Growth and Yield Models for Teak Planted as Living Fences in Coastal Ecuador
Abstract
:1. Introduction
2. Materials and Methods
2.1. Study Area
2.2. Data Collection
2.3. Site Index
2.4. Tree Volume Assessment
2.5. Teak Production in SPS
3. Results
3.1. Site Index
3.2. Volume Models
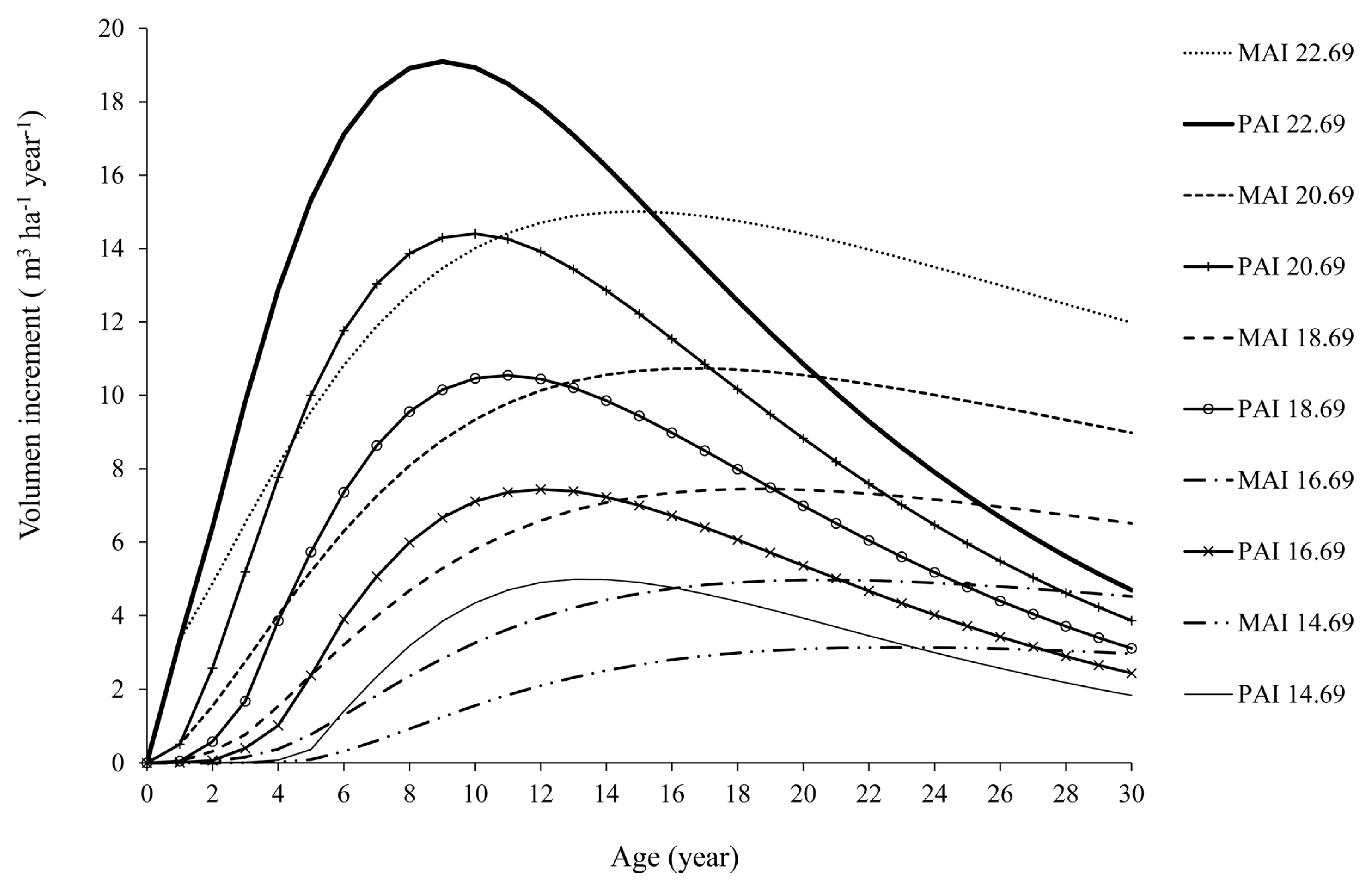
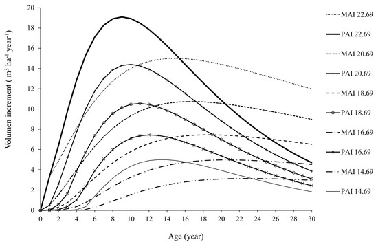
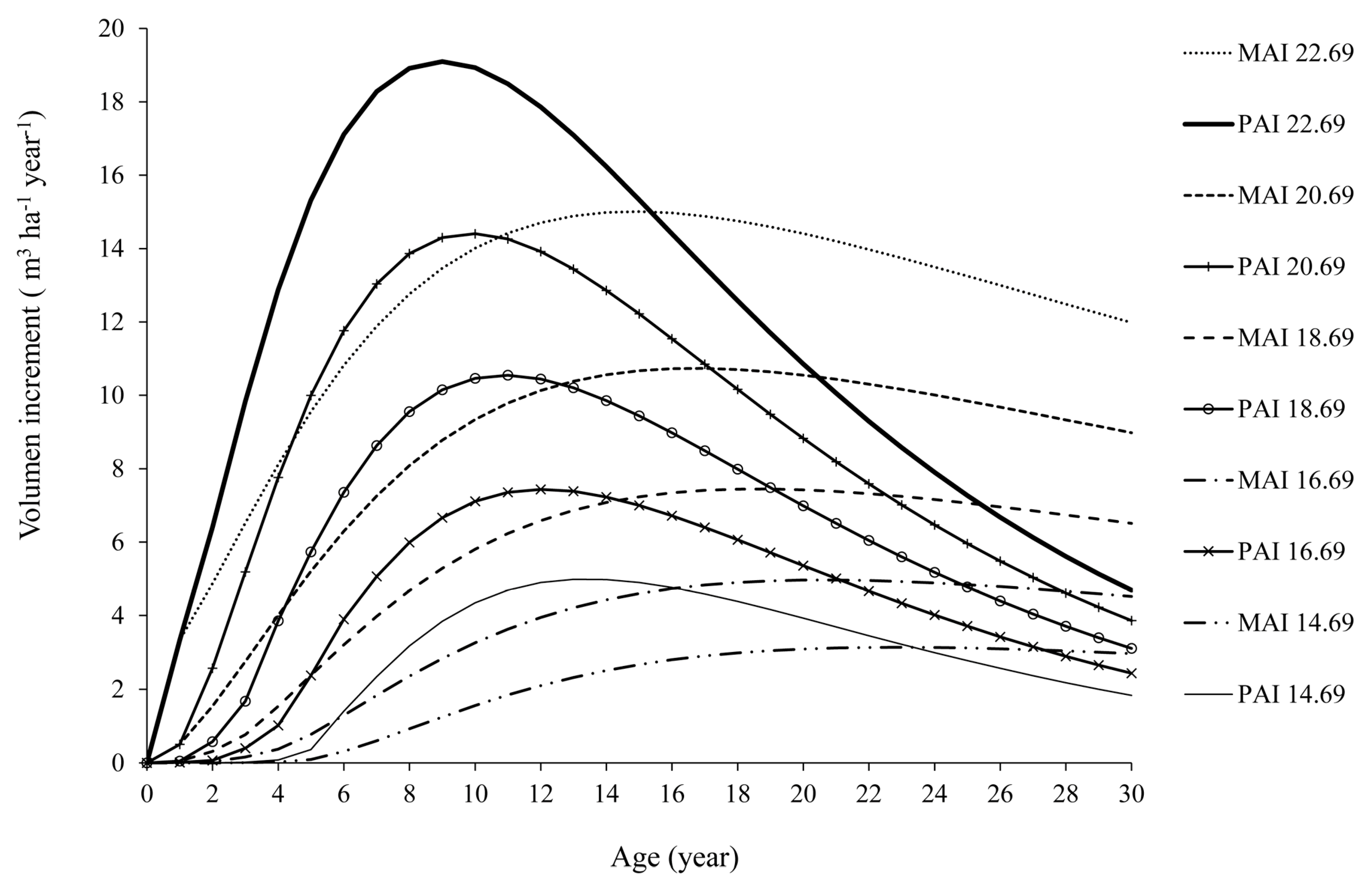
3.3. Mean Annual Increment in Volume
4. Discussion and Conclusions
4.1. Height Projection Function and SI Classes
4.2. Volume Equations for Teak in SPS
4.3. Teak Production in SPS
Author Contributions
Conflicts of Interest
References
- Ministerio de Agricultura Ganadería Acuacultura y Pesca, MAGAP. Legalización Masiva de Tierra, Quito, Ecuador. 2015. Available online: http://www.agricultura.gob.ec/legalizacion-masiva-de-tierra/ (accessed on 20 July 2017).
- Murgueitio, E. Silvopastoral systems in the neotropics. In International Silvopastoral and Sustainable Land Management; CAB: Lugo, Spain, 2005; pp. 24–29. [Google Scholar]
- Pagiola, S.; Ramírez, E.; Gobbi, J.; de Haan, C.; Ibrahim, I.; Murgueitio, E.; Ruiz, J.P. Paying for the environmental services of silvpostoral practices in Nicaragua. Ecol. Econ. 2007, 64, 374–385. [Google Scholar] [CrossRef]
- Andrade, H.J.; Brook, R.; Ibrahim, M. Growth, production and carbon sequestration of silvopastoral systems with native timber species in the dry lowlands of Costa Rica. Plant Soil. 2008, 308, 11–12. [Google Scholar] [CrossRef]
- Harvey, C.A.; Villanueva, C.; Villacís, J.; Chacón, M.; Muñoz, D.; López, M.; Ibrahim, M.; Gómez, R.; Taylor, R.; Martínez, J.; et al. Contribution of live fences to the ecological integrity of agricultural landscapes. Agric. Ecosyst. Environ. 2005, 111, 200–230. [Google Scholar] [CrossRef]
- Pérez, C.L.D.; Kanninen, M. Provisional equations for estimating total merchantable volume for Tectona grandis trees in Costa Rica. For. Trees Livelihoods 2003, 13, 345–359. [Google Scholar] [CrossRef]
- Hasenauer, H. Dimensional relationships of open-grown trees in Austria. For. Ecol. Manag. 1997, 96, 197–206. [Google Scholar] [CrossRef]
- Cañadas, A.; Arce, L.; Molina, C. Growth, Yield and Performance of Teak in Silvopstoril System in Lowland Western Ecuador. In World Food System—A Contribution from Europe; Tielkes, E., Ed.; ETH Zurich: Zurich, Switzerland, 2010. [Google Scholar]
- Vincent, A.B. Is height/age a reliable index of site? For. Chron. 1961, 37, 144–150. [Google Scholar] [CrossRef]
- Montoro Girona, M.; Morin, H.; Lussier, J.-M.; Walsh, D. Radial growth response of black spruce stands ten years after experimental shelterwoods and seed-tree cuttings in boreal forest. Forests 2016, 7, 240. [Google Scholar] [CrossRef]
- Bailey, R.L.; Clutter, J.L. Base-age invariant polymorphic site curves. For. Sci. 1974, 20, 155–159. [Google Scholar]
- Cieszewski, C.J.; Bailey, R.L. Generalized algebraic difference approach: Theory based derivation of dynamic equations with polymorphism and variance asymptotes. For. Sci. 2000, 46, 116–126. [Google Scholar]
- García, O. Building a dynamic growth model for trembling aspen in western Canada without age data. Can. J. For. Res. 2013, 43, 256–265. [Google Scholar] [CrossRef]
- García, O.; Burkhart, H.E.; Amateis, R.L. A biologically-consistent stand growth model for loblolly pine in the piedmont physiographic region, USA. For. Ecol. Manag. 2011, 262, 2035–2041. [Google Scholar] [CrossRef]
- Montoro Girona, M.; Rossi, S.; Lussier, J.M.; Walsh, D.; Morin, H. Understanding tree growth responses after partial cuttings: A new approach. PLoS ONE 2017, 12, e0172653. [Google Scholar] [CrossRef] [PubMed]
- Palahı, M.; Tomé, M.; Pukkala, T.; Trasobares, A.; Montero, G. Site index model for Pinus sylvestris in north-east Spain. For. Ecol. Manag. 2004, 187, 35–47. [Google Scholar] [CrossRef]
- Cieszewski, C.J. Three methods of deriving advanced dynamic site equations demonstrated on inland Douglas-fir site curves. Can. J. For. Res. 2001, 31, 165–173. [Google Scholar] [CrossRef]
- Cieszewski, C.J. Comparing fixed- and variable-base-age site equations having single versus multiple asymptotes. For. Sci. 2002, 48, 7–23. [Google Scholar]
- Cieszewski, C.J. Developing a well-behaved dynamic site equation using a modified Hossfeld IV function Y3 = (axm)/(c + xm−1), a simplified mixed-model and scant subapline fir data. For. Sci. 2003, 49, 539–554. [Google Scholar]
- Tewari, P.V.; Álvarez-González, J.G.; García, O. Developing a dynamic growth model for teak plantation in India. For. Ecosyst. 2014, 1, 9. [Google Scholar] [CrossRef]
- Moya, R.; Brian, B.; Henry, Q. A review of heartwood properties of Tectona grandis trees from fast-growth plantations. Wood Sci. Technol. 2014, 48, 411–433. [Google Scholar] [CrossRef]
- Kollert, W.; Cherubini, L. Teak Resources and Market Assessment 2010; Planted Forests and Trees Working Paper FP/47/E; FAO: Rome, Italy, 2012; Available online: http://www.fao.org/docrep/015/an537e/an537e00.pdf (accessed on 20 July 2017).
- Cañadas, A.; Rade, D.; Zambrano, C.; Molina, C.; Arce, L. Evaluación y manejo de fuentes semilleras de Teca en la Estación Experimental Tropical Pichilingue-Ecuador. Av. USFQ 2013, 5, 64–75. [Google Scholar] [CrossRef]
- Cañadas, A.; Rade, D.; Domínguez, J.M.; Murillo, I.; Molina, C. Modelación Forestal como Innovación Tecnológica para el Manejo Silvicultural y Aprovechamiento Económico de la Balsa, Región Costa-Ecuador; Abya-Yala: Quito, Ecuador, 2016; pp. 5–30. [Google Scholar]
- Ares, A.; Brauer, D. Growth and nut production of black walnut in relation to site, tree type and stand conditions in south-central United States. Agrofor. Syst. 2004, 63, 83–90. [Google Scholar] [CrossRef]
- Richards, F.J. A flexible growth function for empirical use. J. Exp. Bot. 1959, 10, 290–300. [Google Scholar] [CrossRef]
- Zeide, B. Analysis of growth equations. For. Sci. 1993, 39, 594–616. [Google Scholar]
- Shater, Z.; de-Miguel, S.; Kraid, B.; Pukala, T.; Palahi, M. A growth and yield model for eveng-aged Pinus brutia Ten. stands in Syria. Ann. For. Sci. 2011, 68, 149–157. [Google Scholar] [CrossRef]
- Cieszewski, C.J. GADA Derivation of Dynamic Site Equations with Polymorphism and Variable Asymptotes from Richards, Weibull, and Other Exponential Functions; PMRC-Technical Report 2004-5; Daniel N. Warnell School of Forest Resources, University of Georgia: Athens, GA, USA, 2004; p. 16. [Google Scholar]
- Development Core Team. R: A Language and Environment for Statistical Computing; R Foundation for Statistical Computing: Vienna, Austria, 2017; Available online: http://www.R-project.org/ (accessed on 22 July 2017).
- Navar, J.D.; Domínguez, P.A. Ajuste de modelos de volumen y funciones que describen el perfil diamétrico de cuatro especies de pino plantadas en el Nordeste de México. For. Syst. 1997, 6, 147–162. [Google Scholar]
- SAS Institute Inc. SAS/ETS® 9.2 User’s Guide, SAS Institute Inc.: Cary, NC, USA, 2008.
- Akaike, H. Information Theory and an Extension of the Maximum Likelihood Principle. In Selected Papers of Hirotugu Akaike; Springer: New York, NY, USA, 1998; pp. 199–213. [Google Scholar]
- Schumacher, F.X.; Hall, F.S. Logarithmic expression of timber-tree volume. J. Agric. Res. 1933, 47, 719–734. [Google Scholar]
- Spurr, S.H. Forest Inventory; Ronald Press Co.: New York, NY, USA, 1952; p. 476. [Google Scholar]
- Avery, T.E.; Burkhart, H.E. Forest Measurements, 5th ed.; McGraw-Hill: New York, NY, USA, 2002; p. 456. ISBN 1478629088. [Google Scholar]
- Ruiz, R.M.; Martínez, G.E.R.; Mata, J.J. Análisis del crecimiento y producción de látex en plantaciones forestales comerciales de hule (Hevea brasiliensis Muell Arg.) en el estado de Oaxaca, México. Ra Ximhai 2007, 3, 565–578. [Google Scholar]
- Honer, T.G. A new total cubic foot volume function. For. Chron. 1965, 41, 476–493. [Google Scholar] [CrossRef]
- Newnham, R.M. Variable-form taper functions for four Alberta tree species. Can. J. For. Res. 1992, 22, 210–223. [Google Scholar] [CrossRef]
- Nwoboshi, L.C.H. Growth and nutrient requirements in a teak plantation age series in Nigeria. I. Linear growth and biomass production. For. Sci. 1983, 29, 159–165. [Google Scholar]
- Murugesh, M.; Srinivasan, V.M.; Rai, R.S.V.; Balaji, S. Growth and yield of teak (Tectona grandis L.f.) under irrigated condition. Indian J. For. 1997, 20, 373–376. [Google Scholar]
- Bermejo, I.; Cañellas, I.; San Miguel, A. Growth and yield models for teak plantations in Costa Rica. For. Ecol. Manag. 2004, 189, 97–110. [Google Scholar] [CrossRef]
- Nunifu, T.K.; Murchison, H.G. Provisional yield models of teak (Tectona grandis Linn F.) plantations in northern Ghana. For. Ecol. Manag. 1999, 120, 171–178. [Google Scholar] [CrossRef]
- Malende, Y.H.; Temu, A.B. Site-index curves and growth of teak (Tectona grandis) at Mtibwa, Tanzania. For. Ecol. Manag. 1990, 31, 91–99. [Google Scholar] [CrossRef]
- Pérez, D.; Kanninen, M. Heartwood, sapwood and bark content, and wood dry density of young and mature teak (Tectona grandis) trees grown in Costa Rica. Silva Fenn. 2005, 37, 425–441. [Google Scholar]
- Castedo-Dorado, F.; Diéguez-Aranda, U.; Barrio-Anta, M.; Álvarez-González, J. Modelling stand basal area growth for radiata pine plantations in Northwestern Spain using the GADA. Ann. For. Sci. 2007, 64, 609–619. [Google Scholar] [CrossRef]
- Somarriba, E.; Beer, J.; Morataya, R.; Calvo, G. Linderos de Tectona grandis, en el Trópico húmedo de Costa Rica y Panamá. Rev. For. Centroam. 1999, 18, 15–21. [Google Scholar]
- Gea-Izquierdo, G.; Cañellas, I.; Montero, G. Site index in agroforestry systems: Age-dependent and age-independent dynamic diameter growth models for Quercus ilex in Iberian open oak woodlands. Can. J. For. Res. 2008, 38, 101–113. [Google Scholar] [CrossRef]
- Pérez, D.; Kanninem, M. Stand growth scenarios for Tectona grandis plantations in Costa Rica. For. Ecol. Manag. 2005, 210, 425–441. [Google Scholar] [CrossRef]
- Stefanski, S.; Shi, X.; Hall, J.S.; Hernández, A.; Fenichel, E. Teak-cattle production tradeoffs for Panama Canal Watershed small scale producer. For. Policy. Econ. 2015, 56, 48–56. [Google Scholar] [CrossRef]
- Griess, V.C.; Knoke, T. Can native tree species plantations in Panama compete with teak plantations? An economic estimation. New For. 2011, 41, 13–39. [Google Scholar] [CrossRef]
- Quintero, M.A.; Jerez, M.; Flores, J. Modelo de crecimiento y rendimiento para plantaciones de teca (Tecntona grandis L.) usando el enfoque de espacio de estados. Cienc. Ing. 2012, 33, 33–42. [Google Scholar]
- Restrepo, H.; Orrego, S. A comprehensive analysis of teak plantation investment in Colombia. For. Policy Econ. 2015, 57, 31–37. [Google Scholar] [CrossRef]
- Dupuy, B.; Verhaegen, D. Le teck de plantation Tectona grandis Tectona grandis en Côte d’Ivoire. Bois For. Trop. 1993, 235, 9–14. [Google Scholar]
- Midgley, S.; Blyth, M.; Mounlamai, K.; Midgley, D.; Brown, A. Towards Improving Profitability of Teak in Integrated Smallholder Farming Systems in Northern Laos; Technical Reports No 64; Australian Center for International Agricultural Research (ACIAR): Camberra, Australia, 2007.
- Newby, J.C.; Cramb, R.A.; Sakanphet, S.; McNamara, S. Smallholder teak and agrarian change in Northern Laos. Small-Scale For. 2012, 11, 27–46. [Google Scholar] [CrossRef]
- Roshetko, J.M.; Rohadi, D.; Perdana, A.; Sabastian, G.; Nuryartono, N.; Pramono, A.A.; Widyani, N.; Manula, P.; Fauzi, M.; Sumardamto, P.; et al. Teak agroforestry systems for livelihood enhancement, industrial timber production, and environmental rehabilitation. For. Trees Livelihoods 2013, 22, 241–256. [Google Scholar] [CrossRef]
- De Sousa, K.; Detlefsen, G.; de Melo, E.; Tobar, D.; Casanoves, F. Timber from smallholder agroforestry systems in Nicaragua and Honduras. Agrofor. Syst. 2016, 90, 207–218. [Google Scholar] [CrossRef]





| Province | Total Annual Precipitation (mm) | Mean Annual Temperature (°C) | Elevation (m a.s.l.) | Number of Plots |
|---|---|---|---|---|
| Manabí | 798 | 24.6 | 20–300 | 50 |
| Santa Elena | 750 | 24.1 | 0–500 | 150 |
| Guayas | 1198 | 25.7 | 30–100 | 50 |
| Los Ríos | 2000 | 25.2 | 30–300 | 60 |
| Esmeraldas | 2646 | 25.6 | 190–300 | 50 |
| Model | Expression | |
|---|---|---|
| Schumacher-Hall (allometric) [34] | (6) | |
| Spurr [35] | (7) | |
| Spurr potential [35] | (8) | |
| Spurr with independent term [35] | (9) | |
| Incomplete generalized combined variable [36] | (10) | |
| Australian formula [37] | (11) | |
| Honer [38] | (12) | |
| Newnham [39] | (13) | |
| Variables | Base Model | Variable | Estimated Value | Standard Error (SE) | p Value | Root Mean Square Error |
|---|---|---|---|---|---|---|
| Height–age | Equation (1) | a1 | 34.912 | 4.916 | <0.0001 | 3.64 |
| a2 | 0.044 | 0.016 | 0.0049 | |||
| a3 | 0.887 | 0.102 | <0.0001 | |||
| Equation (2) | a1 | −1.075 | 0.094 | <0.0001 | 3.95 | |
| a2 | 0.748 | 0.038 | <0.0001 | |||
| a3 | 0.012 | 0.002 | <0.0001 | |||
| Equation (3) | b1 | 0.122 | 0.004 | <0.0001 | 6.09 | |
| b2 | −18.429 | 0.757 | <0.0001 | |||
| b3 | 67.262 | 2.55 | <0.0001 | |||
| DBH–age | Equation (1) | a1 | 53.657 | 10.522 | <0.0001 | 6.88 |
| a2 | 0.043 | 0.019 | 0.028 | |||
| a3 | 0.956 | 0.141 | <0.0001 | |||
| Equation (2) | a1 | −0.778 | 0.085 | <0.0001 | 7.18 | |
| a2 | 0.556 | 0.034 | <0.0001 | |||
| a3 | 0.006 | 0.002 | <0.0001 | |||
| Equation (3) | b1 | 0.115 | 0.012 | <0.0001 | 9.75 | |
| b2 | −16.173 | 0.812 | <0.0001 | |||
| b3 | 65.855 | 3.121 | <0.0001 |
| Model | MSE | R2Adj | Parameter | Value | SE | AIC |
|---|---|---|---|---|---|---|
| Newnham | 0.00289 | 0.9987 | a | −0.024 | 0.00361 | −1921 |
| b | 0 | <0.0001 | ||||
| c | 1.886 | 0.008 | ||||
| d | 0.996 | 0.0148 | ||||
| Schumacher-Hall (allometric) | 0.00307 | 0.9986 | a | 0 | <0.0001 | −1902 |
| b | 1.912 | 0.006 | ||||
| c | 1.040 | 0.014 | ||||
| Australian formula | 0.00333 | 0.9985 | a | −0.114 | 0.012 | −1873 |
| b | 0 | 0 | ||||
| c | 0.007 | 0.001 | ||||
| d | 0 | <0.0001 | ||||
| Incomplete generalized combined variable | 0.00349 | 0.9984 | a | −0.083 | 0.009 | −1859 |
| b | 0.006 | 0.001 | ||||
| c | 0 | <0.0001 | ||||
| Spurr with independent term | 0.00407 | 0.9982 | a | 0.044 | 0.004 | −1811 |
| b | 0 | <0.0001 | ||||
| Honer | 0.00485 | 0.9978 | a | 125.853 | 13.329 | −1753 |
| b | 25,812.210 | 375.400 | ||||
| Spurr | 0.00624 | 0.9972 | a | 0 | <0.0001 | −1672 |
| Spurr potential | 0.02420 | 0.9892 | a | 0 | <0.0001 | −1222 |
| b | 1.662 | 0.009 |
© 2018 by the authors. Licensee MDPI, Basel, Switzerland. This article is an open access article distributed under the terms and conditions of the Creative Commons Attribution (CC BY) license (http://creativecommons.org/licenses/by/4.0/).
Share and Cite
Cañadas-L, Á.; Andrade-Candell, J.; Domínguez-A, J.M.; Molina-H, C.; Schnabel-D, O.; Vargas-Hernández, J.J.; Wehenkel, C. Growth and Yield Models for Teak Planted as Living Fences in Coastal Ecuador. Forests 2018, 9, 55. https://doi.org/10.3390/f9020055
Cañadas-L Á, Andrade-Candell J, Domínguez-A JM, Molina-H C, Schnabel-D O, Vargas-Hernández JJ, Wehenkel C. Growth and Yield Models for Teak Planted as Living Fences in Coastal Ecuador. Forests. 2018; 9(2):55. https://doi.org/10.3390/f9020055
Chicago/Turabian StyleCañadas-L, Álvaro, Joffre Andrade-Candell, Juan Manuel Domínguez-A, Carlos Molina-H, Odilón Schnabel-D, J. Jesús Vargas-Hernández, and Christian Wehenkel. 2018. "Growth and Yield Models for Teak Planted as Living Fences in Coastal Ecuador" Forests 9, no. 2: 55. https://doi.org/10.3390/f9020055
APA StyleCañadas-L, Á., Andrade-Candell, J., Domínguez-A, J. M., Molina-H, C., Schnabel-D, O., Vargas-Hernández, J. J., & Wehenkel, C. (2018). Growth and Yield Models for Teak Planted as Living Fences in Coastal Ecuador. Forests, 9(2), 55. https://doi.org/10.3390/f9020055

