Densely PEGylated Polybenzofulvene Brushes for Potential Applications in Drug Encapsulation
Abstract
1. Introduction
2. Materials and Methods
2.1. Synthesis
2.1.1. Ethyl 2-(3,5-dihydroxybenzyl)-3-Oxo-3-Phenylpropanoate (2)
2.1.2. Ethyl 4,6-Dihydroxy-3-Phenyl-1H-Indene-2-Carboxylate (3)
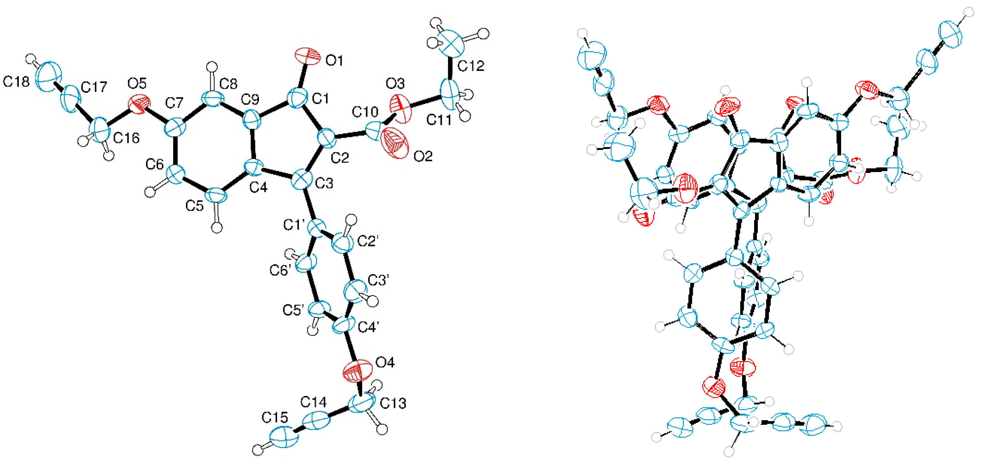
2.1.3. Ethyl 4,6-Dihydroxy-1-Oxo-3-Phenyl-1H-Indene-2-Carboxylate (4)
2.1.4. Ethyl 1-Oxo-3-Phenyl-4,6-Bis(prop-2-ynyloxy)-1H-Indene-2-Carboxylate (5)
2.1.5. Ethyl 1-Hydroxy-1-Methyl-3-Phenyl-4,6-Bis(prop-2-ynyloxy)-1H-Indene-2-Carboxylate (6)
2.1.6. Ethyl 1-Methylene-3-Phenyl-4,6-Bis(prop-2-ynyloxy)-1H-Indene-2-Carboxylate (4,6-PO-BF3k)
2.1.7. Poly[ethyl 1-methylene-3-phenyl-4,6-bis(prop-2-ynyloxy)-1H-indene-2-carboxylate] (Poly-4,6-PO-BF3k)
2.1.8. Poly[ethyl 4,6-bis[[1-(2,5,8,11,14,17,20,23,26-nonaoxaoctacosan-28-yl)-1H-1,2,3-triazol-4-yl]methoxy]-1-methylene-3-phenyl-1H-indene-2-carboxylate] (Poly-4,6-MOEG-9-TM-BF3k)
2.1.9. Ethyl 6-Hydroxy-3-(4-hydroxyphenyl)-1-Oxo-1H-Indene-2-Carboxylate (8)
2.1.10. Ethyl 1-Oxo-6-(prop-2-ynyloxy)-3-[4-(prop-2-ynyloxy)phenyl)-1H-Indene-2-Carboxylate (9)
2.1.11. Ethyl 1-Hydroxy-1-Methyl-6-(prop-2-ynyloxy)-3-[4-(prop-2-ynyloxy)phenyl)-1H-Indene -2-Carboxylate (10)
2.1.12. Ethyl 1-Methylene-6-(prop-2-ynyloxy)-3-[4-(prop-2-ynyloxy)phenyl)-1H-Indene-2-Carboxylate (4’,6-PO-BF3k)
2.1.13. Poly[ethyl 1-methylene-6-(prop-2-ynyloxy)-3-[4-(prop-2-ynyloxy)phenyl)-1H-indene-2-carboxylate] (Poly-4’,6-PO-BF3k)
2.1.14. Poly[ethyl 1-methylene-6-[[1-(2,5,8,11,14,17,20,23,26-nonaoxaoctacosan-28-yl)-1H-1,2,3-triazol-4-yl]methoxy]-3-[4-[[1-(2,5,8,11,14,17,20,23,26-nonaoxaoctacosan-28-yl)-1H-1,2,3-triazol-4-yl]methoxy]phenyl]-1H-indene-2-carboxylate] (Poly-4’,6-MOEG-9-TM-BF3k)
2.2. X-ray Crystallography
2.3. Mass Spectrometry
2.4. Wide-Angle X-ray Diffraction Studies
2.5. SEC-MALS
2.6. Dynamic Light Scattering (DLS) Analysis and ζ Potential Measurements
2.7. Transmission Electron Microscopy (TEM)
2.8. Cytotoxicity Evaluation
2.9. Statistical Analysis
3. Results and Discussion
3.1. Synthesis
3.2. Structure of Poly-4,6-PO-BF3k and Poly-4’,6-PO-BF3k
3.2.1. NMR Spectroscopy
3.2.2. MALDI-TOF Mass Spectrometry
3.2.3. Wide-Angle X-ray Diffraction Studies
3.2.4. Molecular Weight Distribution Characterization
3.3. Structure of PPBFB Poly-4,6-MOEG-9-TM-BF3k and Poly-4’,6-MOEG-9-TM-BF3k
3.3.1. NMR Spectroscopy
3.3.2. MALDI-TOF Mass Spectrometry
3.3.3. Molecular Weight Distribution Characterization
3.4. Aggregation Features of Poly-4,6-MOEG-9-TM-BF3k and Poly-4’,6-MOEG-9-TM-BF3k
3.4.1. Dynamic Light Scattering Analysis
3.4.2. Transmission Electron Microscopy
3.4.3. Aggregation Mechanism
3.5. Biocompatibility of PPBFB Derivatives Poly-4,6-MOEG-9-TM-BF3k and Poly-4’,6-MOEG-9-TM-BF3k
4. Conclusions
Author Contributions
Funding
Acknowledgments
Conflicts of Interest
References
- Polymeropoulos, G.; Zapsas, G.; Ntetsikas, K.; Bilalis, P.; Gnanou, Y.; Hadjichristidis, N. 50th anniversary perspective: Polymers with complex architectures. Macromolecules 2017, 50, 1253–1290. [Google Scholar] [CrossRef]
- Zhang, M.; Muller, A.H.E. Cylindrical polymer brushes. J. Polym. Sci. Part A Polym. Chem. 2005, 43, 3461–3481. [Google Scholar] [CrossRef]
- Sheiko, S.S.; Sumerlin, B.S.; Matyjaszewski, K. Cylindrical molecular brushes: Synthesis, characterization, and properties. Prog. Polym. Sci. 2008, 33, 759–785. [Google Scholar] [CrossRef]
- Borner, H.G.; Matyaszewski, K. Graft copolymers by atom transfer radical polymerization. Macromol. Symp. 2002, 177, 1–15. [Google Scholar] [CrossRef]
- Neiser, M.W.; Okuda, J.; Schmidt, M. Polymerization of macromonomers to cylindrical brushes initiated by organolanthanides. Macromolecules 2003, 36, 5437–5439. [Google Scholar] [CrossRef]
- Van Campa, W.; Germonpré, V.; Mespouille, L.; Dubois, P.; Goethals, E.J.; Du Prez, F.E. New poly(acrylic acid) containing segmented copolymer structures by combination of ‘click’ chemistry and atom transfer radical polymerization. React. Funct. Polym. 2007, 67, 1168–1180. [Google Scholar] [CrossRef]
- Jonata, M.; Masar, B.; Ludek, T.; Vlcek, P.; Latalova, P.; Brus, J.; Holler, P. Synthesis of novel types of graft copolymers by a ‘grafting-from’ method using ring-opening polymerization of lactones and lactides. React. Funct. Polym. 2003, 57, 137–146. [Google Scholar] [CrossRef]
- Rubio, N.; Au, H.; Leese, H.S.; Hu, S.; Clancy, A.J.; Shaffe, M.S.P. Grafting from versus grafting to approaches for the functionalization of graphene nanoplatelets with poly(methyl methacrylate). Macromolecules 2017, 50, 7070–7079. [Google Scholar] [CrossRef]
- Cappelli, A.; Pericot Mohr, G.; Anzini, M.; Vomero, S.; Donati, A.; Casolaro, M.; Mendichi, R.; Giorgi, G.; Makovec, F. Synthesis and characterization of a new benzofulvene polymer showing a thermoreversible polymerization behavior. J. Org. Chem. 2003, 68, 9473–9476. [Google Scholar] [CrossRef] [PubMed]
- Cappelli, A.; Anzini, M.; Vomero, S.; Donati, A.; Zetta, L.; Mendichi, R.; Casolaro, M.; Lupetti, P.; Salvatici, P.; Giorgi, G. New π-stacked benzofulvene polymer showing thermoreversible polymerization: Studies in macromolecular and aggregate structures and polymerization mechanism. J. Polym. Sci. A 2005, 43, 3289–3304. [Google Scholar] [CrossRef]
- Cappelli, A.; Galeazzi, S.; Giuliani, G.; Anzini, M.; Donati, A.; Zetta, L.; Mendichi, R.; Aggravi, M.; Giorgi, G.; Paccagnini, E.; et al. Structural manipulation of benzofulvene derivatives showing spontaneous thermoreversible polymerization. Role of the substituents in the modulation of polymer properties. Macromolecules 2007, 40, 3005–3014. [Google Scholar] [CrossRef]
- Cappelli, A.; Galeazzi, S.; Giuliani, G.; Anzini, M.; Aggravi, M.; Donati, A.; Zetta, L.; Boccia, A.C.; Mendichi, R.; Giorgi, G.; et al. Anionic polymerization of a benzofulvene monomer leading to a thermoreversible π-stacked polymer. Studies in macromolecular and aggregate structure. Macromolecules 2008, 41, 2324–2334. [Google Scholar] [CrossRef]
- Cappelli, A.; Paolino, M.; Grisci, G.; Giuliani, G.; Donati, A.; Mendichi, R.; Boccia, A.C.; Botta, C.; Mroz, W.; Samperi, F.; et al. Synthesis and characterization of charge-transporting π-stacked polybenzofulvene derivatives. J. Mater. Chem. 2012, 22, 9611–9623. [Google Scholar] [CrossRef]
- Cappelli, A.; Paolino, M.; Grisci, G.; Giuliani, G.; Donati, A.; Boccia, A.C.; Samperi, F.; Mendichi, R.; Vomero, S. Reversible polymerization techniques leading to π-stacked polymers. In π-Stacked Polymers and Molecules: Theory, Synthesis, and Properties; Nakano, T., Ed.; Springer: Tokyo, Japan, 2014; pp. 51–149. [Google Scholar]
- Paolino, M.; Grisci, G.; Reale, A.; Razzano, V.; Giuliani, G.; Donati, A.; Mendichi, R.; Piovani, D.; Boccia, A.C.; Grillo, A.; et al. Structural Manipulation of the Conjugated Phenyl Moiety in 3-Phenylbenzofulvene Monomers: Effects on Spontaneous Polymerization. Polymers 2018, 10, 752. [Google Scholar] [CrossRef]
- Cappelli, A.; Villafiorita-Monteleone, F.; Grisci, G.; Paolino, M.; Razzano, V.; Fabio, G.; Giuliani, G.; Donati, A.; Mendichi, R.; Boccia, A.C.; et al. Highly emissive supramolecular assemblies based on π-stacked polybenzofulvene hosts and a benzothiadiazole guest. J. Mater. Chem. C 2014, 2, 7897–7905. [Google Scholar] [CrossRef]
- Cappelli, A.; Razzano, V.; Paolino, M.; Grisci, G.; Giuliani, G.; Donati, A.; Mendichi, R.; Samperi, F.; Battiato, S.; Boccia, A.C.; et al. Bithiophene-based polybenzofulvene derivatives with high stacking and hole mobility. Polym. Chem. 2015, 6, 7377–7388. [Google Scholar] [CrossRef]
- Villafiorita-Monteleone, F.; Cappelli, A.; Paolino, M.; Colombo, M.; Cariati, E.; Mura, A.; Bongiovanni, G.; Botta, C. Aggregation-induced förster resonance energy transfer in polybenzofulvene/dye nanoparticles. J. Phys. Chem. C 2015, 119, 18986–18991. [Google Scholar] [CrossRef]
- Mróz, W.; Villafiorita-Monteleone, F.; Pasini, M.; Grisci, G.; Paolino, M.; Razzano, V.; Cappelli, A.; Botta, C. π-Stacked polybenzofulvene derivatives as hosts for yellow and red emitting OLEDs. Mater. Lett. 2015, 142, 197–200. [Google Scholar] [CrossRef]
- Cappelli, A.; Razzano, V.; Fabio, G.; Paolino, M.; Grisci, G.; Giuliani, G.; Donati, A.; Mendichi, R.; Mróz, W.; Villafiorita-Monteleone, F.; et al. Side chain engineering in π-stacked polybenzofulvene derivatives bearing electron-rich chromophores for OLED applications. RSC Adv. 2015, 5, 101377–101385. [Google Scholar] [CrossRef]
- Villafiorita-Monteleone, F.; Kozma, E.; Pasini, M.; Paolino, M.; Cappelli, A.; Bongiovanni, G.; Mura, A.; Botta, C. Polybenzofulvenes-based blends with benzothiadiazole and perylene diimide derivatives emitting fromyellow to the deep-red by resonant energy transfer processes. Appl. Phys. Lett. 2017, 110, 183301. [Google Scholar] [CrossRef]
- Villafiorita-Monteleone, F.; Kozma, E.; Giovanella, U.; Catellani, M.; Paolino, M.; Collico, V.; Colombo, M.; Cappelli, A.; Botta, C. Red and deep-red emissive polymeric nanoparticles based on polybenzofulvene and perylenediimide derivatives. Dyes Pigment. 2018, 149, 331–335. [Google Scholar] [CrossRef]
- Fabrizi de Biani, F.; Reale, A.; Razzano, V.; Paolino, M.; Giuliani, G.; Donati, A.; Giorgi, G.; Mróz, W.; Piovani, D.; Botta, C.; et al. Electrochemical and optoelectronic properties of terthiophene- and bithiophene-based polybenzofulvene derivatives. RSC Adv. 2018, 8, 10836–10847. [Google Scholar] [CrossRef]
- Paolino, M.; Grisci, G.; Giuliani, G.; Zanardi, I.; Andreassi, M.; Travagli, V.; Licciardi, M.; Scialabba, C.; Giammona, G.; Cappelli, A.; et al. π-Stacked polymers in drug delivery applications. J. Drug Deliv. Sci. Technol. 2016, 32, 142–166. [Google Scholar] [CrossRef]
- Cappelli, A.; Galeazzi, S.; Giuliani, G.; Anzini, M.; Grassi, M.; Lapasin, R.; Grassi, G.; Farra, R.; Dapas, B.; Aggravi, M.; et al. Synthesis and spontaneous polymerization of oligo(ethylene glycol)-conjugated benzofulvene macromonomers. A polymer brush forming a physical hydrogel. Macromolecules 2009, 42, 2368–2378. [Google Scholar] [CrossRef]
- Cappelli, A.; Paolino, M.; Anzini, P.; Giuliani, G.; Valenti, S.; Aggravi, M.; Donati, A.; Mendichi, R.; Zetta, L.; Boccia, A.C.; et al. Structure-property relationships in densely grafted π-stacked polymers. J. Polym. Sci. A 2010, 48, 2446–2461. [Google Scholar] [CrossRef]
- Cappelli, A.; Paolino, M.; Grisci, G.; Giuliani, G.; Donati, A.; Mendichi, R.; Boccia, A.C.; Samperi, F.; Battiato, S.; Paccagnini, E.; et al. A click chemistry-based “grafting through” approach to the synthesis of a biorelevant polymer brush. Polym. Chem. 2011, 2, 2518–2527. [Google Scholar] [CrossRef]
- Cappelli, A.; Grisci, G.; Paolino, M.; Castriconi, F.; Giuliani, G.; Donati, A.; Lamponi, S.; Mendichi, R.; Boccia, A.C.; Samperi, F.; et al. Combining spontaneous polymerization and click reactions for the synthesis of polymer brushes: A ‘grafting onto’ approach. Chem. A Eur. J. 2013, 19, 9710–9721. [Google Scholar] [CrossRef] [PubMed]
- Licciardi, M.; Grassi, M.; Di Stefano, M.; Feruglio, L.; Giuliani, G.; Valenti, S.; Cappelli, A.; Giammona, G. PEG-benzofulvene copolymer hydrogels for antibody delivery. Int. J. Pharm. 2010, 390, 183–190. [Google Scholar] [CrossRef] [PubMed]
- Licciardi, M.; Amato, G.; Cappelli, A.; Paolino, M.; Giuliani, G.; Belmonte, B.; Guarnotta, C.; Pitarresi, G.; Giammona, G. Evaluation of thermoresponsive properties and biocompatibility of polybenzofulvene aggregates for leuprolide delivery. Int. J. Pharm. 2012, 438, 279–286. [Google Scholar] [CrossRef] [PubMed]
- Baars, M.W.P.L.; Karlsson, A.J.; Sorokin, V.; De Waal, B.F.W.; Meijer, E.W. Supramolecular modification of the periphery of dendrimers resulting in rigidity and functionality. Angew. Chem. Int. Ed. 2000, 39, 4262–4265. [Google Scholar] [CrossRef]
- Hermans, T.M.; Broeren, M.A.C.; Gomopoulos, N.; Smeijers, A.F.; Mezari, B.; Van Leeuwen, E.N.M.; Vos, M.R.J.; Magusin, P.C.M.M.; Hilbers, P.A.J.; Van Genderen, M.H.P.; et al. Stepwise noncovalent synthesis leading to dendrimer-based assemblies in water. J. Am. Chem. Soc. 2007, 129, 15631–15638. [Google Scholar] [CrossRef] [PubMed]
- Galeazzi, S.; Hermans, T.M.; Paolino, M.; Anzini, M.; Mennuni, L.; Giordani, A.; Caselli, G.; Makovec, F.; Meijer, E.W.; Vomero, S.; et al. Multivalent supramolecular dendrimer-based drugs. Biomacromolecules 2010, 11, 182–186. [Google Scholar] [CrossRef] [PubMed]
- Cappelli, A.; Grisci, G.; Paolino, M.; Razzano, V.; Giuliani, G.; Donati, A.; Bonechi, C.; Mendichi, R.; Boccia, A.C.; Licciardi, M.; et al. Polybenzofulvene derivatives bearing dynamic binding sites as potential anticancer drug delivery systems. J. Mater. Chem. B 2015, 3, 361–374. [Google Scholar] [CrossRef]
- Cappelli, A.; Paolino, M.; Grisci, G.; Razzano, V.; Giuliani, G.; Donati, A.; Bonechi, C.; Mendichi, R.; Battiato, S.; Samperi, F.; et al. Hyaluronan-coated polybenzofulvene brushes as biomimetic materials. Polym. Chem. 2016, 7, 6529–6544. [Google Scholar] [CrossRef]
- Licciardi, M.; Scialabba, C.; Giammona, G.; Paolino, M.; Razzano, V.; Grisci, G.; Giuliani, G.; Makovec, F.; Cappelli, A. Design and development of hyaluronan-functionalized polybenzofulvene nanoparticles as CD44 receptor mediated drug delivery system. J. Nanopart. Res. 2017, 19, 197. [Google Scholar] [CrossRef]
- Meldal, M.; Tomøe, C.W. Cu-catalyzed azide-alkyne cycloaddition. Chem. Rev. 2008, 108, 2952–3015. [Google Scholar] [CrossRef] [PubMed]
- Sheldrick, G.M. A short history of SHELX. Acta Crystallogr. A 2008, 64, 112–122. [Google Scholar] [CrossRef] [PubMed]
- Sheldrick, G.M. Crystal structure refinement with SHELXL. Acta Crystallogr. C Struct. Chem. 2015, 71, 3–8. [Google Scholar] [CrossRef] [PubMed]
- Chand, S.; Banwell, M.G. Biomimetic preparation of the racemic modifications of the stilbenolignan aiphanol and three congeners. Aust. J. Chem. 2007, 60, 243–250. [Google Scholar] [CrossRef]























| Polymer (batch n) | Mpa (kg/mol) | MWb (kg/mol) | PDIc | Rgd (nm) | Ke (nm) | α e | Recov. f (%) |
|---|---|---|---|---|---|---|---|
| poly-4,6-PO-BF3k (1) | 396 | 693 | 3.8 | 45.0 | 0.0231 | 0.52 | 91 |
| poly-4,6-PO-BF3k (2) | 275 | 307 | 2.5 | 20.6 | 0.0196 | 0.53 | 98 |
| poly-4’,6-PO-BF3k (1) | 33.3 | 65.3 | 1.9 | 11.9 | 0.0336 | 0.48 | 91 |
| poly-4’,6-PO-BF3k (2) | 468 | 622 | 3.1 | 31.3 | 0.0223 | 0.51 | 87 |
| poly-4’,6-PO-BF3k (3) | 529 | 781 | 3.5 | 36.8 | 0.0218 | 0.51 | 83 |
| poly-4’,6-PO-BF3k (4) | 1059 | 961 | 5.7 | 45.0 | 0.0493 | 0.47 | 12 |
| poly-4’,6-PO-BF3k (5) | 1652 | 1348 | 3.3 | 48.5 | 0.0421 | 0.48 | 28 |
| poly-4’,6-PO-BF3k (6) | 1926 | 1351 | 3.0 | 46.1 | 0.0319 | 0.50 | 70 |
| poly-4’,6-PO-BF3k (7) | 2747 | 2375 | 2.7 | 42.8 | 0.0183 | 0.51 | 55 |
| poly-4’,6-PO-BF3k (8) | 3444 | 3118 | 2.4 | 79.9 | 0.0852 | 0.44 | 56 |
| poly-6-PO-BF3k | 2030 | 1794 | 2.2 | 51.5 | 0.0101 | 0.58 | |
| poly-6-MO-BF3k | 312 | 347 | 4.3 | 19.4 | 0.0058 | 0.61 | |
| poly-BF3k | 1900 | 1506 | 3.4 | 49.9 | 0.0066 | 0.60 |
| Polymer | Mpa (kg/mol) | MWb (kg/mol) | PDIc | Rgd (nm) | Ke (nm) | α e | Recov. f (%) |
|---|---|---|---|---|---|---|---|
| poly-4,6-MOEG-9-TM-BF3k | 121 | 279 | 6.4 | 22.3 | 0.0249 | 0.50 | 95 |
| poly-6-MOEG-9-TM-BF3k-GO | 484 | 821 | 8.9 | 33.6 | 0.0249 | 0.50 | |
| poly-6-MOEG-9-TM-BF3k-GT | 193 | 358 | 3.9 | 15.5 | |||
| poly-6-MOEG-9-BF3k | 527 | 456 | 1.8 | 20.8 | |||
| poly-2-MOEG-9-BF1 | 74 | 175 | 3.0 |
| Polymer Sample | Z-Average (nm) | PDI | Z-Potential (mV) |
|---|---|---|---|
| poly-4,6-MOEG-9-TM-BF3k | 12 | 0.47 | −14.8 ± 5.2 |
| poly-4’,6-MOEG-9-TM-BF3k | 36 | 0.34 | −12.0 ± 5.4 |
© 2018 by the authors. Licensee MDPI, Basel, Switzerland. This article is an open access article distributed under the terms and conditions of the Creative Commons Attribution (CC BY) license (http://creativecommons.org/licenses/by/4.0/).
Share and Cite
Paolino, M.; Grisci, G.; Castriconi, F.; Reale, A.; Giuliani, G.; Donati, A.; Bonechi, C.; Giorgi, G.; Mendichi, R.; Piovani, D.; et al. Densely PEGylated Polybenzofulvene Brushes for Potential Applications in Drug Encapsulation. Pharmaceutics 2018, 10, 234. https://doi.org/10.3390/pharmaceutics10040234
Paolino M, Grisci G, Castriconi F, Reale A, Giuliani G, Donati A, Bonechi C, Giorgi G, Mendichi R, Piovani D, et al. Densely PEGylated Polybenzofulvene Brushes for Potential Applications in Drug Encapsulation. Pharmaceutics. 2018; 10(4):234. https://doi.org/10.3390/pharmaceutics10040234
Chicago/Turabian StylePaolino, Marco, Giorgio Grisci, Federica Castriconi, Annalisa Reale, Germano Giuliani, Alessandro Donati, Claudia Bonechi, Gianluca Giorgi, Raniero Mendichi, Daniele Piovani, and et al. 2018. "Densely PEGylated Polybenzofulvene Brushes for Potential Applications in Drug Encapsulation" Pharmaceutics 10, no. 4: 234. https://doi.org/10.3390/pharmaceutics10040234
APA StylePaolino, M., Grisci, G., Castriconi, F., Reale, A., Giuliani, G., Donati, A., Bonechi, C., Giorgi, G., Mendichi, R., Piovani, D., Boccia, A. C., Canetti, M., Samperi, F., Dattilo, S., Scialabba, C., Licciardi, M., Paccagnini, E., Gentile, M., & Cappelli, A. (2018). Densely PEGylated Polybenzofulvene Brushes for Potential Applications in Drug Encapsulation. Pharmaceutics, 10(4), 234. https://doi.org/10.3390/pharmaceutics10040234

