Acute Febrile Illness Associated with an Emerging Dengue 4 GIIb Variant Causing Epidemic in León, Nicaragua 2022
Abstract
1. Introduction
2. Materials and Methods
2.1. Nicaraguan Acute Febrile Illness (AFI) Cohort and Samples
2.2. Ethics Statement
2.3. Blood Parameters Determination
2.4. Arbovirus PCR Screening and Dengue Serotyping
2.5. Dengue Genome Sequencing and Phylogenetic Analysis
2.6. Antigen Capture IgG ELISA
2.7. ZIKV EDIII ELISA
2.8. Laboratory Definitions
2.9. Statistical Analysis
3. Results
3.1. AFI Surveillance Detected a Sharp Increase in DENV-4
3.2. Acute Dengue Was Associated with Age, Sex, and Hospital Admission
3.3. Clinical and Hematological Characteristics
3.4. Most DENV-4 Infections Constitute Secondary Acute Dengue
3.5. Zika Serostatus
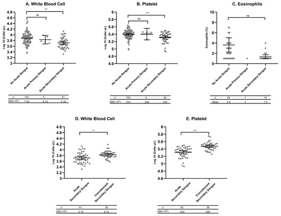
3.6. Hematological Alterations Were Most Pronounced in Acute Secondary Dengue
3.7. Agreement Between Paired IgG Serology and RT-qPCR
3.8. The Infecting DENV-4 Belongs to Genotype II, Subcluster IIb
3.9. Novel Mutations Were Observed in the E Protein of the Nicaraguan 2022 Isolates
3.10. Amino Acid Changes Occurred on Domains I, II and III
4. Discussion
5. Conclusions
Supplementary Materials
Author Contributions
Funding
Institutional Review Board Statement
Informed Consent Statement
Data Availability Statement
Acknowledgments
Conflicts of Interest
References
- Wilder-Smith, A.; Ooi, E.-E.; Horstick, O.; Wills, B. Dengue. Lancet 2019, 393, 350–363. [Google Scholar] [CrossRef]
- Hadinegoro, S.R.S. The Revised WHO Dengue Case Classification: Does the System Need to Be Modified? Paediatr. Int. Child Health 2012, 32, 33–38. [Google Scholar] [CrossRef]
- Chen, R.; Vasilakis, N. Dengue-Quo Tu et Quo Vadis? Viruses 2011, 3, 1562–1608. [Google Scholar] [CrossRef] [PubMed]
- Fibriansah, G.; Lim, X.N.; Lok, S.M. Morphological Diversity and Dynamics of Dengue Virus Affecting Antigenicity. Viruses 2021, 13, 1446. [Google Scholar] [CrossRef] [PubMed]
- Holmes, E.; Twiddy, S. The Origin, Emergence and Evolutionary Genetics of Dengue Virus. Infect. Genet. Evol. 2003, 3, 19–28. [Google Scholar] [CrossRef]
- Mandl, C.W.; Guirakhoo, F.; Holzmann, H.; Heinz, F.X.; Kunz, C. Antigenic Structure of the Flavivirus Envelope Protein E at the Molecular Level, Using Tick-Borne Encephalitis Virus as a Model. J. Virol. 1989, 63, 564–571. [Google Scholar] [CrossRef]
- Heinz, F.X. Epitope Mapping of Flavivirus Glycoproteins. In Advances in Virus Research; Elsevier: Amsterdam, The Netherlands, 1986; Volume 31, pp. 103–168. ISBN 978-0-12-039831-7. [Google Scholar]
- Wahala, W.M.P.B.; De Silva, A.M. The Human Antibody Response to Dengue Virus Infection. Viruses 2011, 3, 2374–2395. [Google Scholar] [CrossRef]
- Villabona-Arenas, C.J.; Zanotto, P.M.d.A. Evolutionary History of Dengue Virus Type 4: Insights into Genotype Phylodynamics. Infect. Genet. Evol. 2011, 11, 878–885. [Google Scholar] [CrossRef]
- Gallichotte, E.N.; Baric, T.J.; Nivarthi, U.; Delacruz, M.J.; Graham, R.; Widman, D.G.; Yount, B.L.; Durbin, A.P.; Whitehead, S.S.; de Silva, A.M.; et al. Genetic Variation between Dengue Virus Type 4 Strains Impacts Human Antibody Binding and Neutralization. Cell Rep. 2018, 25, 1214–1224. [Google Scholar] [CrossRef]
- Foster, J.E.; Bennett, S.N.; Vaughan, H.; Vorndam, V.; McMillan, W.O.; Carrington, C.V.F. Molecular Evolution and Phylogeny of Dengue Type 4 Virus in the Caribbean. Virology 2003, 306, 126–134. [Google Scholar] [CrossRef]
- Waman, V.P.; Kasibhatla, S.M.; Kale, M.M.; Kulkarni-Kale, U. Population Genomics of Dengue Virus Serotype 4: Insights into Genetic Structure and Evolution. Arch. Virol. 2016, 161, 2133–2148. [Google Scholar] [CrossRef]
- Henchal, E.A.; Repik, P.M.; McCown, J.M.; Brandt, W.E. Identification of an Antigenic and Genetic Variant of Dengue-4 Virus from the Caribbean. Am. J. Trop. Med. Hyg. 1986, 35, 393–400. [Google Scholar] [CrossRef] [PubMed]
- Katzelnick, L.C.; Coello Escoto, A.; Huang, A.T.; Garcia-Carreras, B.; Chowdhury, N.; Maljkovic Berry, I.; Chavez, C.; Buchy, P.; Duong, V.; Dussart, P.; et al. Antigenic Evolution of Dengue Viruses over 20 Years. Science 2021, 374, 999–1004. [Google Scholar] [CrossRef] [PubMed]
- Guo, C.; Zhou, Z.; Wen, Z.; Liu, Y.; Zeng, C.; Xiao, D.; Ou, M.; Han, Y.; Huang, S.; Liu, D.; et al. Global Epidemiology of Dengue Outbreaks in 1990-2015: A Systematic Review and Meta-Analysis. Front. Cell Infect. Microbiol. 2017, 7, 317. [Google Scholar] [CrossRef] [PubMed]
- Low, J.G.H.; Ooi, E.E.; Vasudevan, S.G. Current Status of Dengue Therapeutics Research and Development. J. Infect. Dis. 2017, 215, S96–S102. [Google Scholar] [CrossRef]
- Rajapakse, S.; Rodrigo, C.; Rajapakse, A. Treatment of Dengue Fever. Infect. Drug Resist. 2012, 5, 103–112. [Google Scholar] [CrossRef]
- Santiago, G.A.; Vázquez, J.; Courtney, S.; Matías, K.Y.; Andersen, L.E.; Colón, C.; Butler, A.E.; Roulo, R.; Bowzard, J.; Villanueva, J.M.; et al. Performance of the Trioplex Real-Time RT-PCR Assay for Detection of Zika, Dengue, and Chikungunya Viruses. Nat. Commun. 2018, 9, 1391. [Google Scholar] [CrossRef]
- Waggoner, J.J.; Abeynayake, J.; Sahoo, M.K.; Gresh, L.; Tellez, Y.; Gonzalez, K.; Ballesteros, G.; Pierro, A.M.; Gaibani, P.; Guo, F.P.; et al. Single-Reaction, Multiplex, Real-Time RT-PCR for the Detection, Quantitation, and Serotyping of Dengue Viruses. PLoS Negl. Trop. Dis. 2013, 7, e2116. [Google Scholar] [CrossRef]
- Waggoner, J.J.; Gresh, L.; Mohamed-Hadley, A.; Ballesteros, G.; Davila, M.J.V.; Tellez, Y.; Sahoo, M.K.; Balmaseda, A.; Harris, E.; Pinsky, B.A. Single-Reaction Multiplex Reverse Transcription PCR for Detection of Zika, Chikungunya, and Dengue Viruses. Emerg. Infect. Dis. 2016, 22, 1295–1297. [Google Scholar] [CrossRef]
- Phan, D.Q.; Nguyen, L.D.N.; Pham, S.T.; Nguyen, T.; Pham, P.T.T.; Nguyen, S.T.H.; Pham, D.T.; Pham, H.T.; Tran, D.K.; Le, S.H.; et al. The Distribution of Dengue Virus Serotype in Quang Nam Province (Vietnam) during the Outbreak in 2018. Int. J. Environ. Res. Public Health 2022, 19, 1285. [Google Scholar] [CrossRef]
- Vilsker, M.; Moosa, Y.; Nooij, S.; Fonseca, V.; Ghysens, Y.; Dumon, K.; Pauwels, R.; Alcantara, L.C.; Vanden Eynden, E.; Vandamme, A.-M.; et al. Genome Detective: An Automated System for Virus Identification from High-Throughput Sequencing Data. Bioinformatics 2019, 35, 871–873. [Google Scholar] [CrossRef] [PubMed]
- Nguyen, L.-T.; Schmidt, H.A.; von Haeseler, A.; Minh, B.Q. IQ-TREE: A Fast and Effective Stochastic Algorithm for Estimating Maximum-Likelihood Phylogenies. Mol. Biol. Evol. 2015, 32, 268–274. [Google Scholar] [CrossRef] [PubMed]
- Letunic, I.; Bork, P. Interactive Tree of Life (iTOL) v4: Recent Updates and New Developments. Nucleic Acids Res. 2019, 47, W256–W259. [Google Scholar] [CrossRef] [PubMed]
- Collins, M.H.; Tu, H.A.; Gimblet-Ochieng, C.; Liou, G.-J.A.; Jadi, R.S.; Metz, S.W.; Thomas, A.; McElvany, B.D.; Davidson, E.; Doranz, B.J.; et al. Human Antibody Response to Zika Targets Type-Specific Quaternary Structure Epitopes. JCI Insight 2019, 4, e124588. [Google Scholar] [CrossRef]
- Adams, C.; Jadi, R.; Segovia-Chumbez, B.; Daag, J.; Ylade, M.; Medina, F.A.; Sharp, T.M.; Munoz-Jordan, J.L.; Yoon, I.-K.; Deen, J.; et al. Novel Assay to Measure Seroprevalence of Zika Virus in the Philippines. Emerg. Infect. Dis. 2021, 27, 3073–3081. [Google Scholar] [CrossRef]
- Dunn, O.J. Multiple Comparisons Among Means. J. Am. Stat. Assoc. 1961, 56, 52. [Google Scholar] [CrossRef]
- Kuczera, D.; Bavia, L.; Mosimann, A.L.P.; Koishi, A.C.; Mazzarotto, G.A.C.A.; Aoki, M.N.; Mansano, A.M.F.; Tomeleri, E.I.; Costa Junior, W.L.; Miranda, M.M.; et al. Isolation of Dengue Virus Serotype 4 Genotype II from a Patient with High Viral Load and a Mixed Th1/Th17 Inflammatory Cytokine Profile in South Brazil. Virol. J. 2016, 13, 93. [Google Scholar] [CrossRef]
- Narvaez, F.; Montenegro, C.; Juarez, J.G.; Zambrana, J.V.; Gonzalez, K.; Videa, E.; Arguello, S.; Barrios, F.; Ojeda, S.; Plazaola, M.; et al. Dengue Severity by Serotype and Immune Status in 19 Years of Pediatric Clinical Studies in Nicaragua. PLoS Negl. Trop. Dis. 2025, 19, e0012811. [Google Scholar] [CrossRef]
- Pan American Health Organization (PAHO). Arbovirus Bulletin—2022. Health Information Platform for the Americas (PLISA). Available online: https://ais.paho.org/ha_viz/Arbo/Arbo_Bulletin_2022.asp?env=pri (accessed on 29 July 2025).
- Gordon, A.; Kuan, G.; Mercado, J.C.; Gresh, L.; Avilés, W.; Balmaseda, A.; Harris, E. The Nicaraguan Pediatric Dengue Cohort Study: Incidence of Inapparent and Symptomatic Dengue Virus Infections, 2004-2010. PLoS Negl. Trop. Dis. 2013, 7, e2462. [Google Scholar] [CrossRef]
- OhAinle, M.; Balmaseda, A.; Macalalad, A.R.; Tellez, Y.; Zody, M.C.; Saborío, S.; Nuñez, A.; Lennon, N.J.; Birren, B.W.; Gordon, A.; et al. Dynamics of Dengue Disease Severity Determined by the Interplay Between Viral Genetics and Serotype-Specific Immunity. Sci. Transl. Med. 2011, 3, 114ra128. [Google Scholar] [CrossRef]
- Edgerton, S.V.; Thongsripong, P.; Wang, C.; Montaya, M.; Balmaseda, A.; Harris, E.; Bennett, S.N. Evolution and Epidemiologic Dynamics of Dengue Virus in Nicaragua during the Emergence of Chikungunya and Zika Viruses. Infect. Genet. Evol. 2021, 92, 104680. [Google Scholar] [CrossRef]
- Bos, S.; Graber, A.L.; Cardona-Ospina, J.A.; Duarte, E.M.; Zambrana, J.V.; Ruíz Salinas, J.A.; Mercado-Hernandez, R.; Singh, T.; Katzelnick, L.C.; De Silva, A.; et al. Protection against Symptomatic Dengue Infection by Neutralizing Antibodies Varies by Infection History and Infecting Serotype. Nat. Commun. 2024, 15, 382. [Google Scholar] [CrossRef]
- Cockburn, J.J.; Navarro Sanchez, M.E.; Goncalvez, A.P.; Zaitseva, E.; Stura, E.A.; Kikuti, C.M.; Duquerroy, S.; Dussart, P.; Chernomordik, L.V.; Lai, C.-J.; et al. Structural Insights into the Neutralization Mechanism of a Higher Primate Antibody against Dengue Virus: Crystal Structure of Dengue Virus 4 E with Fab 5H2. EMBO J. 2012, 31, 767–779. [Google Scholar] [CrossRef]
- Nivarthi, U.K.; Kose, N.; Sapparapu, G.; Widman, D.; Gallichotte, E.; Pfaff, J.M.; Doranz, B.J.; Weiskopf, D.; Sette, A.; Durbin, A.P.; et al. Mapping the Human Memory B Cell and Serum Neutralizing Antibody Responses to Dengue Virus Serotype 4 Infection and Vaccination. J. Virol. 2017, 91, e02041-16. [Google Scholar] [CrossRef] [PubMed]
- Forshey, B.M.; Morrison, A.C.; Cruz, C.; Rocha, C.; Vilcarromero, S.; Guevara, C.; Camacho, D.E.; Alava, A.; Madrid, C.; Beingolea, L.; et al. Dengue Virus Serotype 4, Northeastern Peru, 2008. Emerg. Infect. Dis. 2009, 15, 1815–1818. [Google Scholar] [CrossRef]
- Wardhani, P.; Yohan, B.; Tanzilia, M.; Sunari, E.P.; Wrahatnala, B.J.; Hakim, F.K.N.; Rohman, A.; Husada, D.; Hayati, R.F.; Santoso, M.S.; et al. Genetic Characterization of Dengue Virus 4 Complete Genomes from East Java, Indonesia. Virus Genes 2023, 59, 36–44. [Google Scholar] [CrossRef] [PubMed]
- Ortiz-Baez, A.S.; Cunha, M.D.P.; Vedovello, D.; Colombo, T.E.; Nogueira, M.L.; Villabona-Arenas, C.J.; de Andrade Zanotto, P.M. Origin, Tempo, and Mode of the Spread of DENV-4 Genotype IIB across the State of São Paulo, Brazil during the 2012–2013 Outbreak. Mem. Inst. Oswaldo Cruz 2019, 114, e180251. [Google Scholar] [CrossRef] [PubMed]
- Nunes, M.R.T.; Faria, N.R.; Vasconcelos, H.B.; Medeiros, D.B.d.A.; Silva de Lima, C.P.; Carvalho, V.L.; Pinto da Silva, E.V.; Cardoso, J.F.; Sousa, E.C.; Nunes, K.N.B.; et al. Phylogeography of Dengue Virus Serotype 4, Brazil, 2010–2011. Emerg. Infect. Dis. 2012, 18, 1858–1864. [Google Scholar] [CrossRef]
- Juraska, M.; Magaret, C.A.; Shao, J.; Carpp, L.N.; Fiore-Gartland, A.J.; Benkeser, D.; Girerd-Chambaz, Y.; Langevin, E.; Frago, C.; Guy, B.; et al. Viral Genetic Diversity and Protective Efficacy of a Tetravalent Dengue Vaccine in Two Phase 3 Trials. Proc. Natl. Acad. Sci. USA 2018, 115, E8378–E8387. [Google Scholar] [CrossRef]
- Bowman, N.M.; Bucardo, F.; Collins, M.H.; Reyes, Y.; Centeno Cuadra, E.; Blette, B.; Lakshmanane, P.; Guerra, E.P.; Rubinstein, R.; Liou, G.-J.A.; et al. Clinical and Epidemiological Features of Acute Zika Virus Infections in León, Nicaragua. Am. J. Trop. Med. Hyg. 2021, 105, 924–930. [Google Scholar] [CrossRef]





| Parameter | Total AFI Patients n = 172 (%) | Dengue RT-qPCR (+) n = 58 (%) | Dengue RT-qPCR (−) n = 114 (%) | p-Value | Prevalence Ratio (PR) (95%CI) |
|---|---|---|---|---|---|
| Sex | |||||
| Male | 79 (46) | 34 (59) | 45 (40) | 0.019 | 1.67 (1.09–2.56) |
| Residence | |||||
| Rural | 32 (19) | 12 (21) | 20(17) | Ref | |
| Urban | 140 (81) | 46 (79) | 94 (83) | 0.51 | 0.84 (0.51–1.39) |
| Age, median (IQR) | 18 (10, 29) | 15 (12, 22) | 20 (8, 31) | 0.28 | N/A |
| Age group (years) | |||||
| ≤11 | 48 (28) | 12 (21) | 36 (32) | 0.95 | 1.03 (0.49–2.12) |
| 12–18 | 43 (25) | 25 (43) | 18 (16) | 0.004 | 2.38 (1.31–4.32) |
| 19–29 | 40 (23) | 11 (19) | 29 (25) | 0.75 | 1.13 (0.54–2.36) |
| ≥30 | 41 (24) | 10 (17) | 31 (27) | Ref | |
| Care given to the patient a | |||||
| Ambulatory | 130 (77) | 36 (63) | 94 (85) | Ref | |
| Admitted to hospital | 38 (23) | 21 (37) | 17 (15) | 0.001 b | 1.99 (1.34–2.97) |
| Reported contact with another ill individual within 7 days of illness | 59 (34) | 16 (28) | 43 (38) | 0.20 | 0.73 (0.45–1.18) |
| Asthma | 3 (2) | 1 (2) | 2 (2) | 0.99 | 0.99 (0.20–4.97) |
| Tuberculosis | 3 (2) | 2 (3) | 1 (1) | 0.09 | 2.01 (0.88–4.61) |
| Reported prior COVID-19 | |||||
| No | 130 (76) | 41 (71) | 89 (78) | Ref | |
| Confirmed | 16 (9) | 3 (5) | 13 (11) | 0.33 | 0.56 (0.21–1.70) |
| Suspected | 26 (15) | 14 (24) | 12 (11) | 0.016 b | 1.71 (1.10–2.64) |
| Vaccination against | |||||
| COVID-19 c | 132 (78) | 44 (77) | 88 (78) | 0.92 | 0.97 (0.59–1.61) |
| Dengue d | 5 (3) | 2 (3) | 3 (3) | 0.74 | 1.21 (0.40–3.61) |
| Influenza c | 51 (30) | 17 (30) | 34 (30) | 0.94 | 1.02 (0.64–1.62) |
| Pneumococcal d | 145 (85) | 50 (86) | 95 (84) | 0.72 | 1.12 (0.60–2.08) |
| Haemophilus influenzae (Hib) | 6 (4) | 3 (5) | 3 (3) | 0.33 | 1.51 (0.66–3.46) |
| Antibiotics taken for this illness | 17 (10) | 3 (5) | 14 (12) | 0.19 | 0.49 (0.17–1.42) |
| Water sources | N/A | ||||
| Tap/faucet | 161 (94) | 56 (97) | 105 (92) | ||
| Bottled | 2 (1) | 0 | 2 (2) | ||
| Well | 7 (4) | 1 (2) | 6 (5) | ||
| Animal exposure | N/A | ||||
| Pigs | 11 (6) | 0 | 11 (10) | ||
| Cats | 103 (60) | 38 (66) | 65 (57) | ||
| Dogs | 128 (74) | 46 (79) | 82 (72) | ||
| Rodents | 83 (48) | 26 (45) | 57 (50) | ||
| Poultry | 51 (30) | 13 (22) | 38 (33) | ||
| Ticks | 18 (11) | 9 (16) | 9 (8) | ||
| Fleas | 33 (19) | 15(26) | 18 (16) | ||
| Mosquitoes | 143 (83) | 50 (86) | 93 (82) | ||
| Laboratory Indicators (Acute) | RT-qPCR Positive n = 58 Mean (±SD) | RT-qPCR Negative n = 113 Mean (±SD) | p-Value |
| White blood cell count, 103/µL g | 5.82 (2.59) | 9.00 (7.68) | 0.003 |
| Eosinophil | 1.56 (0.86) | 3.63 (4.79) | 0.004 |
| Platelet count, 103/µL j | 223 (617) | 258 (660) | 0.001 |
| Neutrophil h | 65.05 (16.54) | 62.28 (17.52) | 0.34 |
| Monocyte | 8.92 (20.11) | 3.29 (4.31) | 0.36 |
| Hemoglobin, g/mL b | 13.05 (1.37) | 12.85 (1.59) | 0.41 |
| Lymphocyte i | 32.61 (16.08) | 34.62 (16.30) | 0.47 |
| Mean corpuscular volume (MCV), fl k | 82.99 (5.18) | 82.45 (9.15) | 0.69 |
| Hematocrit, % | 38.10 (4.00) | 38.35 (5.73) | 0.74 |
| Red blood cell count, 106/µL b | 4.56 (4.86) | 4.54 (6.99) | 0.83 |
| Basophil | 2.67 (2.89) | 3.38 (5.58) | 0.84 |
| Laboratory Indicators (Convalescent) l | RT-qPCR Positive n = 51 Mean (±SD) | RT-qPCR Negative n = 86 Mean (±SD) | p-Value |
| White blood cell count, 103/µL g | 7.20 (2.18) | 7.85 (2.40) | 0.12 |
| Eosinophil | 3.09 (2.53) | 3.59 (3.24) | 0.44 |
| Platelet count, 103/µL g | 308 (9.14) | 335(23.97) | 0.35 |
| Neutrophil | 52.27 (11.74) | 51.69 (11.40) | 0.77 |
| Monocyte | 3.67 (2.55) | 1.14 (0.38) | 0.018 |
| Hemoglobin, g/mL | 13.01 (1.41) | 12.69 (1.54) | 0.22 |
| Lymphocyte | 44.76 (11.43) | 44.84 (10.71) | 0.97 |
| Mean corpuscular volume (MCV), fl m | 80.49 (4.58) | 79.75 (2.22) | 0.39 |
| Hematocrit, % | 37.18 (4.02) | 36.66 (4.76) | 0.52 |
| Red blood cell count, 106/µL n | 4.59 (4.98) | 4.65 (7.63) | 0.62 |
| Basophil | 1.25 (0.46) | 2.00 (2.19) | 0.35 |
| Age Group (Years) | % of Patients with DENV IgG | DENV IgG | c PR; 99%CI, p | |
| Seropositive a | Seronegative b | |||
| % (RT-qPCR (+)/All Tested) | % (RT-qPCR (+)/All Tested) | |||
| ≤11 | 50 (21/42) | 38 (8/21) | 5 (1/21) | 8.38; 0.61–114.73; 0.036 |
| 12–18 | 87 (33/38) | 61 (20/33) | 40 (2/5) | 1.52; 0.35–6.50; 0.462 |
| 19–29 | 89 (32/36) | 25 (8/32) | 25 (1/4) | 1.00; 0.09–10.66; 1.000 |
| ≥30 | 97 (37/38) | 19 (7/37) | 100 (1/1) | N/A |
| All ages | 79 (123/155) | 35 (43/123) | 16 (5/32) | 2.24; 0.74–6.75; 0.060 |
| Sex | ||||
| Male | 81 (59/73) | 49 (29/59) | 7 (1/14) | 6.88; 0.56–84.29; 0.047 |
| Female | 78 (64/82) | 22 (14/64) | 22 (4/18) | 0.98; 0.27–3.57; 0.975 |
| Both | 79 (123/155) | 35 (43/123) | 16 (5/32) | 2.24; 0.74–6.75; 0.060 |
| Age Group (Years) | % of Patients with Zika IgG | Zika IgG d | PR; 99%CI, p | |
| Seropositive | Seronegative | |||
| % (RT-qPCR (+)/All Tested) | % (RT-qPCR (+)/All Tested) | |||
| ≤11 | 13 (5/40) | 60 (3/5) | 14 (5/35) | 4.20; 1.01–17.41; 0.009 |
| 12–18 | 51 (19/37) | 58 (11/19) | 61 (11/18) | 0.95; 0.47–1.90; 0.842 |
| 19–29 | 49 (17/35) | 18 (3/17) | 33 (6/18) | 0.53; 0.11–2.62; 0.306 |
| ≥30 | 39 (14/36) | 7 (1/14) | 32 (7/22) | 0.22; 0.02–3.05; 0.14 |
| All ages | 37 (55/148) | 33 (18/55) | 31 (29/93) | 1.05; 0.56–1.98; 0.85 |
| Sex | ||||
| Male | 42 (30/71) | 47 (14/30) | 37 (15/41) | 1.28; 0.62–2.65; 0.391 |
| Female | 32 (25/77) | 16 (4/25) | 27 (14/52) | 0.59; 0.16–2.22; 0.309 |
| Both | 37 (55/148) | 33 (18/55) | 31 (29/93) | 1.05; 0.56–1.98; 0.85 |
Disclaimer/Publisher’s Note: The statements, opinions and data contained in all publications are solely those of the individual author(s) and contributor(s) and not of MDPI and/or the editor(s). MDPI and/or the editor(s) disclaim responsibility for any injury to people or property resulting from any ideas, methods, instructions or products referred to in the content. |
© 2025 by the authors. Licensee MDPI, Basel, Switzerland. This article is an open access article distributed under the terms and conditions of the Creative Commons Attribution (CC BY) license (https://creativecommons.org/licenses/by/4.0/).
Share and Cite
Zepeda, O.; Cuadra, E.C.; Espinoza, D.O.; Zhu, Y.; Vanegas, H.; Domeracki, A.; Mora-Rodríguez, R.A.; Piantadosi, A.; Waggoner, J.J.; Matute, A.J.; et al. Acute Febrile Illness Associated with an Emerging Dengue 4 GIIb Variant Causing Epidemic in León, Nicaragua 2022. Viruses 2025, 17, 1113. https://doi.org/10.3390/v17081113
Zepeda O, Cuadra EC, Espinoza DO, Zhu Y, Vanegas H, Domeracki A, Mora-Rodríguez RA, Piantadosi A, Waggoner JJ, Matute AJ, et al. Acute Febrile Illness Associated with an Emerging Dengue 4 GIIb Variant Causing Epidemic in León, Nicaragua 2022. Viruses. 2025; 17(8):1113. https://doi.org/10.3390/v17081113
Chicago/Turabian StyleZepeda, Omar, Edwing C. Cuadra, Daniel O. Espinoza, Yerun Zhu, Hernán Vanegas, Alexis Domeracki, Rodrigo A. Mora-Rodríguez, Anne Piantadosi, Jesse J. Waggoner, Armando J. Matute, and et al. 2025. "Acute Febrile Illness Associated with an Emerging Dengue 4 GIIb Variant Causing Epidemic in León, Nicaragua 2022" Viruses 17, no. 8: 1113. https://doi.org/10.3390/v17081113
APA StyleZepeda, O., Cuadra, E. C., Espinoza, D. O., Zhu, Y., Vanegas, H., Domeracki, A., Mora-Rodríguez, R. A., Piantadosi, A., Waggoner, J. J., Matute, A. J., Premkumar, L., de Silva, A. M., Collins, M. H., Reller, M. E., & Bucardo, F. (2025). Acute Febrile Illness Associated with an Emerging Dengue 4 GIIb Variant Causing Epidemic in León, Nicaragua 2022. Viruses, 17(8), 1113. https://doi.org/10.3390/v17081113

