxicity in rats. Drug Deliv. 2017, 24, 40–50. [Google Scholar] [CrossRef] [PubMed]
- Wasan, E.K.; Bartlett, K.; Gershkovich, P.; Sivak, O.; Banno, B.; Wong, Z.; Gagnon, J.; Gates, B.; Leon, C.G.; Wasan, K.M. Development and characterization of oral lipid-based amphotericin B formulations with enhanced drug solubility, stability and antifungal activity in rats infected with Aspergillus fumigatus or Candida albicans. Int. J. Pharm. 2009, 372, 76–84. [Google Scholar] [CrossRef] [PubMed]
- Barwicz, J.; Tancrede, P. The effect of aggregation state of amphotericin-B on its interactions with cholesterol- or ergosterol-containing phosphatidylcholine monolayers. Chem. Phys. Lipids 1997, 85, 145–155. [Google Scholar] [CrossRef]
- Espada, R.; Valdespina, S.; Alfonso, C.; Rivas, G.; Ballesteros, M.P.; Torrado, J.J. Effect of aggregation state on the toxicity of different amphotericin B preparations. Int. J. Pharm. 2008, 361, 64–69. [Google Scholar] [CrossRef] [PubMed]
- Chaudhari, M.B.; Desai, P.P.; Patel, P.A.; Patravale, V.B. Solid lipid nanoparticles of amphotericin B (AmbiOnp): In vitro and in vivo assessment towards safe and effective oral treatment module. Drug Deliv. Transl. Res. 2016, 6, 354–364. [Google Scholar] [CrossRef] [PubMed]
- Kumar, R.; Sahoo, G.C.; Pandey, K.; Das, V.; Das, P. Study the effects of PLGA-PEG encapsulated amphotericin B nanoparticle drug delivery system against Leishmania donovani. Drug Deliv. 2015, 22, 383–388. [Google Scholar] [CrossRef] [PubMed]
- Chen, Y.C.; Su, C.Y.; Jhan, H.J.; Ho, H.O.; Sheu, M.T. Physical characterization and in vivo pharmacokinetic study of self-assembling amphotericin B-loaded lecithin-based mixed polymeric micelles. Int. J. Nanomed. 2015, 10, 7265–7274. [Google Scholar] [CrossRef]
- Silva, A.E.; Barratt, G.; Cheron, M.; Egito, E.S. Development of oil-in-water microemulsions for the oral delivery of amphotericin B. Int. J. Pharm. 2013, 454, 641–648. [Google Scholar] [CrossRef] [PubMed]
- Richter, A.R.; Feitosa, J.P.A.; Paula, H.C.B.; Goycoolea, F.M.; de Paula, R.C.M. Pickering emulsion stabilized by cashew gum- poly-l-lactide copolymer nanoparticles: Synthesis, characterization and amphotericin B encapsulation. Colloids Surf. B Biointerfaces 2018, 164, 201–209. [Google Scholar] [CrossRef] [PubMed]
- Mohamed, H.A.; Radwan, R.R.; Raafat, A.I.; Ali, A.E. Antifungal activity of oral (Tragacanth/acrylic acid) Amphotericin B carrier for systemic candidiasis: In vitro and in vivo study. Drug Deliv. Transl. Res. 2018, 8, 191–203. [Google Scholar] [CrossRef] [PubMed]
- Bhatia, S.; Kumar, V.; Sharma, K.; Nagpal, K.; Bera, T. Significance of algal polymer in designing amphotericin B nanoparticles. Sci. World J. 2014, 2014, 564573. [Google Scholar] [CrossRef] [PubMed]
- Singh, K.; Tiwary, A.; Rana, V. Spray dried chitosan–EDTA superior microparticles as solid substrate for the oral delivery of amphotericin B. Int. J. Biol. Macromol. 2013, 58, 310–319. [Google Scholar] [CrossRef] [PubMed]
- Prajapati, V.K.; Awasthi, K.; Yadav, T.P.; Rai, M.; Srivastava, O.N.; Sundar, S. An oral formulation of amphotericin B attached to functionalized carbon nanotubes is an effective treatment for experimental visceral leishmaniasis. J. Infect. Dis. 2011, 205, 333–336. [Google Scholar] [CrossRef] [PubMed]
- Prajapati, V.K.; Awasthi, K.; Gautam, S.; Yadav, T.P.; Rai, M.; Srivastava, O.N.; Sundar, S. Targeted killing of Leishmania donovani in vivo and in vitro with amphotericin B attached to functionalized carbon nanotubes. J. Antimicrob. Chemother. 2011, 66, 874–879. [Google Scholar] [CrossRef] [PubMed]
- Yang, Z.; Tan, Y.; Chen, M.; Dian, L.; Shan, Z.; Peng, X.; Wu, C. Development of amphotericin B-loaded cubosomes through the SolEmuls technology for enhancing the oral bioavailability. AAPS PharmSciTech 2012, 13, 1483–1491. [Google Scholar] [CrossRef] [PubMed]
- Serrano, D.R.; Lalatsa, A.; Dea-Ayuela, M.A.; Bilbao-Ramos, P.E.; Garrett, N.L.; Moger, J.; Guarro, J.; Capilla, J.; Ballesteros, M.P.; Schatzlein, A.G.; et al. Oral particle uptake and organ targeting drives the activity of amphotericin B nanoparticles. Mol. Pharm. 2015, 12, 420–431. [Google Scholar] [CrossRef] [PubMed]
- Zarif, L.; Graybill, J.R.; Perlin, D.; Mannino, R.J. Cochleates: New lipid-based drug delivery system. J. Liposome Res. 2000, 10, 523–538. [Google Scholar] [CrossRef]
- Delmas, G.; Park, S.; Chen, Z.W.; Tan, F.; Kashiwazaki, R.; Zarif, L.; Perlin, D.S. Efficacy of orally delivered cochleates containing amphotericin B in a murine model of aspergillosis. Antimicrob. Agents Chemother. 2002, 46, 2704–2707. [Google Scholar] [CrossRef] [PubMed]
- Kalbag, S.; Lu, R.; Ngoje, J.; Mannino, R.J. Oral Administration of Amphotericin B: Toxicokinetic Studies in Animal Models. Antimicrob. Agents Chemother. 1992, 12, 2681–2685. [Google Scholar]
- Matinas Biopharma. MAT2203: LNC Formulation of Amphotericin B. Available online: https://www.matinasbiopharma.com/pipeline/mat2203-lnc-formulation-of-amphotericin-b (accessed on 15 September 2018).
- Mannino, R.; De, B.; Teae, A. Oral Administration of Amphotericin B (CAmB) in Humans: A Phase I Study of Tolerability and Pharmacokinetics Preliminary Pharmacokinetics. Available online: https://content.equisolve.net/_db6027646f523d19fe795801a0b7aff1/matinasbiopharma/db/128/510/pdf/Oral_Dosing_of_Encochleated_Amphotericin_B_%28CAmB%29__Rapid_Drug_Targeting_to_Infected_Tissues_in_Mice_with_Invasive_Candidiasis.pdf (accessed on 21 February 2019).
- Wasan, K.M.; Wasan, E.K.; Gershkovich, P.; Zhu, X.; Tidwell, R.R.; Werbovetz, K.A.; Clement, J.G.; Thornton, S.J. Highly effective oral amphotericin B formulation against murine visceral leishmaniasis. J. Infect. Dis. 2009, 200, 357–360. [Google Scholar] [CrossRef] [PubMed]
- Sivak, O.; Gershkovich, P.; Lin, M.; Wasan, E.K.; Zhao, J.; Owen, D.; Clement, J.G.; Wasan, K.M. Tropically stable novel oral lipid formulation of amphotericin B (iCo-010): Biodistribution and toxicity in a mouse model. Lipids Health Dis. 2011, 10, 135. [Google Scholar] [CrossRef] [PubMed]
- Wasan, E.K.; Gershkovich, P.; Zhao, J.; Zhu, X.; Werbovetz, K.; Tidwell, R.R.; Clement, J.G.; Thornton, S.J.; Wasan, K.M. A novel tropically stable oral amphotericin B formulation (iCo-010) exhibits efficacy against visceral Leishmaniasis in a murine model. PLoS Negl. Trop. Dis. 2010, 12, e913. [Google Scholar] [CrossRef] [PubMed]
- Ibrahim, F.; Sivak, O.; Wasan, E.K.; Bartlett, K.; Wasan, K.M. Efficacy of an oral and tropically stable lipid-based formulation of Amphotericin B (iCo-010) in an experimental mouse model of systemic candidiasis. Lipids Health Dis. 2013, 12, 158. [Google Scholar] [CrossRef] [PubMed]
- Rae, A. iCo Therapeutics Announces Positive Oral Amphotericin Study. 2018. Available online: https://ceo.ca/@newsfile/ico-therapeutics-announces-positive-clinical-outcome (accessed on 15 September 2018).

| AmB oral formulation | Efficacy | Stability |
|---|---|---|
| Solid lipid nanoparticle [47] | Lower kidney tissue concentration, | 2–8 °C for 3 months, |
| 105% Fo of Fungizone® | 15 days ≥ 25 °C | |
| PLGA–PEG nanoparticle [43,48] | Increase antifungal activity 4-fold in vitro | N/A |
| Inhibit parasite load by 93.2% compared with free AmB group (74.6%) | ||
| 130% Fo of Fungizone® | ||
| Chitosan-coated nanostructured lipid carriers [42] | N/A | 63.9% AmB retained encapsulated after 30 min incubation in SIF |
| Lecithin-based mixed polymeric micelles [49] | Less toxic in HT29 cells | Increase solubility |
| 150% Fo of Fungizone® | ||
| O/W microemulsion [50] | Slightly less toxic than free DMSO | Increase the solubility by 1000 folds |
| Pickering emulsion [51] | N/A | Stable one month under refrigeration |
| Tragacanth/acrylic acid copolymer [52] | No mortality observed in mice comparing with free AmB | N/A |
| Improve oral bioavailability comparing with free AmB | ||
| Chitosan and porphyrin polymeric nanocarrier [53] | 23-fold antifungal activity than Ambisome® | Less degradation in SIF and a superior release profile for up to 12 h |
| Slightly less toxic than Fungizone® | ||
| Chitosan–EDTA microparticles [54] | N/A | 12-fold improvement in in vitro dissolution relative to pure AmB |
| Carbon Nanotubes [55,56] | Inhibit the parasite load in a dose-dependent manner | N/A |
| No evidence of toxicity in mice and hamster models | ||
| Cubosomes (cubic liquid crystal nanoparticles) [57] | low dose of AmB-loaded cubosomes shows low kidney concentration than Fungizone® | 74% detectable AmB after 3h in SIF |
| 285% bioavailability of Fungizone® | ||
| GCPQ nanoparticles [58] | Absolute Fo is 24.7% | Stable for a year on storage |
| Higher concentration in liver, lung and spleen | ||
| Cochleate–CAMB/MAT2203 [59,60] | 100% survival comparing with Fungizone® and AmBisome® | Stable for 4 months at 4 °C |
| No serious adverse event in Phase I study | ||
| SEDDS (iCo-010/019) [66] | <99% reduction in parasitic infection in a murine model | >75% over 60 days in 30 °C; >95% after 4 h in SIF |
| 95% inhibition when compared to control |
© 2019 by the authors. Licensee MDPI, Basel, Switzerland. This article is an open access article distributed under the terms and conditions of the Creative Commons Attribution (CC BY) license (http://creativecommons.org/licenses/by/4.0/).
Share and Cite
Cuddihy, G.; Wasan, E.K.; Di, Y.; Wasan, K.M. The Development of Oral Amphotericin B to Treat Systemic Fungal and Parasitic Infections: Has the Myth Been Finally Realized? Pharmaceutics 2019, 11, 99. https://doi.org/10.3390/pharmaceutics11030099
Cuddihy G, Wasan EK, Di Y, Wasan KM. The Development of Oral Amphotericin B to Treat Systemic Fungal and Parasitic Infections: Has the Myth Been Finally Realized? Pharmaceutics. 2019; 11(3):99. https://doi.org/10.3390/pharmaceutics11030099
Chicago/Turabian StyleCuddihy, Grace, Ellen K. Wasan, Yunyun Di, and Kishor M. Wasan. 2019. "The Development of Oral Amphotericin B to Treat Systemic Fungal and Parasitic Infections: Has the Myth Been Finally Realized?" Pharmaceutics 11, no. 3: 99. https://doi.org/10.3390/pharmaceutics11030099
APA StyleCuddihy, G., Wasan, E. K., Di, Y., & Wasan, K. M. (2019). The Development of Oral Amphotericin B to Treat Systemic Fungal and Parasitic Infections: Has the Myth Been Finally Realized? Pharmaceutics, 11(3), 99. https://doi.org/10.3390/pharmaceutics11030099

