Plasma Interleukin-35 Levels Predict the Prognosis in Patients with HBV-Related Acute-on-Chronic Liver Failure
Abstract
1. Introduction
2. Methods
2.1. Study Subjects
2.2. Disease Definition and Outcome
2.3. Determination of Plasma IL-35 Levels
2.4. Statistical Analysis
3. Results
3.1. Baseline Characteristics of Enrolled Participants
3.2. The Plasma IL-35 Levels of All Participants
3.3. The Relationship Between Plasma IL-35 Levels and Complications in HBV-ACLF
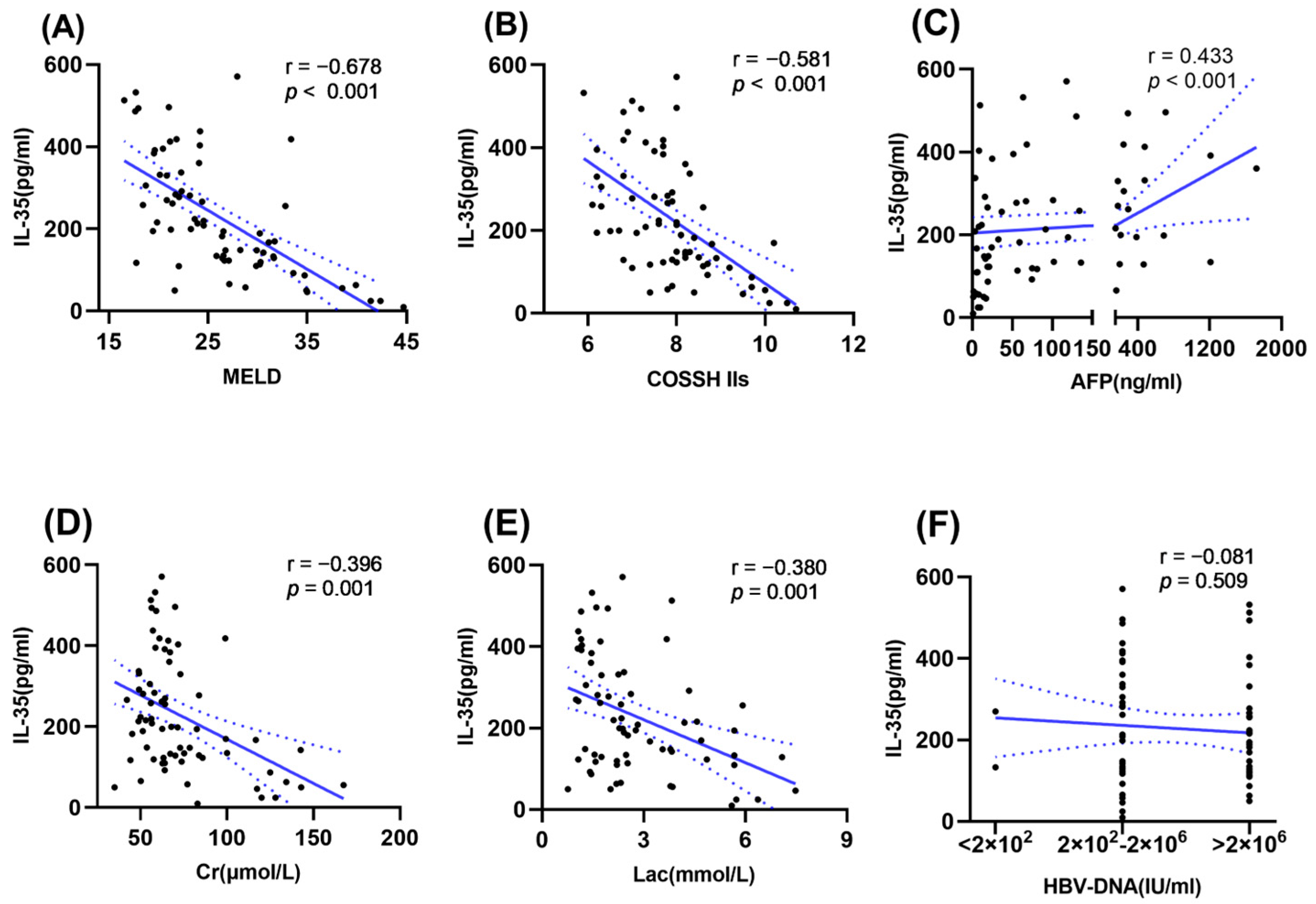
3.4. The Correlation of Plasma IL-35 Levels with Clinical Variables in HBV-ACLF
3.5. The Value of IL-35 in Predicting Outcomes of Patients with HBV-ACLF
4. Discussion
5. Conclusions
Author Contributions
Funding
Institutional Review Board Statement
Informed Consent Statement
Data Availability Statement
Conflicts of Interest
References
- Arroyo, V.; Moreau, R.; Jalan, R. Acute-on-Chronic Liver Failure. N. Engl. J. Med. 2020, 382, 2137–2145. [Google Scholar] [CrossRef]
- Bernal, W.; Jalan, R.; Quaglia, A.; Simpson, K.; Wendon, J.; Burroughs, A. Acute-on-chronic liver failure. Lancet 2015, 386, 1576–1587. [Google Scholar] [CrossRef]
- Iannacone, M.; Guidotti, L.G. Immunobiology and pathogenesis of hepatitis B virus infection. Nat. Rev. Immunol. 2022, 22, 19–32. [Google Scholar] [CrossRef]
- Wu, T.; Li, J.; Shao, L.; Xin, J.; Jiang, L.; Zhou, Q.; Shi, D.; Jiang, J.; Sun, S.; Jin, L.; et al. Development of diagnostic criteria and a prognostic score for hepatitis B virus-related acute-on-chronic liver failure. Gut 2018, 67, 2181–2191. [Google Scholar] [CrossRef] [PubMed]
- Jalan, R.; Saliba, F.; Pavesi, M.; Amoros, A.; Moreau, R.; Ginès, P.; Levesque, E.; Durand, F.; Angeli, P.; Caraceni, P.; et al. Development and validation of a prognostic score to predict mortality in patients with acute-on-chronic liver failure. J. Hepatol. 2014, 61, 1038–1047. [Google Scholar] [CrossRef] [PubMed]
- Kamath, P.S.; Kim, W.R. The model for end-stage liver disease (MELD). Hepatology 2007, 45, 797–805. [Google Scholar] [CrossRef] [PubMed]
- Luo, Y.; Xu, Y.; Li, M.; Xie, Y.; Gong, G. A new multiparameter integrated MELD model for prognosis of HBV-related acute-on-chronic liver failure. Medicine 2016, 95, e4696. [Google Scholar] [CrossRef]
- Chen, E.Q.; Zeng, F.; Zhou, L.Y.; Tang, H. Early warning and clinical outcome prediction of acute-on-chronic hepatitis B liver failure. World J. Gastroenterol. 2015, 21, 11964–11973. [Google Scholar] [CrossRef] [PubMed]
- Li, J.; Liang, X.; Jiang, J.; Yang, L.; Xin, J.; Shi, D.; Lu, Y.; Ren, K.; Hassan, H.M.; Zhang, J.; et al. PBMC transcriptomics identifies immune-metabolism disorder during the development of HBV-ACLF. Gut 2022, 71, 163–175. [Google Scholar] [CrossRef]
- Wu, W.; Yan, H.; Zhao, H.; Sun, W.; Yang, Q.; Sheng, J.; Shi, Y. Characteristics of systemic inflammation in hepatitis B-precipitated ACLF: Differentiate it from No-ACLF. Liver Int. 2018, 38, 248–257. [Google Scholar] [CrossRef] [PubMed]
- Collison, L.W.; Workman, C.J.; Kuo, T.T.; Boyd, K.; Wang, Y.; Vignali, K.M.; Cross, R.; Sehy, D.; Blumberg, R.S.; Vignali, D.A.A. The inhibitory cytokine IL-35 contributes to regulatory T-cell function. Nature 2007, 450, 566–569. [Google Scholar] [CrossRef] [PubMed]
- Collison, L.W.; Chaturvedi, V.; Henderson, A.L.; Giacomin, P.R.; Guy, C.; Bankoti, J.; Finkelstein, D.I.; Forbes, K.; Workman, C.J.; Brown, S.A.; et al. IL-35-mediated induction of a potent regulatory T cell population. Nat. Immunol. 2010, 11, 1093–1101. [Google Scholar] [CrossRef] [PubMed]
- Collison, L.W.; Delgoffe, G.M.; Guy, C.S.; Vignali, K.M.; Chaturvedi, V.; Fairweather, D.; Satoskar, A.R.; Garcia, K.C.; Hunter, C.A.; Drake, C.G.; et al. The composition and signaling of the IL-35 receptor are unconventional. Nat. Immunol. 2012, 13, 290–299. [Google Scholar] [CrossRef] [PubMed]
- Teymouri, M.; Pirro, M.; Fallarino, F.; Gargaro, M.; Sahebkar, A. IL-35, a hallmark of immune-regulation in cancer progression, chronic infections and inflammatory diseases. Int. J. Cancer 2018, 143, 2105–2115. [Google Scholar] [CrossRef]
- Li, X.; Liu, X.; Wang, W. IL-35: A Novel Immunomodulator in Hepatitis B Virus-Related Liver Diseases. Front. Cell Dev. Biol. 2021, 9, 614847. [Google Scholar] [CrossRef] [PubMed]
- Ye, C.; Yano, H.; Workman, C.J.; Vignali, D. Interleukin-35: Structure, Function and Its Impact on Immune-Related Diseases. J. Interferon Cytokine Res. 2021, 41, 391–406. [Google Scholar] [CrossRef] [PubMed]
- Abduh, M.S.; Saghir, S.A.M.; Al-Gabri, N.A.; Ahmeda, A.F.; Abdelkarim, M.; Aldaqal, S.M.; Alshawsh, M.A. Interleukin-35 and Thymoquinone nanoparticle-based intervention for liver protection against paracetamol-induced liver injury in rats. Saudi J. Biol. Sci. 2023, 30, 103806. [Google Scholar] [CrossRef]
- Koda, Y.; Nakamoto, N.; Chu, P.-S.; Ugamura, A.; Mikami, Y.; Teratani, T.; Tsujikawa, H.; Shiba, S.; Taniki, N.; Sujino, T.; et al. Plasmacytoid dendritic cells protect against immune-mediated acute liver injury via IL-35. J. Clin. Investig. 2019, 129, 3201–3213. [Google Scholar] [CrossRef] [PubMed]
- Chen, L.; Sun, W.; Wang, Y.; Huang, X.; Gan, J. Lower levels of interleukin-35 in patients with prophase of liver failure are associated with progression to liver failure. Ann. Palliat. Med. 2021, 10, 9174–9183. [Google Scholar] [CrossRef]
- Terrault, N.A.; Lok, A.; McMahon, B.J.; Chang, K.M.; Hwang, J.P.; Jonas, M.M.; Brown, R.S., Jr.; Bzowej, N.H.; Wong, J.B. Update on prevention, diagnosis, and treatment of chronic hepatitis B: AASLD 2018 hepatitis B guidance. Hepatology 2018, 67, 1560–1599. [Google Scholar] [CrossRef] [PubMed]
- Tsochatzis, E.A.; Bosch, J.; Burroughs, A.K. Liver cirrhosis. Lancet 2014, 383, 1749–1761. [Google Scholar] [CrossRef] [PubMed]
- Butt, M.F.; Jalan, R. Review article: Emerging and current management of acute-on-chronic liver failure. Aliment. Pharm. Ther. 2023, 58, 774–794. [Google Scholar] [CrossRef] [PubMed]
- Li, X.; Zhu, Q.; Ye, B.; Zhu, C.; Dong, Y.; Ni, Q. JNK/c-Jun pathway activation is essential for HBx-induced IL-35 elevation to promote persistent HBV infection. J. Clin. Lab. Anal. 2023, 37, e24860. [Google Scholar] [CrossRef]
- He, Y.; Pei, J.H.; Li, X.Q.; Chi, G. IL-35 promotes EMT through STAT3 activation and induces MET by promoting M2 macrophage polarization in HCC. Biochem. Biophys. Res. Commun. 2021, 559, 35–41. [Google Scholar] [CrossRef] [PubMed]
- Shi, M.; Wei, J.; Dong, J.; Meng, W.; Ma, J.; Wang, T.; Wang, N.; Wang, Y. Function of interleukin-17 and -35 in the blood of patients with hepatitis B-related liver cirrhosis. Mol. Med. Rep. 2015, 11, 121–126. [Google Scholar] [CrossRef]
- Hu, H.; Fu, Y.; Li, M.; Xia, H.; Liu, Y.; Sun, X.; Hu, Y.; Song, F.; Cheng, X.; Li, P.; et al. Interleukin-35 pretreatment attenuates lipopolysaccharide-induced heart injury by inhibition of inflammation, apoptosis and fibrotic reactions. Int. Immunopharmacol. 2020, 86, 106725. [Google Scholar] [CrossRef] [PubMed]
- Luo, M.; Peng, H.; Chen, P.; Zhou, Y. The immunomodulatory role of interleukin-35 in fibrotic diseases. Expert Rev. Clin. Immunol. 2019, 15, 431–439. [Google Scholar] [CrossRef]
- Tsuda, M.; Zhang, W.; Yang, G.-X.; Tsuneyama, K.; Ando, Y.; Kawata, K.; Park, O.; Leung, P.S.; Coppel, R.L.; Ansari, A.A.; et al. Deletion of interleukin (IL)-12p35 induces liver fibrosis in dominant-negative TGFβ receptor type II mice. Hepatology 2013, 57, 806–816. [Google Scholar] [CrossRef] [PubMed]
- Zheng, X.-F.; Hu, X.-Y.; Ma, B.; Fang, H.; Zhang, F.; Mao, Y.-F.; Yang, F.-Y.; Xiao, S.-C.; Xia, Z.-F. Interleukin-35 Attenuates D-Galactosamine/Lipopolysaccharide-Induced Liver Injury via Enhancing Interleukin-10 Production in Kupffer Cells. Front. Pharmacol. 2018, 9, 959. [Google Scholar] [CrossRef]




| Characteristics | HBV-ACLF | LC (n = 17) | CHB (n = 20) | HCs (n = 20) | p-Value | ||
|---|---|---|---|---|---|---|---|
| Total (n = 69) | Survivors (n = 33) | Non-Survivors (n = 36) | |||||
| Age (years) | 48.3 ± 13.2 | 45.9 ± 13.3 | 50.5 ± 12.9 | 48.9 ± 10.2 | 40.8 ± 5.7 | 42.4 ± 10.3 | 0.153 |
| Male (N, %) | 59 (85.5%) | 27 (81.8%) | 32 (88.9%) | 13 (76.5%) | 12 (60%) | 9 (45%) | 0.502 |
| HBV-DNA (IU/mL) | 0.029 | ||||||
| <2 × 102 | 2 (2.9%) | 2 (6.1%) | 0 | 17 (100%) | 20 (100%) | 0 | |
| 2 × 102–2 × 106 | 35 (50.7%) | 20 (60.6%) | 15 (41.7%) | 0 | 0 | 0 | |
| >2 × 106 | 32 (46.4%) | 11 (33.3%) | 21 (58.3%) | 0 | 0 | 0 | |
| Cirrhosis (n, %) | 40 (58%) | 14 (42.4%) | 26 (72.2%) | 17 (100%) | 0 | 0 | 0.016 |
| ALT (U/L) | 299 (128.3, 556) | 274 (115.5, 486) | 331.5 (146, 819.8) | 24 (15.7, 36) | 19.2 (14.5, 34.7) | 18.8 (13, 23.8) | 0.364 |
| AST (U/L) | 202 (119.2, 390) | 146 (98, 237.5) | 250.7 (150.5, 422) | 26 (21.8, 29.7) | 20.8 (18, 24.9) | 16.4 (13.7, 19) | 0.007 |
| AKP (U/L) | 149.5 ± 39.4 | 151.9 ± 32.3 | 147.3 ± 45.2 | 84.1 ± 28 | 79 ± 18.8 | 69.1 ± 17.7 | 0.635 |
| GGT (U/L) | 77 (53.5, 130) | 108 (57.5, 139) | 75.5 (45.3, 108) | 33 (17, 37) | 23 (13.3, 35.75) | 20 (12.3, 30.8) | 0.87 |
| TB (μmol/L) | 397 (284.9, 488) | 378 (260, 450.) | 418.7 (343, 542.6) | 18.4(11, 24.5) | 11.8(10.3, 15.5) | 12(9.7, 15.5) | 0.049 |
| Alb (g/L) | 31.4 (28.4, 35.6) | 32.5 (29.6, 36.4) | 31.1 (28.1, 33.9) | 40.6(39, 44.4) | 46.9(43.2, 48.3) | 47.8(44.8, 51) | 0.124 |
| Cr (μmol/L) | 64 (56.1, 81.5) | 62.5 (56.5, 71.6) | 65.1 (53.2, 103.6) | 80.2 (66.4, 87) | 75.9 (58.3, 86.9) | 63 (55.3, 74.1) | 0.173 |
| INR | 2.5 (1.8, 3.5) | 1.8 (1.6, 2.5) | 3.3 (2.2, 4.2) | 1.1 (1, 1.2) | 1 (0.9, 1.1) | - | <0.001 |
| PTA (%) | 29.5 (22, 45.3) | 44 (30, 49) | 23 (18, 34) | 79 (73.5, 90.5) | 107 (91, 110.8) | - | <0.001 |
| PT (s) | 27.4 (20, 34.1) | 20.3 (19.1, 27.3) | 32.5 (24.7, 39.6) | 14.8 (13,14.8) | 13 (12.7,13.7) | - | <0.001 |
| WBC (109/L) | 6.6 (4.9, 10.3) | 6.4 (4.9, 7.9) | 7.6 (4.8, 11.8) | 3.8 (3.3, 5.1) | 5.2 (4.1, 6.1) | 5.6 (4.5, 6.9) | 0.212 |
| N (109/L) | 4.24 (3.1, 6.5) | 4.15 (3, 5.3) | 4.5 (3.1, 9.6) | 2 (1.3,3.3) | 3 (1.6,3.8) | 2.8 (2.4, 3.7) | 0.197 |
| HGB (g/L) | 125 (106.8, 136) | 126 (107,139) | 124 (106, 136) | 141 (133, 149) | 158.5 (133, 165) | 144 (137, 148) | 0.597 |
| PLT (109/L) | 95.5 (66, 132.8) | 95 (74, 154) | 100 (57, 131) | 98 (47, 118) | 167 (132, 221) | 239 (183–270) | 0.990 |
| CRP (mg/L) | 7.4 (4.1, 12.5) | 7.9 (5.2, 13.2) | 7 (3.5,11.4) | - | - | - | 0.322 |
| Lac (mmol/L) | 2.3 (1.5, 3.8) | 1.9 (1.2,2.7) | 2.5 (1.8,4.8) | - | - | - | 0.016 |
| Sdium(mmol/L) | 133.1 ± 6.3 | 134 ± 6.2 | 132.4 ± 6.3 | 140 ± 1.7 | 139 ± 1.9 | - | 0.291 |
| AFP (ng/mL) | 57.8 (14.5, 172) | 134 (53.4, 268) | 19.8 (8.3, 67.6) | 2.2 (1.4, 5.8) | 3.2 (1.6, 5.5) | 1.9 (1.4, 3.1) | <0.001 |
| Characteristics | Total (n = 69) | Survivors (n = 33) | Non-Survivors (n = 36) | p-Value |
|---|---|---|---|---|
| Organ failure (n, %) | ||||
| Liver | 69 (100%) | 33 (100%) | 36 (100%) | <0.001 |
| Coagulation | 33 (47.8%) | 7 (21.2%) | 26 (72.2%) | <0.001 |
| Kidney | 0 | 0 | 0 | 1.0 |
| Cerebral | 3 (4.3%) | 0 | 3(8.3%) | 0.240 |
| Lung | 0 | 0 | 0 | 1.0 |
| Circulation | 0 | 0 | 0 | 1.0 |
| 1.5 ≤ INR < 2.5 (n, %) | 36 (47.8%) | 26 (78.8%) | 10 (27.8%) | <0.001 |
| Renal dysfunction (n, %) | 4 (5.8%) | 0 | 4 (11.1%) | 0.115 |
| HE grade I or II (n, %) | 9 (13%) | 1 (3%) | 8 (22.2%) | 0.029 |
| Ascites (n, %) | 32 (46.4%) | 11 (33.3%) | 21 (58.3%) | 0.038 |
| Infection (n, %) | 42 (60.9%) | 14 (42.4%) | 28 (77.7%) | 0.003 |
| Gastrointestinal bleeding (n, %) | 4 (5.8%) | 1 (3%) | 3 (8.3%) | 0.616 |
| Number of complications (n, %) | <0.001 | |||
| 0 | 15 (21.7%) | 15 (45.5%) | 0 | |
| 1–2 | 44 (63.8%) | 17 (51.5%) | 27 (75%) | |
| ≥3 | 10 (14.5%) | 1 (3%) | 9 (25%) | |
| HBV-ACLF(COSSH) | <0.001 | |||
| ACLF grade 1 | 36 (52.2%) | 26 (78.8%) | 10 (27.8%) | |
| ACLF grade 2 | 30 (43.5%) | 7 (21.2%) | 23 (63.9%) | |
| ACLF grade 3 | 3 (4.3%) | 0 | 3 (8.3%) | |
| Severity scores | ||||
| COSSH-ACLF IIs | 7.9 ± 1.1 | 7.6 ± 0.8 | 8.5 ± 1.0 | <0.001 |
| MELDs | 26.2 ± 6.5 | 22.3 ± 3.3 | 29.7 ± 6.7 | <0.001 |
| LT-free mortality | ||||
| 28-day | 8 (11.6%) | 0 | 8 (22.2%) | <0.001 |
| 90-day | 29 (42%) | 0 | 29 (80.6%) | <0.001 |
| 180-day | 34 (49.3%) | 0 | 34 (94.4%) | <0.001 |
Disclaimer/Publisher’s Note: The statements, opinions and data contained in all publications are solely those of the individual author(s) and contributor(s) and not of MDPI and/or the editor(s). MDPI and/or the editor(s) disclaim responsibility for any injury to people or property resulting from any ideas, methods, instructions or products referred to in the content. |
© 2024 by the authors. Licensee MDPI, Basel, Switzerland. This article is an open access article distributed under the terms and conditions of the Creative Commons Attribution (CC BY) license (https://creativecommons.org/licenses/by/4.0/).
Share and Cite
Ji, L.; Mei, X.; Yuan, W.; Guo, H.; Zhang, Y.; Zhang, Z.; Zou, Y.; Liu, Y.; Zhu, H.; Qian, Z.; et al. Plasma Interleukin-35 Levels Predict the Prognosis in Patients with HBV-Related Acute-on-Chronic Liver Failure. Viruses 2024, 16, 1960. https://doi.org/10.3390/v16121960
Ji L, Mei X, Yuan W, Guo H, Zhang Y, Zhang Z, Zou Y, Liu Y, Zhu H, Qian Z, et al. Plasma Interleukin-35 Levels Predict the Prognosis in Patients with HBV-Related Acute-on-Chronic Liver Failure. Viruses. 2024; 16(12):1960. https://doi.org/10.3390/v16121960
Chicago/Turabian StyleJi, Liujuan, Xue Mei, Wei Yuan, Hongying Guo, Yuyi Zhang, Zhengguo Zhang, Ying Zou, Yu Liu, Hui Zhu, Zhiping Qian, and et al. 2024. "Plasma Interleukin-35 Levels Predict the Prognosis in Patients with HBV-Related Acute-on-Chronic Liver Failure" Viruses 16, no. 12: 1960. https://doi.org/10.3390/v16121960
APA StyleJi, L., Mei, X., Yuan, W., Guo, H., Zhang, Y., Zhang, Z., Zou, Y., Liu, Y., Zhu, H., Qian, Z., & Shen, Y. (2024). Plasma Interleukin-35 Levels Predict the Prognosis in Patients with HBV-Related Acute-on-Chronic Liver Failure. Viruses, 16(12), 1960. https://doi.org/10.3390/v16121960

