Simulation-Based Analysis of the Impact of Renal Impairment on the Pharmacokinetics of Highly Metabolized Compounds
Abstract
1. Introduction
2. Materials and Methods
2.1. Systematic Analysis
2.1.1. Model and Software
2.1.2. Dose Dependency
2.1.3. CYP3A4 Expression
2.1.4. Protein Binding
2.1.5. Competitive Inhibition
2.1.6. Protein Binding and Competitive Inhibition
2.1.7. Clinical Comparison
2.2. Incorporation of Enzyme Inhibition
2.2.1. CYP3A
2.2.2. CYP2C9
2.2.3. UGT2B7
3. Results
3.1. Systematic Analysis with Nifedipine as the Model Substrate
3.1.1. Dose Dependency
3.1.2. CYP3A4 Expression
3.1.3. Protein Binding
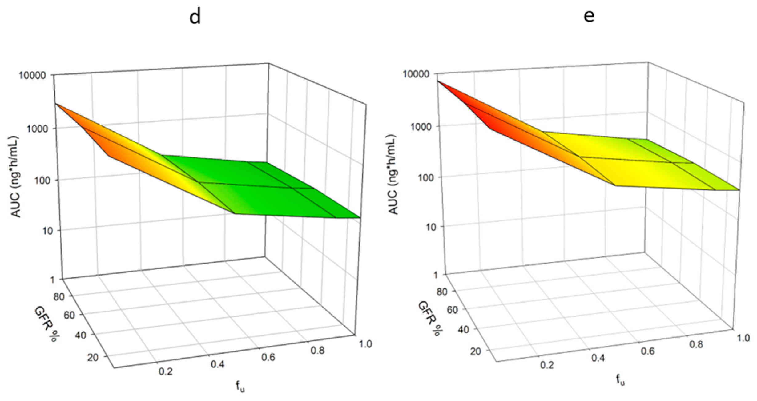
3.1.4. Protein Binding and CYP3A4 Expression
3.1.5. Competitive Inhibition
3.1.6. Competitive Inhibition and CYP3A4 Expression
3.1.7. Protein Binding and Competitive Inhibition
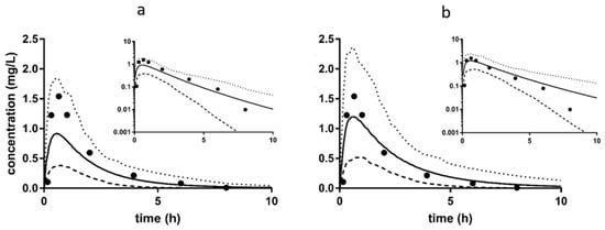
3.2. Clinical Comparison
4. Discussion
Supplementary Materials
Author Contributions
Funding
Conflicts of Interest
References
- Hoerger, T.J.; Simpson, S.A.; Yarnoff, B.O.; Pavkov, M.E.; Rios Burrows, N.; Saydah, S.H.; Williams, D.E.; Zhuo, X. The future burden of CKD in the United States: A simulation model for the CDC CKD Initiative. Am. J. Kidney Dis. 2015, 65, 403–411. [Google Scholar] [CrossRef] [PubMed]
- Tonelli, M.; Wiebe, N.; Culleton, B.; House, A.; Rabbat, C.; Fok, M.; McAlister, F.; Garg, A.X. Chronic kidney disease and mortality risk: A systematic review. J. Am. Soc. Nephrol. 2006, 17, 2034–2047. [Google Scholar] [CrossRef] [PubMed]
- Levy, G. Pharmacokinetics in renal disease. Am. J. Med. 1977, 62, 461–465. [Google Scholar] [CrossRef]
- Katsube, Y.; Tsujimoto, M.; Koide, H.; Ochiai, M.; Hojyo, A.; Ogawa, K.; Kambara, K.; Torii, N.; Shima, D.; Furukubo, T.; et al. Cooperative inhibitory effects of uremic toxins and other serum components on OATP1B1-mediated transport of SN-38. Cancer Chemother. Pharmacol. 2017, 79, 783–789. [Google Scholar] [CrossRef] [PubMed]
- Dreisbach, A.W.; Lertora, J.J. The effect of chronic renal failure on drug metabolism and transport. Expert Opin. Drug Metab. Toxicol. 2008, 4, 1065–1074. [Google Scholar] [CrossRef] [PubMed]
- Naud, J.; Michaud, J.; Beauchemin, S.; Hebert, M.J.; Roger, M.; Lefrancois, S.; Leblond, F.A.; Pichette, V. Effects of chronic renal failure on kidney drug transporters and cytochrome P450 in rats. Drug Metab. Dispos. 2011, 39, 1363–1369. [Google Scholar] [CrossRef] [PubMed]
- Nolin, T.D.; Naud, J.; Leblond, F.A.; Pichette, V. Emerging evidence of the impact of kidney disease on drug metabolism and transport. Clin. Pharmacol. Ther. 2008, 83, 898–903. [Google Scholar] [CrossRef] [PubMed]
- Hsueh, C.H.; Yoshida, K.; Zhao, P.; Meyer, T.W.; Zhang, L.; Huang, S.M.; Giacomini, K.M. Identification and quantitative assessment of uremic solutes as inhibitors of renal organic anion transporters, OAT1 and OAT3. Mol. Pharm. 2016, 13, 3130–3140. [Google Scholar] [CrossRef] [PubMed]
- Komazawa, H.; Yamaguchi, H.; Hidaka, K.; Ogura, J.; Kobayashi, M.; Iseki, K. Renal uptake of substrates for organic anion transporters OAT1 and OAT3 and organic cation transporters OCT1 and OCT2 is altered in rats with adenine-induced chronic renal failure. J. Pharm. Sci. 2013, 102, 1086–1094. [Google Scholar] [CrossRef] [PubMed]
- Martiny, V.Y.; Miteva, M.A. Advances in molecular modeling of human cytochrome P450 polymorphism. J. Mol. Biol. 2013, 425, 3978–3992. [Google Scholar] [CrossRef] [PubMed]
- Guillemette, C. Pharmacogenomics of human UDP-glucuronosyltransferase enzymes. Pharmacogenomics J. 2003, 3, 136–158. [Google Scholar] [CrossRef] [PubMed]
- Pichette, V.; Leblond, F.A. Drug metabolism in chronic renal failure. Curr. Drug Metab. 2003, 4, 91–103. [Google Scholar] [CrossRef] [PubMed]
- Lee, D.Y.; Jung, Y.S.; Shin, H.S.; Lee, I.; Kim, Y.C.; Lee, M.G. Faster clearance of omeprazole in rats with acute renal failure induced by uranyl nitrate: Contribution of increased expression of hepatic cytochrome P450 (CYP) 3A1 and intestinal CYP1A and 3A subfamilies. J. Pharm. Pharmacol. 2008, 60, 843–851. [Google Scholar] [CrossRef] [PubMed]
- Barnes, K.J.; Rowland, A.; Polasek, T.M.; Miners, J.O. Inhibition of human drug-metabolising cytochrome P450 and UDP-glucuronosyltransferase enzyme activities in vitro by uremic toxins. Eur. J. Clin. Pharmacol. 2014, 70, 1097–1106. [Google Scholar] [CrossRef] [PubMed]
- Tsujimoto, M.; Sugimoto, S.; Nagatomo, M.; Furukubo, T.; Izumi, S.; Yamakawa, T.; Minegaki, T.; Nishiguchi, K. Possibility of decrease in CYP1A2 function in patients with end-stage renal disease. Ther. Apher. Dial. 2014, 18, 174–180. [Google Scholar] [CrossRef] [PubMed]
- Volpe, D.A.; Tobin, G.A.; Tavakkoli, F.; Dowling, T.C.; Light, P.D.; Parker, R.J. Effect of uremic serum and uremic toxins on drug metabolism in human microsomes. Regul. Toxicol. Pharmacol. 2014, 68, 297–303. [Google Scholar] [CrossRef] [PubMed]
- Vanholder, R.; Van Landschoot, N.; De Smet, R.; Schoots, A.; Ringoir, S. Drug protein binding in chronic renal failure: Evaluation of nine drugs. Kidney Int. 1988, 33, 996–1004. [Google Scholar] [CrossRef] [PubMed]
- Keller, F.; Maiga, M.; Neumayer, H.H.; Lode, H.; Distler, A. Pharmacokinetic effects of altered plasma protein binding of drugs in renal disease. Eur. J. Drug Metab. Pharmacokinet. 1984, 9, 275–282. [Google Scholar] [CrossRef] [PubMed]
- FDA. Guidance for Industry Pharmacokinetics in Patients with Impaired Renal Function—Study Design, Data Analysis, and Impact on Dosing and Labeling; U.S. Department of Health and Human Services Food and Drug Administration: Rockville, MD, USA, 2010; Revision 1.
- Mueller, H.S.; Antman, E.M.; Ferst, J.A.; Muller, J.E. Nifedipine in the treatment of cardiovascular disease. Pharmacotherapy 1981, 1, 78–94. [Google Scholar] [CrossRef] [PubMed]
- Patel, N.; Polak, S.; Jamei, M.; Rostami-Hodjegan, A.; Turner, D.B. Quantitative prediction of formulation-specific food effects and their population variability from in vitro data with the physiologically-based ADAM model: A case study using the BCS/BDDCS Class II drug nifedipine. Eur. J. Pharm. Sci. 2014, 57, 240–249. [Google Scholar] [CrossRef] [PubMed]
- Bae, S.H.; Bae, S.K.; Lee, M.G. Effect of hepatic CYP inhibitors on the metabolism of sildenafil and formation of its metabolite, N-desmethylsildenafil, in rats in vitro and in vivo. J. Pharm. Pharmacol. 2009, 61, 1637–1642. [Google Scholar] [CrossRef] [PubMed]
- Sun, H.; Zhang, T.; Wu, Z.; Wu, B. Warfarin is an effective modifier of multiple UDP-glucuronosyltransferase enzymes: Evaluation of its potential to alter the pharmacokinetics of zidovudine. J. Pharm. Sci. 2015, 104, 244–256. [Google Scholar] [CrossRef] [PubMed]
- Gugler, R.; Azarnoff, D.L. Drug protein binding and the nephrotic syndrome. Clin. Pharmacokinet. 1976, 1, 25–35. [Google Scholar] [CrossRef] [PubMed]
- Van Bortel, L.; Bohm, R.; Mooij, J.; Schiffers, P.; Rahn, K.H. Total and free steady-state plasma levels and pharmacokinetics of nifedipine in patients with terminal renal failure. Eur. J. Clin. Pharmacol. 1989, 37, 185–189. [Google Scholar] [CrossRef] [PubMed]
- Muirhead, G.J.; Wilner, K.; Colburn, W.; Haug-Pihale, G.; Rouviex, B. The effects of age and renal and hepatic impairment on the pharmacokinetics of sildenafil. Br. J. Clin. Pharmacol. 2002, 53, 21S–30S. [Google Scholar] [CrossRef] [PubMed]
- Pioger, J.C.; Taburet, A.M.; Colin, J.N.; Colaneri, S.; Fillastre, J.P.; Singlas, E. Pharmacokinetics of zidovudine (AZT) and its metabolite (G-AZT) in healthy subjects and in patients with kidney failure. Therapie 1989, 44, 401–404. [Google Scholar] [PubMed]
- Zhuang, X.; Lu, C. PBPK modeling and simulation in drug research and development. Acta Pharm. Sin. B 2016, 6, 430–440. [Google Scholar] [CrossRef] [PubMed]
- Hsueh, C.H.; Hsu, V.; Zhao, P.; Zhang, L.; Giacomini, K.M.; Huang, S.M. PBPK modeling of the effect of reduced kidney function on the pharmacokinetics of drugs excreted renally by organic anion transporters. Clin. Pharmacol. Ther. 2018, 103, 485–492. [Google Scholar] [CrossRef] [PubMed]
- Follman, K.E.; Morris, M.E. Prediction of the effects of renal impairment on clearance for organic cation drugs that undergo renal secretion: A simulation-based study. Drug Metab. Dispos. 2018, 46, 758–769. [Google Scholar] [CrossRef] [PubMed]
- Paglialunga, S.; Offman, E.; Ichhpurani, N.; Marbury, T.C.; Morimoto, B.H. Update and trends on pharmacokinetic studies in patients with impaired renal function: Practical insight into application of the FDA and EMA guidelines. Expert Rev. Clin. Pharmacol. 2017, 10, 273–283. [Google Scholar] [CrossRef] [PubMed]
- Marsousi, N.; Desmeules, J.A.; Rudaz, S.; Daali, Y. Usefulness of PBPK Modeling in incorporation of clinical conditions in personalized medicine. J. Pharm. Sci. 2017, 106, 2380–2391. [Google Scholar] [CrossRef] [PubMed]
- Smith, W.B.; Alcorn, H., Jr. Special populations in clinical pharmacology studies: Evolving challenges. Ther. Innov. Regul. Sci. 2017, 51, 285–287. [Google Scholar] [CrossRef] [PubMed]









| PK Parameter | Cmax ng/mL | tmax h | AUC ng*h/mL | CL/F L/h | F | Σδall |
|---|---|---|---|---|---|---|
| Observed [25] | 75.0 | 0.500 | 102 | 138 | 0.400 | |
| Sim GFR less than 30 | 119 | 0.340 | 274 | 43.6 | 0.45 | 1.35 |
| predicted/observed | 1.59 | 0.680 | 2.69 | 0.316 | 1.11 | |
| fu +10% CYP3A4 R1 (unmodified expression) | 60.9 | 0.212 | 111 | 96.0 | 0.377 | 0.697 |
| predicted/observed | 0.811 | 0.424 | 1.09 | 0.695 | 0.942 | |
| fu +5% (modified expression) | 64.5 | 0.236 | 121 | 108 | 0.345 | 0.648 |
| predicted/observed | 0.859 | 0.471 | 1.18 | 0.782 | 0.863 |
| PK Parameter | Cmax ng/mL | tmax h | AUC ng*h/mL | CL/F mL/min | Σδall |
|---|---|---|---|---|---|
| Observed [26] | 272 | 0.750 | 783 | 65.0 | |
| Sim GFR 30_60 | 212 | 1.16 | 1440 | 44.4 | 0.729 |
| predicted/observed | 0.780 | 1.55 | 1.84 | 0.680 | |
| fu +5% CYP2C9 R1 CYP3A4 R1 (unmodified expression) | 193 | 1.04 | 983 | 64.6 | 0.395 |
| predicted/observed | b | 1.39 | 1.26 | 0.99 | |
| fu +50% CYP3A4 R10 (modified expression) | 186 | 0.980 | 831 | 79.2 | 0.393 |
| predicted/observed | 0.684 | 1.31 | 1.06 | 1.22 |
| PK Parameter | Cmax µmol/L | tmax h | AUC µmol*h/L | CL/F L/h | Σδall |
|---|---|---|---|---|---|
| Observed [27] | 6.2 | 0.7 | 11.7 | 73.7 | |
| Sim GFR less than 30 | 3.49 | 0.59 | 8.32 | 111 | 1.71 |
| predicted/observed | 0.56 | 0.84 | 0.71 | 1.51 | |
| fu +25% UGT2B7 R1 | 4.57 | 0.65 | 13.3 | 68.9 | 1.42 |
| predicted/observed | 0.74 | 0.92 | 1.13 | 0.93 |
© 2019 by the authors. Licensee MDPI, Basel, Switzerland. This article is an open access article distributed under the terms and conditions of the Creative Commons Attribution (CC BY) license (http://creativecommons.org/licenses/by/4.0/).
Share and Cite
Follman, K.E.; Morris, M.E. Simulation-Based Analysis of the Impact of Renal Impairment on the Pharmacokinetics of Highly Metabolized Compounds. Pharmaceutics 2019, 11, 105. https://doi.org/10.3390/pharmaceutics11030105
Follman KE, Morris ME. Simulation-Based Analysis of the Impact of Renal Impairment on the Pharmacokinetics of Highly Metabolized Compounds. Pharmaceutics. 2019; 11(3):105. https://doi.org/10.3390/pharmaceutics11030105
Chicago/Turabian StyleFollman, Kristin E., and Marilyn E. Morris. 2019. "Simulation-Based Analysis of the Impact of Renal Impairment on the Pharmacokinetics of Highly Metabolized Compounds" Pharmaceutics 11, no. 3: 105. https://doi.org/10.3390/pharmaceutics11030105
APA StyleFollman, K. E., & Morris, M. E. (2019). Simulation-Based Analysis of the Impact of Renal Impairment on the Pharmacokinetics of Highly Metabolized Compounds. Pharmaceutics, 11(3), 105. https://doi.org/10.3390/pharmaceutics11030105

