Tree- and Stand-Level Biomass Estimation in a Larix decidua Mill. Chronosequence
Abstract
1. Introduction
2. Materials and Methods
2.1. Study Sites and Material
2.2. Methods
2.3. Data Analysis
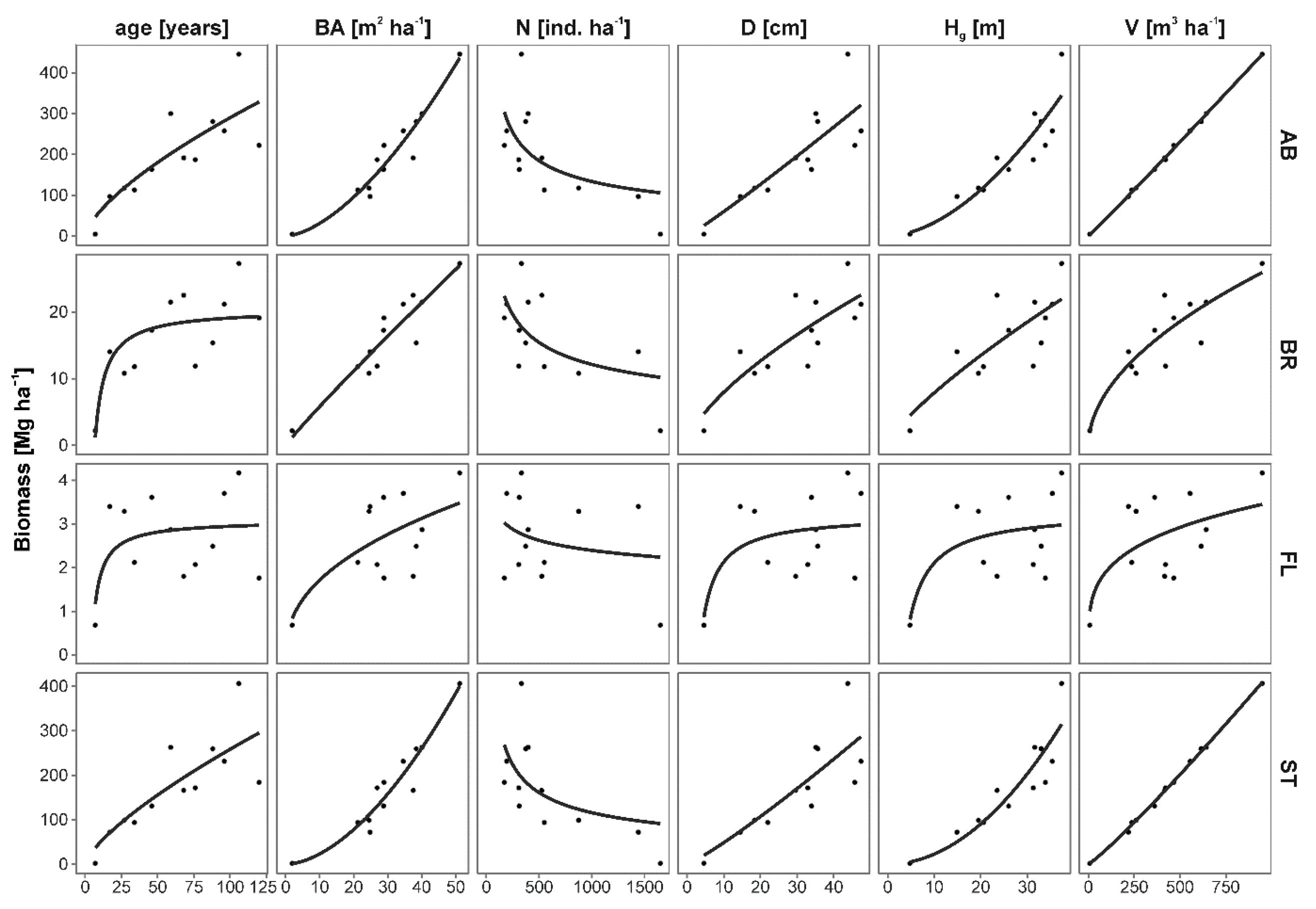
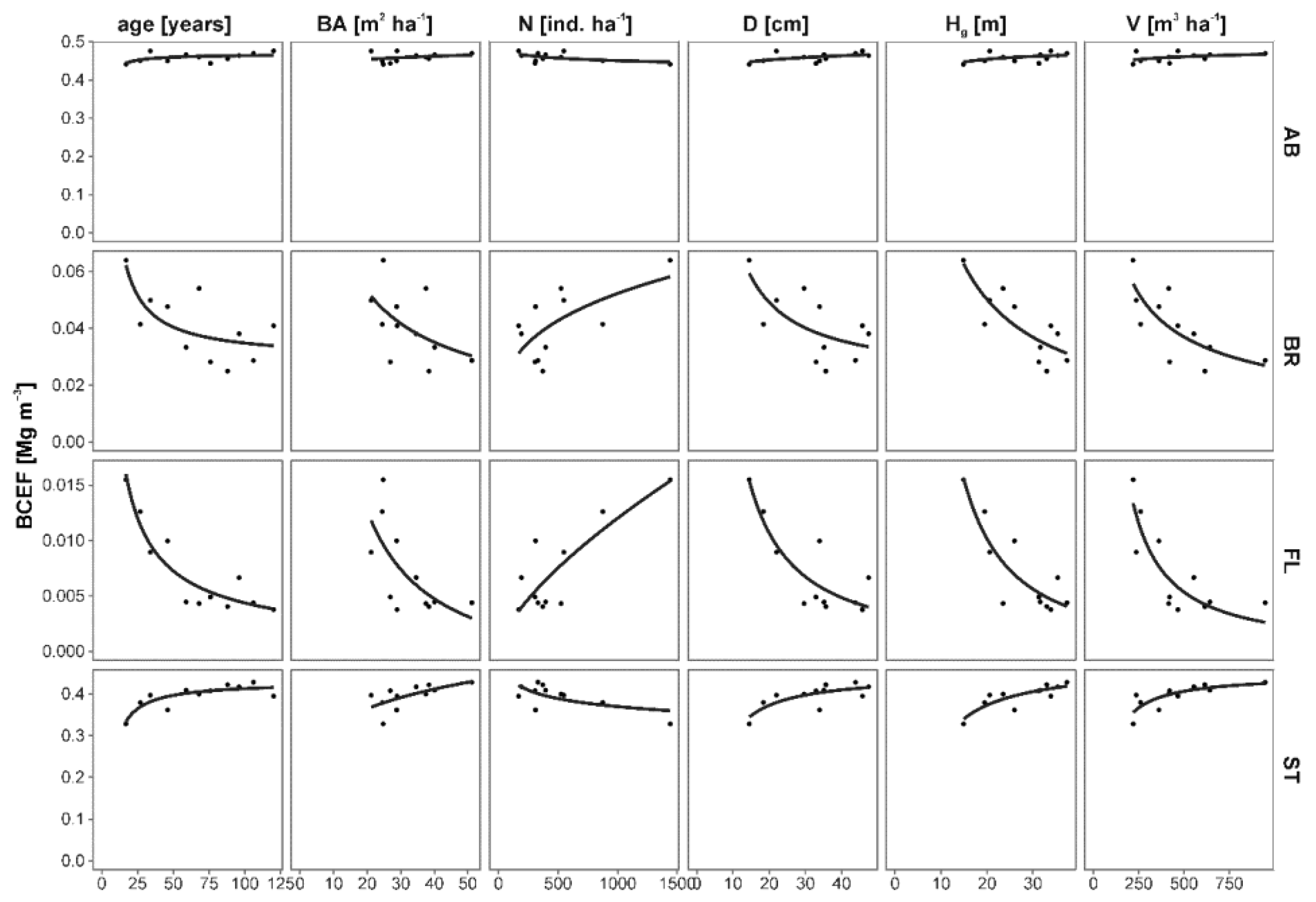
3. Results
3.1. Allometric Equations and Biomass Allocation
3.2. Comparison of Generalized and Published Allometric Equations Fitness
3.3. Biomass Accumulation and BCEFs as a Functions of Forest Stand Parameters
3.4. Comparison of Stand Level Biomass Models
3.5. Carbon Content
4. Discussion
4.1. Accuracy of the Tree-Level Models
4.2. Accuracy of Stand-Level Biomass Models
4.3. Influence of Forest Stand Parameters on Biomass Estimation
5. Conclusions
Supplementary Materials
Author Contributions
Funding
Acknowledgments
Conflicts of Interest
References
- Intergovernmental Panel on Climate Change. Climate Change 2013: The Physical Science Basis. Contribution of Working Group I to the Fifth Assessment Report of the Intergovernmental Panel on Climate Change; Cambridge University Press: Cambridge, UK; New York, NY, USA, 2013. [Google Scholar]
- Sohngen, B.; Tian, X. Global climate change impacts on forests and markets. For. Policy Econ. 2016, 72, 18–26. [Google Scholar] [CrossRef]
- Thuiller, W.; Lavergne, S.; Roquet, C.; Boulangeat, I.; Lafourcade, B.; Araujo, M.B. Consequences of climate change on the tree of life in Europe. Nature 2011, 470, 531–534. [Google Scholar] [CrossRef] [PubMed]
- Pan, Y.; Birdsey, R.A.; Fang, J.; Houghton, R.; Kauppi, P.E.; Kurz, W.A.; Phillips, O.L.; Shvidenko, A.; Lewis, S.L.; Canadell, J.G.; et al. A Large and Persistent Carbon Sink in the World’s Forests. Science 2011, 333, 988–993. [Google Scholar] [CrossRef] [PubMed]
- Naudts, K.; Chen, Y.; McGrath, M.J.; Ryder, J.; Valade, A.; Otto, J.; Luyssaert, S. Europe’s forest management did not mitigate climate warming. Science 2016, 351, 597–600. [Google Scholar] [CrossRef] [PubMed]
- Seidl, R.; Schelhaas, M.-J.; Rammer, W.; Verkerk, P.J. Increasing forest disturbances in Europe and their impact on carbon storage. Nat. Clim. Chang. 2014, 4, 806–810. [Google Scholar] [CrossRef] [PubMed]
- Chmura, D.J.; Howe, G.T.; Anderson, P.D.; St. Clair, B. Adaptation of trees, forests and forestry to climate change. Sylwan 2010, 154, 587–602. [Google Scholar]
- Lindner, M.; Fitzgerald, J.B.; Zimmermann, N.E.; Reyer, C.; Delzon, S.; van der Maaten, E.; Schelhaas, M.-J.; Lasch, P.; Eggers, J.; van der Maaten-Theunissen, M.; et al. Climate change and European forests: What do we know, what are the uncertainties, and what are the implications for forest management? J. Environ. Manag. 2014, 146, 69–83. [Google Scholar] [CrossRef] [PubMed]
- Dyderski, M.K.; Paź, S.; Frelich, L.E.; Jagodziński, A.M. How much does climate change threaten European forest tree species distributions? Glob. Chang. Biol. 2018, 24, 1150–1163. [Google Scholar] [CrossRef] [PubMed]
- Meier, E.S.; Lischke, H.; Schmatz, D.R.; Zimmermann, N.E. Climate, competition and connectivity affect future migration and ranges of European trees. Glob. Ecol. Biogeogr. 2012, 21, 164–178. [Google Scholar] [CrossRef]
- Jagodziński, A.M.; Jarosiewicz, G.; Karolewski, P.; Oleksyn, J. Carbon concentration in the biomass of common species of understory shrubs. Sylwan 2012, 156, 650–662. [Google Scholar]
- Lehtonen, A.; Mäkipää, R.; Heikkinen, J.; Sievänen, R.; Liski, J. Biomass expansion factors (BEFs) for Scots pine, Norway spruce and birch according to stand age for boreal forests. For. Ecol. Manag. 2004, 188, 211–224. [Google Scholar] [CrossRef]
- Uri, V.; Varik, M.; Aosaar, J.; Kanal, A.; Kukumägi, M.; Lõhmus, K. Biomass production and carbon sequestration in a fertile silver birch (Betula pendula Roth) forest chronosequence. For. Ecol. Manag. 2012, 267, 117–126. [Google Scholar] [CrossRef]
- Xie, X.; Cui, J.; Shi, W.; Liu, X.; Tao, X.; Wang, Q.; Xu, X. Biomass partition and carbon storage of Cunninghamia lanceolata chronosequence plantations in Dabie Mountains in East China. Dendrobiology 2016, 76, 165–174. [Google Scholar] [CrossRef]
- Neumann, M.; Moreno, A.; Mues, V.; Härkönen, S.; Mura, M.; Bouriaud, O.; Lang, M.; Achten, W.M.J.; Thivolle-Cazat, A.; Bronisz, K.; et al. Comparison of carbon estimation methods for European forests. For. Ecol. Manag. 2016, 361, 397–420. [Google Scholar] [CrossRef]
- Eggleston, S.; Buedia, L.; Miwa, K.; Ngara, T.; Tanabe, K. 2006 IPCC Guidelines for National Greenhouse Gas Inventories; Institute for Global Environmental Strategie: Hayama, Japan, 2006. [Google Scholar]
- Baskerville, G.L. Use of Logarithmic Regression in the Estimation of Plant Biomass. Can. J. For. Res. 1972, 2, 49–53. [Google Scholar] [CrossRef]
- Forrester, D.I.; Tachauer, I.H.H.; Annighoefer, P.; Barbeito, I.; Pretzsch, H.; Ruiz-Peinado, R.; Stark, H.; Vacchiano, G.; Zlatanov, T.; Chakraborty, T.; et al. Generalized biomass and leaf area allometric equations for European tree species incorporating stand structure, tree age and climate. For. Ecol. Manag. 2017, 396, 160–175. [Google Scholar] [CrossRef]
- Zianis, D.; Muukkonen, P.; Mäkipää, R.; Mencuccini, M. Biomass and stem volume equations for tree species in Europe; Silva Fennica Monographs: Helsinki, Finnland, 2005. [Google Scholar]
- Castedo-Dorado, F.; Gómez-García, E.; Diéguez-Aranda, U.; Barrio-Anta, M.; Crecente-Campo, F. Aboveground stand-level biomass estimation: A comparison of two methods for major forest species in northwest Spain. Ann. For. Sci. 2012, 69, 735–746. [Google Scholar] [CrossRef]
- Jagodziński, A.M.; Dyderski, M.K.; Gęsikiewicz, K.; Horodecki, P.; Cysewska, A.; Wierczyńska, S.; Maciejczyk, K. How do tree stand parameters affect young Scots pine biomass?—Allometric equations and biomass conversion and expansion factors. For. Ecol. Manag. 2018, 409, 74–83. [Google Scholar] [CrossRef]
- Jagodziński, A.M.; Zasada, M.; Bronisz, K.; Bronisz, A.; Bijak, S. Biomass conversion and expansion factors for a chronosequence of young naturally regenerated silver birch (Betula pendula Roth) stands growing on post-agricultural sites. For. Ecol. Manag. 2017, 384, 208–220. [Google Scholar] [CrossRef]
- Pajtík, J.; Konôpka, B.; Lukac, M. Biomass functions and expansion factors in young Norway spruce (Picea abies [L.] Karst) trees. For. Ecol. Manag. 2008, 256, 1096–1103. [Google Scholar] [CrossRef]
- Teobaldelli, M.; Somogyi, Z.; Migliavacca, M.; Usoltsev, V.A. Generalized functions of biomass expansion factors for conifers and broadleaved by stand age, growing stock and site index. For. Ecol. Manag. 2009, 257, 1004–1013. [Google Scholar] [CrossRef]
- Oleksyn, J.; Reich, P.B.; Chalupka, W.; Tjoelker, M.G. Differential Above- and Below-ground Biomass Accumulation of European Pinus sylvestris Populations in a 12-year-old Provenance Experiment. Scand. J. For. Res. 1999, 14, 7–17. [Google Scholar] [CrossRef]
- Blujdea, V.N.B.; Pilli, R.; Dutca, I.; Ciuvat, L.; Abrudan, I.V. Allometric biomass equations for young broadleaved trees in plantations in Romania. For. Ecol. Manag. 2012, 264, 172–184. [Google Scholar] [CrossRef]
- Donnelly, L.; Jagodziński, A.M.; Grant, O.M.; O’Reilly, C. Above- and below-ground biomass partitioning and fine root morphology in juvenile Sitka spruce clones in monoclonal and polyclonal mixtures. For. Ecol. Manag. 2016, 373, 17–25. [Google Scholar] [CrossRef]
- Peichl, M.; Arain, M.A. Allometry and partitioning of above- and belowground tree biomass in an age-sequence of white pine forests. For. Ecol. Manag. 2007, 253, 68–80. [Google Scholar] [CrossRef]
- Jagodziński, A.M.; Kałucka, I.; Horodecki, P.; Oleksyn, J. Aboveground biomass allocation and accumulation in a chronosequence of young Pinus sylvestris stands growing on a lignite mine spoil heap. Dendrobiology 2014, 72, 139–150. [Google Scholar] [CrossRef]
- Pajtík, J.; Konôpka, B.; Seben, V. Mathematical Biomass Models for Young Individuals of Forest Tree Species in the Region of the Western Carpathians; National Forest Centre: Zvolen, Slovakia, 2018. [Google Scholar]
- Enquist, B.J.; Niklas, K.J. Global allocation rules for patterns of biomass partitioning in seed plants. Science 2002, 295, 1517–1520. [Google Scholar] [CrossRef] [PubMed]
- Poorter, H.; Jagodzinski, A.M.; Ruiz-Peinado, R.; Kuyah, S.; Luo, Y.; Oleksyn, J.; Usoltsev, V.A.; Buckley, T.N.; Reich, P.B.; Sack, L. How does biomass distribution change with size and differ among species? An analysis for 1200 plant species from five continents. New Phytol. 2015, 208, 736–749. [Google Scholar] [CrossRef] [PubMed]
- Jagodziński, A.M.; Oleksyn, J. Ecological consequences of silviculture at variable stand densities. II. Biomass production and allocation, nutrient retention. Sylwan 2009, 153, 147–157. [Google Scholar]
- Da Ronch, F.; Caudullo, G.; Tinner, W.; de Rigo, D. Larix decidua and other larches in Europe: Distribution, habitat, usage and threats. In European Atlas of Forest Tree Species; Publication Office of the European Union: Luxembourg, 2016; pp. 108–110. [Google Scholar]
- Food and Agriculture Organization of the United Nations. Global Forest Resources Assessment 2015; UN Food and Agriculture Organization: Rome, Italy, 2015. [Google Scholar]
- Muukkonen, P.; Mäkipää, R. Biomass equations for European trees: Addendum. Silva Fenn. 2006, 40. [Google Scholar] [CrossRef]
- Pajtík, J.; Konôpka, B.; Šebeň, V.; Michelčík, P.; Fleischer, P. Alokácia biomasy smrekovca opadavého prvého vekového stupňa vo Vysokých Tatrách. Štúd. Tatranskom Nár. Park. 2015, 11, 229–241. (In Slovak) [Google Scholar]
- Gasparini, P.; Nocetti, M.; Tabacchi, G.; Tosi, V.; Reynolds, K.M. Biomass Equations and Data for Forest Stands and Shrublands of the Eastern Alps (Trentino, Italy); General Technical Report PNW-GTR; USDA Forest Service: Washington, WA, USA, 2006.
- Minerbi, S.; Cescatti, A. Tree volume and biomass equations for Picea abies and Larix decidua in South Tyrol. For. Obs. 2015, 7, 5–34. [Google Scholar]
- Orzeł, S.; Socha, J.; Forgiel, M.; Ochał, W. Biomass and annual production of mixed stands of the Niepołomice Forest. Act. Sci. Pol. Silv. Colendarum Ratio Ind. Lignaria 2005, 4, 63–79. [Google Scholar]
- Schepaschenko, D.; Moltchanova, E.; Shvidenko, A.; Blyshchyk, V.; Dmitriev, E.; Martynenko, O.; See, L.; Kraxner, F. Improved Estimates of Biomass Expansion Factors for Russian Forests. Forests 2018, 9. [Google Scholar] [CrossRef]
- Schepashenko, D.; Shvidenko, A.; Nilsson, S. Phytomass (live biomass) and carbon of Siberian forests. Biomass Bioenergy 1998, 14, 21–31. [Google Scholar] [CrossRef]
- Bank Danych o Lasach. Available online: http://www.bdl.lasy.gov.pl/ (accessed on 31 January 2017).
- Ochał, W.; Wertz, B.; Grabczyński, S.; Orzeł, S. Accuracy of estimation silver fir stem mass on the basis of volume to weight conversion factors. Sylwan 2018, 162, 277–287. [Google Scholar]
- R Core Team. R: A Language and Environment for Statistical Computing; R Foundation for Statistical Computing: Vienna, Austria, 2018. [Google Scholar]
- Mehtatalo, L. Forest Biometrics with examples in R. Available online: http://cs.uef.fi/~lamehtat/documents/lecture_notes.pdf (accessed on 11 July 2018).
- Repola, J. Biomass equations for birch in Finland. Silva Fenn. 2008, 42, 605–624. [Google Scholar] [CrossRef]
- Smith, A.; Granhus, A.; Astrup, R.; Bollandsås, O.M.; Petersson, H. Functions for estimating aboveground biomass of birch in Norway. Scand. J. For. Res. 2014, 29, 565–578. [Google Scholar] [CrossRef]
- Rubatscher, D.; Munk, K.; Stöhr, D.; Bahn, M.; Mader-Oberhammer, M.; Cernusca, A. Biomass expansion functions for Larix decidua: A contribution to the estimation of forest carbon stocks. Austrian J. Sci. 2006, 123, 87–101. [Google Scholar]
- Usol’tsev, V.A.; Klochin, K.V.; Malenko, A.A. Smeshhenija vseobshhih allometricheskih modelej pri lokal’noj ocenke fitomassy derev’ev listvennicy. Vestn. Altaj. Gos. Agrar. Univ. 2017, 4, 85–90. (In Russian) [Google Scholar]
- Wojtan, R.; Tomusiak, R.; Zasada, M.; Dudek, A.; Michalak, K.; Wróblewski, L.; Bijak, S.; Bronisz, K. Trees and their components biomass expansion factors for Scots pine (Pinus sylvestris L.) of western Poland. Sylwan 2011, 155, 236–243. [Google Scholar]
- Chave, J.; Coomes, D.; Jansen, S.; Lewis, S.L.; Swenson, N.G.; Zanne, A.E. Towards a worldwide wood economics spectrum. Ecol. Lett. 2009, 12, 351–366. [Google Scholar] [CrossRef] [PubMed]
- Tabacchi, G.; Cosmo, L.D.; Gasparini, P. Aboveground tree volume and phytomass prediction equations for forest species in Italy. Eur. J. For. Res. 2011, 130, 911–934. [Google Scholar] [CrossRef]
- Muukkonen, P. Generalized allometric volume and biomass equations for some tree species in Europe. Eur. J. For. Res. 2007, 126, 157–166. [Google Scholar] [CrossRef]
- Novák, J.; Slodičák, M.; Dušek, D. Aboveground biomass of substitute tree species stand with respect to thinning—European larch (Larix decidua Mill.). J. For. Sci. 2011, 57, 8–15. [Google Scholar] [CrossRef]
- Pajtík, J.; Konôpka, B.; Lukac, M. Individual biomass factors for beech, oak and pine in Slovakia: A comparative study in young naturally regenerated stands. Trees 2011, 25, 277–288. [Google Scholar] [CrossRef]
- Poorter, H.; Niklas, K.J.; Reich, P.B.; Oleksyn, J.; Poot, P.; Mommer, L. Biomass allocation to leaves, stems and roots: Meta-analyses of interspecific variation and environmental control. New Phytol. 2012, 193, 30–50. [Google Scholar] [CrossRef] [PubMed]
- Gower, S.T.; Reich, P.B.; Son, Y. Canopy dynamics and aboveground production of five tree species with different leaf longevities. Tree Physiol. 1993, 12, 327–345. [Google Scholar] [CrossRef] [PubMed]
- Mikšys, V.; Varnagiryte-Kabasinskiene, I.; Stupak, I.; Armolaitis, K.; Kukkola, M.; Wójcik, J. Above-ground biomass functions for Scots pine in Lithuania. Biomass Bioenergy 2007, 31, 685–692. [Google Scholar] [CrossRef]
- Lehtonen, A. Estimating foliage biomass in Scots pine (Pinus sylvestris) and Norway spruce (Picea abies) plots. Tree Physiol. 2005, 25, 803–811. [Google Scholar] [CrossRef] [PubMed]
- Jalkanen, A.; Mäkipää, R.; Ståhl, G.; Lehtonen, A.; Petersson, H. Estimation of the biomass stock of trees in Sweden: Comparison of biomass equations and age-dependent biomass expansion factors. Ann. For. Sci. 2005, 62, 845–851. [Google Scholar] [CrossRef]
- Jagodziński, A.M.; Oleksyn, J. Ecological consequences of silviculture at variable stand densities. I. Stand growth and development. Sylwan 2009, 153, 75–85. [Google Scholar]






| Latitude (°) | Longitude (°) | Plot Area (ha) | A (year) | V (m3 ha−1) | BA (m2 ha−1) | BA Proportion (%) | N (Ind. ha−1) | DBH (cm) | Hg (m) | AB (Mg ha−1) | BR (Mg ha−1) | FL (Mg ha−1) | ST (Mg ha−1) | BCEFAB | BCEFBR | BCEFFL | BCEFST |
|---|---|---|---|---|---|---|---|---|---|---|---|---|---|---|---|---|---|
| 51.06401 | 15.49467 | 0.0600 | 7 | 8.118 | 1.9 | 95.0 | 1650 | 4.6 | 4.8 | 4.64 | 2.21 | 0.68 | 2.09 | 0.5716 | 0.2722 | 0.0838 | 0.2575 |
| 50.86198 | 18.98410 | 0.0777 | 17 | 219.454 | 24.8 | 100.0 | 1441 | 14.5 | 14.9 | 96.84 | 14.05 | 3.40 | 72.03 | 0.4413 | 0.0640 | 0.0155 | 0.3282 |
| 52.37760 | 14.93131 | 0.1200 | 27 | 260.712 | 24.5 | 99.2 | 875 | 18.4 | 19.5 | 117.51 | 10.82 | 3.29 | 98.95 | 0.4507 | 0.0415 | 0.0126 | 0.3795 |
| 51.81667 | 14.77037 | 0.1950 | 34 | 236.789 | 21.2 | 98.1 | 549 | 22.0 | 20.6 | 112.73 | 11.82 | 2.12 | 94.04 | 0.4761 | 0.0499 | 0.0090 | 0.3971 |
| 52.90929 | 15.37436 | 0.3364 | 46 | 362.072 | 28.8 | 99.7 | 312 | 33.9 | 26.0 | 163.03 | 17.26 | 3.61 | 130.96 | 0.4503 | 0.0477 | 0.0100 | 0.3617 |
| 53.30943 | 17.25400 | 0.2750 | 59 | 643.078 | 40.1 | 91.3 | 396 | 35.1 | 31.6 | 299.96 | 21.47 | 2.87 | 262.98 | 0.4664 | 0.0334 | 0.0045 | 0.4089 |
| 50.48237 | 16.80768 | 0.2016 | 68 | 416.150 | 37.5 | 84.7 1 | 526 | 29.6 | 23.5 | 191.45 | 22.52 | 1.80 | 166.30 | 0.4601 | 0.0541 | 0.0043 | 0.3996 |
| 53.13129 | 19.16529 | 0.3520 | 76 | 421.209 | 26.9 | 96.2 | 307 | 32.9 | 31.3 | 186.96 | 11.89 | 2.07 | 171.72 | 0.4439 | 0.0282 | 0.0049 | 0.4077 |
| 53.90933 | 14.88185 | 0.3000 | 88 | 615.375 | 38.4 | 80.8 2 | 373 | 35.6 | 33.0 | 280.58 | 15.37 | 2.49 | 259.76 | 0.4559 | 0.0250 | 0.0040 | 0.4221 |
| 54.24200 | 16.92336 | 0.5350 | 96 | 555.139 | 34.6 | 98.6 | 193 | 47.4 | 35.4 | 257.63 | 21.17 | 3.70 | 231.64 | 0.4641 | 0.0381 | 0.0067 | 0.4173 |
| 54.18082 | 15.72429 | 0.3250 | 106 | 948.968 | 51.2 | 93.3 | 332 | 43.8 | 37.4 | 445.76 | 27.27 | 4.17 | 406.31 | 0.4697 | 0.0287 | 0.0044 | 0.4282 |
| 49.71889 | 18.71756 | 0.6000 | 120 | 466.497 | 28.9 | 60.7 3 | 170 | 45.7 | 33.9 | 222.26 | 19.11 | 1.76 | 184.17 | 0.4764 | 0.0410 | 0.0038 | 0.3948 |
| Age | Component | Model Type (Equation No.) | a | SE(a) | b | SE (b) | c | SE (c) | RMSE | R2 | DBH Range (cm) | Height Range (m) |
|---|---|---|---|---|---|---|---|---|---|---|---|---|
| 7 | AB | 9 | 0.2690 | 0.3640 | 361.2148 | 47.3346 | <0.001 | 0.907 | 1.9–5.2 | 2.7–5.3 | ||
| 7 | BR | 1 | 0.0002 | 0.0005 | 5.7689 | 1.4919 | 0.536 | 0.868 | 1.9–5.2 | 2.7–5.3 | ||
| 7 | FL | 9 | 0.0734 | 0.0436 | 47.8095 | 5.6709 | <0.001 | 0.922 | 1.9–5.2 | 2.7–5.3 | ||
| 7 | ST | 9 | 0.2055 | 0.0848 | 149.8650 | 11.0245 | <0.001 | 0.969 | 1.9–5.2 | 2.7–5.3 | ||
| 17 | AB | 5 | 173.2234 | 13.1100 | 0.8353 | 0.0788 | 0.791 | 0.96 | 9.5–19.2 | 13.2–17.2 | ||
| 17 | BR | 3 | −42.5156 | 5.5634 | 19.6681 | 2.1092 | <0.001 | 0.935 | 9.5–19.2 | 13.2–17.2 | ||
| 17 | FL | 5 | 8.1765 | 0.5114 | 1.1229 | 0.0717 | 0.013 | 0.982 | 9.5–19.2 | 13.2–17.2 | ||
| 17 | ST | 5 | 131.1306 | 6.7500 | 0.8520 | 0.0539 | 0.205 | 0.981 | 9.5–19.2 | 13.2–17.2 | ||
| 27 | AB | 5 | 193.9128 | 2.7086 | 1.0372 | 0.0358 | 0.885 | 0.995 | 11.4–25.6 | 15.4–22.7 | ||
| 27 | BR | 1 | 0.0004 | 0.0004 | 3.5199 | 0.3544 | 0.578 | 0.964 | 11.4–25.6 | 15.4–22.7 | ||
| 27 | FL | 2 | −1.1134 | 0.3760 | 0.0136 | 0.0009 | <0.001 | 0.972 | 11.4–25.6 | 15.4–22.7 | ||
| 27 | ST | 5 | 161.9324 | 4.0845 | 0.9989 | 0.0639 | 0.003 | 0.983 | 11.4–25.6 | 15.4–22.7 | ||
| 34 | AB | 5 | 199.8960 | 2.7170 | 1.1527 | 0.0432 | 0.174 | 0.993 | 17.4–27.3 | 17.9–22.4 | ||
| 34 | BR | 1 | 0.0002 | 0.0002 | 3.7181 | 0.3813 | 0.398 | 0.943 | 17.4–27.3 | 17.9–22.4 | ||
| 34 | FL | 1 | 0.0004 | 0.0007 | 2.9618 | 0.5767 | 0.079 | 0.81 | 17.4–27.3 | 17.9–22.4 | ||
| 34 | ST | 9 | −24.0531 | 7.8894 | 192.4834 | 7.3951 | <0.001 | 0.991 | 17.4–27.3 | 17.9–22.4 | ||
| 46 | AB | 5 | 179.6590 | 13.2469 | 0.9550 | 0.0547 | 0.744 | 0.982 | 27.1–41.8 | 24.7–29.7 | ||
| 46 | BR | 1 | 0.0034 | 0.0072 | 2.7393 | 0.5869 | 0.714 | 0.793 | 27.1–41.8 | 24.7–29.7 | ||
| 46 | FL | 1 | 0.0004 | 0.0008 | 2.8767 | 0.5191 | 0.256 | 0.841 | 27.1–41.8 | 24.7–29.7 | ||
| 46 | ST | 10 | −316.3593 | 91.9174 | 0.3494 | 0.0479 | 0.4878 | 0.1512 | <0.001 | 0.968 | 27.1–41.8 | 24.7–29.7 |
| 59 | AB | 1 | 0.2435 | 0.2226 | 2.2380 | 0.2470 | 0.786 | 0.947 | 22.9–47.3 | 28.4–33 | ||
| 59 | BR | 1 | 0.0000 | 0.0000 | 4.7090 | 0.4945 | 1.26 | 0.964 | 22.9–47.3 | 28.4–33 | ||
| 59 | FL | 10 | 12.2483 | 6.7263 | 0.0082 | 0.0013 | −0.0164 | 0.0078 | <0.001 | 0.898 | 22.9–47.3 | 28.4–33 |
| 59 | ST | 1 | 0.7330 | 0.4985 | 1.8974 | 0.1847 | 2.601 | 0.957 | 22.9–47.3 | 28.4–33 | ||
| 68 | AB | 6 | 0.0030 | 0.0041 | 1.5220 | 0.1704 | 2.0752 | 0.5007 | 1.655 | 0.984 | 20.7–38.9 | 22.1–28.5 |
| 68 | BR | 6 | 0.0552 | 0.2675 | 3.7571 | 0.4909 | −1.9808 | 1.5818 | 0.972 | 0.938 | 20.7–38.9 | 22.1–28.5 |
| 68 | FL | 6 | 0.0000 | 0.0000 | 1.0980 | 0.6476 | 3.1397 | 1.8639 | 0.034 | 0.803 | 20.7–38.9 | 22.1–28.5 |
| 68 | ST | 6 | 0.0013 | 0.0016 | 1.2980 | 0.1566 | 2.5328 | 0.4565 | 1.164 | 0.986 | 20.7–38.9 | 22.1–28.5 |
| 76 | AB | 7 | −24.4629 | 56.6312 | 534.0750 | 46.7960 | <0.001 | 0.956 | 24.9–42.3 | 28.4–33.7 | ||
| 76 | BR | 5 | 6.9297 | 2.0948 | 1.3505 | 0.2123 | 0.055 | 0.893 | 24.9–42.3 | 28.4–33.7 | ||
| 76 | FL | 6 | 0.0000 | 0.0000 | 1.3738 | 0.4437 | 2.7622 | 1.1472 | 0.006 | 0.748 | 24.9–42.3 | 28.4–33.7 |
| 76 | ST | 7 | −3.8990 | 49.5803 | 474.8929 | 40.9697 | <0.001 | 0.957 | 24.9–42.3 | 28.4–33.7 | ||
| 88 | AB | 7 | −290.9563 | 128.3866 | 760.0439 | 88.9083 | <0.001 | 0.924 | 25.9–47.7 | 31–35.1 | ||
| 88 | BR | 7 | −44.5787 | 13.8922 | 61.8832 | 9.6204 | <0.001 | 0.873 | 25.9–47.7 | 31–35.1 | ||
| 88 | FL | 7 | −4.8755 | 1.2647 | 8.3841 | 0.8758 | <0.001 | 0.939 | 25.9–47.7 | 31–35.1 | ||
| 88 | ST | 7 | −227.2036 | 100.0659 | 673.1040 | 69.2961 | <0.001 | 0.94 | 25.9–47.7 | 31–35.1 | ||
| 96 | AB | 8 | −2565.2623 | 737.5435 | 0.5737 | 0.0534 | 73.6682 | 21.2191 | <0.001 | 0.97 | 37–55.4 | 33.8–37.6 |
| 96 | BR | 5 | 3.3290 | 2.1150 | 1.6498 | 0.2878 | 0.724 | 0.87 | 37–55.4 | 33.8–37.6 | ||
| 96 | FL | 5 | 1.1592 | 0.8980 | 1.3332 | 0.3549 | 0.017 | 0.737 | 37–55.4 | 33.8–37.6 | ||
| 96 | ST | 8 | −2326.4234 | 551.2474 | 0.4812 | 0.0399 | 69.0508 | 15.8594 | <0.001 | 0.977 | 37–55.4 | 33.8–37.6 |
| 106 | AB | 5 | 166.3487 | 22.0008 | 1.0427 | 0.0628 | 1.477 | 0.985 | 31.1–53.1 | 34.6–39.6 | ||
| 106 | BR | 6 | 0.1691 | 0.4418 | 4.2628 | 0.2519 | –2.7745 | 0.6081 | 1.937 | 0.99 | 31.1–53.1 | 34.6–39.6 |
| 106 | FL | 1 | 0.0000 | 0.0000 | 3.7422 | 0.6474 | 0.377 | 0.89 | 31.1–53.1 | 34.6–39.6 | ||
| 106 | ST | 5 | 178.1996 | 26.6103 | 0.9636 | 0.0712 | 1.039 | 0.977 | 31.1–53.1 | 34.6–39.6 | ||
| 120 | AB | 5 | 182.4763 | 39.0245 | 0.9876 | 0.0952 | 6.27 | 0.958 | 31.4–57.9 | 31.1–39.1 | ||
| 120 | BR | 1 | 0.0001 | 0.0001 | 3.7479 | 0.6373 | 3.424 | 0.903 | 31.4–57.9 | 31.1–39.1 | ||
| 120 | FL | 7 | −9.7036 | 4.0121 | 10.5079 | 2.0315 | <0.001 | 0.817 | 31.4–57.9 | 31.1–39.1 | ||
| 120 | ST | 6 | 0.0017 | 0.0047 | 1.5064 | 0.3351 | 2.1543 | 0.9931 | 4.826 | 0.957 | 31.4–57.9 | 31.1–39.1 |
| Component | Model Type (Equation No.) | a | SE (a) | b | SE (b) | c | SE (c) | RMSE | R2 |
|---|---|---|---|---|---|---|---|---|---|
| AB | 6 | 0.0188 | 0.0050 | 1.9093 | 0.0616 | 1.0805 | 0.1077 | 18.262 | 0.986 |
| 1 | 0.1380 | 0.0315 | 2.3907 | 0.0598 | 27.224 | 0.971 | |||
| ABW | 6 | 0.0132 | 0.0033 | 1.8721 | 0.0578 | 1.2126 | 0.1019 | 18.505 | 0.988 |
| 1 | 0.1251 | 0.0297 | 2.4097 | 0.0624 | 30.434 | 0.969 | |||
| mABW | 10 | −123.3840 | 20.0314 | 0.4742 | 0.0244 | 0.1493 | 0.0452 | <0.001 | 0.959 |
| 1 | 0.1015 | 0.0291 | 2.4193 | 0.0752 | 32.531 | 0.954 | |||
| SW | 6 | 0.0069 | 0.0018 | 1.7444 | 0.0574 | 1.4844 | 0.1032 | 13.046 | 0.988 |
| 1 | 0.1095 | 0.0297 | 2.3986 | 0.0712 | 36.316 | 0.959 | |||
| SB | 6 | 0.0107 | 0.0051 | 1.5474 | 0.1214 | 0.9123 | 0.2057 | 3.257 | 0.936 |
| 1 | 0.0509 | 0.0162 | 1.9860 | 0.0843 | 5.969 | 0.922 | |||
| ST | 6 | 0.0099 | 0.0025 | 1.7251 | 0.0571 | 1.4266 | 0.1020 | 9.739 | 0.988 |
| 1 | 0.1397 | 0.0366 | 2.3588 | 0.0689 | 42.157 | 0.961 | |||
| FL | 10 | 1.1890 | 0.6271 | 0.0086 | 0.0008 | 0.0041 | 0.0014 | <0.001 | 0.785 |
| 1 | 0.0046 | 0.0028 | 2.1036 | 0.1606 | 1.256 | 0.767 | |||
| BR | 6 | 0.0091 | 0.0061 | 3.7338 | 0.1886 | 1.4016 | 0.2916 | 8.723 | 0.924 |
| 1 | 0.0006 | 0.0003 | 3.1484 | 0.1400 | 15.034 | 0.906 |
| Component | Predictor | Model No. | a | SE | b | SE | RMSE | R2 | AIC | AIC0 |
|---|---|---|---|---|---|---|---|---|---|---|
| AB | age | 12 | 12.2705 | 11.7614 | 0.6867 | 0.2174 | 6.863 | 0.664 | 139.799 | 150.891 |
| BA | 12 | 0.75549 | 0.4965 | 1.6157 | 0.1795 | 1.339 | 0.922 | 122.345 | ||
| D | 12 | 4.9969 | 6.3821 | 1.0788 | 0.3513 | 5.553 | 0.679 | 139.251 | ||
| Hg | 12 | 0.5504 | 0.7748 | 1.7781 | 0.4049 | 4.901 | 0.815 | 132.616 | ||
| N | 12 | 3286.8355 | 4624.5845 | −0.4636 | 0.2424 | 8.987 | 0.363 | 147.474 | ||
| V | 12 | 0.3906 | 0.0341 | 1.0267 | 0.0136 | 0.524 | 0.999 | 71.812 | ||
| BR | age | 14 | 20.4444 | 1.7098 | −134.6048 | 35.6184 | 0.000 | 0.588 | 73.978 | 82.624 |
| BA | 12 | 0.6754 | 0.4056 | 0.9368 | 0.1679 | 0.203 | 0.859 | 61.091 | ||
| D | 12 | 1.7065 | 1.2437 | 0.6691 | 0.2040 | 0.211 | 0.674 | 71.176 | ||
| Hg | 12 | 1.3204 | 1.2275 | 0.7758 | 0.2738 | 0.184 | 0.622 | 72.947 | ||
| N | 12 | 132.6992 | 128.8053 | −0.3462 | 0.1650 | 0.220 | 0.369 | 79.099 | ||
| V | 12 | 0.7273 | 0.5520 | 0.5213 | 0.1213 | 0.032 | 0.788 | 66.028 | ||
| FL | age | 14 | 3.0803 | 0.3508 | −13.3716 | 7.3079 | 0.000 | 0.251 | 35.964 | 37.430 |
| BA | 12 | 0.6312 | 0.5232 | 0.4338 | 0.2368 | 0.012 | 0.434 | 32.600 | ||
| D | 14 | 3.2032 | 0.3488 | −10.7567 | 4.8131 | 0.000 | 0.333 | 34.568 | ||
| Hg | 14 | 3.2938 | 0.3690 | −11.9208 | 5.1536 | 0.000 | 0.349 | 34.287 | ||
| N | 12 | 5.9914 | 6.2231 | −0.1328 | 0.1717 | 0.004 | 0.064 | 38.632 | ||
| V | 12 | 0.5812 | 0.5185 | 0.2598 | 0.1454 | 0.018 | 0.390 | 33.491 | ||
| ST | age | 12 | 8.8958 | 9.5380 | 0.7316 | 0.2425 | 7.372 | 0.652 | 138.538 | 149.217 |
| BA | 12 | 0.4277 | 0.3140 | 1.7384 | 0.1997 | 0.512 | 0.915 | 121.670 | ||
| D | 12 | 3.5043 | 5.0906 | 1.1418 | 0.3988 | 5.955 | 0.653 | 138.511 | ||
| Hg | 12 | 0.2331 | 0.3734 | 1.9904 | 0.4594 | 5.456 | 0.815 | 130.963 | ||
| N | 12 | 3061.5786 | 4676.0220 | −0.4739 | 0.2634 | 9.069 | 0.341 | 146.204 | ||
| V | 12 | 0.2098 | 0.0299 | 1.1050 | 0.0221 | 0.712 | 0.997 | 80.176 |
| Component | Predictor | Model No. | a | SE | b | SE | RMSE | R2 | AIC | AIC0 |
|---|---|---|---|---|---|---|---|---|---|---|
| AB | age | 14 | 0.4680 | 0.0058 | −0.4014 | 0.2273 | 4.17E−09 | 0.257 | −64.050 | −62.778 |
| BA | 12 | 0.4196 | 0.0471 | 0.0264 | 0.0324 | 3.23E−07 | 0.068 | −61.550 | ||
| D | 12 | 0.4077 | 0.0284 | 0.0349 | 0.0202 | 6.29E−08 | 0.251 | −63.960 | ||
| Hg | 14 | 0.4767 | 0.0117 | −0.4433 | 0.2877 | 9.03E−09 | 0.209 | −63.354 | ||
| N | 12 | 0.5227 | 0.0392 | −0.0214 | 0.0124 | 4.31E−07 | 0.250 | −63.949 | ||
| V | 12 | 0.4025 | 0.0440 | 0.0219 | 0.0180 | 2.05E−07 | 0.141 | −62.446 | ||
| BR | age | 14 | 0.0292 | 0.0047 | 0.5616 | 0.1827 | 1.31E−09 | 0.512 | −68.861 | −62.962 |
| BA | 12 | 0.3184 | 0.3613 | −0.5973 | 0.3353 | 1.73E−05 | 0.274 | −64.492 | ||
| D | 14 | 0.0221 | 0.0074 | 0.5410 | 0.1958 | 6.59E−09 | 0.459 | −67.719 | ||
| Hg | 12 | 0.4885 | 0.2601 | −0.7593 | 0.1678 | 4.13E−05 | 0.677 | −73.408 | ||
| N | 12 | 0.0070 | 0.0050 | 0.2913 | 0.1139 | 2.24E−04 | 0.379 | −66.196 | ||
| V | 12 | 0.8099 | 0.6852 | −0.4964 | 0.1437 | 2.14E−05 | 0.580 | −70.506 | ||
| FL | age | 12 | 0.1269 | 0.0394 | −0.7311 | 0.0880 | 1.40E−05 | 0.882 | −108.868 | −87.324 |
| BA | 14 | −0.0032 | 0.0040 | 0.3189 | 0.1201 | 4.16E−09 | 0.439 | −91.685 | ||
| D | 12 | 0.3224 | 0.1977 | −1.1375 | 0.1979 | 1.40E−04 | 0.771 | −101.543 | ||
| Hg | 12 | 0.8084 | 0.6186 | −1.4606 | 0.2517 | 4.3132E−05 | 0.779 | −101.913 | ||
| N | 12 | 0.0001 | 0.0001 | 0.6754 | 0.1466 | 2.17E−04 | 0.665 | −97.352 | ||
| V | 12 | 5.39667 | 7.290q | −1.1128 | 0.2368 | 2.30E−04 | 0.738 | −100.048 | ||
| ST | age | 14 | 0.4290 | 0.0084 | −1.6177 | 0.3281 | 7.80E−09 | 0.730 | −55.973 | −43.580 |
| BA | 12 | 0.2156 | 0.0542 | 0.1753 | 0.0723 | 9.40E−06 | 0.391 | −47.030 | ||
| D | 14 | 0.4471 | 0.0154 | −1.4884 | 0.4081 | 3.57E−08 | 0.596 | −51.563 | ||
| Hg | 14 | 0.4707 | 0.0170 | −1.9517 | 0.4192 | 1.85E−08 | 0.707 | −55.068 | ||
| N | 12 | 0.6135 | 0.1170 | −0.0733 | 0.0318 | 5.78E−05 | 0.387 | −46.959 | ||
| V | 14 | 0.4461 | 0.0146 | −19.8373 | 5.1984 | 2.64E−07 | 0.618 | −52.167 |
| Component | Term | Estimate | SE | t | Pr (>|t|) |
|---|---|---|---|---|---|
| stem wood | (Intercept) | 49.488 | 0.074 | 666.145 | <0.001 |
| R2 = 0.001 | age | 0.004 | 0.001 | 3.831 | <0.001 |
| stem bark | (Intercept) | 51.762 | 0.186 | 279.037 | <0.001 |
| R2 = 0.001 | age | 0.003 | 0.003 | 1.058 | 0.291 |
| branches | (Intercept) | 51.123 | 0.178 | 287.988 | <0.001 |
| R2 = 0.011 | age | 0.004 | 0.003 | 1.340 | 0.185 |
| foliage | (Intercept) | 49.374 | 0.246 | 201.083 | <0.001 |
| R2 = 0.031 | age | 0.007 | 0.003 | 2.013 | 0.047 |
© 2018 by the authors. Licensee MDPI, Basel, Switzerland. This article is an open access article distributed under the terms and conditions of the Creative Commons Attribution (CC BY) license (http://creativecommons.org/licenses/by/4.0/).
Share and Cite
Jagodziński, A.M.; Dyderski, M.K.; Gęsikiewicz, K.; Horodecki, P. Tree- and Stand-Level Biomass Estimation in a Larix decidua Mill. Chronosequence. Forests 2018, 9, 587. https://doi.org/10.3390/f9100587
Jagodziński AM, Dyderski MK, Gęsikiewicz K, Horodecki P. Tree- and Stand-Level Biomass Estimation in a Larix decidua Mill. Chronosequence. Forests. 2018; 9(10):587. https://doi.org/10.3390/f9100587
Chicago/Turabian StyleJagodziński, Andrzej M., Marcin K. Dyderski, Kamil Gęsikiewicz, and Paweł Horodecki. 2018. "Tree- and Stand-Level Biomass Estimation in a Larix decidua Mill. Chronosequence" Forests 9, no. 10: 587. https://doi.org/10.3390/f9100587
APA StyleJagodziński, A. M., Dyderski, M. K., Gęsikiewicz, K., & Horodecki, P. (2018). Tree- and Stand-Level Biomass Estimation in a Larix decidua Mill. Chronosequence. Forests, 9(10), 587. https://doi.org/10.3390/f9100587

