Differentiating Structural and Compositional Attributes across Successional Stages in Chilean Temperate Rainforests
Abstract
1. Introduction
2. Materials and Methods
2.1. Study Sites
2.2. Measurements
2.3. Data Analyses
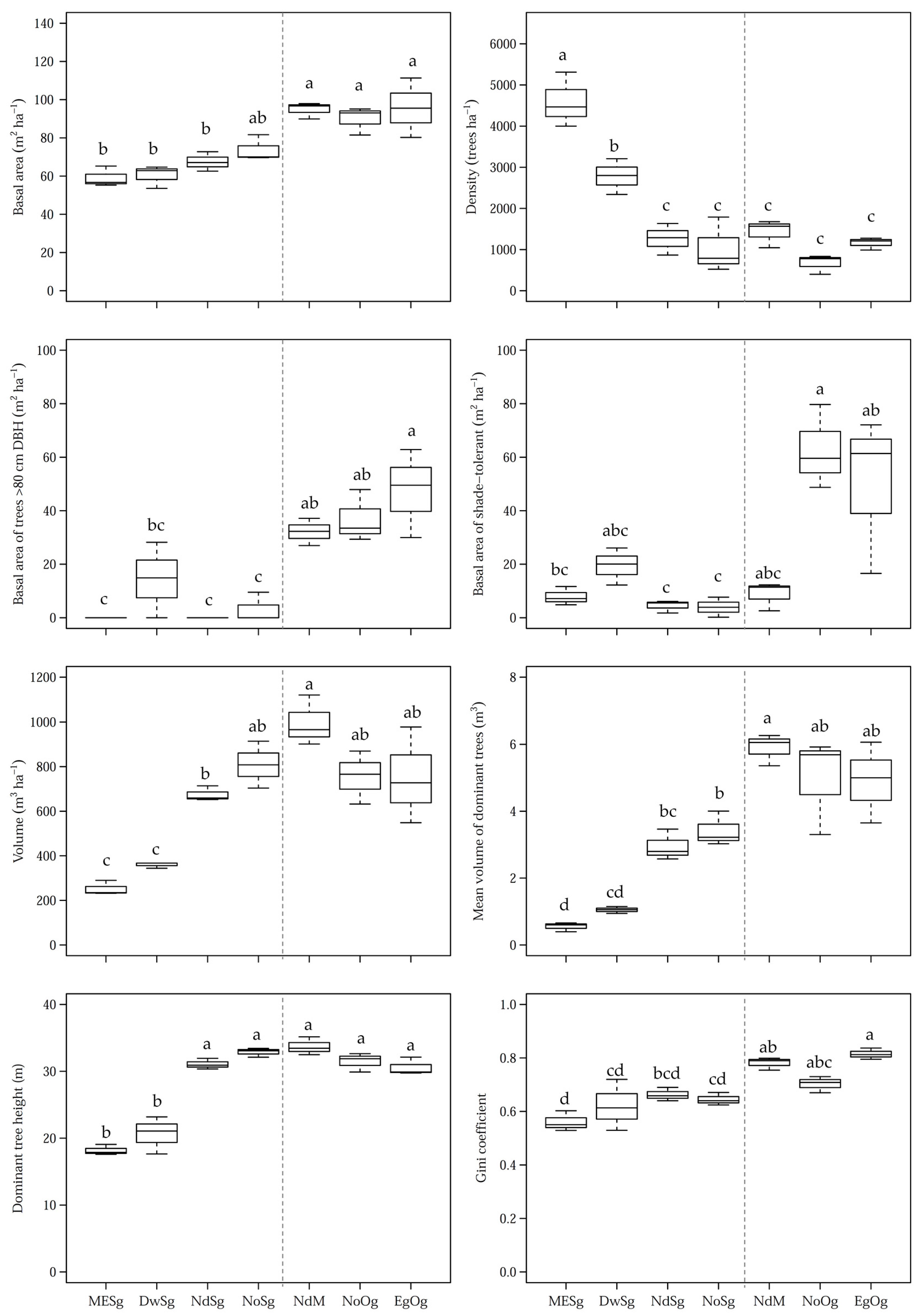
3. Results
4. Discussion and Conclusions
4.1. Causes and Patterns in the Differences between Second and Old-Growth Forests
4.2. Implications for Management and Old-Growth Restoration
Supplementary Materials
Supplementary File 1Acknowledgments
Conflicts of Interest
Appendix A. Fitting Results of the Weibull Probability Density Function for Tree Diameters by Type of Forest
| Type of Forest | Parameter | |
|---|---|---|
| MESg | 1.8923 | 12.6048 |
| DwSg | 1.7698 | 15.7581 |
| NdSg | 1.4174 | 22.9813 |
| NoSg | 1.3453 | 26.2232 |
| NdM | 1.1846 | 21.5971 |
| NoOg | 1.1889 | 32.5968 |
| EgOg | 1.0794 | 22.1172 |

References
- Armesto, J.J.; Smith-Ramírez, C.; Carmona, M.; Celis-Díez, J.L.; Díaz, I.; Gaxiola, A.; Gutierrez, A.; Nuñez-Avila, M.; Pérez, C.; Rozzi, R. Old-growth temperate Rainforests of South America: Conservation, Plant–Animal Interactions, and Baseline Biogeochemical Processes. In Old-Growth Forest: Function, Fate and Value; Wirth, C., Gleixner, G., Heimann, M., Eds.; Springer: Berlin/Heidelberg, Germany, 2009; pp. 367–390. ISBN 978-3-540-92706-8. [Google Scholar]
- Wirth, C.; Gleixner, G.; Heimann, M. (Eds.) Old-Growth Forests: funtion, fate and value. In Ecological Studies; Springer: Berlin/Heidelberg, Germany, 2009; Volume 207, ISBN 978-3-540-92705-1. [Google Scholar]
- Food and Agriculture Organization (FAO). State of the World´s Forests 2016; FAO: Rome, Italy, 2016; ISBN 978-92-5-109208-8. [Google Scholar]
- Chazdon, R.L. Second Growth: The Promise of Tropical Forest Regeneration in an Age of Deforestation; University of Chicago Press: Chicago, IL, USA, 2014; ISBN 9780226118079. [Google Scholar]
- Gutiérrez, A.G.; Armesto, J.J.; Aravena, J.C.; Carmona, M.; Carrasco, N.V.; Christie, D.A.; Peña, M.P.; Pérez, C.; Huth, A. Structural and environmental characterization of old-growth temperate rainforests of northern Chiloé Island, Chile: Regional and global relevance. For. Ecol. Manag. 2009, 258, 376–388. [Google Scholar] [CrossRef]
- Spies, T.A.; Franklin, J.F. The structure of natural young, mature, and old-growth Douglas-Fir forests in Oregon and Washington. In Wildlife and Vegetation of Unmanaged Douglas-Fir Forests; Ruggiero, L.F., Aubry, K.B., Carey, A.B., Huff, M.H., Eds.; U.S. Department of Agriculture, Forest Service: Portland, OR, USA, 1991; pp. 91–109. ISBN PNW-GTR-285. [Google Scholar]
- Aiba, S.I.; Hill, D.A.; Agetsuma, N. Comparison between old-growth stands and secondary stands regenerating after clear-felling in warm-temperate forests of Yakushima, southern Japan. For. Ecol. Manag. 2001, 140, 163–175. [Google Scholar] [CrossRef]
- D’Amato, A.W.; Orwig, D.A.; Foster, D.R. The influence of successional processes and disturbance on the structure of Tsuga Canadensis forests. Ecol. Appl. 2008, 18, 1182–1199. [Google Scholar] [CrossRef] [PubMed]
- Bauhus, J.; Puettmann, K.; Messier, C. Silviculture for old-growth attributes. For. Ecol. Manag. 2009, 258, 525–537. [Google Scholar] [CrossRef]
- Lutz, J.A.; Larson, A.J.; Swanson, M.E.; Freund, J.A. Ecological importance of large-diameter trees in a temperate mixed-conifer forest. PLoS ONE 2012, 7. [Google Scholar] [CrossRef] [PubMed]
- Schlegel, B.C.; Donoso, P.J. Effects of forest type and stand structure on coarse woody debris in old-growth rainforests in the Valdivian Andes, south-central Chile. For. Ecol. Manag. 2008, 255, 1906–1914. [Google Scholar] [CrossRef]
- Donoso, P.J.; Lusk, C.H. Differential effects of emergent Nothofagus dombeyi on growth and basal area of canopy species in an old-growth temperate rainforest. J. Veg. Sci. 2007, 18, 675. [Google Scholar] [CrossRef]
- Carmona, M.R.; Armesto, J.J.; Aravena, J.C.; Pérez, C.A. Coarse woody debris biomass in successional and primary temperate forests in Chiloé Island, Chile. For. Ecol. Manag. 2002, 164, 265–275. [Google Scholar] [CrossRef]
- Veblen, T.T.; Donoso, C.; Schlegel, F.M.; Escobar, B. Forest Dynamics in South-Central Chile. J. Biogeogr. 1981, 8, 211–247. [Google Scholar] [CrossRef]
- Donoso, C. Bosques Templados de Chile y Argentina: Variación, Estructura y Dinámica; Editorial Universitaria: Santiago, Chile, 1993; 484p. [Google Scholar]
- Donoso, P.J.; Cabezas, C.A.; Lavanderos, A.; Donoso, C. Desarrollo de renovales de coihue común (Nothofagus dombeyi (Mirb.) Oerst.) en la Cordillera de la Costa y de los Andes de la provincia de Valdivia en sus primeros 25 años. Bosque 1999, 20, 9–23. [Google Scholar] [CrossRef]
- Lusk, C.H.; Ortega, A. Vertical structure and basal area development in second-growth Nothofagus stands in Chile. J. Appl. Ecol. 2003, 40, 639–645. [Google Scholar] [CrossRef]
- Moorman, M.; Donoso, P.J.; Moore, S.E.; Sink, S.; Frederick, D. Sustainable Protected Area Management: The Case of Llancahue, a Highly Valued Periurban Forest in Chile. J. Sustain. For. 2013, 32, 783–805. [Google Scholar] [CrossRef]
- CONAF Sistema de Información Territorial. Available online: http://sit.conaf.cl/ (accessed on 22 March 2017).
- Veblen, T.T.; Alaback, P.B. A comparative review of forest dynamics and disturbance in the temperate rainforests of North and South America. In High-Latitude Rainforests and Associated Ecosystems of the West Coast of the Americas. Climate, Hydrology, Ecology, and Conservation; Lawford, R.G., Alaback, P., Fuentes, E., Eds.; Springer: New York, NY, USA, 1995; pp. 173–215. [Google Scholar]
- Donoso, P.J.; Frêne, C.; Flores, M.; Moorman, M.C.; Oyarzún, C.E.; Zavaleta, J.C. Balancing water supply and old-growth forest conservation in the lowlands of south-central Chile through adaptive co-management. Landsc. Ecol. 2014, 29, 245–260. [Google Scholar] [CrossRef]
- Tecklin, D.; Dellasala, D.A.; Luebert, F.; Pliscoff, P. Valdivian temperate rainforests of Chile and Argentina. In Temperate and Boreal Rainforests of the World: Ecology and Conservation; Dellasala, D.A., Ed.; Island Press: Washington, DC, USA, 2010; pp. 132–153. ISBN 9781610910088. [Google Scholar]
- Franklin, J.F.; Lindenmayer, D.; Thornburgh, D.; Van Pelt, R.; Chen, J.; Spies, T.A.; Carey, A.B.; Shaw, D.C.; Berg, D.R.; Harmon, M.E.; et al. Disturbances and structural development of natural forest ecosystems with silvicultural implications, using Douglas-fir forests as an example. For. Ecol. Manag. 2002, 155, 399–423. [Google Scholar] [CrossRef]
- Donoso, P.J. Crown index: A canopy balance indicator to assess growth and regeneration in uneven-aged forest stands of the Coastal Range of Chile. Forestry 2005, 78, 337–351. [Google Scholar] [CrossRef]
- Donoso, P.J.; Nyland, R.D. Seedling density according to structure, dominance and understory cover in old-growth forest stands of the evergreen forest type in the coastal range of Chile. Rev. Chil. Hist. Nat. 2005, 78, 51–63. [Google Scholar] [CrossRef]
- Salas, C.; García, O. Modelling height development of mature Nothofagus obliqua. For. Ecol. Manag. 2006, 229, 1–6. [Google Scholar] [CrossRef]
- Hajek, E.R.; di Castri, F. Bioclimatografía de Chile; Dirección de Investigación Vice-Rectoría Académica Universidad Católica de Chile: Santiago, Chile, 1975; p. 225. [Google Scholar]
- Centro de Informaciόn de Recursos Naturales (CIREN). Estudio Agrológico de la Provincia de Valdivia—X Región; CIREN: Santiago, Chile, 1999. [Google Scholar]
- Centro de Informaciόn de Recursos Naturales (CIREN). Estudio Agrológico de la IX Región; CIREN: Santiago, Chile, 2002. [Google Scholar]
- Donoso, P.J. Establishment of the Ecological Bases for the Application of Uneven-Aged Silviculture in Chilean Evergreen Forests; University of New York: New York, NY, USA, 2002. [Google Scholar]
- Soto, D.P.; Salas, C.; Donoso, P.J.; Uteau, D. Heterogeneidad estructural y espacial de un bosque mixto dominado por Nothofagus dombeyi después de un disturbio parcial. Rev. Chil. Hist. Nat. 2010, 83, 335–347. [Google Scholar] [CrossRef]
- González, M.E.; Szejner, P.; Donoso, P.J.; Salas, C. Fire, logging and establishment patterns of second-growth forests in south-central Chile: Implications for their management and restoration. Cienc. Investig. Agrar. 2015, 42, 415–425. [Google Scholar] [CrossRef]
- Thomas, J.W.; Anderson, R.G.; Maser, C.; Bull, E.L. Snags. In Wildlife Habitatsas in Managed Forests, the Blue Montains of Oregon and Washington; USDA: Washington, DC, USA, 1979; pp. 60–77. [Google Scholar]
- Van der Maarel, E. Transformation of Cover-Abundance Values in Phytosociology and Its Effects on Community Similarity. Vegetatio 1979, 39, 97–114. [Google Scholar]
- Pabst, R.J. Methodology for developing the old-growth index. In Definition and Inventory of Old-Growth Forests on DNR-Managed State Lands; Franklin, J.F., Spies, T.A., Van Pelt, R., Eds.; Washington State Department of Natural Resources: Washington, DC, USA, 2005; p. 74. [Google Scholar]
- Mosseler, A.; Lynds, J.A.; Major, J.E. Old-growth forests of the Acadian Forest Region. Environ. Rev. 2003, 11, S47–S77. [Google Scholar] [CrossRef]
- Lexerød, N.L.; Eid, T. An evaluation of different diameter diversity indices based on criteria related to forest management planning. For. Ecol. Manag. 2006, 222, 17–28. [Google Scholar] [CrossRef]
- Steen, O.A.; Dawson, R.J.; Armleder, H.M. An old-growth index for Douglas-fir stands in portions of the Interior Douglas-fir zone, central British Columbia. BC J. Ecosyst. Manag. 2008, 9, 31–47. [Google Scholar]
- D’Amato, A.W.; Orwig, D.A.; Foster, D.R. Understory vegetation in old-growth and second-growth Tsuga canadensis forests in western Massachusetts. For. Ecol. Manag. 2009, 257, 1043–1052. [Google Scholar] [CrossRef]
- Salas, C.; Real, P. Biometría de los bosques naturales de Chile: estado del arte. In Silvicultura en los Bosques Nativos: Avances en la Investigación en Chile, Argentina y Nueva Zelanda; Donoso, P.J., Promis, A., Eds.; Editorial María Cuneo: Valdivia, Chile, 2013; pp. 109–151. [Google Scholar]
- Salas, C. Ajuste y validación de ecuaciones de volumen para un relicto del bosque de Roble-Laurel-Lingue. Bosque 2002, 23, 81–92. [Google Scholar]
- Husch, B.; Beers, T.W.; Kershaw, J.A. Forest Mensuration, 5th ed.; Wiley: Hoboken, NJ, USA, 2002; ISBN 978-0-471-01850-6. [Google Scholar]
- Garcia, O.; Batho, A. Top height estimation in lodgepole pine sample plots. West. J. Appl. For. 2005, 20, 64–68. [Google Scholar]
- Stefańska-Krzaczek, E. Species diversity across the successional gradient of managed Scots pine stands in oligotrophic sites (SW Poland). J. For. Sci. 2012, 58, 345–356. [Google Scholar]
- R Core Team. R: A Language and Environment for Statistical Computing 2016; R Foundation for Statistical Computing: Vienna, Austria, 2016. [Google Scholar]
- Goff, F.G.; West, D. Canopy-understory interaction effects on forest population structure. For. Sci. 1975, 21, 98–108. [Google Scholar]
- Bormann, F.H.; Likens, G.E. Pattern and Process in a Forested Ecosystem; Springer: New York, NY, USA, 1979; ISBN 978-0-387-94344-2. [Google Scholar]
- Oliver, C.; Larson, B. Forest Stand Dynamics, 1st ed.; Wiley: New York, NY, USA, 1996; ISBN 978-0471138334. [Google Scholar]
- Navarro, C.; Donoso, C.; Sandoval, V.; Gonzalez, C. Evaluación de raleos en un renoval de canelo (Drimys winteri (Forst.)) en la Cordillera de la Costa de Valdivia, Chile. Bosque 1997, 18, 51–65. [Google Scholar] [CrossRef]
- Donoso, P.J.; Soto, D.P.; Schlatter, J.E.; Büchner, C.A. Effects of early fertilization on the performance of Nothofagus dombeyi planted in the Coastal Range of south-central Chile. Cienc. Investig. Agrar. 2009, 36, 475–486. [Google Scholar] [CrossRef]
- Spies, T.A.; Franklin, J.F. Old growth and forest dynamics in the douglas-fir region of western oregon and washington usa. Nat. Areas J. 1988, 8, 190–201. [Google Scholar]
- Caviedes, J.; Ibarra, J.T. Influence of Anthropogenic Disturbances on Stand Structural Complexity in Andean Temperate Forests: Implications for Managing Key Habitat for Biodiversity. PLoS ONE 2017, 12, 1–18. [Google Scholar] [CrossRef] [PubMed]
- Franklin, J.F.; Van Pelt, R. Spatial aspects of structural complexity in Old-Growth Forests. J. For. 2004, 102, 22–28. [Google Scholar]
- Spies, T. Forest stand structure, composition, and function. In Creating a Forestry for the 21st Century: The Science of Ecosystem Management; Kohm, K., Franklin, J.F., Eds.; Island Press: New York, NY, USA, 1997; pp. 11–30. [Google Scholar]
- Lindenmayer, D.B.; Franklin, J.F. Towards Forest Sustainability; CSIRO Publishing: Clayton, Australia, 2003; ISBN 9780643100053. [Google Scholar]
- Veblen, T.T.; Ashton, D.H.; Schlegel, F.M.; Veblen, T.T.; Ashton, D.H.; Schlegel, M. Tree regeneration strategies in a lowland Nothofagus- dominated forest in south-central Chile. J. Biogeogr. 1979, 6, 329–340. [Google Scholar] [CrossRef]
- Keeton, W.S. Managing for late-successional/old-growth characteristics in northern hardwood-conifer forests. For. Ecol. Manag. 2006, 235, 129–142. [Google Scholar] [CrossRef]
- Harrington, C.A.; Roberts, S.D.; Brodie, L.C. Tree and Understory Responses to Variable- Density Thinning in Western Washington. In Balancing Ecosystem Values: Innovative Experiments for Sustainable Forestry; Peterson, C.E., Maguire, D.A., Eds.; USDA Forest Service General Technical Report PNWGTR; USDA Forest Service: Portland, OR, USA, 2010; pp. 97–106. [Google Scholar]
- Guldin, J.M. The silviculture of restoration: a historical perspective with contemporary application. In Integrated Restoration of Forested Ecosystems to Achieve Multiresource Benefits, Proceedings of the 2007 National Silviculture Workshop, Portland, OR, USA, 7–10 May 2007; DeaL, R.L., Ed.; Gen. Tech. Rep. PNW-GTR-733; U.S. Department of Agriculture, Forest Service, Pacific Northwest Research Station: Portland, OR, USA, 2008; pp. 23–35. [Google Scholar]
- Puettmann, K.J.; Coates, K.D.; Messier, C. A Critique of Silviculture: Managing for Complexity, 1st ed.; Island Press: Washington, DC, USA, 2008; ISBN 1597261467. [Google Scholar]



| Site | Area (ha) | Location | Forest Type | Code | Main Canopy Tree Species * | Total Area Per Site (ha) |
|---|---|---|---|---|---|---|
| Llancahue | 1270 | 39°84′ S 73°14′ W | Mixed evergreen second-growth | MESg | Ec, Lp, Dw | 287.4 |
| Drimys winteri second-growth | DwSg | Dw, Lp, Ec | 4.5 | |||
| Nothofagus dombeyi second-growth | NdSg | Nd, Ec, Dw | 110.4 | |||
| Nothofagus dombeyi mature | NdM | Nd, Ec, Dw | 162.7 | |||
| Evergreen old-growth | EgOg | Ec, Lp, Ap | 564.9 | |||
| Rucamanque | 435 | 38°66′ S 72°59′ W | Nothofagus obliqua second-growth | NoSg | No, Lp, Ap | 70.4 |
| Nothofagus obliqua old-growth | NoOg | No, Lp, Ap | 229.6 |
| Variables | |
|---|---|
| Density (trees ha−1) | Coarse woody debris (CWD; Mg ha−1) |
| Basal area (m2 ha−1) | Density of snags (n ha−1) |
| Basal area of trees >80 cm d (m2 ha−1) | Basal area of snags (m2 ha−1) |
| Basal area of shade-intolerant species (m2 ha−1) | Total richness of tree species |
| Basal area of shade mid-tolerant (m2 ha−1) | Richness of shade-intolerant tree species |
| Basal area of shade-tolerant species (m2 ha−1) | Richness of shade mid-tolerant tree species |
| Volume (m3 ha−1) | Richness of shade-tolerant tree species |
| Mean volume of dominant trees (m3) | Richness of vascular species in the understory |
| Dominant tree height (m) | Shannon diversity index |
| Gini coefficient | |
| Variable | Type of Forest | ||||||
|---|---|---|---|---|---|---|---|
| MESg | DwSg | NdSg | NoSg | NdM | NoOg | EgOg | |
| Density (trees ha−1) | 4593 ± 543 a | 2783 ± 355 b | 1263 ± 314 c | 1033 ± 545 c | 1430 ± 276 c | 670 ± 193 c | 1159 ± 124 c |
| Basal area (m2 ha−1) | 59.1 ± 4.4 b | 60.4 ± 4.9 b | 67.5 ± 4.2 b | 73.8 ± 5.6 ab | 94.9 ± 3.5 a | 89.9 ± 6 a | 95.7 ± 12.7 a |
| Basal area of trees >80 cm d (m2 ha−1) | 0 ± 0 c | 14.4 ± 11.5 bc | 0 ± 0 c | 3.2 ± 4.5 c | 32.1 ± 4.2 ab | 36.9 ± 8 ab | 47.4 ± 13.5 a |
| Basal area of shade-intolerant species (m2 ha−1) | 2.4 ± 0.8 b | 0.8 ± 1 b | 52.3 ± 4.5 a | 63.2 ± 8.7 a | 58.6 ± 17.2 a | 11.7 ± 13 b | 6.7 ± 9.5 b |
| Basal area of mid-tolerant species (m2 ha−1) | 48.8 ± 3.1 a | 40.1 ± 11.2 ab | 10.7 ± 2.9 bc | 6.7 ± 2.5 c | 27.5 ± 9.9 abc | 15.5 ± 12.5 abc | 39 ± 25.3 abc |
| Basal area of shade-tolerant species (m2 ha−1) | 7.9 ± 2.8 bc | 19.4 ± 5.7 abc | 4.5 ± 1.9 c | 3.9 ± 3.1 c | 8.8 ± 4.4 abc | 62.7 ± 12.8 a | 50 ± 24.1 ab |
| Volume (m3 ha−1) | 252.2 ± 26.8 c | 359.6 ± 10.9 c | 675.1 ± 27.7 b | 808.8 ± 85.8 ab | 996.2 ± 92.2 a | 756 ± 97.3 ab | 751.3 ± 176.2 ab |
| Mean volume of dominant trees (m3) | 0.6 ± 0.1 d | 1 ± 0.1 cd | 2.9 ± 0.4 bc | 3.4 ± 0.4 b | 5.9 ± 0.4 a | 5 ± 1.2 ab | 4.9 ± 1 ab |
| Dominant tree height (m) | 18.2 ± 0.6 b | 20.6 ± 2.3 b | 31.1 ± 0.7 a | 32.9 ± 0.6 a | 33.7 ± 1.1 a | 31.5 ± 1.2 a | 30.6 ± 1.1 a |
| Gini coefficient | 0.56 ± 0.03 d | 0.62 ± 0.08 cd | 0.66 ± 0.02 bcd | 0.65 ± 0.02 cd | 0.78 ± 0.02 ab | 0.7 ± 0.02 abc | 0.81 ± 0.02 a |
| Coarse woody debris (Mg ha−1) | 23 ± 21.8 | 57.2 ± 21.5 | 11 ± 5.4 | 12.3 ± 2.2 | 23.6 ± 9.4 | 32 ± 3.8 | 54.4 ± 15 |
| Density of snags (trees ha−1) | 0 ± 0 | 12 ± 13 | 8 ± 13 | 7 ± 9 | 26 ± 23 | 3 ± 6 | 9 ± 8 |
| Basal area of snags (m2 ha−1) | 0 ± 0 | 6.3 ± 7.1 | 1 ± 0.7 | 4.6 ± 2.4 | 3.2 ± 2.3 | 8.8 ± 5.1 | 13.8 ± 11.4 |
| Total richness of tree species | 16 ± 1 | 10 ± 0 | 11 ± 1 | 9 ± 2 | 9 ± 0 | 8 ± 2 | 9 ± 3 |
| Richness of shade-intolerant tree species | 2 ± 0 | 1 ± 0 | 1 ± 0 | 2 ± 0 | 2 ± 0 | 1 ± 1 | 1 ± 1 |
| Richness of mid-tolerant tree species | 9 ± 0 | 5 ± 0 | 5 ± 0 | 4 ± 1 | 5 ± 0 | 4 ± 1 | 5 ± 2 |
| Richness of shade-tolerant tree species | 6 ± 1 a | 4 ± 0 abc | 4 ± 0 ab | 3 ± 0 bc | 3 ± 0 c | 3 ± 0 c | 4 ± 0 abc |
| Richness of vascular species in the understory | 18 ± 3 abc | 24 ± 5 a | 21 ± 2 ab | 10 ± 1 c | 22 ± 6 a | 11 ± 1 bc | 20 ± 2 abc |
| Shannon diversity index | 1.08 ± 0.65 b | 2.09 ± 0.48 ab | 1.77 ± 0.19 ab | 1.58 ± 0.16 ab | 2.73 ± 0.39 a | 1.73 ± 0.14 ab | 2.49 ± 0.14 a |
© 2017 by the authors. Licensee MDPI, Basel, Switzerland. This article is an open access article distributed under the terms and conditions of the Creative Commons Attribution (CC BY) license (http://creativecommons.org/licenses/by/4.0/).
Share and Cite
Ponce, D.B.; Donoso, P.J.; Salas-Eljatib, C. Differentiating Structural and Compositional Attributes across Successional Stages in Chilean Temperate Rainforests. Forests 2017, 8, 329. https://doi.org/10.3390/f8090329
Ponce DB, Donoso PJ, Salas-Eljatib C. Differentiating Structural and Compositional Attributes across Successional Stages in Chilean Temperate Rainforests. Forests. 2017; 8(9):329. https://doi.org/10.3390/f8090329
Chicago/Turabian StylePonce, Diego B., Pablo J. Donoso, and Christian Salas-Eljatib. 2017. "Differentiating Structural and Compositional Attributes across Successional Stages in Chilean Temperate Rainforests" Forests 8, no. 9: 329. https://doi.org/10.3390/f8090329
APA StylePonce, D. B., Donoso, P. J., & Salas-Eljatib, C. (2017). Differentiating Structural and Compositional Attributes across Successional Stages in Chilean Temperate Rainforests. Forests, 8(9), 329. https://doi.org/10.3390/f8090329
