A Revised Historical Fire Regime Analysis in Tunisia (1985–2010) from a Critical Analysis of the National Fire Database and Remote Sensing
Abstract
1. Introduction
2. Materials and Methods
2.1. Study Area
2.2. The Tunisian National Fire Database
2.3. Remote Sensing Datasets
2.3.1. Fire Detection from Historical Landsat Archives
2.3.2. Global Fire ‘Hot-Spots’
2.4. Data Assemblage
2.5. Data Analysis
3. Results
3.1. A Critical Analysis of Official Statistics from Forest Services
3.2. Burned Area Corrections from Landsat Data
3.3. Fire Size Distribution
3.4. Burned Area and Fire Number for the 1985–2010 Period
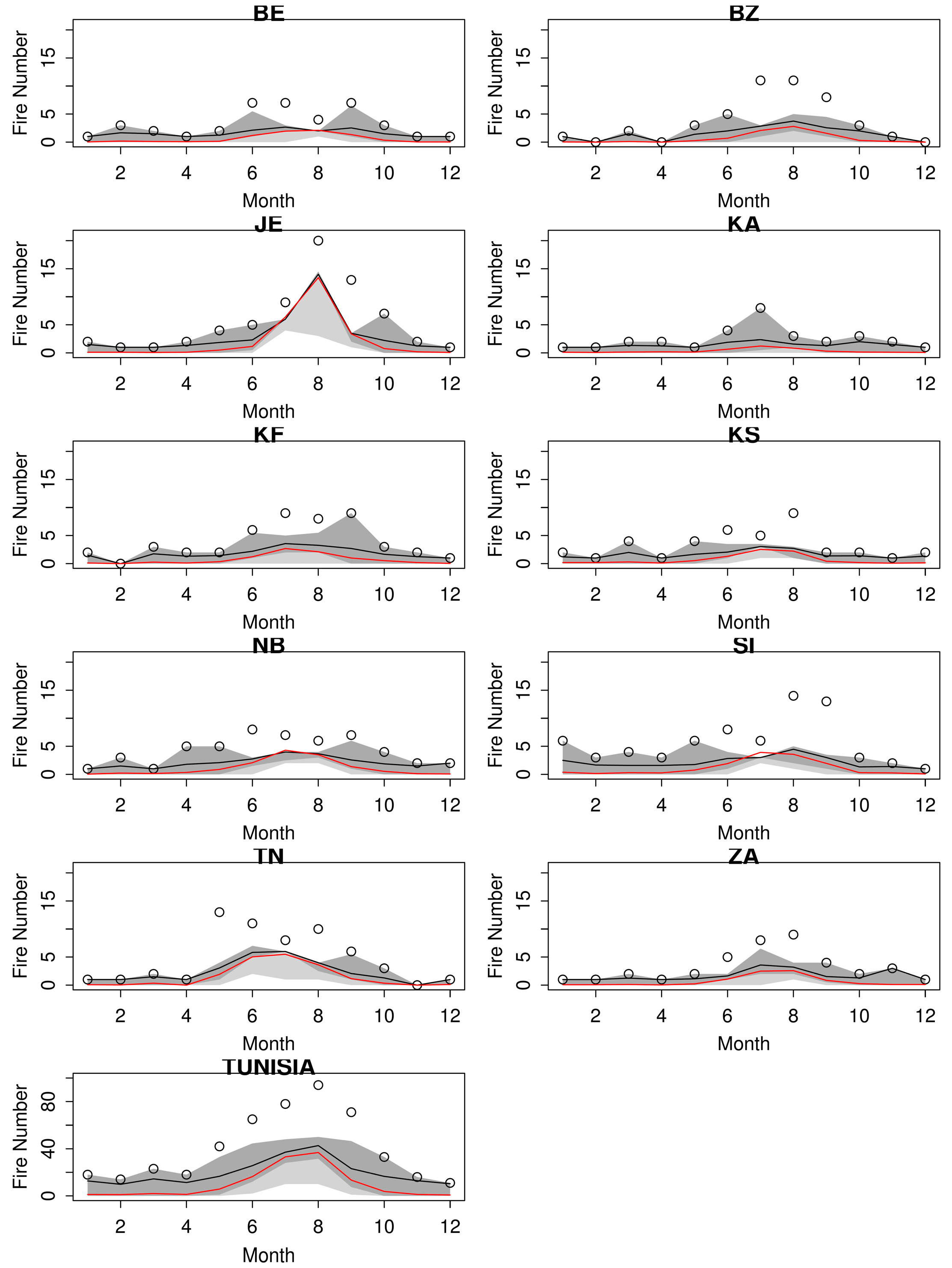
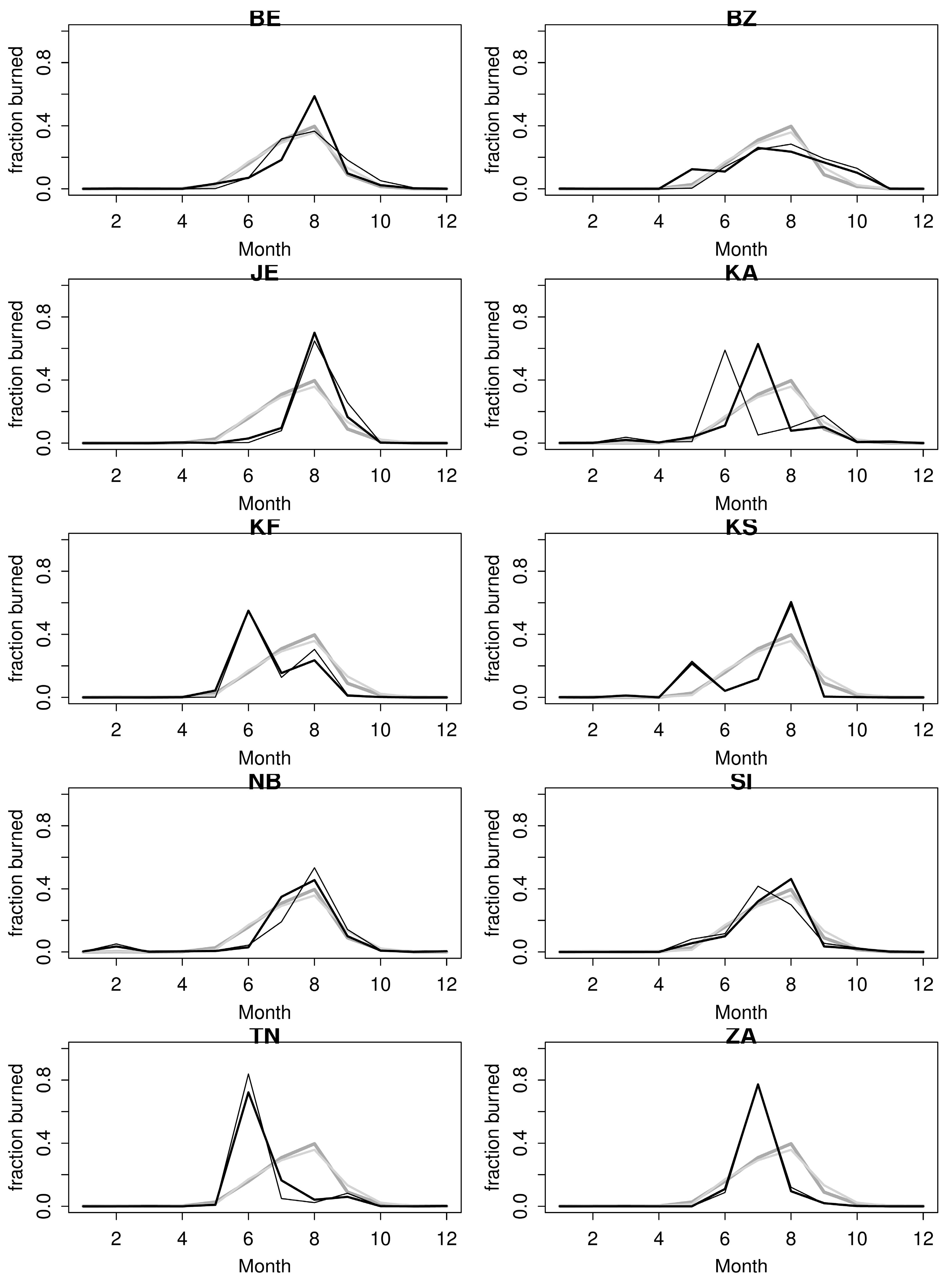
3.5. Seasonal Pattern of Burned Area and Fire Number
4. Discussion
4.1. Uncertainties in Reporting Fires
4.2. Regional Gradient of the Fire Regime
4.3. No Significant Temporal Changes in the Fire Regime
4.4. Interannual Variability: Social Events and Climate
5. Conclusions
Acknowledgments
Author Contributions
Conflicts of Interest
References
- Bowman, D.M.J.S.; Balch, J.K.; Artaxo, P.; Bond, W.J.; Carlson, J.M.; Cochrane, M.A.; D’Antonio, C.M.; De Fries, R.S.; Doyle, J.C.; Harrison, S.P.; et al. Fire in the earth system. Science 2009, 324, 481–484. [Google Scholar] [CrossRef] [PubMed]
- Parisien, M.A.; Miller, C.; Parks, S.A.; DeLancey, E.R.; Robinne, F.N.; Flannigan, M.D. The spatially varying influence of humans on fire probability in North America. Environ. Res. Lett. 2016, 11. [Google Scholar] [CrossRef]
- San Miguel-Ayanz, J.; Moreno, J.M.; Camia, A. Analysis of large fires in European Mediterranean landscapes: Lessons learned and perspectives. For. Ecol. Manag. 2013, 294, 11–22. [Google Scholar] [CrossRef]
- Mouillot, F.; Field, C.B. Fire history and the global carbon budget: A 1° × 1° fire history reconstruction for the 20th century. Glob. Chang. Biol. 2005, 11, 398–420. [Google Scholar] [CrossRef]
- Avitabile, S.C.; Callister, K.E.; Kelly, L.T.; Haslem, A.; Fraser, L.; Nimmo, D.G.; Watson, S.J.; Kenny, S.A.; Taylor, R.S.; Spence Bailey, L.M.; et al. Systematic fire mapping is critical for fire ecology, planning and management: A case study in the semi-arid Murray Mallee, south-eastern Australia. Landsc. Urban Plan. 2013, 117, 81–91. [Google Scholar] [CrossRef]
- Giglio, L.; Randerson, J.T.; van der Werf, G.R.; Kasibathla, P.S.; Collatz, G.J.; Morton, D.C.; DeFries, R.S. Assessing variability and long-term trends in burned area by merging multiple satellite fire products. Biogeosciences 2010, 7, 1171–1186. [Google Scholar] [CrossRef]
- Archibald, S.; Lehmann, C.E.R.; Gomez-Dans, J.L.; Bradstock, R.A. Defining pyromes and global syndromes of fire regimes. Proc. Natl. Acad. Sci. USA 2013, 110, 6442–6447. [Google Scholar] [CrossRef] [PubMed]
- Loepfe, L.; Rodrigo, A.; Lloret, F. Two thresholds determine climatic control of forest fire size in Europe and northern Africa. Reg. Environ. Chang. 2014, 14, 1395–1404. [Google Scholar] [CrossRef]
- Hantson, S.; Pueyo, S.; Chuvieco, E. Global fire size distribution is driven by human impact and climate. Glob. Ecol. Biogeogr. 2015, 24, 77–86. [Google Scholar] [CrossRef]
- Nogueira, J.M.P.; Ruffault, J.; Chuvieco, E.; Mouillot, F. Can we go beyond burned area in the assessment of global remote sensing products with fire patch metrics? Remote Sens. 2017, 9, 7. [Google Scholar] [CrossRef]
- Mouillot, F.; Schultz, M.G.; Yue, C.; Cadule, P.; Tansey, K.; Ciais, P.; Chuvieco, E. Ten years of global burned area products from spaceborne remote sensing—A review. Analysis of user needs and recommendations for future developments. Int. J. Appl. Earth Obs. Geoinf. 2014, 26, 64–79. [Google Scholar] [CrossRef]
- Vilar, L.; Camia, A.; San Miguel-Ayanz, J. A comparison of remote sensing products and forest fire statistics for improving fire information in Mediterranean Europe. Eur. J. Remote Sens. 2015, 48, 345–364. [Google Scholar] [CrossRef]
- Bistinas, I.; Harrison, S.P.; Prentice, I.C.; Pereira, J.M.C. Causal relationships versus emergent patterns in the global controls of fire frequency. Biogeosciences 2014, 11, 5087–5101. [Google Scholar] [CrossRef]
- Hantson, S.; Arneth, A.; Harrison, S.P.; Kelley, D.I.; Prentice, I.C.; Rabin, S.S.; Archibald, S.; Mouillot, F.; Arnold, S.R.; Artaxo, P.; et al. The status and challenges of global fire modelling. Biogeosciences 2016, 13, 3359–3375. [Google Scholar] [CrossRef]
- Rabin, S.S.; Melton, J.R.; Lasslop, G.; Bachelet, D.; Forrest, M.; Hantson, S.; Kaplan, J.O.; Li, F.; Mangeon, S.; Ward, D.S.; et al. The fire modeling intercomparison project (FireMIP), phase 1: Experimental and analytical protocol with details model descriptions. Geosci. Model Dev. 2017, 10, 1175–1197. [Google Scholar] [CrossRef]
- Yue, C.; Ciais, P.; Zhu, D.; Wang, T.; Peng, S.S.; Piao, S.L. How past fire disturbances contributed to the current carbon balance of boreal ecosystems? Biogeosciences 2016, 13, 675–690. [Google Scholar] [CrossRef]
- Ruffault, J.; Mouillot, F. How a new fire suppression policy can abruptly reshape the fire-weather relationship. Ecosphere 2015, 6, 1–19. [Google Scholar] [CrossRef]
- Van der Werf, G.R.; Peters, W.; van Leeuwen, T.T.; Giglio, L. What could have caused pre-industrial biomassburning emissions to exceed current rates? Clim. Past 2013, 9, 289–306. [Google Scholar] [CrossRef]
- Marlon, J.R.; Kelly, R.; Daniau, A.L.; Vanniere, B.; Power, M.J.; Bartlein, P.; Higuera, P.; Blarquez, O.; Brewer, S.; Brucher, T.; et al. Reconstruction of biomass burning from sediment-charcoal records to improve data-model comparisons. Biogeosciences 2016, 13, 3225–3244. [Google Scholar] [CrossRef]
- Kitzberger, T.; Swetnam, T.W.; Veblen, T.T. Inter hemispheric synchrony of forest fires and the El Niño southern oscillation. Glob. Ecol. Biogeogr. 2001, 10, 315–326. [Google Scholar] [CrossRef]
- Mouillot, F.; Narasimha, A.; Balkanski, Y.; Lamarque, J.F.; Field, C.B. Global carbon emissions from biomass burning in the 20th century. Geophys. Res. Lett. 2006, 33. [Google Scholar] [CrossRef]
- Mieville, A.; Granier, C.; Liousse, C.; Guillaume, B.; Mouillot, F.; Lamarque, J.F.; Gregoire, J.M.; Petron, G. Emissions of gases and particles from biomass burning during the 20th century using satellite data and an historical reconstruction. Atmos. Environ. 2010, 44, 1469–1477. [Google Scholar] [CrossRef]
- Koutsias, N.; Xanthopoulos, G.; Founda, D.; Xystrakis, F.; Nioti, F.; Pleniou, M.; Mallinis, G.; Arianoutsou, M. On the relationships between forest fires and weather conditions in Greece from long term national observations (1894–2010). Int. J. Wildland Fires 2013, 22, 493–507. [Google Scholar] [CrossRef]
- Higuera, P.E.; Abatzouglou, J.T.; Littell, J.S.; Morgan, P. The changing strength and nature of fire climate relationships in the northern Rocky Mountains, USA, 1902–2008. PLoS ONE 2015, 10. [Google Scholar] [CrossRef] [PubMed]
- Bradstock, R.; Penman, T.; Boer, M.; Price, O.; Clarke, H. Divergent responses of fire to recent warming and drying across south eastern Australia. Glob. Chang. Biol. 2014, 20, 1412–1428. [Google Scholar] [CrossRef] [PubMed]
- Turco, M.; Llasat, M.C.; Tudela, A.; Castro, X.; Provenzale, A. Brief communication Decreasing fires in a Mediterranean region (1970–2010, NE Spain). Nat. Hazards. Earth Syst. Sci. 2013, 13, 649–652. [Google Scholar] [CrossRef]
- Kasischke, E.S.; Stocks, B.J.; O’Neil, K.; French, N.H.F.; Bourgeau-Chavez, L.L. Direct effects of fire on the boreal forest carbon budget. In Biomass Burning and Its Interrelations with the Climate System; Innes, J.L., Beniston, M., Verstraete, M.M., Eds.; Kluwer Academic: Dordrecht, The Netherlands, 2000; pp. 51–68. [Google Scholar]
- Short, K.C. Sources and implications of bias and uncertainty in a century of USA wildfire activity data. Int. J. Wildland Fires 2015, 24, 883–891. [Google Scholar]
- Syphard, A.D.; Keeley, J.E. Historical reconstruction of California wildfires vary with data source. Int. J. Wildland Fires 2016, 25, 1221–1227. [Google Scholar] [CrossRef]
- Turco, M.; Bedia, J.; Di Liberto, F.; Fiorucci, P.; von Hardenberg, J.; Koutsias, N.; Llasat, M.C.; Xystrakis, F.; Provenzale, A. Decreasing fires in Mediterranean Europe. PLoS ONE 2016, 11. [Google Scholar] [CrossRef] [PubMed]
- Pellizzaro, G.; Cesaraccio, C.; Duce, P.; Ventura, A.; Zara, P. Relationships between seasonal patterns of live fuel moisture and meteorological drought indices for Mediterranean shrubland species. Int. J. Wildland Fire 2007, 6, 232–241. [Google Scholar] [CrossRef]
- San-Miguel-Ayanz, J.; Schulte, E.; Schmuck, G.; Camia, A.; Strobl, P.; Liberta, G.; Giovando, C.; Boca, R.; Sedano, F.; Kempeneers, P.; et al. Comprehensive monitoring of wildfires in Europe: The European forest fire information system (EFFIS). In Approaches to Managing Disaster—Assessing Hazards, Emergencies and Disaster Impacts; Tiefenbacher, J., Ed.; InTech: London, UK, 2012; Available online: http://dx.doi.org/10.5772/28441 (accessed on 12 December 2017).
- Urbieta, I.R.; Zavala, G.; Bedia, J.; Gutierrez, J.M.; San Miguel-Ayanz, J.; Camia, A.; Keeley, J.E.; Moreno, J.M. Fire activity as a function of fire-weather seasonal severity and antecedent climate across spatial scales in southern Europe and Pacific western USA. Environ. Res. Lett. 2015, 10. [Google Scholar] [CrossRef]
- Turco, M.; von Hardenberg, J.; Agha Kouchak, A.; Llasat, M.C.; Provenzale, A.; Trigo, R.M. On the key role of droughts in the dynamics of summer fires in Mediterranean Europe. Sci. Rep. 2017, 7, 81. [Google Scholar] [CrossRef] [PubMed]
- Chriha, S.; Sghari, A. Les incendies de forêt en Tunisie: Séquelles irréversibles de la révolution de 2011. Mediterrannée 2016, 121, 87–93. (In French) [Google Scholar] [CrossRef]
- Abdelmoula, K. Journées d’études sur la réhabilitation des subéraies incendiées et reboisements. Tlemcen (Algeria), 2013. Available online: http://www.rencontre-medsuber.com/dmediafiles/biblio/2013/2013–15.pdf (accessed on 12 December 2017).
- Sebei, S. Le degré météorologique du risque incendie de forêt (DMRIF): Méthode d’évaluation du risque d’incendie en Tunisie. XXVIII colloque de l’association internationale de climatologie, Liège (Belgium), 2015. Available online: http://www.climato.be/aic/colloques/actes/ACTES_AIC2015/2%20Climatologie%20appliquee/034-SEBEI-212–217.pdf (accessed on 12 December 2017).
- Madoui, A. Les incendies de forêts en Algérie: Historique, bilan et analyse. Forêt Mediterranéenne 2002, 23, 23–30. Available online: http://hdl.handle.net/2042/39420 (accessed on 12 December 2017).
- Meddour-Sahar, O.; Meddour, R.; Leone, V.; Lovreglio, R.; Derridj, A. Analysis of forest fires causes and their motivations in northern Algeria: The Delphi method. iForest 2013, 6, 247–254. [Google Scholar] [CrossRef]
- Chergui, B.; Fahd, S.; Santos, X.; Pausas, J.G. Socio-economic factors drive fire regime variability in the Mediterranean basin. Ecosystems 2017. [Google Scholar] [CrossRef]
- Venalainen, A.; Korhonen, N.; Hyvarinen, O.; Koutsias, N.; Xystrakis, F.; Urbieta, I.R.; Moreno, J.M. Temporal variations and change in forest fire danger in Europe for 1960–2012. Nat. Hazards. Earth Syst. Sci. 2014, 14, 1477–1490. [Google Scholar] [CrossRef]
- Chakroun, H.; Mouillot, F.; Hamdi, A. Regional equivalent water thickness modeling from remote sensing across a tree cover/LAI gradient in Mediterranean forests of northern Tunisia. Remote Sens. 2015, 7, 1937–1961. [Google Scholar] [CrossRef]
- Zribi, L.; Mouillot, F.; Guibal, F.; Rejeb, S.; Rejeb, M.N.; Gharbi, F. Deep soil conditions make Mediterranean cork oak stem growth vulnerable to autumnal rainfall decline in Tunisia. Forests 2016, 7, 245. [Google Scholar] [CrossRef]
- Rezgui, F.; Gharbi, F.; Zribi, L.; Mouillot, F.; Ourcival, J.M.; Hanchi, B. Soil respiration behavior in a Mediterranean Aleppo pine forest in north Tunisia. Appl. Ecol. Environ. Res. 2016, 14, 343–356. [Google Scholar] [CrossRef]
- Longepierre, D.; Mouillot, F.; Ouelhazi, B.; Ourcival, J.M.; Rocheteau, A.; Degueldre, D.; Rejeb, M.N. True water constraint under a rainfall interception experiment in a Mediterranean shrubland (Northern Tunisia): Confronting discrete measurements with a plant soil water budget model. Plant Ecol. 2014, 215, 779–794. [Google Scholar] [CrossRef]
- Oliveira, S.L.J.; Pereira, J.M.C.; Carreiras, J.M.B. Fire frequency analysis in Portugal (1975–2005), using Landsat-based burnt area maps. Int. J. Remote Sens. 2012, 21, 48–60. [Google Scholar] [CrossRef]
- Diaz-Delgado, R.; Pons, X. Spatial patterns of forest fires in Catalonia (NE of Spain) along the period 1975–1995: Analysis of vegetation recovery after fire. For. Ecol. Manag. 1998, 147, 67–74. [Google Scholar] [CrossRef]
- Bastarrika, A.; Alvarado, M.; Artano, K.; Martinez, M.P.; Mesanza, A.; Torre, L.; Ramo, R.; Chuvieco, E. BAMS: A tool for supervised burned area mapping using Landsat data. Remote Sens. 2014, 6, 12360–12380. [Google Scholar] [CrossRef]
- INFOTEL, Inventaire des Forêts par Télédétection. Résultats du Deuxième Inventaire Forestier et Pastoral National; CNCT (Ministère de la Défense Nationale, Tunisie); Direction Générale des Forêts (Ministère de l’Agriculture); Direction Générale de la Recherche Scientifique (Ministère de l’Enseignement Supérieure et de la Recherche Scientifique, Tunisie): Tunis, Tunisia, 2010.
- Fire Information for Resource Management System (FIRMS). Available online: https://earthdata.nasa.gov/firms (accessed on 12 December 2017).
- Giglio, L.; van der Werf, G.R.; Randerson, J.T.; Collatz, G.J.; Kasibathla, P. Global estimation of burned area using MODIS active fire observations. Atmos. Chem. Phys. 2006, 6, 957–974. [Google Scholar] [CrossRef]
- He, L.; Li, Z. Enhancement of a fire-detection algorithm by eliminating solar contamination effects and atmospheric path radiance: Application to MODIS data. Int. J. Remote Sens. 2011, 32, 6273–6293. [Google Scholar] [CrossRef]
- Hantson, S.; Padilla, M.; Corti, D.; Chuvieco, E. Strength and weaknesses of MODIS hotspots to characterize global fire occurrence. Remote Sens. Environ. 2013, 131, 152–159. [Google Scholar] [CrossRef]
- Benali, A.; Russo, A.; Sa, A.C.L.; Pinto, R.M.S.; Price, O.; Koutsias, N.; Pereira, J.M.C. Determining fire dates and locating ignitions points with satellite data. Remote Sens. 2016, 8, 326. [Google Scholar] [CrossRef]
- Turco, M.; Levin, N.; Tessler, N.; Saaroni, H. Recent changes and relations among drought, vegetation and wildfires in the Eastern Mediterranean: The case of Israel. Glob. Planet. Chang. 2017, 151, 28–35. [Google Scholar] [CrossRef]
- Ricotta, C.; Arianoutsou, M.; Diaz-Delgado, R.; Duguy, B.; Lloret, F.; Maroudi, E.; Mazzoleni, S.; Moreno, J.M.; Rambal, S.; Vallejo, R.; et al. Self-organized criticality of wildfires ecologically revisited. Ecol. Model. 2001, 141, 307–311. [Google Scholar] [CrossRef]
- Sen, P.K. Estimates of the regression coefficient based on Kendall’s tau. J. Am. Stat. Assoc. 1968, 63, 1379–1389. [Google Scholar] [CrossRef]
- Tools for the Analysis of Air Pollution Data. Available online: https://cran.r-project.org/web/packages/openair/openair.pdf (accessed on 15 June 2017).
- The R Project for Statistical Computing. Available online: http://www.R-project.org/ (accessed on 15 June 2017).
- Forest Resource Assessment; Country Report; FAO: Roma, Italy, 2014; Available online: http://www.fao.org/3/a-az357f.pdf (accessed on 25 January 2018).
- Schmuck, G.; San Miguel-Ayanz, J.; Camia, A.; Durrant, T.; Boca, R.; Whitmore, C.; Liberta, G.; Corti, P.; Schulte, E. Forest Fires in Europe, Middle East and North Africa, 2011; Publications Office of the European Union: Luxembourg, 2012; 108p. [Google Scholar]
- Turquety, S.; Menut, L.; Bessagnet, B.; Anav, A.; Viovy, N.; Maignan, F.; Wooster, M. APIFLAME v1.0: High-resolution fire emission model and application to the Euro-Mediterranean region. Geosci. Model. Dev. 2014, 7, 587–612. [Google Scholar] [CrossRef]
- Pereira, M.G.; Malamud, B.D.; Trigo, R.M.; Alves, P.I. The history and characteristics of the 1980–2005 Portuguese rural fire database. Nat. Hazards. Earth Syst. Sci. 2011, 11, 3343–3358. [Google Scholar] [CrossRef]
- Short, K.C. A spatial database of wildfires in USA, 1992–2011. Earth Syst. Sci. Data 2014, 6, 1–27. [Google Scholar] [CrossRef]
- Thompson, M.P.; Calkin, D.E. Uncertainty and risk in wildland fire management: A review. J. Environ. Manag. 2011, 92, 1895–1909. [Google Scholar] [CrossRef] [PubMed]
- Koutsias, N.; Pleniou, M.; Mallinis, G.; Nioti, F.; Sifakis, N.I. A rule-based semi-automatic method to map burned areas: Exploring the USGS historical Landsat archives to reconstruct recent fire history. Int. J. Remote Sens. 2013, 34, 7049–7068. [Google Scholar] [CrossRef]
- Mallinis, G.; Koutsias, N. Comparing ten classification methods for burned area mapping in a Mediterranean environment using Landsat TM satellite data. Int. J. Remote Sens. 2012, 33, 4408–4433. [Google Scholar] [CrossRef]
- Pleniou, M.; Xystrakis, F.; Dimopoulos, P.; Koutsias, N. Maps of fire occurrence—Spatially explicit reconstruction of recent fire history using satellite remote sensing. J. Maps 2012, 8, 499–506. [Google Scholar] [CrossRef]
- Ayari, A.; Moya, D.; Rejeb, M.N.; Ben Mansoura, A.; Albouchi, A.; De Las Heras, J.; Fezzani, T.; Henchi, B. Geographical variation on cone and seed production of natural Pinus halepensis Mill. forests in Tunisia. J. Arid Environ. 2011, 75, 403–410. [Google Scholar] [CrossRef]
- Meddour-Sahar, O.; Derridj, A. Bilan des feux de forêts en Algérie: Analyses spatio-temporelle et cartographie du risqué (1985–2010). Sécheresse 2012, 23, 133–141. (In French) [Google Scholar]
- Meddour-Sahar, O. Les Feux de Forêts en Algérie: Analyse du Risque, Étude des Causes, Évaluation du Dispositif de Défense et des Politiques de Gestion. Ph.D. Thesis, Université Mouloud Maameri de Tizi Ouzou, Tizi Ozou, Algeria, 3 April 2014; 295p. (In French). [Google Scholar]
- Portier, J.; Gauthier, S.; Leduc, A.; Arseneault, D.; Bergeron, Y. Fire regime along latitudinal gradients of continuous to discontinuous coniferous Boreal forests in Eastern Canada. Forests 2016, 7, 211. [Google Scholar] [CrossRef]
- Moreno, M.V.; Chuvieco, E. Fire regime characteristics along environmental gradients in Spain. Forests 2016, 7, 262. [Google Scholar] [CrossRef]
- Moreno, J.M.; Vazquez, A.; Velez, R. Recent History of Forest Fires in Spain. In Large Fires; Moreno, J.M., Ed.; Backhuys: Leiden, The Netherlands, 1998; pp. 159–185. [Google Scholar]
- Dai, A. Increasing drought under global warming in observations and models. Nat. Clim. Chang. 2013, 3, 52–58. [Google Scholar] [CrossRef]
- Pausas, J.G. Changes in fire and climate in the eastern Iberian Peninsula (Mediterranean basin). Clim. Chang. 2004, 63, 337–350. [Google Scholar] [CrossRef]
- Frejaville, T.; Curt, T. Seasonal changes in the human alteration of fire regimes beyond the climate forcing. Environ. Res. Lett. 2017, 12. [Google Scholar] [CrossRef]
- Ruffault, J.; Moron, V.; Trigo, R.M.; Curt, T. Objective identification of multiple large fire climatologies: An application to a Mediterranean ecosystem. Environ. Res. Lett. 2016, 11. [Google Scholar] [CrossRef]
- Sarris, D.; Christopoulou, A.; Angelonidi, E.; Koutsias, N.; Fule, P.Z.; Arianoutsou, M. Increasing extremes of heat and drought associated with recent severe wildfires in southern Greece. Reg. Environ. Chang. 2014, 14, 1257–1268. [Google Scholar] [CrossRef]
- Moreira, F.; Viedma, O.; Arianoutsou, M.; Curt, T.; Koutsias, N.; Rigolot, E.; Barbati, A.; Corona, P.; Vaz, P.; Xanthopoulos, G.; et al. Landscape-wildfire interactions in southern Europe: Implications for landscape management. J. Environ. Manag. 2011, 92, 2389–2402. [Google Scholar] [CrossRef] [PubMed]












| Gouvernorat | MAT (°C) | MAP (mm) | Administrative Surface (ha) | Forest Shrubland Surface (ha) (% of admin. unit) | |
|---|---|---|---|---|---|
| BEJA (BE) | 17.7 | 662 | 367,799 | 48,117 (13.1) | 32,063 (8.71) |
| BIZERTE (BZ) | 18.0 | 527 | 357,429 | 35,658 (9.98) | 55,157 (15.43) |
| JENDOUBA (JE) | 18.0 | 504 | 307,694 | 98,714 (32.08) | 14,964 (4.86) |
| KAIROUAN (KA) | 17.9 | 293 | 662,123 | 36,879 (5.56) | 34,773 (5.25) |
| LE KEF (KF) | 16.3 | 521 | 507,626 | 77,728 (15.31) | 38,088 (7.50) |
| KASSERINE (KS) | 16.9 | 289 | 825,131 | 132,326 (16.04) | 26,717 (3.23) |
| NABEUL (NB) | 17.9 | 358 | 282,825 | 42,410 (14.99) | 26,664 (9.42) |
| SILIANA (SI) | 16.9 | 423 | 463,400 | 82,399 (17.78) | 45,963 (9.91) |
| TUNIS (TN) | 18.1 | 448 | 256,446 | 21,471 (8.37) | 13,623 (5.31) |
| ZAGHOUAN (ZA) | 17.9 | 483 | 284,269 | 52,575 (18.49) | 25,291 (9.92) |
| Burned Area ha year−1 (% Forest Cover Burned year−1) | COR/DGF | Fire Number year−1 | Surface Area × 1000 ha (Forest/Gouvernorat Ratio) | |||
|---|---|---|---|---|---|---|
| DGF | COR | Gouvernorat | Forest | |||
| BEJA (BE) | 94.48 (0.12) | 264.48 (0.33) | 280% | 20 | 367.8 | 80.18 (21.8) |
| BIZERTE (BZ) | 101.59 (0.11) | 182.89 (0.20) | 180% | 19 | 357.4 | 90.81 (25.4) |
| JENDOUBA (JE) | 288.99 (0.25) | 492.31 (0.43) | 170% | 39 | 307.7 | 113.68 (36.9) |
| KAIROUAN (KA) | 12.56 (0.02) | 8.53 (0.01) | 68% | 17 | 662.1 | 71.65 (10.8) |
| LE KEF (KF) | 79.95 (0.07) | 111.55 (0.09) | 139% | 21 | 507.6 | 115.8 (22.8) |
| KASSERINE (KS) | 16.87 (0.01) | 18.02 (0.01) | 106% | 20 | 825.1 | 159.0 (19.2) |
| NABEUL (NB) | 46.17 (0.07) | 56.96 (0.08) | 123% | 27 | 282.8 | 69.1 (24.4) |
| SILIANA (SI) | 106.86 (0.08) | 190.84 (0.15) | 178% | 25 | 463.4 | 128.4 (27.7) |
| TUNIS (TN) | 84.39 (0.24) | 118.02 (0.34) | 140% | 28 | 256.4 | 35.1 (13.7) |
| ZAGHOUAN (ZA) | 185.37 (0.24) | 356.19 (0.46) | 192% | 20 | 284.3 | 77.9 (27.4) |
| TUNISIA | 1017.3 (0.11) | 1799.8 (0.19) | 176% | 236 | 4314.7 | 941.6 (21.8) |
| 2000 | 2001 | 2002 | 2003 | 2004 | 2005 | 2006 | 2007 | 2008 | 2009 | 2010 | |
|---|---|---|---|---|---|---|---|---|---|---|---|
| FRA (tot) [60] | 187 | 189 | 474 | 267 | 1532 | 696 | 225 | 889 | |||
| FRA (forests) | 152 | 104 | 355 | 111 | 457 | 478 | 83 | 702 | |||
| EFFIS [61] | 129 | 3551 | |||||||||
| Chriha [35] | 1374 | 228 | 231 | 371 | 196 | 355 | 150 | 467 | 484 | 99 | 700 |
| DGF | 1309 | 195 | 217 | 346 | 137 | 62 | 95 | 494 | 499 | 61 | 806 |
| COR | 5027 | 226 | 878 | 818 | 147 | 442 | 114 | 1523 | 1502 | 194 | 3037 |
| Fire Number (year−1) | Burnt Area (ha year−1) | |||
|---|---|---|---|---|
| Slope | p-Value | Slope | p-Value | |
| DGF | 5.60 | 0.00 *** | −19.93 | 0.10 * |
| COR | 2.30 | 0.11 (NS) | −9.74 | 0.75 (NS) |
| COR > 0.01 | 2.30 | 0.07 * | −9.74 | 0.75 (NS) |
| COR > 0.1 | 1.40 | 0.21 (NS) | −9.75 | 0.75 (NS) |
| COR > 4 ha | 0.00 | 0.88 (NS) | −9.82 | 0.70 (NS) |
© 2018 by the authors. Licensee MDPI, Basel, Switzerland. This article is an open access article distributed under the terms and conditions of the Creative Commons Attribution (CC BY) license (http://creativecommons.org/licenses/by/4.0/).
Share and Cite
Belhadj-Khedher, C.; Koutsias, N.; Karamitsou, A.; EI-Melki, T.; Ouelhazi, B.; Hamdi, A.; Nouri, H.; Mouillot, F. A Revised Historical Fire Regime Analysis in Tunisia (1985–2010) from a Critical Analysis of the National Fire Database and Remote Sensing. Forests 2018, 9, 59. https://doi.org/10.3390/f9020059
Belhadj-Khedher C, Koutsias N, Karamitsou A, EI-Melki T, Ouelhazi B, Hamdi A, Nouri H, Mouillot F. A Revised Historical Fire Regime Analysis in Tunisia (1985–2010) from a Critical Analysis of the National Fire Database and Remote Sensing. Forests. 2018; 9(2):59. https://doi.org/10.3390/f9020059
Chicago/Turabian StyleBelhadj-Khedher, Chiraz, Nikos Koutsias, Anastasia Karamitsou, Taoufik EI-Melki, Bahri Ouelhazi, Abdelazziz Hamdi, Habiba Nouri, and Florent Mouillot. 2018. "A Revised Historical Fire Regime Analysis in Tunisia (1985–2010) from a Critical Analysis of the National Fire Database and Remote Sensing" Forests 9, no. 2: 59. https://doi.org/10.3390/f9020059
APA StyleBelhadj-Khedher, C., Koutsias, N., Karamitsou, A., EI-Melki, T., Ouelhazi, B., Hamdi, A., Nouri, H., & Mouillot, F. (2018). A Revised Historical Fire Regime Analysis in Tunisia (1985–2010) from a Critical Analysis of the National Fire Database and Remote Sensing. Forests, 9(2), 59. https://doi.org/10.3390/f9020059

