Immunogenicity of an Inactivated COVID-19 Vaccine in People Living with HIV in Guangxi, China: A Prospective Cohort Study
Abstract
1. Introduction
2. Methods
2.1. Ethics Statement
2.2. Study Subjects
2.3. Vaccine Information
2.4. Information Collection
2.5. Sample Collection
2.6. Plasma Separation
2.7. Anti-SARS-CoV-2 S-RBD IgG Antibody Detection
2.8. Statistical Analysis
3. Results
3.1. Subject Characteristics
3.2. The Conversion Rate of Anti-SARS-CoV-2 S-RBD IgG Antibodies after Vaccination Is Not Associated with Different Characteristics in PLWH
3.3. The Administration of a Booster Dose or Infection with COVID-19 after Vaccination Can Quickly Boost Antibody Titers in PLWH
3.4. The Antibody Levels in PLWH after Vaccination or COVID-19 Infection Are Not Influenced by Various Characteristics
3.5. PLWH Can Produce Antibody Levels Similar to Those of HIV-Seronegative Individuals after a Booster Vaccine and Following Infection
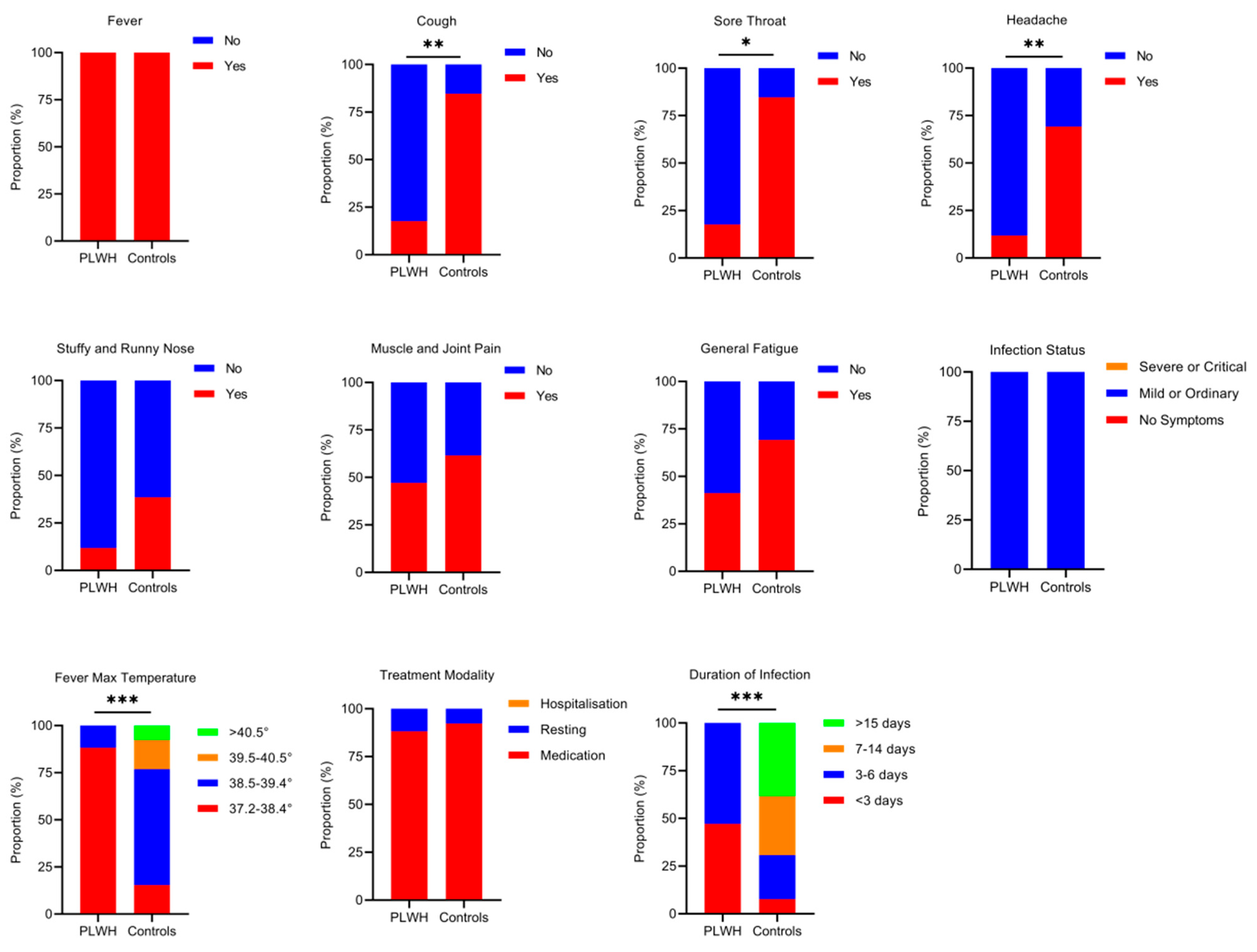
3.6. PLWH with COVID-19 Infection Exhibit That Are Comparable to or Milder than Those in HIV-Seronegative Individuals
4. Discussion
Supplementary Materials
Author Contributions
Funding
Institutional Review Board Statement
Informed Consent Statement
Data Availability Statement
Acknowledgments
Conflicts of Interest
References
- Chen, N.; Zhou, M.; Dong, X.; Qu, J.; Gong, F.; Han, Y.; Qiu, Y.; Wang, J.; Liu, Y.; Wei, Y.; et al. Epidemiological and Clinical Characteristics of 99 Cases of 2019 Novel Coronavirus Pneumonia in Wuhan, China: A Descriptive Study. Lancet 2020, 395, 507–513. [Google Scholar] [CrossRef] [PubMed]
- WHO. WHO Coronavirus (COVID-19) Dushboard. 2023. Available online: https://covid19.who.int/ (accessed on 12 April 2023).
- Polack, F.P.; Thomas, S.J.; Kitchin, N.; Absalon, J.; Gurtman, A.; Lockhart, S.; Perez, J.L.; Pérez Marc, G.; Moreira, E.D.; Zerbini, C.; et al. Safety and Efficacy of the BNT162b2 mRNA COVID-19 Vaccine. N. Engl. J. Med. 2020, 383, 2603–2615. [Google Scholar] [CrossRef] [PubMed]
- Voysey, M.; Clemens, S.A.C.; Madhi, S.A.; Weckx, L.Y.; Folegatti, P.M.; Aley, P.K.; Angus, B.; Baillie, V.L.; Barnabas, S.L.; Bhorat, Q.E.; et al. Safety and Efficacy of the ChAdOx1 nCoV-19 Vaccine (AZD1222) against SARS-CoV-2: An Interim Analysis of Four Randomised Controlled Trials in Brazil, South Africa, and the UK. Lancet 2021, 397, 99–111. [Google Scholar] [CrossRef] [PubMed]
- Yin, J.; Zhao, Y.; Huang, F.; Yang, Y.; Huang, Y.; Zhuang, Z.; Wang, Y.; Wang, Z.; Lin, X.; Zheng, Y.; et al. Immune Response and Homeostasis Mechanism Following Administration of BBIBP-CorV SARS-CoV-2 Inactivated Vaccine. Innovation 2023, 4, 100359. [Google Scholar] [CrossRef]
- Dagan, N.; Barda, N.; Kepten, E.; Miron, O.; Perchik, S.; Katz, M.A.; Hernán, M.A.; Lipsitch, M.; Reis, B.; Balicer, R.D. BNT162b2 mRNA COVID-19 Vaccine in a Nationwide Mass Vaccination Setting. N. Engl. J. Med. 2021, 384, 1412–1423. [Google Scholar] [CrossRef]
- Boyarsky, B.J.; Werbel, W.A.; Avery, R.K.; Tobian, A.A.R.; Massie, A.B.; Segev, D.L.; Garonzik-Wang, J.M. Antibody Response to 2-Dose SARS-CoV-2 mRNA Vaccine Series in Solid Organ Transplant Recipients. JAMA 2021, 325, 2204–2206. [Google Scholar] [CrossRef]
- Geisen, U.M.; Berner, D.K.; Tran, F.; Sümbül, M.; Vullriede, L.; Ciripoi, M.; Reid, H.M.; Schaffarzyk, A.; Longardt, A.C.; Franzenburg, J.; et al. Immunogenicity and Safety of Anti-SARS-CoV-2 mRNA Vaccines in Patients with Chronic Inflammatory Conditions and Immunosuppressive Therapy in a Monocentric Cohort. Ann. Rheum. Dis. 2021, 80, 1306–1311. [Google Scholar] [CrossRef]
- Bird, S.; Panopoulou, A.; Shea, R.L.; Tsui, M.; Saso, R.; Sud, A.; West, S.; Smith, K.; Barwood, J.; Kaczmarek, E.; et al. Response to First Vaccination against SARS-CoV-2 in Patients with Multiple Myeloma. Lancet Haematol. 2021, 8, e389–e392. [Google Scholar] [CrossRef]
- Monin, L.; Laing, A.G.; Muñoz-Ruiz, M.; McKenzie, D.R.; Del Molino Del Barrio, I.; Alaguthurai, T.; Domingo-Vila, C.; Hayday, T.S.; Graham, C.; Seow, J.; et al. Safety and Immunogenicity of One Versus Two Doses of the COVID-19 Vaccine BNT162b2 for Patients with Cancer: Interim Analysis of a Prospective Observational Study. Lancet Oncol. 2021, 22, 765–778. [Google Scholar] [CrossRef]
- Liu, W.J.; Hu, H.Y.; Su, Q.D.; Zhang, Z.; Liu, Y.; Sun, Y.L.; Yang, X.D.; Sun, D.P.; Cai, S.J.; Yang, X.X.; et al. HIV Prevalence in Suspected Ebola Cases during the 2014-2016 Ebola Epidemic in Sierra Leone. Infect. Dis. Poverty 2019, 8, 15. [Google Scholar] [CrossRef]
- Marcello, A. Latency: The Hidden HIV-1 Challenge. Retrovirology 2006, 3, 7. [Google Scholar] [CrossRef] [PubMed]
- UNAIDS. Global HIV & AIDS Statistics—Face Sheet. 2022. Available online: https://www.unaids.org/en/resources/fact-sheet (accessed on 12 March 2023).
- Han, M.J. Analysis of the epidemic situation and prospects of HIV/AIDS prevention and control in China. Chin. J. AIDS STD 2023, 29, 247–250. [Google Scholar] [CrossRef]
- Qiao, Y.C.; Xu, Y.; Jiang, D.X.; Wang, X.; Wang, F.; Yang, J.; Wei, Y.S. Epidemiological Analyses of Regional and Age Differences of HIV/AIDS Prevalence in China, 2004–2016. Int. J. Infect. Dis. 2019, 81, 215–220. [Google Scholar] [CrossRef] [PubMed]
- Rajasuriar, R.; Crane, H.M.; Semeere, A.S. Growing Older with HIV in the Treat-All Era. J. Int. AIDS Soc. 2022, 25 (Suppl. 4), e25997. [Google Scholar] [CrossRef] [PubMed]
- Ssentongo, P.; Heilbrunn, E.S.; Ssentongo, A.E.; Advani, S.; Chinchilli, V.M.; Nunez, J.J.; Du, P. Epidemiology and Outcomes of COVID-19 in HIV-Infected Individuals: A Systematic Review and Meta-Analysis. Sci. Rep. 2021, 11, 6283. [Google Scholar] [CrossRef] [PubMed]
- Palich, R.; Veyri, M.; Marot, S.; Vozy, A.; Gligorov, J.; Maingon, P.; Marcelin, A.G.; Spano, J.P. Weak Immunogenicity after a Single Dose of SARS-CoV-2 mRNA Vaccine in Treated Cancer Patients. Ann. Oncol. 2021, 32, 1051–1053. [Google Scholar] [CrossRef]
- Ruddy, J.A.; Connolly, C.M.; Boyarsky, B.J.; Werbel, W.A.; Christopher-Stine, L.; Garonzik-Wang, J.; Segev, D.L.; Paik, J.J. High Antibody Response to Two-Dose SARS-CoV-2 Messenger RNA Vaccination in Patients with Rheumatic and Musculoskeletal Diseases. Ann. Rheum. Dis. 2021, 80, 1351–1352. [Google Scholar] [CrossRef]
- Milano, E.; Ricciardi, A.; Casciaro, R.; Pallara, E.; De Vita, E.; Bavaro, D.F.; Larocca, A.M.V.; Stefanizzi, P.; Tafuri, S.; Saracino, A. Immunogenicity and Safety of the BNT162b2 COVID-19 mRNA Vaccine in PLWH: A Monocentric Study in Bari, Italy. J. Med. Virol. 2022, 94, 2230–2236. [Google Scholar] [CrossRef]
- Levy, I.; Wieder-Finesod, A.; Litchevsky, V.; Biber, A.; Indenbaum, V.; Olmer, L.; Huppert, A.; Mor, O.; Goldstein, M.; Levin, E.G.; et al. Immunogenicity and Safety of the BNT162b2 mRNA COVID-19 Vaccine in People Living with HIV-1. Clin. Microbiol. Infect. 2021, 27, 1851–1855. [Google Scholar] [CrossRef]
- Skowronski, D.M.; De Serres, G. Safety and Efficacy of the BNT162b2 mRNA COVID-19 Vaccine. N. Engl. J. Med. 2021, 384, 1576–1577. [Google Scholar] [CrossRef]
- Madhi, S.A.; Koen, A.L.; Izu, A.; Fairlie, L.; Cutland, C.L.; Baillie, V.; Padayachee, S.D.; Dheda, K.; Barnabas, S.L.; Bhorat, Q.E.; et al. Safety and Immunogenicity of the ChAdOx1 nCoV-19 (AZD1222) Vaccine against SARS-CoV-2 in People Living with and without HIV in South Africa: An Interim Analysis of a Randomised, Double-Blind, Placebo-Controlled, Phase 1B/2A Trial. Lancet HIV 2021, 8, e568–e580. [Google Scholar] [CrossRef] [PubMed]
- Feng, Y.; Zhang, Y.; He, Z.; Huang, H.; Tian, X.; Wang, G.; Chen, D.; Ren, Y.; Jia, L.; Wang, W.; et al. Immunogenicity of an Inactivated SARS-CoV-2 Vaccine in People Living with HIV-1: A Non-Randomized Cohort Study. EClinicalMedicine 2022, 43, 101226. [Google Scholar] [CrossRef] [PubMed]
- Liu, Y.; Han, J.; Li, X.; Chen, D.; Zhao, X.; Qiu, Y.; Zhang, L.; Xiao, J.; Li, B.; Zhao, H. COVID-19 Vaccination in People Living with HIV (Plwh) in China: A Cross Sectional Study of Vaccine Hesitancy, Safety, and Immunogenicity. Vaccines 2021, 9, 1458. [Google Scholar] [CrossRef] [PubMed]
- Wei, S.C.; Hsu, W.T.; Chiu, C.H.; Chang, F.Y.; Lo, H.R.; Liao, C.Y.; Yang, H.I.; Chou, Y.C.; Tsai, C.H.; Chao, Y.C. An Integrated Platform for Serological Detection and Vaccination of COVID-19. Front. Immunol. 2021, 12, 771011. [Google Scholar] [CrossRef] [PubMed]
- Asashima, H.; Mohanty, S.; Comi, M.; Ruff, W.E.; Hoehn, K.B.; Wong, P.; Klein, J.; Lucas, C.; Cohen, I.; Coffey, S.; et al. PD-1(High)CXCR5(-)CD4(+) Peripheral Helper T Cells Promote CXCR3(+) Plasmablasts in Human Acute Viral Infection. Cell Rep. 2023, 42, 111895. [Google Scholar] [CrossRef]
- Wang, Y.C.; Tsai, C.H.; Wang, Y.C.; Yen, L.C.; Chang, Y.W.; Sun, J.R.; Lin, T.Y.; Chiu, C.H.; Chao, Y.C.; Chang, F.Y. SARS-CoV-2 Nucleocapsid Protein, Rather than Spike Protein, Triggers a Cytokine Storm Originating from Lung Epithelial Cells in Patients with COVID-19. Infection 2023, 52, 955–983. [Google Scholar] [CrossRef]
- WHO. COVID-19 Vaccine Tracker and Landscape. 2023. Available online: https://www.who.int/publications/m/item/draft-landscape-of-covid-19-candidate-vaccines (accessed on 30 March 2023).
- Zhang, Y.; Zeng, G.; Pan, H.; Li, C.; Hu, Y.; Chu, K.; Han, W.; Chen, Z.; Tang, R.; Yin, W.; et al. Safety, Tolerability, and Immunogenicity of an Inactivated SARS-CoV-2 Vaccine in Healthy Adults Aged 18–59 Years: A Randomised, Double-Blind, Placebo-Controlled, Phase 1/2 Clinical Trial. Lancet Infect. Dis. 2021, 21, 181–192. [Google Scholar] [CrossRef]
- Xia, S.; Zhang, Y.; Wang, Y.; Wang, H.; Yang, Y.; Gao, G.F.; Tan, W.; Wu, G.; Xu, M.; Lou, Z.; et al. Safety and Immunogenicity of an Inactivated SARS-CoV-2 Vaccine, BBIBP-CorV: A Randomised, Double-Blind, Placebo-Controlled, Phase 1/2 Trial. Lancet Infect. Dis. 2021, 21, 39–51. [Google Scholar] [CrossRef]
- Gao, G.F.; Liu, W.J. Let’s Get Vaccinated for Both Flu and COVID-19: On the World Flu Day 2021. China CDC Wkly. 2021, 3, 915–917. [Google Scholar] [CrossRef]
- Kernéis, S.; Launay, O.; Turbelin, C.; Batteux, F.; Hanslik, T.; Boëlle, P.Y. Long-Term Immune Responses to Vaccination in Hiv-Infected Patients: A Systematic Review and Meta-Analysis. Clin. Infect. Dis. 2014, 58, 1130–1139. [Google Scholar] [CrossRef]
- Ogbe, A.; Pace, M.; Bittaye, M.; Tipoe, T.; Adele, S.; Alagaratnam, J.; Aley, P.K.; Ansari, M.A.; Bara, A.; Broadhead, S.; et al. Durability of ChAdOx1 nCoV-19 Vaccination in People Living with HIV. JCI Insight 2022, 7, e157031. [Google Scholar] [CrossRef] [PubMed]
- Zeng, G.; Wu, Q.; Pan, H.; Li, M.; Yang, J.; Wang, L.; Wu, Z.; Jiang, D.; Deng, X.; Chu, K.; et al. Immunogenicity and Safety of a Third Dose of CoronaVac, and Immune Persistence of a Two-Dose Schedule, in Healthy Adults: Interim Results from Two Single-Centre, Double-Blind, Randomised, Placebo-Controlled Phase 2 Clinical Trials. Lancet Infect. Dis. 2022, 22, 483–495. [Google Scholar] [CrossRef] [PubMed]
- Dan, J.M.; Mateus, J.; Kato, Y.; Hastie, K.M.; Yu, E.D.; Faliti, C.E.; Grifoni, A.; Ramirez, S.I.; Haupt, S.; Frazier, A.; et al. Immunological Memory to SARS-CoV-2 Assessed for up to 8 Months after Infection. Science 2021, 371, eabf4063. [Google Scholar] [CrossRef] [PubMed]
- Zhang, J.; Lin, H.; Ye, B.; Zhao, M.; Zhan, J.; Dong, S.; Guo, Y.; Zhao, Y.; Li, M.; Liu, S.; et al. One-Year Sustained Cellular and Humoral Immunities in Coronavirus Disease 2019 (COVID-19) Convalescents. Clin. Infect. Dis. 2022, 75, e1072–e1081. [Google Scholar] [CrossRef] [PubMed]
- Goel, R.R.; Apostolidis, S.A.; Painter, M.M.; Mathew, D.; Pattekar, A.; Kuthuru, O.; Gouma, S.; Hicks, P.; Meng, W.; Rosenfeld, A.M.; et al. Distinct Antibody and Memory B Cell Responses in SARS-CoV-2 Naïve and Recovered Individuals following mRNA Vaccination. Sci. Immunol. 2021, 6, eabi6950. [Google Scholar] [CrossRef] [PubMed]
- George, V.K.; Pallikkuth, S.; Parmigiani, A.; Alcaide, M.; Fischl, M.; Arheart, K.L.; Pahwa, S. HIV Infection Worsens Age-Associated Defects in Antibody Responses to Influenza Vaccine. J. Infect. Dis. 2015, 211, 1959–1968. [Google Scholar] [CrossRef]
- Avelino-Silva, V.I.; Miyaji, K.T.; Hunt, P.W.; Huang, Y.; Simoes, M.; Lima, S.B.; Freire, M.S.; Caiaffa-Filho, H.H.; Hong, M.A.; Costa, D.A.; et al. CD4/CD8 Ratio and KT Ratio Predict Yellow Fever Vaccine Immunogenicity in HIV-Infected Patients. PLoS Negl. Trop. Dis. 2016, 10, e0005219. [Google Scholar] [CrossRef]
- Frater, J.; Ewer, K.J.; Ogbe, A.; Pace, M.; Adele, S.; Adland, E.; Alagaratnam, J.; Aley, P.K.; Ali, M.; Ansari, M.A.; et al. Safety and Immunogenicity of the ChAdOx1 nCoV-19 (AZD1222) Vaccine against SARS-CoV-2 in HIV Infection: A Single-Arm Substudy of a Phase 2/3 Clinical Trial. Lancet HIV 2021, 8, e474–e485. [Google Scholar] [CrossRef]
- Müller, L.; Andrée, M.; Moskorz, W.; Drexler, I.; Walotka, L.; Grothmann, R.; Ptok, J.; Hillebrandt, J.; Ritchie, A.; Rabl, D.; et al. Age-dependent Immune Response to the Biontech/Pfizer BNT162b2 Coronavirus Disease 2019 Vaccination. Clin. Infect. Dis. 2021, 73, 2065–2072. [Google Scholar] [CrossRef]
- Shapiro, J.R.; Sitaras, I.; Park, H.S.; Aytenfisu, T.Y.; Caputo, C.; Li, M.; Lee, J.; Johnston, T.S.; Li, H.; Wouters, C.; et al. Association of Frailty, Age, and Biological Sex With Severe Acute Respiratory Syndrome Coronavirus 2 Messenger RNA Vaccine-Induced Immunity in Older Adults. Clin. Infect. Dis. 2022, 75, S61–S71. [Google Scholar] [CrossRef]
- Soto-Nava, M.; Dávila-Conn, V.; Venancio-Rocha, J.P.; García-Esparza, P.; Tapia-Trejo, D.; Hernández-Juan, R.; Zarza-Sánchez, E.; Murakami-Ogasawara, A.; Ávila-Ríos, S. SARSCoV-2 Antibody Prevalence and Titers in Persons Living with HIV Cared for at a Large Tertiary Reference Center in Mexico City. Virol. J. 2023, 20, 300. [Google Scholar] [CrossRef] [PubMed]
- Mizrahi, B.; Shilo, S.; Rossman, H.; Kalkstein, N.; Marcus, K.; Barer, Y.; Keshet, A.; Shamir-Stein, N.; Shalev, V.; Zohar, A.E.; et al. Longitudinal Symptom Dynamics of COVID-19 Infection. Nat. Commun. 2020, 11, 6208. [Google Scholar] [CrossRef] [PubMed]
- Risk Factors for Coronavirus Disease 2019 (COVID-19) Death in a Population Cohort Study from the Western Cape Province, South Africa. Clin. Infect. Dis. 2021, 73, e2005–e2015. [CrossRef] [PubMed]
- José Luis Santiago, B.; Jesús, C.; José Ramón, B.; Julián, O.; Lazzari, E.L.D.; Leire, B.; Jesús, T.; Hugo, H.K.; Sanza-Moreno, J.; Alicia Hernández, G.; et al. A Prospective Case-Cohort Study of COVID-19 in Persons with Hiv: COVIH-19 Study. Top. Antivir. Med. 2021. Available online: https://www.croiconference.org/abstract/a-prospective-case-cohort-study-of-covid-19-in-persons-with-hiv-covih-19-study/ (accessed on 30 March 2023).
- Inciarte, A.; Gonzalez-Cordon, A.; Rojas, J.; Torres, B.; de Lazzari, E.; de la Mora, L.; Martinez-Rebollar, M.; Laguno, M.; Callau, P.; Gonzalez-Navarro, A.; et al. Clinical Characteristics, Risk Factors, and Incidence of Symptomatic Coronavirus Disease 2019 in a Large Cohort of Adults Living with HIV: A Single-Center, Prospective Observational Study. AIDS 2020, 34, 1775–1780. [Google Scholar] [CrossRef]
- Fatima, S.; Zafar, A.; Afzal, H.; Ejaz, T.; Shamim, S.; Saleemi, S.; Subhan Butt, A. COVID-19 Infection among Vaccinated and Unvaccinated: Does It Make any Difference? PLoS ONE 2022, 17, e0270485. [Google Scholar] [CrossRef]






| PLWH (n = 20) | Controls (n = 15) | P# | |
|---|---|---|---|
| Gender | 0.041 | ||
| Male | 13 (65.0) | 4 (26.7) | |
| Female | 7 (35.0) | 11 (73.3) | |
| Age (years) | 0.046 | ||
| <40 | 9 (45.0) | 12 (80.0) | |
| 40~59 | 11 (55.0) | 3 (20.0) | |
| Ethnicity | 0.129 | ||
| Han | 17 (85.0) | 9 (60.0) | |
| Zhuang | 3 (15.0) | 6 (40.0) | |
| Occupation | <0.001 | ||
| Farmer | 8 (40.0) | 0 (0.0) | |
| Worker | 4 (20.0) | 0 (0.0) | |
| Others | 8 (40.0) | 15 (100.0) | |
| Marital Status | 0.598 | ||
| Married | 12 (60.0) | 8 (53.3) | |
| Single | 7 (35.0) | 7 (46.7) | |
| Divorce or Widowhood | 1 (5.0) | 0 (0.0) | |
| Educational Level | <0.001 | ||
| Senior Secondary and above | 2 (10.0) | 15 (100.0) | |
| Junior Secondary | 11 (55.0) | 0 (0.0) | |
| Primary school and below | 7 (35.0) | 0 (0.0) | |
| BMI | 0.038 | ||
| 18.5~24.0 | 9 (45.0) | 13 (86.7) | |
| >24.0 | 9 (45.0) | 2 (13.3) | |
| Unknown | 2 (10.0) | 0 (0.0) | |
| Route of Infection | - | ||
| Heterosexual trans | 17 (85.0) | / | |
| Homosexual trans | 1 (5.0) | / | |
| Unknown | 2 (10.0) | / | |
| CD4+ T-cell count (cells/µL) | - | ||
| ≥500 | 7 (35.0) | / | |
| 350–499 | 9 (45.0) | / | |
| 200–349 | 2 (10.0) | / | |
| 100–199 | 2 (10.0) | / | |
| ART Regimen | - | ||
| NRTIs + NNRTIs | 15 (75.0) | / | |
| NRTIs + PIs | 5 (25.0) | / | |
| Duration of Treatment (years) | - | ||
| <5 | 11 (55.0) | / | |
| 5~10 | 4 (20.0) | / | |
| >10 | 5 (25.0) | / |
| IgG-Positive (n = 17) | IgG-Negative (n = 3) | P# | |
|---|---|---|---|
| Gender | 1.000 | ||
| Male | 11 (64.7) | 2 (66.7) | |
| Female | 6 (35.3) | 1 (33.3) | |
| Age (years) | 0.566 | ||
| <40 | 7 (41.2) | 2 (66.7) | |
| 40–59 | 10 (58.8) | 1 (33.3) | |
| Ethnicity | 0.404 | ||
| Han | 15 (88.2) | 2 (66.7) | |
| Zhuang | 2 (11.8) | 1 (33.3) | |
| Occupation | 0.838 | ||
| Farmer | 7 (41.2) | 1 (33.3) | |
| Worker | 3 (17.6) | 1 (33.3) | |
| Other | 7 (41.2) | 1 (33.4) | |
| BMI | 1.000 | ||
| 18.5–24.0 | 8 (53.3) | 1 (33.3) | |
| >24.0 | 7 (46.7) | 2 (66.7) | |
| Infection Route | 0.101 | ||
| Heterosexual trans | 15 (88.2) | 2 (66.7) | |
| Homosexual trans | 0 (0.0) | 1 (33.3) | |
| Unknown | 2 (11.8) | 0 (0.0) | |
| CD4+ T-cell count (cells/μL) | 0.579 | ||
| ≥500 | 6 (35.3) | 1 (33.3) | |
| 350–499 | 8 (47.0) | 1 (33.3) | |
| 200–349 | 1 (5.9) | 1 (33.3) | |
| 100–199 | 2 (11.8) | 0 (0.0) | |
| ART Regimen | 1.000 | ||
| NRTIs+NNRTIs | 13 (76.5) | 2 (66.7) | |
| NRTIs+PIs | 4 (23.5) | 1 (33.3) | |
| Duration of Treatment (years) | 0.176 | ||
| <5 | 10 (58.8) | 1 (33.3) | |
| 5~10 | 4 (23.5) | 0 (0.0) | |
| >10 | 3 (17.6) | 2 (66.7) |
Disclaimer/Publisher’s Note: The statements, opinions and data contained in all publications are solely those of the individual author(s) and contributor(s) and not of MDPI and/or the editor(s). MDPI and/or the editor(s) disclaim responsibility for any injury to people or property resulting from any ideas, methods, instructions or products referred to in the content. |
© 2024 by the authors. Licensee MDPI, Basel, Switzerland. This article is an open access article distributed under the terms and conditions of the Creative Commons Attribution (CC BY) license (https://creativecommons.org/licenses/by/4.0/).
Share and Cite
Wu, Y.; Wang, X.; Huang, Y.; Chen, R.; Xu, Y.; Wei, W.; Qin, F.; Yuan, Z.; Su, J.; Chen, X.; et al. Immunogenicity of an Inactivated COVID-19 Vaccine in People Living with HIV in Guangxi, China: A Prospective Cohort Study. Viruses 2024, 16, 1481. https://doi.org/10.3390/v16091481
Wu Y, Wang X, Huang Y, Chen R, Xu Y, Wei W, Qin F, Yuan Z, Su J, Chen X, et al. Immunogenicity of an Inactivated COVID-19 Vaccine in People Living with HIV in Guangxi, China: A Prospective Cohort Study. Viruses. 2024; 16(9):1481. https://doi.org/10.3390/v16091481
Chicago/Turabian StyleWu, Yuting, Xinwei Wang, Yunxuan Huang, Rongfeng Chen, Yuexiang Xu, Wudi Wei, Fengxiang Qin, Zongxiang Yuan, Jinming Su, Xiu Chen, and et al. 2024. "Immunogenicity of an Inactivated COVID-19 Vaccine in People Living with HIV in Guangxi, China: A Prospective Cohort Study" Viruses 16, no. 9: 1481. https://doi.org/10.3390/v16091481
APA StyleWu, Y., Wang, X., Huang, Y., Chen, R., Xu, Y., Wei, W., Qin, F., Yuan, Z., Su, J., Chen, X., Liu, J., Wen, L., Shi, M., Qin, T., Liao, Y., Lu, B., Tao, X., Wang, C., Chen, S., ... Jiang, J. (2024). Immunogenicity of an Inactivated COVID-19 Vaccine in People Living with HIV in Guangxi, China: A Prospective Cohort Study. Viruses, 16(9), 1481. https://doi.org/10.3390/v16091481

