Solid Lipid Nanoparticles for Dibucaine Sustained Release
Abstract
1. Introduction
2. Materials and Methods
2.1. Materials
2.2. Methods
2.2.1. Solid Lipid Nanoparticles: Preparation Methods
2.2.2. Dibucaine (DBC) Quantification
2.2.3. Encapsulation Efficiency Test
2.2.4. Determination of Solid Lipid Nanoparticles (SLN) Particle Size, Polydispersity Index, and Zeta Potential
2.2.5. Nanoparticle Tracking Analysis (NTA)
2.2.6. Transmission Electron Microscopy (TEM)
2.2.7. Differential Scanning Calorimetry (DSC)
2.2.8. Electron Paramagnetic Resonance (EPR)
2.2.9. In Vitro Release Experiments
2.2.10. Mathematical Modeling of the Release Kinetic Curves
2.2.11. In Vitro Cytotoxicity
2.2.12. Tail Flick Test
2.2.13. Statistical Analyses
3. Results
3.1. Characterization of SLNs
3.2. In Vitro Release Profile of DBC
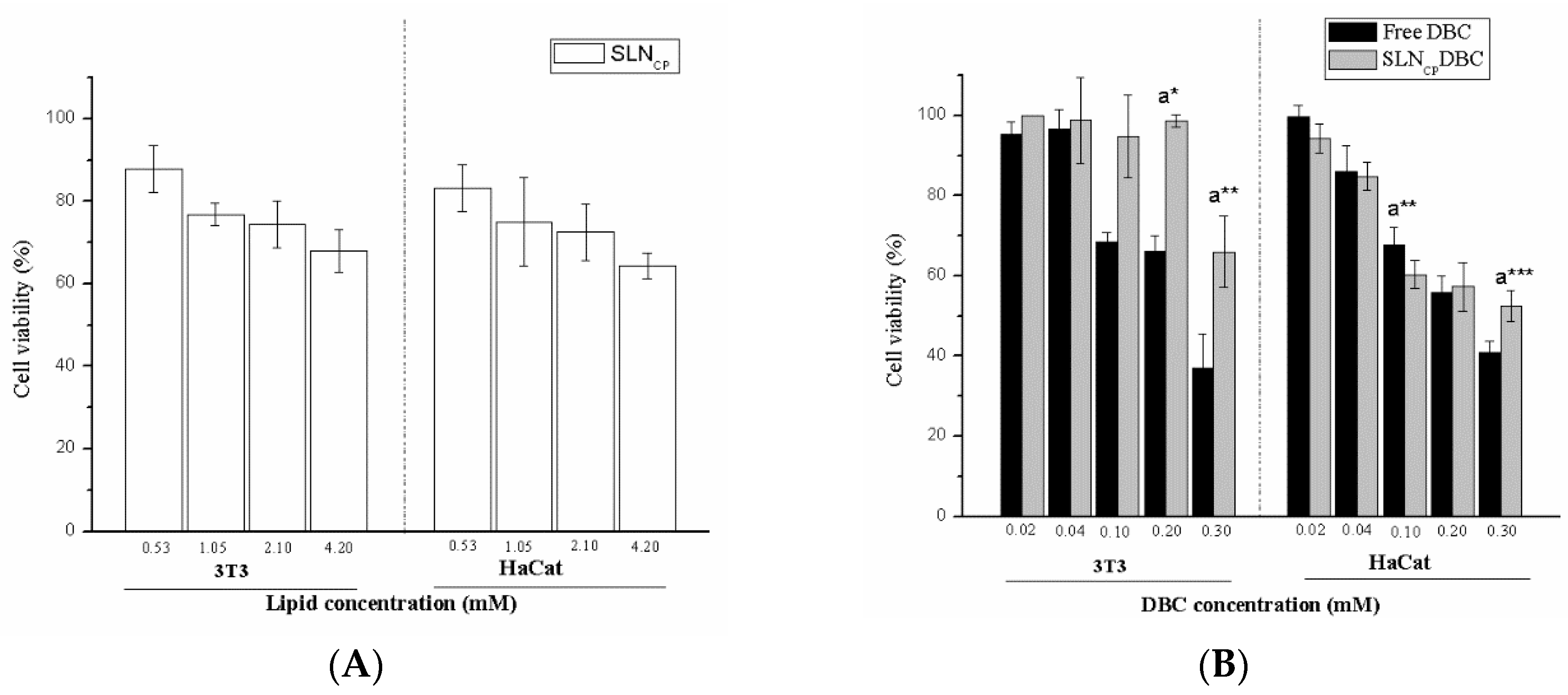
3.3. In Vitro Cytotoxicity
3.4. Tail Flick Test
4. Discussion
5. Conclusions
Supplementary Materials
Author Contributions
Funding
Acknowledgments
Conflicts of Interest
Abbreviations
| 5-SASL | doxyl-stearic acid spin labels |
| CI | crystallinity index |
| CP | cetyl palmitate |
| DBC | dibucaine |
| DSC | differential scanning calorimetry |
| EE | encapsulation efficiency |
| EPR | electron paramagnetic resonance |
| HaCat cells | immortalized human keratinocytes |
| H-P | high pressure |
| MM | myristyl myristate |
| MTT | 3-(4,5-dimethylthiazol-2-yl)-2,5-diphenyltetrazolium bromide |
| NTA | Nanoparticle tracking analysis |
| PCS | photon correlation spectroscopy |
| PI | polydispersity index |
| Size | Z-average |
| SLN | solid lipid nanoparticles |
| TEM | transmission electron microscopy |
| U-S | ultrasonication |
References
- De Paula, E.; Cereda, C.M.; Fraceto, L.F.; de Araujo, D.R.; Franz-Montan, M.; Tofoli, G.R.; Ranali, J.; Volpato, M.C.; Groppo, F.C. Micro and nanosystems for delivering local anesthetics. Expert Opin. Drug Deliv. 2012, 9, 1505–1524. [Google Scholar] [CrossRef] [PubMed]
- Butterworth, J.F.T.; Strichartz, G.R. Molecular mechanisms of local anesthesia: A review. Anesthesiology 1990, 72, 711–734. [Google Scholar] [CrossRef] [PubMed]
- De Paula, E.; Schreier, S. Use of a novel method for determination of partition coefficients to compare the effect of local anesthetics on membrane structure. Biochim. Biophys. Acta 1995, 1240, 25–33. [Google Scholar] [CrossRef]
- Lorite, G.S.; Nobre, T.M.; Zaniquelli, M.E.D.; de Paula, E.; Cotta, M.A. Dibucaine effects on structural and elastic properties of lipid bilayers. Biophys. Chem. 2009, 139, 75–83. [Google Scholar] [CrossRef] [PubMed]
- Abdel-Ghani, N.T.; Youssef, A.F.; Awady, M.A. Cinchocaine hydrochloride determination by atomic absorption spectrometry and spectrophotometry. Farmaco 2005, 60, 419–424. [Google Scholar] [CrossRef] [PubMed]
- Hanzlicek, A.S.; van der Merwe, D. Dibucaine toxicosis in a dog. J. Med. Toxicol. 2010, 6, 44–49. [Google Scholar] [CrossRef] [PubMed]
- Jenning, V.; Lippacher, A.; Gohla, H. Medium scale production of solid lipid nanoparticles (SLN) by high pressure homogenization. J. Microencapsul. 2008, 19, 1–10. [Google Scholar] [CrossRef] [PubMed]
- Dingler, A.; Gohla, S. Production of solid lipid nanoparticles (SLN): Scaling up feasibilities. J. Microencapsul. 2002, 19, 11–16. [Google Scholar] [CrossRef] [PubMed]
- Barbosa, R.M.; Da Silva, C.M.; Bella, T.S.; De Araújo, D.R.; Marcato, P.D.; Durán, N.; De Paula, E. Cytotoxicity of solid lipid nanoparticles and nanostructured lipid carriers containing the local anesthetic dibucaine designed for topical application. J. Phys. Conf. Ser. 2013, 429, 1–8. [Google Scholar] [CrossRef]
- Pathak, P.; Nagarsenker, M. Formulation and evaluation of lidocaine lipid nanosystems for dermal delivery. AAPS PharmSciTech. 2009, 10, 985–992. [Google Scholar] [CrossRef] [PubMed]
- Da Silva, G.H.; Ribeiro, L.N.; Mitsutake, H.; Guilherme, V.A.; Castro, S.R.; Poppi, R.J.; Breitkreitz, M.C.; de Paula, E. Optimised NLC: A nanotechnological approach to improve the anaesthetic effect of bupivacaine. Int. J. Pharm. 2017, 529, 253–263. [Google Scholar] [CrossRef] [PubMed]
- Melo, N.F.; Campos, E.V.; Franz-Montan, M.; Paula, E.D.; Silva, C.M.; Maruyama, C.R.; Stigliani, T.P.; Lima, R.D.; Araújo, D.R.; Fraceto, L.F. Characterization of Articaine-Loaded Poly (ε-caprolactone) Nanocapsules and Solid Lipid Nanoparticles in Hydrogels for Topical Formulations. J. Nanosci. Nanotechnol. 2018, 18, 4428–4438. [Google Scholar] [CrossRef] [PubMed]
- Neves Borgheti-Cardoso, L.; MGelfuso, G.; FVLopez, R.; Gratieri, T. Topical and Transdermal Delivery of Drug-Loaded Nano/ Microsystems with Application of Physical Enhancement Techniques. Curr. Drug Targets 2016, 17, 1545–1559. [Google Scholar] [CrossRef]
- Sengar, V.; Jyoti, K.; Jain, U.K.; Katare, O.P.; Chandra, R.; Madan, J. Chapter 10—Lipid nanoparticles for topical and transdermal delivery of pharmaceuticals and cosmeceuticals: A glorious victory. In Lipid Nanocarriers for Drug Targeting; Grumezescu, A.M., Ed.; William Andrew Publishing: Norwich, NY, USA, 2018; pp. 413–436. ISBN 9780128136874. [Google Scholar]
- Catterall, W.; Mackie, K. Local anesthetics. In Goodman and Gilman’s The Pharmacological Basis of Therapeutics; Brunton, L., Chabner, B., Knollma, B., Eds.; McGraw-Hill: New York, NY, USA, 2010. [Google Scholar]
- Kang, C.; Shin, S.C. Preparation and evaluation of bioadhesive dibucaine gels for enhanced local anesthetic action. Arch. Pharm. Res. 2010, 33, 1277–1283. [Google Scholar] [CrossRef] [PubMed]
- Schwarz, C.; Mehnert, W. Solid lipid nanoparticles (SLN) for controlled drug delivery II. drug in corporation and physicochemical characterization. J. Microencapsul. 1999, 16, 205–2013. [Google Scholar] [CrossRef] [PubMed]
- Barbosa, R.D.; Klassen, A.; Marcato, P.D.; Franz-Montan, M.; Grillo, R.; Fraceto, L.F.; de Paula, E. Validation of an HPLC method for the determination of dibucaine encapsulated in solid lipid nanoparticles and nanostructured lipid carriers. Lat. Am. J. Pharm. 2013, 32, 1362–1369. [Google Scholar]
- Ribeiro, L.N.M.; Couto, V.M.; Fraceto, L.F.; de Paula, E. Use of nanoparticle concentration as a tool to understand the structural properties of colloids. Sci. Rep. 2018, 8, 982. [Google Scholar] [CrossRef] [PubMed]
- Schubert, M.A.; Müller-Goymann, C.C. Characterisation of surface-modified solid lipid nanoparticles (SLN): Influence of lecithin and nonionic emulsifier. Eur. J. Pharm. Biopharm. 2005, 61, 77–86. [Google Scholar] [CrossRef] [PubMed]
- Barbosa, R.M.; Casadei, B. R.; Severino, P.; Duarte, E.L.; Barbosa, L.R.; Duran, N.; de Paula, E. Electron Paramagnetic Resonance and Small-Angle X-ray Scattering Characterization of Solid Lipid Nanoparticles and Nanostructured Lipid Carriers for Dibucaine Encapsulation. Langmuir 2018, 34, 13296–13304. [Google Scholar] [CrossRef] [PubMed]
- Lukowski, G.; Kasbohm, J.; Pflegel, P.; Illing, A.; Wulff, H. Crystallographic investigation of cetylpalmitate solid lipid nanoparticles. Int. J. Pharm. 2000, 196, 201–205. [Google Scholar] [CrossRef]
- Ribeiro de Souza, A.L.; Andreani, T.; Nunes, F.M.; Cassimiro, D.L.; de Almeida, A.E.; Ribeiro, C.A.; Sarmento, V.; Hugo, V.; Daflon Gremiao, M.P.; Silva, A.M.; et al. Loading of praziquantel in the crystal lattice of solid lipid nanoparticles. J. Therm. Anal. Calorim. 2012, 108, 353–360. [Google Scholar] [CrossRef]
- Jost, P.; Libertini, L.J.; Hebert, V.C.; Griffith, O.H. Lipid spin labels in lecithin multilayers. A study of motion along fatty acid chains. J. Mol. Biol. 1971, 59, 77–98. [Google Scholar] [CrossRef]
- Marsh, D. Electron Spin Resonance: Spin Labels. In Membrane Spectroscopy; Grel, E., Ed.; Springer: Berlin, Germany, 1981; pp. 51–142. [Google Scholar]
- Langenbucher, F. Parametric representation of dissolution- rate curves by the RRSBW distribution. Pharm. Ind. 1976, 38, 472–477. [Google Scholar]
- Doganaksoy, N. Weibull Models; John Wiley & Sons: Hoboken, NJ, USA, 2004; Volume 46, p. 485. [Google Scholar]
- Korsmeyer, R.W.; Gurny, R.; Doelker, E.; Buri, P.; Peppas, N.A. Mechanisms of solute release from porous hydrophilic polymers. Int. J. Pharm. 1983, 15, 25–35. [Google Scholar] [CrossRef]
- Ritger, P.L.; Peppas, N.A. A simple equation for description of solute release I. Fickian and non-fickian release from non-swellable devices in the form of slabs, spheres, cylinders or discs. J. Control. Release 1987, 5, 23–36. [Google Scholar] [CrossRef]
- Mosmann, T. Rapid colorimetric assay for cellular growth and survival: Application to proliferation and cytotoxicity assays. J. Immunol. Methods 1983, 65, 55–63. [Google Scholar] [CrossRef]
- D’Amour, F.E.; Smith, D.L. A method for determining loss of pain sensation. J. Pharmacol. Exp. Ther. 1941, 72, 74–79. [Google Scholar]
- Yu, H.-Y.; Li, S.-D.; Sun, P. Kinetic and dynamic studies of liposomal bupivacaine and bupivacaine solution after subcutaneous injection in rats. J. Pharm. Pharmacol. 2002, 54, 1221–1227. [Google Scholar] [CrossRef] [PubMed]
- Muller, R.H.; Mader, K.; Gohla, S. Solid lipid nanoparticles (SLN) for controlled drug delivery ± a review of the state of the art. Eur. J. Pharm. Biopharm. 2000, 50, 161–177. [Google Scholar] [CrossRef]
- Filipe, V.; Hawe, A.; Jiskoot, W. Critical evaluation of Nanoparticle Tracking Analysis (NTA) by NanoSight for the measurement of nanoparticles and protein aggregates. Pharm. Res. 2010, 27, 796–810. [Google Scholar] [CrossRef] [PubMed]
- Padmanabhan, G.R. Dibucaine and Dibucaine Hydrochloride. In Analytical Profiles of Drugs Substances; Academic Press: New York, NY, USA, 1983. [Google Scholar]
- Siekmann, B.; Westesen, K. Thermoanalysis of the recrystallization process of melt-homogenized glyceride nanoparticles. Colloids Surf. B Biointerfaces 1994, 3, 159–175. [Google Scholar] [CrossRef]
- Mainali, L.; Raguz, M.; O’Brien, W.; Subczynski, W. Properties of fiber cell plasma membranes isolated from the cortex and nucleus of the porcine eye lens. Exp. Eye Res. 2012, 97, 117–129. [Google Scholar] [CrossRef] [PubMed]
- Silva, A.C.; Kumar, A.; Wild, W.; Ferreira, D.; Santos, D.; Forbes, B. Long-term stability, biocompatibility and oral delivery potential of risperidone-loaded solid lipid nanoparticles. Int. J. Pharm. 2012, 436, 798–805. [Google Scholar] [CrossRef] [PubMed]
- Muchow, M.; Müller, R.H. Lipid Nanoparticles with a Solid Matrix (SLN®, NLC®, LDC ®). Drug Dev. Ind. Pharm. 2008, 34, 1394–1405. [Google Scholar] [CrossRef] [PubMed]
- Nathalie, D.; Yannick, G.; Caroline, B.; Sandrine, D.; Claude, F.; Corinne, C.; Pierre-Jacques, F. Assessment of the phototoxic hazard of some essential oils using modified 3T3 neutral red uptake assay. Toxicol. In Vitro 2006, 20, 480–489. [Google Scholar] [CrossRef] [PubMed]
- Gupta, S.; Kesarla, R.; Chotai, N.; Misra, A.; Omri, A. Systematic approach for the formulation and optimization of solid lipid nanoparticles of efavirenz by high pressure homogenization using design of experiments for brain targeting and enhanced bioavailability. Biomed. Res. Int. 2017, 2017, 5984014. [Google Scholar] [CrossRef] [PubMed]
- Müller, R.H.; Radtke, M.; Wissing, S. Solid lipid nanoparticles (SLN) and nanostructured lipid carriers (NLC) in cosmetic and dermatological preparations. Adv. Drug Deliv. Rev. 2002, 54 (Suppl. 1), S131–S155. [Google Scholar] [CrossRef]
- Malheiros, S.V.; Pinto, L.M.; Gottardo, L.; Yokaichiya, D.K.; Fraceto, L.F.; Meirelles, N.C.; de Paula, E. A new look at the hemolytic effect of local anesthetics, considering their real membrane/water partitioning at pH 7.4. Biophys. Chem. 2004, 110, 213–221. [Google Scholar] [CrossRef] [PubMed]
- Pawar, K.R.; Babu, R.J. Polymeric and lipid-based materials for topical nanoparticle delivery systems. Crit. Rev. Ther. Drug Carrier Syst. 2010, 27, 419–459. [Google Scholar] [CrossRef] [PubMed]
- Attama, A.A. SLN, NLC, LDC: State of the art in drug and active delivery. Recent Pat. Drug Deliv. 2011, 5, 178–187. [Google Scholar] [CrossRef]
- Battaglia, L.; Gallarate, M. Lipid nanoparticles: State of the art, new preparation methods and challenges in drug delivery. Expert Opin. Drug Deliv. 2012, 9, 497–508. [Google Scholar] [CrossRef] [PubMed]
- Teeranachaideekul, V.; Müller, R.H.; Junyaprasert, V.B. Encapsulation of ascorbyl palmitate in nanostructured lipid carriers (NLC)—Effects of formulation parameters on physicochemical stability. Int. J. Pharm. 2007, 340, 198–206. [Google Scholar] [CrossRef] [PubMed]
- Bender, E.A.; Adorne, M.D.; Colome, L.M.; Abdalla, D.S.P.; Guterres, S.S.; Pohlmann, A.R. Hemocompatibility of poly(varepsilon-caprolactone) lipid-core nanocapsules stabilized with polysorbate 80-lecithin and uncoated or coated with chitosan. Int. J. Pharm. 2012, 426, 271–279. [Google Scholar] [CrossRef] [PubMed]
- Souto, E.B.; Wissing, S.A.; Barbosa, C.M.; Müller, R.H. Evaluation of the physical stability of SLN and NLC before and after incorporation into hydrogel formulations. Eur. J. Pharm. Biopharm. 2004, 58, 83–90. [Google Scholar] [CrossRef] [PubMed]
- Ruktanonchai, U.; Limpakdee, S.; Meejoo, S.; Sakulkhu, U.; Bunyapraphatsara, N.; Junyaprasert, V.; Puttipipatkhachorn, S. The effect of cetyl palmitate crystallinity on physical properties of gamma-oryzanol encapsulated in solid lipid nanoparticles. Nanotechnology 2008, 19, 1–10. [Google Scholar] [CrossRef] [PubMed]
- Pardeike, J.; Hommoss, A.; Müller, R.H. Lipid nanoparticles (SLN, NLC) in cosmetic and pharmaceutical dermal products. Int. J. Pharm. 2009, 366, 170–184. [Google Scholar] [CrossRef] [PubMed]
- Benavides, T.; Mitjans, M.; Martı́nez, V.; Clapes, P.; Infante, M.R.; Clothier, R.H.; Vinardell, M.P. Assessment of primary eye and skin irritants by in vitro cytotoxicity and phototoxicity models: An in vitro approach of new arginine-based surfactant-induced irritation. Toxicology 2004, 197, 229–237. [Google Scholar] [CrossRef] [PubMed]







| Nanoparticle | Size (nm) | PDI | Zeta Potential (mV) | EE (%) |
|---|---|---|---|---|
| SLNMM/U-S | 227.80 ± 3.80 | 0.22 ± 0.05 | −25.13 ± 7.62 | |
| SLNMMDBC/U-S | 250.17 ± 61.40 | 0.21 ± 0.07 | −19.18 ± 3.73 | 89.3 ± 3.5 g*** |
| SLNMM/H-P * | 188.02 ± 7.07 | 0.15 ± 0.02 | −26.91 ± 7.72 | |
| SLNMMDBC/H-P * | 234.33 ± 42.87 | 0.23 ± 0.06 | −18.47 ± 2.55 | 76.6 ± 7.9 |
| SLNCP/U-S | 287.75 ± 15.20 | 0.32 ± 0.01 a** | −26.03 ± 6.50 d* | |
| SLNCPDBC/U-S | 271.60 ± 30.72 | 0.27 ± 0.02 b*** | −10.67 ± 1.53 | 72.3 ± 4.2 |
| SLNCP/H-P | 239.37 ± 18.31 | 0.18 ± 0.03 c*** | −45.93 ± 4.64 e***,f** | |
| SLNCPDBC/H-P | 262.63 ± 48.42 | 0.14 ± 0.03 | −3.89 ± 0.96 | 78.4 ± 5.0 |
| Nanoparticle/Procedure | Cumulative Diameter Distribution (D) | Z-Average (nm) | Span | ||
|---|---|---|---|---|---|
| D10 (nm) | D50 (nm) | D90 (nm) | |||
| SLNMM/H-P | 118 | 178 | 248 | 172.00 ± 7.81 | 0.7 |
| SLNMMDBC/H-P | 119 | 174 | 243 | 175.67 ± 10.69 | 0.7 |
| SLNCP/H-P | 96 | 181 | 255 | 173.33 ± 5.13 | 0.9 |
| SLNCPDBC/H-P | 80 | 148 | 234 | 178.00 ± 9.54 | 1.0 |
| Samples | TREC (min) | ΔTREC (%) |
|---|---|---|
| Free DBC | 65.0 ± 12.9 a***,b*** | - |
| SLNMMDBC/H-P | 130.0 ± 10.0 | 100.00 |
| SLNCPDBC/H-P | 140.0 ± 10.0 | 115.38 |
© 2018 by the authors. Licensee MDPI, Basel, Switzerland. This article is an open access article distributed under the terms and conditions of the Creative Commons Attribution (CC BY) license (http://creativecommons.org/licenses/by/4.0/).
Share and Cite
De M. Barbosa, R.; Ribeiro, L.N.M.; Casadei, B.R.; Da Silva, C.M.G.; Queiróz, V.A.; Duran, N.; De Araújo, D.R.; Severino, P.; De Paula, E. Solid Lipid Nanoparticles for Dibucaine Sustained Release. Pharmaceutics 2018, 10, 231. https://doi.org/10.3390/pharmaceutics10040231
De M. Barbosa R, Ribeiro LNM, Casadei BR, Da Silva CMG, Queiróz VA, Duran N, De Araújo DR, Severino P, De Paula E. Solid Lipid Nanoparticles for Dibucaine Sustained Release. Pharmaceutics. 2018; 10(4):231. https://doi.org/10.3390/pharmaceutics10040231
Chicago/Turabian StyleDe M. Barbosa, Raquel, Ligia N. M. Ribeiro, Bruna R. Casadei, Camila M. G. Da Silva, Viviane A. Queiróz, Nelson Duran, Daniele R. De Araújo, Patrícia Severino, and Eneida De Paula. 2018. "Solid Lipid Nanoparticles for Dibucaine Sustained Release" Pharmaceutics 10, no. 4: 231. https://doi.org/10.3390/pharmaceutics10040231
APA StyleDe M. Barbosa, R., Ribeiro, L. N. M., Casadei, B. R., Da Silva, C. M. G., Queiróz, V. A., Duran, N., De Araújo, D. R., Severino, P., & De Paula, E. (2018). Solid Lipid Nanoparticles for Dibucaine Sustained Release. Pharmaceutics, 10(4), 231. https://doi.org/10.3390/pharmaceutics10040231

