Delimbing and Cross-cutting of Coniferous Trees–Time Consumption, Work Productivity and Performance
Abstract
:1. Introduction
2. Materials and Methods
2.1. Research Venue
2.2. Field Data Collection and Equipment
2.3. Data Analysis
3. Results and Discussion
4. Conclusions
Author Contributions
Conflicts of Interest
References
- Conway, S. Logging Practices. Principles of Timber Harvesting Systems; Miller Freeman Publications, Inc.: San Francisco, CA, USA, 1982; p. 431. ISBN 0879301449. [Google Scholar]
- Murphy, G.E.; Gordon, A.D.; Marshall, H.D. Adaptive control of bucking in a douglas fir stand: Adjustment frequency effects. N. Z. J. For. Sci. 2007, 37, 372–382. [Google Scholar]
- Akay, A.E.; Sessions, J.; Serin, H.; Pak, M.; Yenilmez, N. Applying optimum bucking method in producing Taurus Fir (Abies cilicica) logs in Mediterranean region of Turkey. Baltic For. 2010, 16, 273–279. [Google Scholar]
- Ciubotaru, A. Exploatarea Pădurilor [Forest Harvesting]; Editura Lux Libris: Braşov, Romania, 1998; p. 351. ISBN 973-9240-73-9. [Google Scholar]
- Nakahata, C.; Aruga, K.; Saito, M. Examining the optimal bucking method to maximize profits in commercial operations. Croat. J. For. Eng. 2014, 35, 45–61. [Google Scholar]
- Waddell, D.A. A Practical System for Determining Optimal Tree Bucking at the Stump. Master’s Thesis, University of British Columbia, Vancouver, BC, Canada, 19 April 1988; p. 108. [Google Scholar]
- Jourgholami, M.; Majnounian, B.; Zargham, N. Performance, capability and costs of motor-manual tree felling in Hyrcanian hardwood forest. Croat. J. For. Eng. 2013, 34, 283–293. [Google Scholar]
- Moskalik, T.; Borz, S.A.; Dvořák, J.; Ferencik, M.; Glushkov, S.; Muiste, P.; Lazdiņš, A.; Styranivsky, O. Timber Harvesting Methods in Eastern European Countries: A Review. Croat. J. For. Eng. 2017, 38, 231–241. [Google Scholar]
- Laitila, J.; Asikainen, A.; Nuutinen, Y. Forwarding of whole trees after manual and mechanized felling bunching in pre-commercial thinnings. J. For. Eng. 2007, 18, 29–39. [Google Scholar]
- Hiesl, P. Productivity Standards for Whole-Tree and CutTo-Length Harvesting Systems in Maine. Master’s Thesis, University of Maine, Orono, ME, USA, 2013; p. 150. [Google Scholar]
- Laitila, J. Methodology for Choice of Harvesting System for Energy Wood from Early Thinning. Ph.D. Thesis, University of Eastern Finland, Eastern Finland, Finland, 2012; p. 68. [Google Scholar]
- Hiesl, P.; Benjamin, J.G. Applicability of International Harvesting Equipment Productivity Studies in Maine, USA: A Literature Review. Forests 2013, 4, 898–921. [Google Scholar] [CrossRef]
- Wang, J.; Long, C.; McNeel, J. Production and cost analysis of a feller-buncher and grapple skidder in central Appalachian hardwood forests. For. Prod. J. 2004, 54, 159–167. [Google Scholar]
- Câmpu, V.R.; Borz, S.A. Amount and structure of tree damage when using Cut-to-length system. Environ. Eng. Manag. J. 2017, 16, 2053–2061. [Google Scholar]
- Jarmo, Y.; Ciubotaru, A. Technology transfer mechanism, indicators, measurement and evaluation in harvesting operations. A case study of the Nordic harvesting technology to wood exploitation in Târlung Valley conditions. In Proceedings of the Forestry and Sustainable Development, Braşov, Romania, 16–20 June 2004; pp. 329–334. [Google Scholar]
- Norme Tehnice Privind Alegerea și Aplicarea Tratamentelor [Technical Norms Concerning the Choice and Use of Silvicultural Treatment]; Ministry of Water, Forests and Environment Protection: Bucharest, Romania, 2000; p. 85.
- Raport Național Privind Starea Mediului [National Report on the State of Environment]; Ministry of Environment and Climate Change, National Agency for Environment Protection: Bucharest, Romania, 2012; p. 272.
- Raport Privind Starea Pădurilor [Report on the State of Romanian Forests]; Ministry of Water, Forests and Environment Protection: Bucharest, Romania, 2015; p. 93.
- Analiza Funcțională a Administrației Publice Centrale din România [Functional Analysis of Romanian Central Public Administration]. Analiza Funcțională a Sectorului Mediu şi Păduri în România [Functional Analysis of the Forest Sector in Romania]; Final Report; Project Cofinanced by the European Social Fund through the Operational Program—Development of Administartive Skills; World Bank: Washington, DC, USA, 2011; p. 55.
- Wójcik, K.; Petrow, A. Effect of sawmen’ professional experience on working time structure in pine-timber harvesting under conditions of the clear felling. Ann. Warsaw Agric. Univ. SGGW Agric. (Agric. Eng.) 2013, 61, 65–72. [Google Scholar]
- Acuna, M.A.; Murphy, G.E. Optimal bucking of douglas fir taking into consideration external properties and wood density. N. Z. J. For. Sci. 2005, 35, 139–152. [Google Scholar]
- Ciubotaru, A.; Maria, G.D. Research regarding the characteristics of the cross-cutting operation on landing area of spruce wood (Picea abies) with Husqvarna 365 chainsaw. Bull. Transilv. Univ. Brasov Ser. II For. Wood Ind. Agric. Food Eng. 2012, 5, 15–20. [Google Scholar]
- Mousavi, R.; Nikouy, M.; Uusitalo, J. Time consumption, productivity, and cost analysis of the motor manual tree felling and processing in the Hyrcanian Forest in Iran. J. For. Res. 2011, 22, 665–669. [Google Scholar] [CrossRef]
- Lortz, D.; Kluender, R.; McCoy, W.; Stokes, B.; Klepac, J. Manual Felling Time and Productivity in Southern Oine Forests. For. Prod. J. 1997, 47, 59–63. [Google Scholar]
- Wang, J.; Long, J.; McNeel, J.; Baumgras, J. Productivity and cost of manual felling and cable skidding in central Appalachian hardwood forests. For. Prod. J. 2004, 54, 45–51. [Google Scholar]
- Câmpu, V.R.; Ciubotaru, A. Time consumption and productivity in manual tree felling with a chainsaw—A case study of resinous stands from mountainous areas. Silva Fennica 2017, 51, 1657. [Google Scholar] [CrossRef]
- Liepiņš, K.; Lazdiņš, A.; Liepiņš, J.; Prindulis, U. Productivity and Cost–Effectiveness of Mechanized and Motor-Manual Harvesting of Grey Alder (Alnus incana (L.) Moench): A Case Study in Latvia. Small-Scale For. 2015, 14, 493–506. [Google Scholar] [CrossRef]
- Peters, P.A. Chainsaw felling fatal accidents. Trans. ASAE 1991, 34, 2600–2608. [Google Scholar] [CrossRef]
- Nurminen, T.; Korpunen, H.; Uusitalo, J. Time consumption analysis of the mechanized cut-to-length harvesting system. Silva Fennica 2006, 40, 335–363. [Google Scholar] [CrossRef]
- Magagnotti, N.; Spinelli, R. Good Practice Guidelines for Biomass Production Studies; COST Action FP-0902, WG 2 Operations Research and Measurement Methodologies; CNR IVALSA: Sesto Fiorentino, Italy, 2012; p. 50. [Google Scholar]
- Olsen, E.D.; Hossain, M.M.; Miller, M.E. Statistical Comparison of Methods Used in Harvesting Work Studies; Research Contribution 23; Forest Research Laboratory, Oregon State University: Corvallis, OR, USA, 1998; p. 41. [Google Scholar]
- Lindroos, O. Scrutinizing the theory of comparative time studies with operator as a block effect. Int. J. For. Eng. 2010, 21, 20–30. [Google Scholar]
- Ghaffariyan, M.R.; Sobhani, H. Cost Production Study of Motor-Manually Felling and Processing of Logs. For. Sci. 2007, 3, 69–76. [Google Scholar]
- Sztyber, F.J.; Wójcik, K. Analysis of chain saw operational time during cross-cutting of pine bolt assortments. Annals of Warsaw Ann. Warsaw Agric. Univ. SGGW Agric. (Agric. Eng.) 2007, 50, 65–69. [Google Scholar]
- Wójcik, K. Analysis of processing operation time and its percent share in timber harvesting with the chain saws. Ann. Warsaw Agric. Univ. SGGW Agric. (Agric. Eng.) 2007, 50, 71–77. [Google Scholar]
- Kanawaty, G. Introduction to Work Study, 4th ed.; International Labour Office: Geneva, Switzerland, 1992; p. 524. ISBN 10 9221071081. [Google Scholar]
- Pfeiffer, K. Analysis of Methods of Studying Operational Efficiency in Forestry. Master’s Thesis, University of British Columbia, Vancouver, BC, Canada, 1967; p. 94. [Google Scholar]
- Kuhlang, P.; Erohin, O.; Krebs, M.; Sihn, W.; Deuse, J. The Renaissance of Industrial Engineering presented in the example of the competencies for time data determination. In Proceedings of the CIRP Sponsored International Conference on Competitive Manufacturing, Stellenbosch, South Africa, RSA, 30 January–1 February 2013; pp. 379–384. [Google Scholar]
- Borz, S.A.; Popa, B. The use of time studies in Romanian forestry: Importance, achievements and future. Bull. Transilv. Univ. Brasov Ser. II For. Wood Ind. Agric. Food Eng. 2014, 7, 1–6. [Google Scholar]
- Nybakk, E.; Birkeland, T.; Flæte, P.O.; Finstad, K. From a bucking-to-value to a bucking-to-demand system in Norway: A case study in forests with varying growth conditions. In Proceedings of the 51st International Convention of Society of Wood Science and Technology, Concepción, Chile, 10–12 November 2008; pp. 1–9. [Google Scholar]
- Calvo, A.; Manzone, M.; Spinelli, R. Long term repair and maintenance cost of some professional chainsaws. Croat. J. For. Eng. 2013, 34, 265–272. [Google Scholar]
- H.G. nr.2139/2004, Pentru Aprobarea Catalogului Privind Clasificarea și Duratele Normale de Funcționare a Mijloacelor Fixe [Government Directive no. 2139/2004 for the Approval of the Catalogue Concerning the Classification and Normal Infrastructure and Equipment Life-Cycle]; Monitorul Oficial [State Gazette] no.46; Monitorul Oficial R.A.: Bucharest, Romania, 13 January 2005; p. 15.
- Björheden, R.; Thompson, M.A. An international nomenclature for forest work study. In IUFRO 1995 S3:04 Subject Area, Proceedings of the 20th World Congress, Caring for the Forest: Research in a Changing World Tampere, Finland, 6–12 August 1995; Field, D.B., Ed.; Miscellaneous Report 422; University of Maine: Orono, ME, USA, 2000; pp. 190–215. [Google Scholar]
- The International System of Units (SI), 8th ed.; Bureau International des Poids et Mesures: Sèvres, France, 2006; p. 97.
- Rumșiski, L.Z. Prelucrarea Matematică a Datelor Experimentale [Mathematical Processing of Experimental Data]; Editura Tehnică: Bucharest, Romania, 1974; p. 215. [Google Scholar]
- Evans, J.D. Straightforward Statistics for the Behavioral Sciences; Brooks/Cole Publishing: Pacific Grove, CA, USA, 1996; p. 600. ISBN 0534231004 9780534231002. [Google Scholar]
- Samset, I. Some Observations on Time and Performance Studies in Forestry; Meddelelser fra Norsk Institutt for Skogforskning: Ås, Norway, 1990; Volume 43, p. 80. [Google Scholar]
- Uotila, K.; Saksa, T.; Rantala, J.; Kiljunen, N. Labour consumption models applied to motor-manual pre-commercial thinning in Finland. Silva Fennica 2014, 48, 982. [Google Scholar] [CrossRef]
- Peterson, J.T. Harvesting Economics: Hand Falling Second-Growth Timber; Technical Research Note TN-98; Forest Engineering Research Institute of Canada: Vancouver, BC, Canada, 1987; p. 12. [Google Scholar]
- Behjou, F.K.; Majnounian, B.; Dvořák, J.; Namiranian, A.; Saeed, M.; Feghhi, J. Productivity and cost of manual felling with a chainsaw in Caspian forests. J. For. Sci. 2009, 55, 96–100. [Google Scholar] [CrossRef]
- Wang, Y.; Jia, B. Effects of low temperature on operation efficiency of tree—Felling by chainsaw in North China. J. For. Res. 1998, 9, 57–58. [Google Scholar] [CrossRef]
- Ciubotaru, A.; Chiru, V.; Dumbravă, S. Cercetări privind unii parametrii de exploatare ai ferăstraielor mecanice [Ressearch concerning certain parameters of mechanical chainsaws]. In Proceedings of the Silviculture and Forest Engineering, Brașov, Romania, 14 October 1993; pp. 408–414. [Google Scholar]
- Dumbravă, S.; Ciubotaru, A. Influența tipurilor de lanțuri tăietoare asupra productivității și vibrațiilor mecanice [The influence of cutting chains on productivity and on the level of vibrations]. In Proceedings of the Pădurea Patrimoniu Național, Brașov, Romania, 30 May 1991; pp. 205–210. [Google Scholar]
- Gullberg, T. Evaluating Operator-Machine Interactions in Comparative Time Studies. J. For. Eng. 1995, 7, 51–61. [Google Scholar] [CrossRef]





| Marked Tree Characteristics | |
|---|---|
| Total volume (m3) | 2376 |
| No. of trees | 1063 |
| Average tree volume (m3·tree−1) | 2.24 |
| Dbh (cm) | 56 |
| Average height (m) | 29 |
| Pruning (%) | 60 |
| Distance between marked trees (m) | 10.8 |
| Work Time Structure | Operation | Stage | Activity | |||||
|---|---|---|---|---|---|---|---|---|
| TT | NW | Delimbing Cross-cutting | - | Moving to and from the work place at the beginning and end of the schedule | ||||
| WP | NT | Delimbing Cross-cutting | - | Meal, rest, necessities, and organisation | ||||
| WT | PW | MW | Delimbing Cross-cutting | tcv s | Delimbing and top removal; Partial cross-cutting in the felling area | |||
| CW | Delimbing Cross-cutting | tcv s | Branch and top removal; Measuring length of the wood pieces and choosing the cross-cutting spot | |||||
| SW | PT | Delimbing Cross-cutting | tcv s | Tree stability analysis; Wood piece analysis and establishment of the length of the resulting wood pieces | ||||
| ST | MT | Delimbing Cross-cutting | - | Saw chain sharpening and chain tension; Saw chain replacement and guide bar turning; Cleaning the air filter | ||||
| RF | Delimbing Cross-cutting | - | Chainsaw fuelling with mixed fuel and oil for chain lubrication | |||||
| AW | Delimbing Cross-cutting | tcv s | Providing stem stability; Wedging in tension wood cross-cutting | |||||
| Operation | Venue | No. of Trees Used for p and q Determination | Parameter Values (%) | No. of Measurements (Trees) | ||
|---|---|---|---|---|---|---|
| p | q | Calculated | Made | |||
| Delimbing and cross-cutting | Felling area | 48 | 36 | 64 | 89 | 148 |
| No. of Trees | Volume | Work Place Time (WP) | Non-Workplace Time (NW) | Total Time (TT) | |||||||
|---|---|---|---|---|---|---|---|---|---|---|---|
| Productive Work Time (PW) | Supportive Work Time (SW) | Non-Work Time (NT) | |||||||||
| m3 | s·m−3 | % | s·m−3 | % | s·m−3 | % | s·m−3 | % | s·m−3 | % | |
| 148 | 316.038 | 311.77 | 58.13 | 165.94 | 30.94 | 26.97 | 5.03 | 31.64 | 5.90 | 536.32 | 100 |
| s·tree−1 | s·tree−1 | s·tree−1 | s·tree−1 | s·tree−1 | |||||||
| 665.76 | 354.34 | 57.59 | 67.57 | 1145.26 | |||||||
| ANOVA | Significance of Variable Coefficient | |||||||
|---|---|---|---|---|---|---|---|---|
| R2 | Standard Error | Degrees of Freedom | F | Variable | Coefficient | Standard Error | t Statistic | p-value |
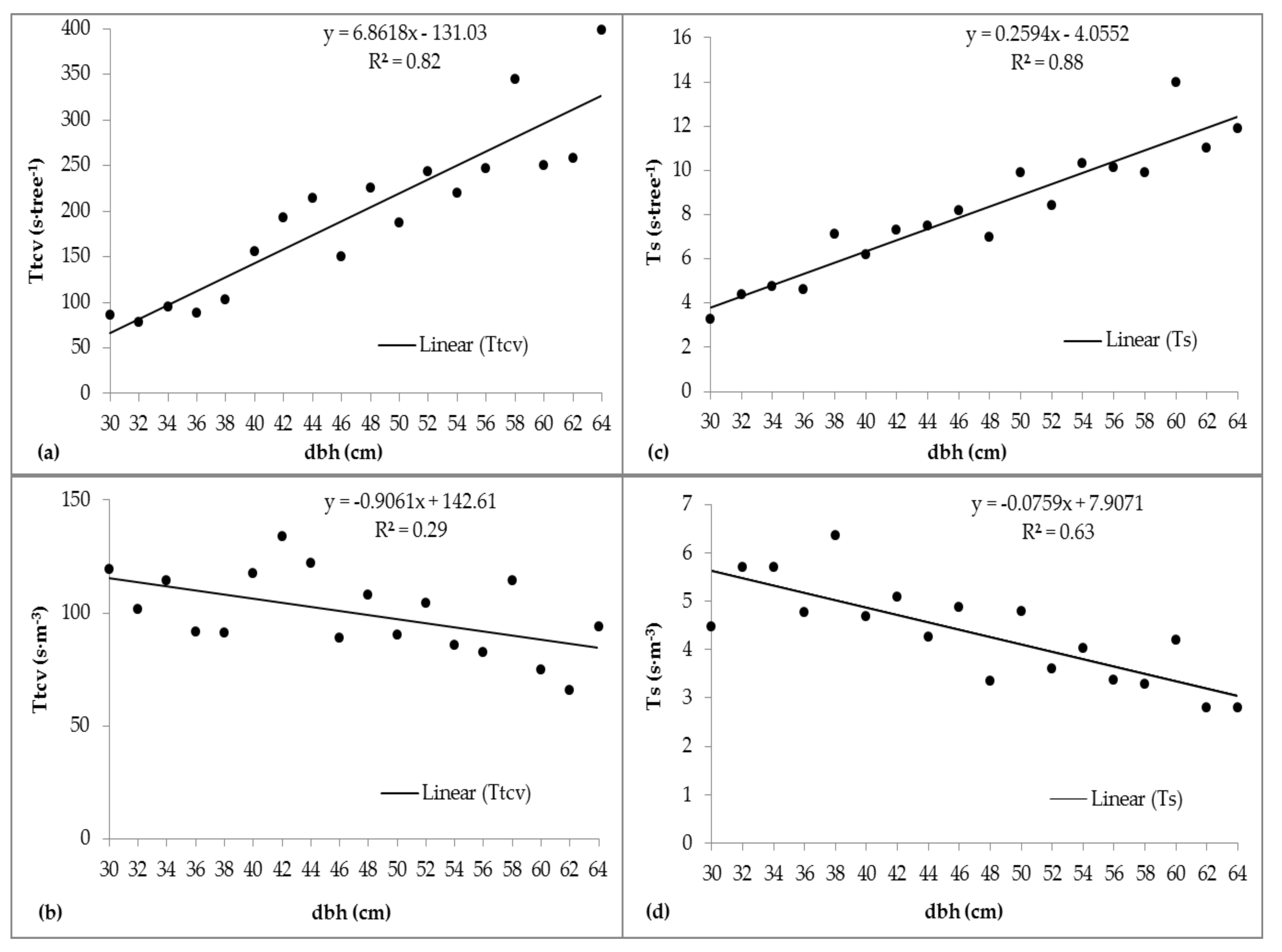
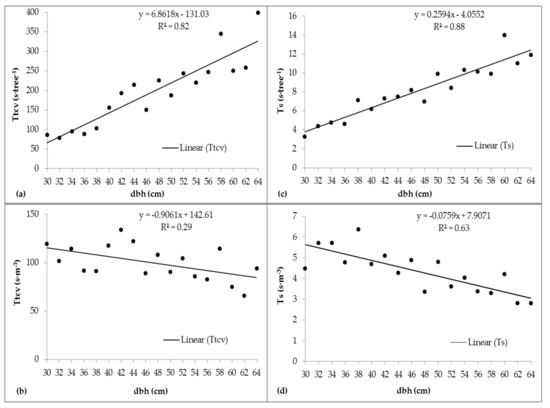
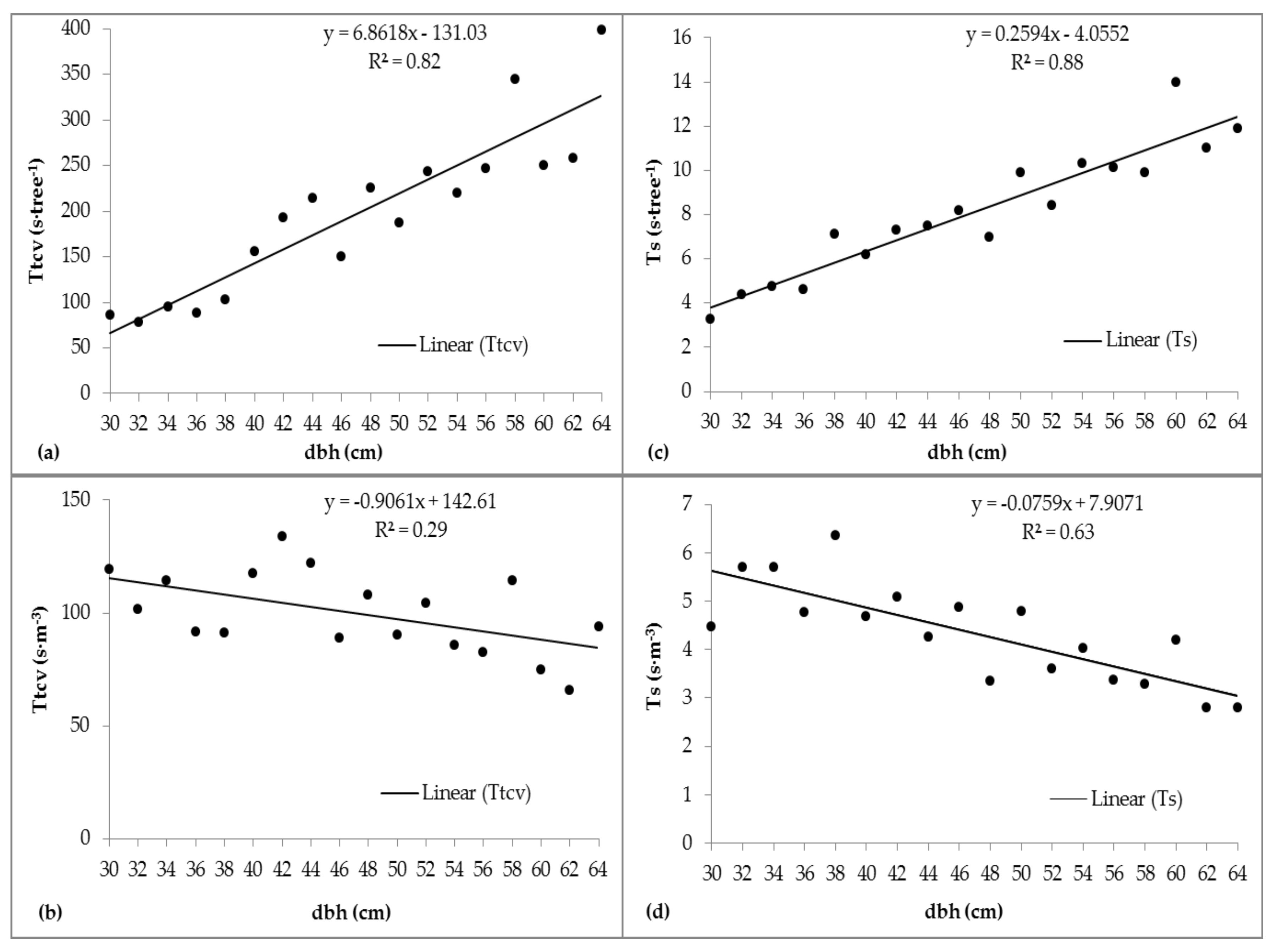
| Simple linear regression analysis of Ttcv in relation to dbh | ||||||||
| 0.43 | 87.941 | Regression 1 Residual 146 | 108.615 *** | Constant | −184.758 | 38.435 | −4.807 | <0.001 *** |
| dbh | 8.206 | 0.787 | 10.422 | <0.001 *** | ||||
| Simple linear regression analysis of Ttcv in relation to l | ||||||||
| 0.35 | 93.812 | Regression 1 Residual 146 | 77.739 *** | Constant | −215.672 | 48.741 | −4.425 | - |
| l | 17.626 | 1.999 | 8.817 | <0.001 *** | ||||
| Simple linear regression analysis of Ttcv in relation to V | ||||||||
| 0.44 | 87.271 | Regression 1 Residual 146 | 112.536 *** | Constant | 45.342 | 16.985 | 2.669 | <0.01 ** |
| V | 76.483 | 7.210 | 10.608 | <0.001 *** | ||||
| Multiple linear regression analysis of Ttcv in relation to dbh and l | ||||||||
| 0.45 | 86.746 | Regression 2 Residual 145 | 58.337 *** | Constant | −240.609 | 45.337 | −5.307 | <0.001 *** |
| dbh | 6.128 | 1.208 | 5.075 | <0.001 *** | ||||
| l | 6.457 | 2.874 | 2.247 | <0.05 * | ||||
| ANOVA | Significance of Variable Coefficient | |||||||
|---|---|---|---|---|---|---|---|---|
| R2 | Standard Error | Degrees of Freedom | F | Variable | Coefficient | Standard Error | t Statistic | p-value |
| Simple linear regression analysis of Ts in relation to dbh | ||||||||
| 0.44 | 2.403 | Regression 1 Residual 146 | 117.859 *** | Constant | −2.916 | 1.050 | −2.766 | <0.01 ** |
| dbh | 0.234 | 0.022 | 10.856 | <0.001 *** | ||||
| Simple linear regression analysis of Ts in relation to l | ||||||||
| 0.14 | 2.994 | Regression 1 Residual 146 | 24.043 *** | Constant | 0.753 | 1.555 | 0.484 | - |
| l | 0.313 | 0.064 | 4.903 | <0.001 *** | ||||
| Simple linear regression analysis of Ts in relation to V | ||||||||
| 0.33 | 2.650 | Regression 1 Residual 146 | 71.011 *** | Constant | 4.344 | 0.516 | 8.423 | <0.001 *** |
| V | 1.845 | 0.219 | 8.427 | <0.001 *** | ||||
| Multiple linear regression analysis of Ts in relation to dbh and l | ||||||||
| 0.49 | 2.313 | Regression 2 Residual 145 | 69.998 *** | Constant | −0.555 | 1.209 | −0.459 | - |
| dbh | 0.321 | 0.032 | 9.985 | <0.001 *** | ||||
| l | −0.273 | 0.077 | −3.563 | <0.001 *** | ||||
| Descriptive Statistics | Mean | Median | Standard Error | Standard Deviation | Variation Coefficient (%) |
|---|---|---|---|---|---|
| Descriptive statistics of (Pm) | |||||
| Pm [tree·h−1] | 3.14 | 3.06 | 0.50 | 2.11 | 51.78 |
| Pm [m3·h−1] | 6.716 | 6.650 | 0.30 | 1.27 | 18.86 |
| Descriptive statistics of (PM) | |||||
| PM [tree·h−1] | 16.58 | 16.16 | 2.64 | 11.14 | 51.78 |
| PM [m3·h−1] | 35.459 | 35.111 | 1.58 | 6.71 | 18.86 |
| Descriptive Statistics | Mean | Median | Standard Error | Standard Deviation | Variation Coefficient (%) |
|---|---|---|---|---|---|
| Descriptive statistics of chainsaw productivity (Pf) | |||||
| Pf [cm2·s−1] | 82.29 | 82.18 | 2.16 | 26.29 | 31.95 |
| Descriptive statistics of Ts (MW) and dc | |||||
| Ts [s] | 8.28 | 8.00 | 0.26 | 3.22 | 38.87 |
| dc [cm] | 28.43 | 28.00 | 0.56 | 6.78 | 23.87 |
| ANOVA | Significance of Variable Coefficient | |||||||
|---|---|---|---|---|---|---|---|---|
| R2 | Standard Error | Degrees of Freedom | F | Variable | Coefficient | Standard Error | t Statistic | p-value |
| Simple linear regression analysis of Pf in relation to dc | ||||||||
| 0.76 | 9.462 | Regression 1 Residual 16 | 50.150 *** | Constant | 8.216 | 10.345 | 0.794 | - |
| dc | 1.522 | 0.215 | 7.082 | <0.001 *** | ||||
© 2018 by the authors. Licensee MDPI, Basel, Switzerland. This article is an open access article distributed under the terms and conditions of the Creative Commons Attribution (CC BY) license (http://creativecommons.org/licenses/by/4.0/).
Share and Cite
Ciubotaru, A.; Câmpu, R.V. Delimbing and Cross-cutting of Coniferous Trees–Time Consumption, Work Productivity and Performance. Forests 2018, 9, 206. https://doi.org/10.3390/f9040206
Ciubotaru A, Câmpu RV. Delimbing and Cross-cutting of Coniferous Trees–Time Consumption, Work Productivity and Performance. Forests. 2018; 9(4):206. https://doi.org/10.3390/f9040206
Chicago/Turabian StyleCiubotaru, Arcadie, and Răzvan V. Câmpu. 2018. "Delimbing and Cross-cutting of Coniferous Trees–Time Consumption, Work Productivity and Performance" Forests 9, no. 4: 206. https://doi.org/10.3390/f9040206
APA StyleCiubotaru, A., & Câmpu, R. V. (2018). Delimbing and Cross-cutting of Coniferous Trees–Time Consumption, Work Productivity and Performance. Forests, 9(4), 206. https://doi.org/10.3390/f9040206
