New Allometric Equations to Support Sustainable Plantation Management of Rosewood (Aniba rosaeodora Ducke) in the Central Amazon
Abstract
1. Introduction
2. Materials and Methods
2.1. Descripions of Study Sites
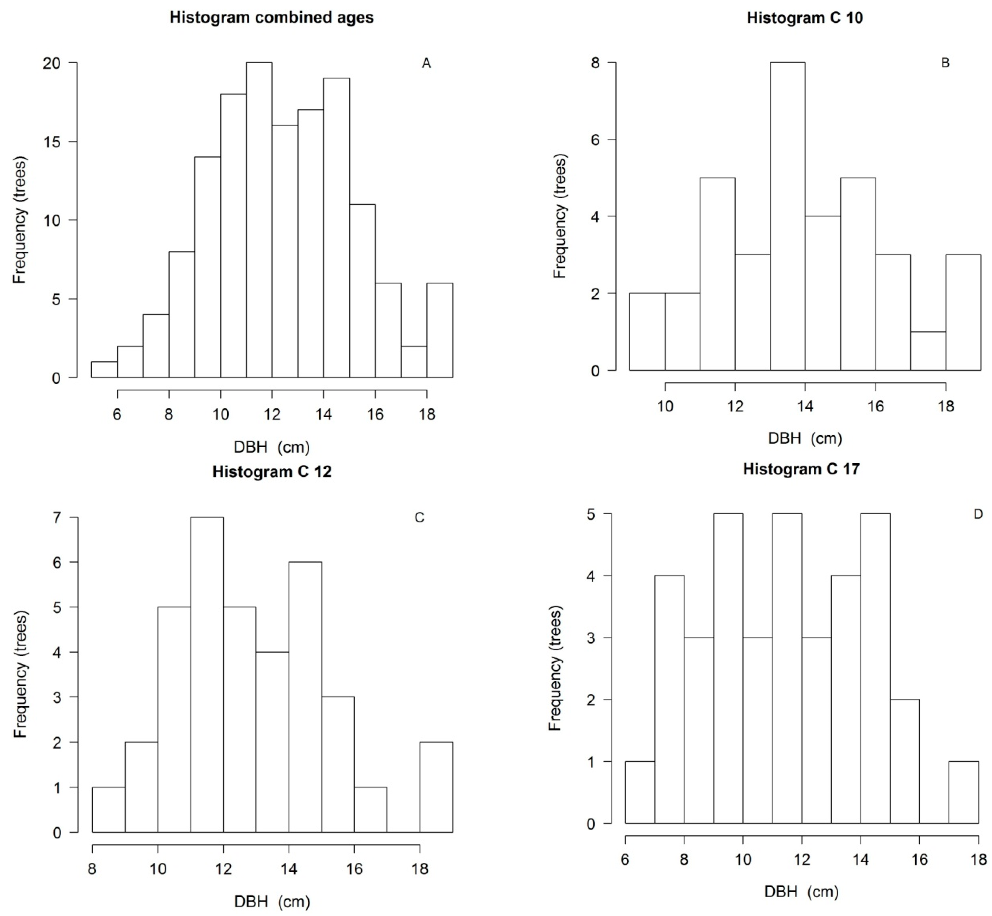
2.2. Data Collection and Sampling
2.3. Statistical Models and Analyses
2.3.1. Development of Allometric Equations of Volume and Biomass
2.3.2. Comparison between the Models Used
3. Results and Discussion
3.1. Allometric Models for Volume Estimation
3.2. Allometric Models for Estimating Dry Mass
3.3. Allometric Models for Fresh Biomass
3.4. Comparison of the Developed Equations with Preexisting Equations
4. Conclusions
Acknowledgments
Author Contributions
Conflicts of Interest
Appendix A
| Soil Management System | Planted Date | Spacing (m) | AGFM (Kg) | DBH (cm) | H (m) | Crown Mass Proportion (%) | FF | General Description of Cultivated Areas |
|---|---|---|---|---|---|---|---|---|
| Rosewood plantations (cultivated for 10 years): C10. | 2005 | 3.0 × 4.0 | 102.47 ± 33.69 | 13.88 ± 2.37 | 8.15 ± 1.39 | 35.89 ± 6.91% | 0.49 ± 0.061 | Rosewood seedlings planted following cutting and burning of original vegetation. Pure stand. |
| Rosewood plantations (cultivated for 12 years): C12. | 2003 | 1.5 × 2.0 to 3.0 × 4.0 | 89.89 ± 36.44 | 12.80 ± 2.68 | 9.49 ± 1.13 | 32.01 ± 8.06% | 0.57 ± 0.053 | Rosewood seedlings planted following cutting and burning of original vegetation. Pure stand |
| Rosewood plantations (cultivated for 17 years): C17. | 1998 | 5.0 × 10 m | 96.02 ± 39.78 | 12.7 ± 2.8 | 11.02 ± 1.97 | 54.87 ± 17.99% | 0.57 ± 0.106 | Rosewood seedlings planted, following cutting and burning of original vegetation. Planting lines were maintained in the middle of naturally regenerating, occasionally cut vegetation in the lines. |


| Model | Variation | a | Std. Error a | p Value a | b | Std. Error b | p Value b | c | Std. Error c | p Value c | n | RSE | RSE% | R2 | AIC |
|---|---|---|---|---|---|---|---|---|---|---|---|---|---|---|---|
| 1 | 10 years old | −2.00233 | 6.79 × 10−3 | 0.733 | 0.00033 | 3.26 × 10−5 | 8.75 × 10−12 | - | - | - | 36 | 0.01271 | 20.20 | 0.74 | −208.22 |
| 12 years old | −0.00184 | 4.64 × 10−3 | 0.694 | 0.00044 | 2.51 × 10−5 | 2.00 × 10−16 | - | - | - | 36 | 0.01048 | 14.45 | 0.90 | −222.08 | |
| 17/N.A | 0.00937 | 7.47 × 10−3 | 0.218 | 0.00041 | 4.83 × 10−5 | 4.94 × 10−10 | - | - | - | 36 | 0.02002 | 30.01 | 0.68 | −175.48 | |
| Combined ages | 0.00927 | 4.58 × 10−3 | 0.0457 | 0.00034 | 2.49 × 10−5 | 2.20 × 10−16 | - | - | - | 108 | 0.01869 | 27.74 | 0.64 | −549.10 | |
| Maués | 0.00192 | 5.29 × 10−3 | 0.7118 | 0.00036 | 2.69 × 10−5 | 2.00 × 10−16 | - | - | - | 72 | 0.01565 | 23.11 | 0.71 | −390.37 | |
| 2 | 10 years old | −0.09322 | 0.0588237 | 0.0765 | 0.01342 | 0.0086273 | 0.0737 | −0.0001518 | 0.000311 | 0.3234 | 36 | 0.01245 | 19.79 | 0.77 | −208.76 |
| 12 years old | 4.34 × 10−6 | 3.47 × 10−2 | 0.9999 | −0.00029 | 5.43 × 10−3 | 0.9577 | 0.00045 | 2.07 × 10−4 | 0.0384 | 36 | 0.10639 | 14.67 | 0.90 | −220.08 | |
| 17/N.A | −0.07829 | 0.0436559 | 0.082 | 0.01492 | 0.0073298 | 0.0499 | −0.00018 | 0.0002976 | 0.5416 | 36 | 0.01916 | 28.71 | 0.72 | −177.74 | |
| Combined ages | −0.02555 | 0.030467 | 0.404 | 0.0056 | 0.004848 | 0.25 | 0.00013 | 0.0001876 | 0.494 | 108 | 0.01867 | 27.70 | 0.65 | −548.46 | |
| Maués | −0.1705 | 0.0411117 | 0.68 | 0.00291 | 0.0062586 | 0.643 | 0.00025 | 0.0002331 | 0.29 | 72 | 0.01574 | 23.24 | 0.72 | −388.59 | |
| 3 | 10 years old | 8.74563 × 10−5 | 3.92 × 10−5 | 3.25 × 10−2 | 1.532782 | 1.54 × 10−1 | 1.96 × 10−11 | 1.193051 | 1.19 × 10−1 | 3.23 × 10−8 | 36 | 0.00787 | 11.67 | 0.91 | −241.81 |
| 12 years old | 7.19168 × 10−5 | 2.45 × 10−5 | 0.00601 | 1.76018 | 9.20 × 10−2 | 2.00 × 10−16 | 1.055748 | 1.57 × 10−1 | 1.21 × 10−7 | 36 | 0.00685 | 10.16 | 0.96 | −251.81 | |
| 17/N.A | 7.05628 × 10−5 | 3.14 × 10−5 | 0.313 | 1.567122 | 1.19 × 10−1 | 1.06 × 10−14 | 1.243728 | 1.49 × 10−1 | 1.16 × 10−9 | 36 | 0.01118 | 16.58 | 0.91 | −216.53 | |
| Combined ages | 0.000071579 | 1.66 × 10−5 | 3.69 × 10−5 | 1.624 | 6.56 × 10−2 | 2.00 × 10−16 | 1.189 | 6.53 × 10−2 | 2.00 × 10−16 | 108 | 0.00932 | 13.84 | 0.91 | −698.38 | |
| Maués | 5.37362 × 10−5 | 1.53 × 10−5 | 0.000757 | 1.584226 | 8.47 × 10−2 | 2.00 × 10−16 | 1.371793 | 1.04 × 10−1 | 2.00 × 10−16 | 72 | 0.00809 | 11.94 | 0.93 | −484.42 | |
| 4 | 10 years old | 0.000319856 | 0.0001926 | 0.106 | 1.998506808 | 0.2212336 | 1.47 × 10−10 | - | - | - | 36 | 0.01273 | 20.23 | 0.76 | −208.09 |
| 12 years old | 0.000372362 | 0.0001272 | 0.00606 | 2.050015054 | 0.1270369 | 2.00 × 10−16 | - | - | - | 36 | 0.01048 | 14.45 | 0.90 | −222.08 | |
| 17/N.A years old | 0.001144129 | 0.0005888 | 0.0603 | 1.659720253 | 0.1976981 | 8.40 × 10−10 | - | - | - | 36 | 0.01957 | 29.33 | 0.71 | −177.12 | |
| Combined ages | 0.000883734 | 0.0003154 | 0.00604 | 1.694692783 | 0.133663 | 2.00 × 10−16 | - | - | - | 108 | 0.01860 | 27.61 | 0.65 | −550.15 | |
| Maués | 0.000446839 | 0.0001914 | 0.0224 | 1.925736118 | 0.1584811 | 2.00 × 10−16 | - | - | - | 72 | 0.01564 | 23.09 | 0.72 | −390.46 | |
| 5 | 10 years old | 9.77357 × 10−5 | 4.89 × 10−5 | 0.0365 | 0.873384398 | 6.03 × 10−2 | 4.20 × 10−16 | - | - | 36 | 0.00824 | 13.10 | 0.90 | −239.37 | |
| 12 years old | 8.69155 × 10−5 | 2.40 × 10−5 | 0.00093 | 0.9083541 | 3.59 × 10−2 | 2.00 × 10−16 | - | - | - | 36 | 0.00684 | 9.43 | 0.96 | −252.79 | |
| 17/N.A | 0.000127887 | 5.60 × 10−5 | 0.0286 | 0.85427041 | 5.69 × 10−2 | 2.00 × 10−16 | - | - | 36 | 0.01225 | 18.36 | 0.89 | −210.85 | ||
| Combined ages | 9.64467 × 10−5 | 2.45 × 10−5 | 0.000145 | 0.8872781 | 3.31 × 10−2 | 2.00 × 10−16 | - | - | 108 | 0.01040 | 15.43 | 0.89 | −675.86 | ||
| Maués | 9.87364 × 10−5 | 2.46 × 10−5 | 0.00182 | 0.9101592 | 4.03 × 10−2 | 2.00 × 10−16 | - | - | 72 | 0.00929 | 13.72 | 0.90 | −465.40 |
| Model | Variation | a | Std. Error a | p Value a | b | Std. Error b | p Value b | c | Std. Error c | p Value c | n | RSE | RSE% | R2 | AIC |
|---|---|---|---|---|---|---|---|---|---|---|---|---|---|---|---|
| 1 | Whole tree 10 | 12.27259 | 6.31445 | 0.0603 | 0.23382 | 0.03027 | 5.51 × 10−9 | - | - | - | 36 | 11.81492 | 20.15 | 0.63 | 283.90 |
| Whole tree 12 | 3.18717 | 3.07645 | 0.308 | 0.29498 | 0.1667 | 2.00 × 10−16 | - | - | - | 36 | 6.95191 | 12.97 | 0.90 | 245.72 | |
| Whole tree 17/N.A | 9.41361 | 5.9067 | 0.12 | 0.36872 | 0.03822 | 2.90 × 10−11 | - | - | - | 36 | 15.84002 | 26.23 | 0.73 | 305.01 | |
| Whole tree combined | 13.08642 | 3.66748 | 0.000541 | 0.26283 | 0.01994 | 2.00 × 10−16 | - | - | - | 108 | 14.96293 | 26 | 0.62 | 894.88 | |
| Whole tree Maués | 7.54355 | 3.32616 | 0.0264 | 0.26315 | 0.01689 | 2.00 × 10−16 | - | - | - | 72 | 9.842599 | 17.54 | 0.77 | 537.59 | |
| Canopy 10 | 6.23448 | 2.1792 | 0.00633 | 0.0698 | 0.01066 | 4.40 × 10−8 | - | - | - | 48 | 4.855432 | 24.6 | 0.47 | 291.86 | |
| Canopy 12 | 6.020556 | 1.346626 | 5.06 × 10−5 | 0.037937 | 0.007468 | 6.72 × 10−6 | - | - | - | 48 | 3.357062 | 27.07 | 0.35 | 256.44 | |
| Canopy 17 | 5.40416 | 2.46842 | 0.0337 | 0.09899 | 0.01736 | 8.06 × 10−7 | - | - | - | 48 | 7.893769 | 44.12 | 0.40 | 338.52 | |
| Canopy combined | 6.870357 | 1.413232 | 3.05 × 10−6 | 0.060308 | 0.007963 | 4.23 × 10−12 | - | - | - | 144 | 6.790991 | 40.72 | 0.28 | 964.32 | |
| Canopy Maués | 4.750729 | 1.534647 | 0.00259 | 0.06259 | 0.007963 | 6.28 × 10−12 | - | - | - | 96 | 5.189632 | 32.29 | 0.39 | 592.57 | |
| 2 | Whole tree 10 | 4.8398 | 56.6492 | 0.932 | 1.0971 | 8.3079 | 0.896 | 0.1945 | 0.2995 | 0.521 | 36 | 11.98943 | 20.45 | 0.64 | 285.88 |
| Whole tree 12 | −17.9733 | 22.7429 | 0.435 | 3.337 | 3.5534 | 0.355 | 0.1688 | 0.1354 | 0.221 | 36 | 6.964018 | 12.99 | 0.91 | 246.77 | |
| Whole tree 17/N.A | −3.5761 | 36.5615 | 0.923 | 2.2113 | 6.1402 | 0.721 | 0.28 | 0.2493 | 0.269 | 36 | 16.04673 | 26.57 | 0.72 | 306.87 | |
| Whole tree combined | 8.6451 | 24.5359 | 0.725 | 0.7148 | 3.9042 | 0.855 | 0.2354 | 0.1511 | 0.122 | 108 | 15.03161 | 26.12 | 0.62 | 896.84 | |
| Whole tree Maués | −15.0742 | 25.7534 | 0.56 | 3.4724 | 3.9205 | 0.379 | 0.1347 | 0.146 | 0.36 | 72 | 9.857789 | 15.57 | 0.78 | 538.77 | |
| Canopy 10 | 14.8512 | 20.3631 | 0.47 | −1.264 | 2.9696 | 0.672 | 0.1148 | 0.1063 | 0.286 | 48 | 4.899232 | 24.82 | 0.46 | 293.67 | |
| Canopy 12 | −7.60925 | 9.71507 | 0.438 | 2.16486 | 1.52849 | 0.164 | −0.04482 | 0.0589 | 0.451 | 48 | 3.320945 | 26.77 | 0.36 | 256.34 | |
| Canopy 17 | 11.1566 | 14.8714 | 0.457 | −1.0135 | 2.5832 | 0.697 | 0.1409 | 0.1082 | 0.2 | 48 | 7.967379 | 44.53 | 0.39 | 340.35 | |
| Canopy combined | 12.37413 | 9.01858 | 0.1722 | −0.90114 | 1.45831 | 0.5376 | 0.095541 | 0.05736 | 0.0985 | 144 | 6.805821 | 40.81 | 0.28 | 965.94 | |
| Canopy Maués | 0.60136 | 11.99269 | 0.96 | 0.63542 | 1.82127 | 0.728 | 0.03909 | 0.06782 | 0.566 | 96 | 5.214048 | 32.44 | 0.38 | 594.45 | |
| 3 | Whole tree 10 | 0.3576 | 0.1982 | 8.04 × 10−2 | 1.1971 | 0.2035 | 1.37 × 10−6 | 0.9179 | 0.2155 | 1.60 × 10−4 | 36 | 9.601572 | 16.69 | 0.77 | 269.89 |
| Whole tree 12 | 0.13794 | 0.05135 | 1.12 × 10−2 | 1.66283 | 0.10244 | 2.00 × 10−16 | 0.74926 | 0.17504 | 1.51 × 10−4 | 36 | 5.625728 | 9.78 | 0.94 | 231.40 | |
| Whole tree 17/N.A | 0.1981 | 0.1201 | 1.09× 10−1 | 1.6502 | 0.1605 | 8.01 × 10−12 | 0.69066 | 0.201 | 1.61× 10−3 | 36 | 13.79181 | 23.97 | 0.81 | 295.96 | |
| Whole tree combined | 0.14867 | 0.0472 | 2.13 × 10−3 | 1.50003 | 0.09002 | 2.00 × 10−16 | 0.93917 | 0.09174 | 2.00 × 10−16 | 108 | 10.88936 | 18.92 | 0.81 | 827.21 | |
| Whole tree Maués | 0.22506 | 0.07431 | 3.45 × 10−3 | 1.55256 | 0.10377 | 2.00 × 10−16 | 0.67511 | 0.1221 | 5.35 × 10−7 | 72 | 8.171381 | 14.56 | 0.85 | 511.75 | |
| Canopy 10 | 0.4073 | 0.2601 | 1.24 × 10−1 | 1.2649 | 0.2458 | 5.66 × 10−6 | 0.2643 | 0.2608 | 3.16 × 10−1 | 48 | 4.883152 | 29.28 | 0.51 | 293.36 | |
| Canopy 12 | 0.4897 | 0.3412 | 0.15815 | 0.9095 | 0.2184 | 1.40 × 10−4 | 0.4157 | 0.3125 | 1.90 × 10−1 | 48 | 3.279679 | 19.66 | 0.43 | 255.14 | |
| Canopy 17 | 2.0833 | 2.0561 | 0.3164 | 1.4905 | 0.2415 | 1.74 × 10−7 | −0.5971 | 0.3505 | 9.53 × 10−2 | 48 | 7.791281 | 46.72 | 0.46 | 338.21 | |
| Canopy combined | 0.4507 | 0.2553 | 7.97 × 10−2 | 1.1659 | 0.1598 | 1.95 × 10−11 | 0.2965 | 0.1757 | 9.37 × 10−2 | 144 | 6.794992 | 40.74 | 0.30 | 965.48 | |
| Canopy Maués | 0.5625 | 0.3198 | 0.0819 | 1.467 | 0.202 | 1.14 × 10−10 | −0.2062 | 0.2248 | 3.61 × 10−1 | 96 | 5.19405 | 32.32 | 0.41 | 593.71 | |
| 4 | Whole tree 10 | 0.9295 | 0.5422 | 0.0956 | 1.5704 | 0.2157 | 1.99 × 10−8 | - | - | - | 36 | 11.81726 | 20.16 | 0.65 | 283.91 |
| Whole tree 12 | 0.45 | 0.1352 | 0.00211 | 1.862 | 0.1122 | 2.00 × 10−16 | - | - | - | 36 | 6.909201 | 12.89 | 0.91 | 245.27 | |
| Whole tree 17/N.A | 0.9274 | 0.4287 | 0.0376 | 1.7006 | 0.1773 | 3.36 × 10−11 | - | - | - | 36 | 15.76979 | 26.11 | 0.74 | 304.69 | |
| Whole tree combined | 1.12 | 0.3724 | 0.0329 | 1.5415 | 0.125 | 2.00 × 10−16 | - | - | - | 108 | 14.9801 | 26.03 | 0.62 | 895.12 | |
| Whole tree Maués | 0.652 | 0.2076 | 0.00246 | 1.7111 | 0.1183 | 2.00 × 10−16 | - | - | - | 72 | 9.799471 | 17.46 | 0.78 | 536.95 | |
| Canopy 10 | 0.5301 | 0.3076 | 0.0916 | 1.3783 | 0.216 | 7.78 × 10−8 | - | - | - | 48 | 4.883292 | 24.74 | 0.50 | 292.41 | |
| Canopy 12 | 0.9462 | 0.5007 | 0.0651 | 1.0119 | 0.203 | 9.24 × 10−6 | - | - | - | 48 | 3.306842 | 26.66 | 0.40 | 254.99 | |
| Canopy 17 | 0.5243 | 0.3348 | 0.124 | 1.4674 | 0.2507 | 4.81 × 10−7 | - | - | - | 48 | 7.94683 | 44.42 | 0.43 | 339.16 | |
| Canopy combined | 0.8571 | 0.3638 | 0.0198 | 1.1744 | 0.1623 | 2.63 × 10−11 | - | - | - | 144 | 6.83581 | 40.99 | 0.29 | 966.23 | |
| Canopy Maués | 0.4273 | 0.2114 | 0.046 | 1.4011 | 0.1858 | 2.88 × 10−11 | - | - | - | 96 | 5.188738 | 32.29 | 0.41 | 592.54 | |
| 5 | Whole tree 10 | 0.38543 | 0.21111 | 0.0767 | 0.67969 | 0.07237 | 5.67 × 10−11 | - | - | - | 36 | 9.64982 | 16.46 | 0.76 | 269.32 |
| Whole tree 12 | 0.12585 | 0.03757 | 0.00199 | 0.8187 | 0.039 | 2.00 × 10−16 | - | - | - | 36 | 5.55605 | 10.36 | 0.94 | 229.58 | |
| Whole tree 17/N.A | 0.1674 | 0.09033 | 0.0726 | 0.80382 | 0.07036 | 3.46 × 10−13 | - | - | - | 36 | 13.65881 | 22.62 | 0.81 | 294.34 | |
| Whole tree combined | 0.17609 | 0.05477 | 0.00173 | 0.78505 | 0.04075 | 2.00 × 10−16 | - | - | - | 108 | 11.00579 | 19.13 | 0.80 | 828.53 | |
| Whole tree Maués | 0.2089 | 0.06623 | 0.00237 | 0.75644 | 0.04166 | 2.00 × 10−16 | - | - | - | 72 | 8.141281 | 14.51 | 0.85 | 510.26 | |
| Canopy 10 | 0.37289 | 0.24026 | 0.128 | 0.5837 | 0.08557 | 1.06× 10−7 | - | - | - | 48 | 4.890941 | 24.78 | 0.50 | 292.56 | |
| Canopy 12 | 0.47157 | 0.29126 | 0.112 | 0.44809 | 0.08289 | 2.23 × 10−6 | - | - | - | 48 | 3.244245 | 26.16 | 0.43 | 253.16 | |
| Canopy 17 | 0.2885 | 0.273 | 0.296 | 0.5726 | 0.1266 | 4.30 × 10−5 | - | - | - | 48 | 8.675436 | 48.49 | 0.32 | 347.58 | |
| Canopy combined | 0.3358 | 0.18043 | 0.0648 | 0.53527 | 0.07173 | 7.79× 10−12 | - | - | - | 144 | 6.822263 | 40.91 | 0.29 | 965.66 | |
| Canopy Maués | 0.33253 | 0.19817 | 0.0967 | 0.52844 | 0.07941 | 1.87 × 10−9 | - | - | - | 96 | 5.459923 | 33.97 | 0.35 | 602.32 |
| Model | Variation | a | Std. Error a | p Value a | b | Std. Error b | p Value b | c | Std. Error c | p Value c | n | RSE | RSE% | R2 | AIC |
|---|---|---|---|---|---|---|---|---|---|---|---|---|---|---|---|
| 1 | Whole tree 10 | 21.61689 | 10.99357 | 0.0575 | 0.4079 | 0.05269 | 5.27 × 10−9 | - | - | - | 36 | 20.57 | 20.07 | 0.63 | 323.82 |
| Whole tree 12 | 6.0764 | 5.1853 | 0.249 | 0.4903 | 0.0281 | 2.00 × 10−16 | - | - | - | 36 | 11.72 | 13.03 | 0.90 | 283.30 | |
| Whole tree 17/N.A | 14.75406 | 9.35753 | 0.124 | 0.58551 | 0.6055 | 2.74 × 10−11 | - | - | - | 36 | 25.09 | 26.22 | 0.73 | 338.14 | |
| Whole tree combined | 19.4996 | 5.53868 | 0.000636 | 0.45241 | 0.3012 | 2.00 × 10−16 | - | - | - | 108 | 22.60 | 23.53 | 0.68 | 983.92 | |
| Whole tree Maués | 12.71452 | 5.6557 | 0.0277 | 0.45218 | 0.02872 | 2.00 × 10−16 | - | - | - | 72 | 16.74 | 17.4 | 0.78 | 614.03 | |
| Canopy 10 | 10.96819 | 4.90701 | 0.0321 | 0.13193 | 0.02314 | 2.10 × 10−6 | - | - | - | 48 | 8.76 | 24.6 | 0.47 | 348.51 | |
| Canopy 12 | 17.24565 | 3.51823 | 2.30 × 10−5 | 0.04611 | 0.01914 | 2.15 × 10−2 | - | - | - | 48 | 6.03 | 27.07 | 0.35 | 312.63 | |
| Canopy 17 | 10.54234 | 2.483 | 0.000159 | 0.07796 | 0.1625 | 3.14 × 10−5 | - | - | - | 48 | 12.21 | 44.12 | 0.40 | 380.42 | |
| Canopy combined | 10.22513 | 2.22657 | 9.57 × 10−6 | 0.11251 | 0.01255 | 1.60 × 10−15 | - | - | - | 144 | 10.70 | 37.51 | 0.36 | 1095.25 | |
| Canopy Maués | 11.26083 | 3.4854 | 0.00188 | 0.10749 | 0.01756 | 4.80 × 10−8 | - | - | - | 96 | 9.39 | 32.43 | 0.39 | 706.36 | |
| 2 | Whole tree 10 | 9.3245 | 98.6298 | 0.925 | 1.8144 | 14.4646 | 0.901 | 0.3428 | 0.5214 | 0.515 | 36 | 20.87 | 20.37 | 0.64 | 325.80 |
| Whole tree 12 | −31.4192 | 38.2788 | 0.418 | 5.913 | 5.9808 | 0.33 | 0.2667 | 0.2278 | 0.25 | 36 | 11.72 | 13.04 | 0.90 | 284.25 | |
| Whole tree 17/N.A | −6.5822 | 57.9131 | 0.91 | 3.6322 | 9.726 | 0.711 | 0.4398 | 0.3949 | 0.273 | 36 | 25.42 | 26.56 | 0.73 | 339.98 | |
| Whole tree combined | 5.9292 | 37.03262 | 0.873 | 2.1841 | 5.8933 | 0.712 | 0.3686 | 0.2281 | 0.109 | 108 | 22.69 | 23.63 | 0.68 | 985.78 | |
| Whole tree Maués | −28.3408 | 43.7556 | 0.519 | 6.303 | 6.6611 | 0.347 | 0.219 | 0.2481 | 0.381 | 72 | 16.75 | 17.41 | 0.78 | 615.10 | |
| Canopy 10 | 26.793 | 36.7369 | 0.47 | −2.2803 | 5.3574 | 0.672 | 0.2071 | 0.1918 | 0.286 | 48 | 8.84 | 24.82 | 0.48 | 350.32 | |
| Canopy 12 | −13.66282 | 17.44392 | 0.438 | 3.88712 | 2.74449 | 0.164 | −0.08048 | 0.10575 | 0.451 | 48 | 5.96 | 26.77 | 0.39 | 312.53 | |
| Canopy 17 | 17.2627 | 23.0106 | 0.457 | −1.5683 | 3.997 | 0.697 | 0.218 | 0.1674 | 0.2 | 48 | 12.33 | 44.53 | 0.42 | 382.26 | |
| Canopy combined | 14.94215 | 14.22244 | 0.295 | −0.77233 | 2.29977 | 0.738 | 0.14259 | 0.09046 | 0.117 | 144 | 10.73 | 37.63 | 0.36 | 1097.14 | |
| Canopy Maués | 1.06925 | 21.69248 | 0.961 | 1.14072 | 3.29432 | 0.73 | 0.07073 | 0.12268 | 0.566 | 96 | 9.43 | 32.59 | 0.40 | 708.24 | |
| 3 | Whole tree 10 | 0.6401154 | 0.355 | 8.05 × 10−2 | 1.199 | 0.2039 | 1.37 × 10−6 | 0.9044 | 0.2157 | 1.94 × 10−4 | 36 | 16.82 | 17.51 | 0.77 | 310.24 |
| Whole tree 12 | 0.24537 | 0.09252 | 1.22 × 10−2 | 1.64861 | 0.10386 | 2.00 × 10−16 | 0.073956 | 0.17752 | 2.10 × 10−4 | 36 | 9.56 | 9.96 | 0.94 | 269.61 | |
| Whole tree 17/N.A | 0.303 | 0.1824 | 1.06 × 10−1 | 1.6517 | 0.1593 | 6.52 × 10−12 | 0.7036 | 0.1994 | 1.25 × 10−3 | 36 | 21.69 | 22.59 | 0.81 | 328.58 | |
| Whole tree combined | 0.31046 | 0.09485 | 1.44 × 10−3 | 1.54806 | 0.08716 | 2.00 × 10−16 | 0.78635 | 0.08891 | 2.38 × 10−14 | 108 | 17.48 | 18.21 | 0.81 | 929.46 | |
| Whole tree Maués | 0.4491 | 0.154 | 4.79 × 10−3 | 1.5767 | 0.1087 | 2.00 × 10−16 | 0.5773 | 0.1267 | 2.19 × 10−5 | 72 | 14.66 | 15.24 | 0.84 | 595.88 | |
| Canopy 10 | 0.7348 | 0.4692 | 1.24 × 10−1 | 1.2649 | 0.2458 | 5.66 × 10−6 | 0.2643 | 0.2608 | 3.16 × 10−1 | 48 | 8.81 | 30.89 | 0.51 | 350.00 | |
| Canopy 12 | 0.8792 | 0.6126 | 0.15815 | 0.9095 | 0.2184 | 1.40 × 10−4 | 0.4157 | 0.3125 | 1.90 × 10−1 | 48 | 5.89 | 20.65 | 0.43 | 311.33 | |
| Canopy 17 | 3.2235 | 3.1814 | 0.3164 | 1.4905 | 0.2415 | 1.74 × 10−7 | −0.5971 | 0.3505 | 9.53 × 10−2 | 48 | 12.06 | 42.27 | 0.46 | 380.11 | |
| Canopy combined | 0.94096 | 0.49099 | 5.73 × 10−2 | 1.28087 | 0.15078 | 2.52 × 10−14 | 0.07649 | 0.16372 | 6.41 × 10−1 | 144 | 10.78 | 37.81 | 0.37 | 1098.48 | |
| Canopy Maués | 1.0139 | 0.5787 | 0.0831 | 1.4715 | 0.2029 | 1.20 × 10−10 | −2121 | 0.2256 | 3.50 × 10−1 | 96 | 9.39 | 32.46 | 0.41 | 707.46 | |
| 4 | Whole tree 10 | 1.6381 | 0.9515 | 0.0942 | 1.5673 | 0.2149 | 1.90 × 10−8 | - | - | - | 36 | 20.57 | 20.08 | 0.65 | 323.84 |
| Whole tree 12 | 0.7884 | 0.2376 | 0.00217 | 18452 | 0.1126 | 2.00 × 10−16 | - | - | - | 36 | 11.63 | 12.94 | 0.90 | 282.79 | |
| Whole tree 17/N.A | 1.4605 | 0.6748 | 0.0376 | 1.7031 | 0.1772 | 3.19 × 10−11 | - | - | - | 36 | 24.98 | 26.1 | 0.74 | 337.80 | |
| Whole tree together | 1.6607 | 0.5011 | 0.00126 | 1.5872 | 0.1133 | 2.00 × 10−16 | - | - | - | 108 | 22.59 | 23.52 | 0.68 | 983.84 | |
| Whole tree Maués | 1.108 | 0.3498 | 0.00228 | 1.7144 | 0.1173 | 2.00 × 10−16 | - | - | - | 72 | 16.66 | 17.32 | 0.78 | 613.33 | |
| Canopy 10 | 0.9563 | 0.555 | 0.0916 | 1.3783 | 0.216 | 7.78 × 10−8 | - | - | - | 48 | 8.81 | 24.74 | 0.50 | 349.06 | |
| Canopy 12 | 1.699 | 0.899 | 0.0651 | 1.012 | 0.203 | 2.24 × 10−6 | - | - | - | 48 | 5.94 | 26.66 | 0.40 | 311.18 | |
| Canopy 17 | 0.8113 | 0.518 | 0.124 | 1.4674 | 0.2507 | 4.81 × 10−7 | - | - | - | 48 | 12.30 | 44.42 | 0.43 | 381.07 | |
| Canopy combined | 1.107 | 0.4369 | 0.0124 | 1.2843 | 0.1504 | 1.87 × 10−14 | - | - | - | 144 | 10.75 | 37.7 | 0.36 | 1096.69 | |
| Canopy Maués | 0.7643 | 1.4037 | 0.047 | 1.4037 | 0.1866 | 3.18 × 10−11 | - | - | - | 96 | 9.39 | 32.43 | 0.41 | 706.33 | |
| 5 | Whole tree 10 | 0.68739 | 0.37622 | 0.0765 | 0.67701 | 0.07232 | 6.15 × 10−11 | - | - | - | 36 | 16.90 | 16.46 | 0.76 | 309.54 |
| Whole tree 12 | 0.2232 | 0.06749 | 0.00223 | 0.8112 | 0.03952 | 2.00 × 10−16 | - | - | - | 36 | 9.45 | 10.51 | 0.94 | 267.80 | |
| Whole tree 17/N.A | 0.26002 | 0.13919 | 0.0704 | 0.80651 | 0.06978 | 2.53 × 10−13 | - | - | - | 36 | 21.47 | 22.43 | 0.81 | 326.89 | |
| Whole tree combined | 0.319 | 0.09231 | 0.000949 | 0.77631 | 0.03854 | 2.00 × 10−16 | - | - | - | 108 | 17.40 | 18.12 | 0.81 | 927.48 | |
| Whole tree Maués | 0.38526 | 0.12886 | 0.00385 | 0.74665 | 0.04396 | 2.00 × 10−16 | - | - | - | 72 | 14.75 | 15.34 | 0.83 | 595.88 | |
| Canopy 10 | 0.67274 | 0.43345 | 0.128 | 0.5387 | 0.08557 | 1.06 × 10−7 | - | - | - | 48 | 8.82 | 24.78 | 0.50 | 349.21 | |
| Canopy 12 | 0.84672 | 0.52297 | 0.44809 | 0.08289 | 2.23 × 10−6 | 6.66 × 10−7 | - | - | - | 48 | 5.83 | 26.16 | 0.43 | 309.35 | |
| Canopy 17 | 0.4464 | 0.4225 | 0.296 | 0.5726 | 0.1266 | 4.30 × 10−5 | - | - | - | 48 | 13.42 | 48.49 | 0.32 | 389.49 | |
| Canopy combined | 0.53792 | 0.27526 | 0.0526 | 0.54422 | 0.06828 | 4.70 × 10−13 | - | - | - | 144 | 11.10 | 38.93 | 0.32 | 1105.94 | |
| Canopy Maués | 0.59702 | 0.3575 | 0.0982 | 0.52884 | 0.07978 | 2.12 × 10−9 | - | - | - | 96 | 9.88 | 34.13 | 0.34 | 716.17 |
| Coefficients | ||||
|---|---|---|---|---|
| - | Stimate | Std. Error | t Value | Pr (>|t|) |
| (Intercept) | −9.28771 | 0.32522 | −28.558 | <2 × 10−16 *** |
| log(dados$dap) | 1.53447 | 0.1577 | 9.73 | 4.24 × 10−16 *** |
| log(dados$ht) | 1.16045 | 0.15092 | 7.689 | 1.11 × 10−11 *** |
| dados$idade12 | −0.45012 | 0.51502 | −0.874 | 0.384 |
| dados$idade17 | 0.02887 | 0.45181 | −0.064 | 0.949 |
| log(dados$dap):dados$idade12 | 0.16933 | 0.19707 | 0.859 | 0.392 |
| log(dados$dap):dados$idade17 | 0.10568 | 0.18198 | 0.581 | 0.563 |
| log(dados$ht):dados$idade12 | 0.04638 | 0.25584 | 0.181 | 0.857 |
| log(dados$ht):dados$idade17 | −0.09858 | 0.19645 | −0.502 | 0.617 |
| Coefficients | ||||
|---|---|---|---|---|
| - | Estimate | Std. Error | t Value | Pr (>|t|) |
| (Intercept) | −9.73783 | 0.39935 | −24.384 | <2 × 10−16 *** |
| log(dados$dap) | 1.7038 | 0.11819 | 14.416 | <2 × 10−16 *** |
| log(dados$ht) | 1.20683 | 0.20658 | 5.842 | 6.6 × 10−8 *** |
| dados$idade_1210 | 0.45012 | 0.51502 | 0.874 | 0.384 |
| dados$idade_1217 | 0.42125 | 0.50779 | 0.83 | 0.409 |
| log(dados$dap):dados$idade_1210 | −0.16933 | 0.19707 | −0.859 | 0.392 |
| log(dados$dap):dados$idade_1217 | −0.06364 | 0.14905 | −0.427 | 0.67 |
| log(dados$ht):dados$idade_1210 | −0.04638 | 0.25584 | −0.181 | 0.857 |
| log(dados$ht):dados$idade_1217 | −0.14496 | 0.24185 | −0.599 | 0.55 |
| Coefficients | ||||
|---|---|---|---|---|
| - | Estimate | Std. Error | t Value | Pr (>|t|) |
| (Intercept) | −0.3510 | 0.5294 | −0.663 | 0.5089 |
| log(dados$dap) | 1.0713 | 0.2567 | 4.173 | 6.47 × 10−5 *** |
| log(dados$ht) | 0.7505 | 0.2457 | 3.054 | 0.0029 ** |
| dados$idade12 | −1.6936 | 0.8384 | −2.020 | 0.0461 * |
| dados$idade17 | −0.4321 | 0.7355 | −0.588 | 0.5582 |
| log(dados$dap):dados$idade12 | 0.7247 | 0.3208 | 2.259 | 0.0261 * |
| log(dados$dap):dados$idade17 | 0.3661 | 0.2963 | 1.236 | 0.2195 |
| log(dados$ht):dados$idade12 | −0.1273 | 0.4165 | −0.306 | 0.7606 |
| log(dados$ht):dados$idade17 | −0.2006 | 0.3198 | −0.627 | 0.532 |
| Coefficients | ||||
|---|---|---|---|---|
| - | Estimate | Std. Error | t Value | Pr (>|t|) |
| (Intercept) | −2.04455 | 0.65013 | −3.145 | 0.00219 ** |
| log(dados$dap) | 1.79596 | 0.19241 | 9.334 | 3.1 × 10−15 *** |
| log(dados$ht) | 0.62321 | 0.33631 | 1.853 | 0.06685 . |
| dados$idade_1210 | 1.69358 | 0.83844 | 2.02 | 0.04609 * |
| dados$idade_1217 | 1.26144 | 0.82666 | 1.526 | 0.13021 |
| log(dados$dap):dados$idade_1210 | −0.72470 | 0.32083 | −2.259 | 0.02609 * |
| log(dados$dap):dados$idade_1217 | −0.35862 | 0.24266 | −1.478 | 0.14261 |
| log(dados$ht):dados$idade_1210 | 0.12726 | 0.4165 | 0.306 | 0.7606 |
| log(dados$ht):dados$idade_1217 | −0.07334 | 0.39373 | −0.186 | 0.85262 |
| Analysis of Variance Table | |||||
|---|---|---|---|---|---|
| Response: res | Df | Sum Sq | Mean Sq | F Value | Pr (>F) |
| trat | 1 | 384.59 | 384.59 | 12.369 | 0.0007708 *** |
| Residuals | 70 | 2176.49 | 31.09 | ||
| Coefficients | ||||
|---|---|---|---|---|
| - | Estimate | Std. Error | t Value | Pr (>|t|) |
| (Intercept) | −0.91285 | 0.86428 | −1.056 | 0.2928 |
| log(dados$dap) | 1.14182 | 0.25152 | 4.54 | 1.23 × 10−5 *** |
| log(dados$ht) | 0.22081 | 0.39124 | 0.564 | 0.5734 |
| dados$idade_1210 | 0.20288 | 1.13949 | 0.178 | 0.859 |
| dados$idade_1217 | 2.08225 | 1.13886 | 1.828 | 0.0697 . |
| log(dados$dap):dados$idade_1210 | 0.04724 | 0.41071 | 0.115 | 0.9086 |
| log(dados$dap):dados$idade_1217 | 0.12834 | 0.31721 | 0.405 | 0.6864 |
| log(dados$ht):dados$idade_1210 | 0.03345 | 0.50601 | 0.066 | 0.9474 |
| log(dados$ht):dados$idade_1217 | −0.80873 | 0.48437 | −1.670 | 0.0973 . |
| Coefficients | ||||
|---|---|---|---|---|
| - | Estimate | Std. Error | t value | Pr (>|t|) |
| (Intercept) | −0.70997 | 0.7426 | −0.956 | 0.340752 |
| log(dados$dap) | 1.18906 | 0.32469 | 3.662 | 0.000358 *** |
| log(dados$ht) | 0.25426 | 0.32089 | 0.792 | 0.429538 |
| dados$idade12 | −0.20288 | 1.13949 | −0.178 | 0.858957 |
| dados$idade17 | 1.87937 | 1.04952 | 1.791 | 0.075582 . |
| log(dados$dap):dados$idade12 | −0.04724 | 0.41071 | −0.115 | 0.908592 |
| log(dados$dap):dados$idade17 | 0.0811 | 0.37787 | 0.215 | 0.830392 |
| log(dados$ht):dados$idade12 | −0.03345 | 0.50601 | 0.066 | 0.94739 |
| log(dados$ht):dados$idade17 | 0.84218 | 0.42956 | −1.961 | 0.051986 . |
| Analysis of Variance Table | |||||
|---|---|---|---|---|---|
| Response: res | Df | Sum Sq | Mean Sq | F Value | Pr (>F) |
| trat | 1 | 194.4 | 194.395 | 3.0435 | 0.08433 . |
| Residuals | 94 | 6004 | 63.872 | ||
| Coefficients | ||||
|---|---|---|---|---|
| - | Estimate | Std. Error | t value | Pr (>|t|) |
| (Intercept) | 0.2278 | 0.529 | 0.431 | 0.66771 |
| log(dados$dap) | 1.0739 | 0.2565 | 4.186 | 6.15 × 10−5 *** |
| log(dados$ht) | 0.7376 | 0.2455 | 3.004 | 0.00337 ** |
| dados$idade12 | −1.6982 | 0.8378 | −2.027 | 0.04536 * |
| dados$idade17 | −0.5858 | 0.735 | −0.797 | 0.42737 |
| log(dados$dap):dados$idade12 | 0.7123 | 0.3206 | 2.222 | 0.02857 * |
| log(dados$dap):dados$idade17 | 0.3654 | 0.296 | 1.234 | 0.22007 |
| log(dados$ht):dados$idade12 | −0.1285 | 0.4162 | −0.309 | 0.75824 |
| log(dados$ht):dados$idade17 | −0.1750 | 0.3196 | −0.548 | 0.58522 |
| Coefficients | ||||
|---|---|---|---|---|
| - | Estimate | Std. Error | t Value | Pr (>|t|) |
| (Intercept) | −1.47042 | 0.64965 | −2.263 | 0.0258 * |
| log(dados$dap) | 1.7862 | 0.19227 | 9.29 | 3.87 × 10−15 *** |
| log(dados$ht) | 0.60913 | 0.33606 | 1.813 | 0.0729 . |
| dados$idade_1210 | 1.69821 | 0.83781 | 2.027 | 0.0454 * |
| dados$idade_1217 | 1.11244 | 0.82604 | 1.347 | 0.1811 |
| log(dados$dap):dados$idade_1210 | −0.71229 | 0.32059 | −2.222 | 0.0286 * |
| log(dados$dap):dados$idade_1217 | −0.34693 | 0.24247 | −1.431 | 0.1556 |
| log(dados$ht):dados$idade_1210 | 0.12845 | 0.41619 | 0.309 | 0.7582 |
| log(dados$ht):dados$idade_1217 | −0.04653 | 0.39343 | −0.118 | 0.9061 |
| Analysis of Variance Table | |||||
|---|---|---|---|---|---|
| Response: res | Df | Sum Sq | Mean Sq | F Value | Pr (>F) |
| trat | 1 | 1003.6 | 1003.56 | 11.48 | 0.001158 ** |
| Residuals | 70 | 6119.3 | 87.42 | ||
| Analysis of Variance Table | |||||
|---|---|---|---|---|---|
| Response: res | Df | Sum Sq | Mean Sq | F Value | Pr (>F) |
| trat | 1 | 345 | 345.03 | 1.2659 | 0.2644 |
| Residuals | 70 | 19,078 | 272.55 | ||
| Coefficients | ||||
|---|---|---|---|---|
| - | Estimate | Std. Error | t Value | Pr (>|t|) |
| (Intercept) | −0.11991 | 0.7426 | −0.161 | 0.871958 |
| log(dados$dap) | 1.18906 | 0.32469 | 3.662 | 0.000358 *** |
| log(dados$ht) | 0.25426 | 0.32089 | 0.792 | 0.429538 |
| dados$idade12 | −0.20762 | 1.13949 | −0.182 | 0.855695 |
| dados$idade17 | 1.72583 | 1.04952 | 1.644 | 0.10242 |
| log(dados$dap):dados$idade12 | −0.04724 | 0.41071 | −0.115 | 0.908592 |
| log(dados$dap):dados$idade17 | 0.0811 | 0.37787 | 0.215 | 0.830392 |
| log(dados$ht):dados$idade12 | −0.03345 | 0.50601 | −0.066 | 0.94739 |
| log(dados$ht):dados$idade17 | −0.84218 | 0.42956 | −1.961 | 0.051986 . |
| Coefficients | ||||
|---|---|---|---|---|
| - | Estimate | Std. Error | t Value | Pr (>|t|) |
| (Intercept) | −0.32754 | 0.86428 | −0.379 | 0.7053 |
| log(dados$dap) | 1.14182 | 0.25152 | 4.54 | 1.23 × 10−5 *** |
| log(dados$ht) | 0.22081 | 0.39124 | 0.564 | 0.5734 |
| dados$idade_1210 | 0.20762 | 1.13949 | 0.182 | 0.8557 |
| dados$idade_1217 | 1.93345 | 1.13886 | 1.698 | 0.0919 . |
| log(dados$dap):dados$idade_1210 | 0.04724 | 0.41071 | 0.115 | 0.9086 |
| log(dados$dap):dados$idade_1217 | 0.12834 | 0.31721 | 0.405 | 0.6864 |
| log(dados$ht):dados$idade_1210 | 0.03345 | 0.50601 | 0.066 | 0.9474 |
| log(dados$ht):dados$idade_1217 | −0.80873 | 0.48437 | −1.670 | 0.0973 . |
| Analysis of Variance Table | |||||
|---|---|---|---|---|---|
| Response: res | Df | Sum Sq | Mean Sq | F Value | Pr (>F) |
| trat | 1 | 253.7 | 253.69 | 1.7259 | 0.1921 |
| Residuals | 94 | 13,816.9 | 146.99 | ||
Appendix B





References
- Marques, C.A. A Importância Econômica Da Família Lauraceae Lindl. Floresta e Ambiente 2001, 8, 195–206. [Google Scholar]
- Zanin, S.M.W.; Lordello, A.L.L. Alcalóides aporfinóides do gênero Ocotea (Lauraceae). Química Nova 2007, 30, 92–98. [Google Scholar] [CrossRef]
- IBAMA. Instituto Brasileiro do Meio Ambiente e dos Recursos Naturais Renováveis; Portaria 06-N; IBAMA: Recife, Brazil, 1992.
- CITES. Convention on International Trade in Endangered Species of Wild Fauna and Flora. 2017. Available online: https://cites.org/eng/app/appendices.php#ftnt17 (accessed on 30 August 2017).
- IUCN. The IUCN Red List of Threatened Species, Version 2014.3. 2014. Available online: http://www.iucnredlist.org (accessed on 11 March 2015).
- MMA. Ministério do Meio Ambiente; Portaria MMA N° 443: Brasília, Brazil, 2014. [Google Scholar]
- SDS—Secretaria de Estado do Meio Ambiente e Desenvolvimento Sustentável. Notícias: Semana do Meio. 2006. Available online: http://www.sds.am.gov.br/noticia. php?xcod=2255 (accessed on 1 February 2015).
- IBAMA. Instituto Brasileiro do Meio Ambiente e dos Recursos Naturais Renováveis; Instrução Normativa IBAMA N° 09: Brasília, Brazil, 2011.
- Higuchi, N.; dos Santos, J.; Ribeiro, R.J.; Minette, L.; Biot, Y. Biomassa da parte aérea davegetação da floresta tropical úmida de terra-firme da amazonia. Acta Amazon. 1998, 28, 153–166. [Google Scholar] [CrossRef]
- Yuen, J.Q.; Fung, T.; Ziegler, A.D. Review of allometric equations for major land covers in SE Asia: Uncertainty and implications for above-and below-ground carbon estimates. For. Ecol. Manag. 2016, 360, 323–340. [Google Scholar] [CrossRef]
- Chave, J.; Réjou-Méchain, M.; Búrquez, A.; Chidumayo, E.; Colgan, M.S.; Delitti, W.B.C.; Duque, A.; Eid, T.; Fearnside, P.M.; Goodman, R.C.; et al. Improved allometric models to estimate the aboveground biomass of tropical trees. Glob. Chang. Biol. 2014, 20, 3177–3190. [Google Scholar] [CrossRef] [PubMed]
- Takeda, P.S. Avaliação de Biomassa e óleo da rebrota de Galhos e Folhas de Rosewood (Aniba rosaeodora Ducke) em Plantios Comerciais Submetidos a poda e Adubação. Master’s Thesis, Instituto Nacional de Pesquisas da Amazônia/Universidade Federal Rural da Amazônia, Manaus, Brazil, 2008. (In Portuguese). [Google Scholar]
- Fidelis, C.H.V.; Augusto, F.; Sampaio, P.T.; Krainovic, P.M.; Barata, L.E. Chemical characterization of rosewood (Aniba rosaeodora Ducke) leaf essential oil by comprehensive two-dimensional gas chromatography coupled with quadrupole mass spectrometry. J. Essent. Oil Res. 2012, 24, 245–251. [Google Scholar] [CrossRef]
- Kira, T.; Tsunahide, S. Primary production and turnover of organic matter in different forest ecosystems of the western Pacific. Jpn. J. Ecol. 1967, 17, 70–87. [Google Scholar] [CrossRef]
- Basuki, T.M.; Van Laake, P.E.; Skidmore, A.K.; Hussin, Y.A. Allometric equations for estimating the above-ground biomass in tropical lowland Dipterocarp forests. For. Ecol. Manag. 2009, 257, 1684–1694. [Google Scholar] [CrossRef]
- Brown, S. Estimating Biomass and Biomass Change of Tropical Forests: A Primer; Food and Agriculture Organization of the United Nations: Rome, Italy, 1997; Volume 134, ISBN 92-5-103955-0. [Google Scholar]
- Santos, J. Analize de modelos de regressao para estimar a fitomass de floresta tropical umida de terra-firme de Amazonia Brasiliera. Ph.D. Thesis, Universidade Federal de Vicosa, Minas Gerais, Brazil, 1996. (In Portuguese). [Google Scholar]
- Araújo, T.M.; Higuchi, N.; Carvalho, J.A. Comparison of formulae for biomass content determination in a tropical rain forest site in the state of Pará, Brazil. For. Ecol. Manag. 1999, 117, 43–52. [Google Scholar] [CrossRef]
- Silva, R.P. Alometria, estoque e dinâmica da biomassa de florestas primárias e secundárias na região de Manaus (AM). Ph.D. Thesis, Universidade Federal do Amazonas, Manaus, Brazil, 2007; p. 152, (In Portuguese with English abstract). [Google Scholar]
- Brown, S.; Gillespie, A.J.R.; Lugo, A.E. Biomass estimation methods for tropical forests with applications to forest inventory data. For. Sci. 1989, 35, 881–902. [Google Scholar]
- Brown, S.; Lugo, A.E. Biomass of tropical forests: A new estimate based on forest volumes. Science 1984, 223, 1290–1294. [Google Scholar] [CrossRef] [PubMed]
- Fittkau, E.J.; Irmler, U.; Junk, W.J.; Reiss, F.; Schmidt, G.W. Productivity, biomass, and population dynamics in Amazonian water bodies. Trop. Ecol. Syst. 1975, 289–311. [Google Scholar] [CrossRef]
- Krainovic, P.M. Plantios de Rosewood (Aniba rosaeodora Ducke) em áreas com histórico de degradação por atividades agrícolas e pecuárias. Master’s Thesis, Instituto Nacional de pesquisas da Amazônia, Manaus, Brazil, 2011. (In Portuguese). [Google Scholar]
- Kottek, M.; Grieser, J.; Beck, C.; Rudolf, B.; Rubel, F. World map of the Köppen–Geiger climate classification updated. Meteorol. Z. 2006, 15, 259–263. [Google Scholar] [CrossRef]
- CLIMATE-DATA.ORG. Climate data for world cities. 2016. Available online: http://en.climate-data.org/ (accessed on 30 August 2017).
- Tanaka, A.; Vieira, G. Autoecologia das espécies florestais em regime de plantio de enriquecimento em linha na floresta primária da Amazônia Central. Acta Amazon. 2006, 36, 193–204. [Google Scholar] [CrossRef]
- Lindell, L.; Åström, M.; Öberg, T. Land-use change versus natural controls on stream water chemistry in the Subandean Amazon, Peru. Appl. Geochem. 2010, 25, 485–495. [Google Scholar] [CrossRef]
- Lima, A.J.N. Avaliacão de um Sistema de Inventário Florestal Contínuo em Áreas Manejadas e não Manejadas do Estado do Amazonas (AM). Ph.D. Thesis, Universidade Federal do Amazonas, Manaus, Brazil, 2010; p. 183, (In Portuguese with English abstract). [Google Scholar]
- R Core Team. A Language and Environment for Statistical Computing; R Foundation for Statistical Computing: Vienna, Austria, 2016. [Google Scholar]
- Gimenez, B.O.; Danielli, F.E.; De Oliveira, C.K.A.; Dos Santos, J.; Higuchi, N. Volume equations for merchantable timber species of Southern Roraima state|Equações volumétricas para espécies comerciais madeireiras do sul do estado de Roraima. Sci. For. Sci. 2015, 43, 291–301. [Google Scholar]
- Husch, B.; Beers, T.W.; Kershaw, J.A., Jr. Forest Mensuration; John Wiley & Sons: Hoboken, NJ, USA, 2002. [Google Scholar]
- Thant, Y.M.; Kanzaki, M.; Ohta, S.; Than, M.M. Carbon sequestration by mangrove plantations and a natural regeneration stand in the Ayeyarwady Delta, Myanmar. Tropics 2012, 21, 1–10. [Google Scholar] [CrossRef]
- Nogueira, E.M.; Fearnside, P.M.; Nelson, B.W.; Barbosa, R.I.; Keizer, E.W.H. Estimates of forest biomass in the Brazilian Amazon: New allometric equations and adjustments to biomass from wood-volume inventories. For. Ecol. Manag. 2008, 256, 1853–1867. [Google Scholar] [CrossRef]
- Figueiredo-Filho, A.; Kohler, S.V.; Felde, J.L.; Dias, A.N. Dynamic of stem taper and wood production in Araucaria angustifolia plantations. Cerne 2014, 20, 595–603. [Google Scholar] [CrossRef]
- Van de Peer, T.; Verheyen, K.; Kint, V.; Van Cleemput, E.; Muys, B. Plasticity of tree architecture through interspecific and intraspecific competition in a young experimental plantation. For. Ecol. Manag. 2017, 385, 1–9. [Google Scholar] [CrossRef]
- Siliprandi, N.C.; Nogueira, E.M.; Toledo, J.J.; Fearnside, P.M.; Nascimento, H.E.M. Inter-site variation in allometry and wood density of Goupia glabra Aubl. in Amazonia. Braz. J. Biol. 2016. [Google Scholar] [CrossRef] [PubMed]
- Pretzsch, H. Canopy space filling and tree crown morphology in mixed-species stands compared with monocultures. For. Ecol. Manag. 2014, 327, 251–264. [Google Scholar] [CrossRef]
- Peltzer, D.A.; Köchy, M. Competitive effects of grasses and woody plants in mixed-grass prairie. J. Ecol. 2001, 89, 519–527. [Google Scholar] [CrossRef]
- Sanderson, M.A.; Elwinger, G.F. Plant density and environment effects on Orchardgrass–White clover mixtures. Crop Sci. 2002, 42, 2055–2063. [Google Scholar] [CrossRef]
- Longuetaud, F.; Piboule, A.; Wernsdörfer, H.; Collet, C. Crown plasticity reduces inter-tree competition in a mixed broadleaved forest. Eur. J. For. Res. 2013, 132, 621–634. [Google Scholar] [CrossRef]
- Kubitzki, K.; Renner, S. Lauraceae I (Aniba and Aiouea); The New York Botanical Garden: New York, NY, USA, 1982; p. 124. [Google Scholar]
- Lorenzi, H. Árvores brasileiras; Nova Odessa: São Paulo, Brazil, 2008. [Google Scholar]
- Madriz, R. Campanulaceae. In Nuevo Catálogo de la Flora Vascular de Venezuela; Hokche, O., Berry, P.E., Huber, O., Eds.; Fundación Instituto Botánico de Venezuela: Caracas, Venezuela, 2008; pp. 309–311. (In Spanish) [Google Scholar]
- Sampaio, P.T.B.; Barbosa, A.P.; Vieira, G.; Spironello, W.R.; Bruno, F.M.S. Biomassa da rebrota de copas de Rosewood (Aniba rosaeodora Ducke) em plantios sob sombra parcial em floresta primária. Acta Amazon. 2005, 35, 491–494. [Google Scholar] [CrossRef]
- Sampaio, P.T.B.; dos Santos, M.C.; Vieira, G.; Spironello, W.; Useche, F.L.; Bruno, F.M.S. Avaliação da rebrota da copa das ávores de pau-rosa (Aniba rosaeodora Ducke) em sistema de podas sucessivas. Acta Amazon. 2007, 37, 55–60. [Google Scholar] [CrossRef]
- Alvarez, E.; Duque, A.; Saldarriaga, J.; Cabrera, K.; de Las Salas, G.; del Valle, I.; Rodríguez, L. Tree above-ground biomass allometries for carbon stocks estimation in the natural forests of Colombia. For. Ecol. Manag. 2012, 267, 297–308. [Google Scholar] [CrossRef]
- DeMalach, N.; Zaady, E.; Weiner, J.; Kadmon, R. Size asymmetry of resource competition and the structure of plant communities. J. Ecol. 2016. [Google Scholar] [CrossRef]
- Tilman, D. Resource Competition and Community Structure; Princeton University Press: Princeton, NJ, USA, 1982. [Google Scholar]
- Grime, J.P. Plant Strategies And Vegetation Processes; John Wiley & Sons: Hoboken, NJ, USA, 1979. [Google Scholar]
- Hunter, M.O.; Keller, M.; Victoria, D.; Morton, D.C. Tree height and tropical forest biomass estimation. Biogeosciences 2013, 10, 8385–8399. [Google Scholar] [CrossRef]
- Feldpausch, T.H.; Lloyd, J.; Lewis, S.L.; Brienen, R.J.W.; Gloor, M.; Monteagudo Mendoza, A.; Lopez-Gonzalez, G.; Banin, L.; Abu Salim, K.; Affum-Baffoe, K.; et al. Tree height integrated into pantropical forest biomass estimates. Biogeosciences 2012, 9, 3381–3403. [Google Scholar] [CrossRef]
- Chave, J.; Andalo, C.; Brown, S.; Cairns, M.A.; Chambers, J.Q.; Eamus, D.; Fölster, H.; Fromard, F.; Higuchi, N.; Kira, T.; et al. Tree allometry and improved estimation of carbon stocks and balance in tropical forests. Oecologia 2005, 145, 87–99. [Google Scholar] [CrossRef] [PubMed]
- Hoover, C.M.; Smith, J.E. Evaluating revised biomass equations: are some forest types more equivalent than others? Carbon Balanc. Manag. 2016, 11. [Google Scholar] [CrossRef] [PubMed]
- Brasil Projeto Radam Brasil. Levantamento de Recursos Naturais; Ministério das Minas e Energia, Departamento Nacional de Produção Mineral: Rio de Janeiro, Brasil, 1973–1983; pp. 1–23. [Google Scholar]
- Paul, K.I.; Roxburgh, S.H.; England, J.R.; Ritson, P.; Hobbs, T.; Brooksbank, K.; John Raison, R.; Larmour, J.S.; Murphy, S.; Norris, J.; et al. Development and testing of allometric equations for estimating above-ground biomass of mixed-species environmental plantings. For. Ecol. Manag. 2013, 310, 483–494. [Google Scholar] [CrossRef]
- Ngomanda, A.; Engone Obiang, N.L.; Lebamba, J.; Moundounga Mavouroulou, Q.; Gomat, H.; Mankou, G.S.; Loumeto, J.; Midoko Iponga, D.; Kossi Ditsouga, F.; Zinga Koumba, R.; et al. Site-specific versus pantropical allometric equations: Which option to estimate the biomass of a moist central African forest? For. Ecol. Manag. 2014, 312, 1–9. [Google Scholar] [CrossRef]
- IPCC. Working Group III Contribution to the Intergovernmental Panel on Climate Change Fourth Assessment Report. In Climate Change 2007: Mitigation of Climate Change. Summary for Policymakers; IPCC: Geneva, Switzerland, 2007. [Google Scholar]
- Fearnside, P.M. Brazil’s Amazon forest in mitigating global warming: Unresolved controversies. Clim. Policy 2012, 12, 70–81. [Google Scholar] [CrossRef]
- Fearnside, P.M.; Righi, C.A.; de Alencastro Graça, P.M.L.; Keizer, E.W.; Cerri, C.C.; Nogueira, E.M.; Barbosa, R.I. Biomass and greenhouse-gas emissions from land-use change in Brazil’s Amazonian “arc of deforestation”: The states of Mato Grosso and Rondônia. For. Ecol. Manag. 2009, 258, 1968–1978. [Google Scholar] [CrossRef]







| Models | a | b | c | RSE% | R2 | AIC |
|---|---|---|---|---|---|---|
| Model 1 | 0.00927 (±0.004582) | 0.00034 (±0.00002492) | - | 27.74 | 0.64 | −549.10 |
| Model 2 | −0.02555 (±0.030467) | 0.0056 (±0.004848) | 0.00013 ± 0.0001876 | 27.70 | 0.65 | −548.47 |
| Model 3 | 0.000071579 (±0.00001661) | 1.624 (±0.06555) | 1.189 ± 0.06527 | 13.84 | 0.91 | −698.38 |
| Model 4 | 0.0008837342 (±0.0003154) | 1.694692783 (±0.133663) | - | 27.61 | 0.65 | −550.15 |
| Model 5 | 0.00009644673(±0.00002446) | 0.8872781 (±0.03308) | - | 15.43 | 0.89 | −675.86 |
| Models | a | b | c | RSE% | R2 | AIC |
|---|---|---|---|---|---|---|
| AGDM | ||||||
| Model 1 | 13.08642 (±3.66748) | 0.26283 (±0.01994) | - | 26.00 | 0.62 | 894.88 |
| Model 2 | 8.6451 (±24.5359) | 0.7148 (±3.9042) | 0.2354 (±0.1511) | 26.12 | 0.62 | 896.84 |
| Model 3 | 0.14867 (±0.0472) | 1.50003 (±0.09002) | 0.93917 (±0.1221) | 18.92 | 0.80 | 827.21 |
| Model 4 | 1.12 (±0.3724) | 1.5415 (±0.125) | - | 26.03 | 0.63 | 895.12 |
| Model 5 | 0.17609 (±0.06623) | 0.78505 (±0.04166) | - | 19.13 | 0.80 | 828.53 |
| CDM | ||||||
| Model 1 | 6.870357 (±1.413232) | 0.060308 (±0.007963) | - | 40.72 | 0.28 | 964.32 |
| Model 2 | 12.37413 (±9.01858) | -0.90114 (±1.45831) | 0.095541 (±0.05736) | 40.81 | 0.28 | 965.94 |
| Model 3 | 0.4507 (±0.2553) | 1.1659 (±0.1598) | 0.2965 (±0.1757) | 40.74 | 0.30 | 965.48 |
| Model 4 | 0.8571 (±0.3638) | 1.1744 (±0.1623) | - | 40.99 | 0.29 | 966.23 |
| Model 5 | 0.3358 (±0.18043) | 0.53527 (±0.07173) | - | 40.91 | 0.29 | 965.66 |
| Models | a | b | c | RSE% | R2 | AIC |
|---|---|---|---|---|---|---|
| AGFM | ||||||
| Model 1 | 12.71452 (±5.6557) | 0.45218 (±0.02872) | - | 17.40 | 0.78 | 983.92 |
| Model 2 | 5.9292 (±37.03262) | 2.1841 (±5.8933) | 0.3686 (±0.2281) | 23.63 | 0.68 | 985.78 |
| Model 3 | 0.31046 (±0.09485) | 1.54806 (±0.08716) | 0.78635 (±0.08891) | 18.21 | 0.81 | 929.46 |
| Model 4 | 1.6607 (±0.5011) | 1.5872 (±0.1133) | - | 23.52 | 0.69 | 983.84 |
| Model 5 | 0.319 (±0.09231) | 0.77631 (±0.03854) | - | 18.12 | 0.81 | 927.48 |
| CFM | ||||||
| Model 1 | 10.22513 (±2.22657) | 0.11251 (±0.01255) | - | 37.51 | 0.36 | 1095.25 |
| Model 2 | 14.94215 (±14.22244) | −0.77233 (±2.29977) | 0.14259 (±0.09046) | 37.63 | 0.36 | 1097.14 |
| Model 3 | 0.94096 (±0.49099) | 1.28087(±0.15078) | 0.07649 (±0.16372) | 37.81 | 0.37 | 1098.48 |
| Model 4 | 1.107 (±0.4369) | 1.2843 (±0.1504) | - | 37.70 | 0.36 | 1096.69 |
| Model 5 | 0.53792 (±0.27526) | 0.54422 (±0.06828) | - | 38.93 | 0.32 | 1105.94 |
| Models | Equations | Source |
|---|---|---|
| Volume | ||
| Model 3 | This study | |
| Generalist model | Used in Amazon | |
| AGDM | ||
| Model 3 | This study | |
| By law | NI N° 09/2011 | |
| CDM | ||
| Model 3 | This study | |
| By law | NI N° 09/2011 | |
| AGFM | ||
| Model 3 | This study | |
| By law | NI N° 09/2011 | |
| CFM | ||
| Model 3 | This study | |
| By law | NI N° 09/2011 |
© 2017 by the authors. Licensee MDPI, Basel, Switzerland. This article is an open access article distributed under the terms and conditions of the Creative Commons Attribution (CC BY) license (http://creativecommons.org/licenses/by/4.0/).
Share and Cite
Krainovic, P.; Almeida, D.; Sampaio, P. New Allometric Equations to Support Sustainable Plantation Management of Rosewood (Aniba rosaeodora Ducke) in the Central Amazon. Forests 2017, 8, 327. https://doi.org/10.3390/f8090327
Krainovic P, Almeida D, Sampaio P. New Allometric Equations to Support Sustainable Plantation Management of Rosewood (Aniba rosaeodora Ducke) in the Central Amazon. Forests. 2017; 8(9):327. https://doi.org/10.3390/f8090327
Chicago/Turabian StyleKrainovic, Pedro, Danilo Almeida, and Paulo Sampaio. 2017. "New Allometric Equations to Support Sustainable Plantation Management of Rosewood (Aniba rosaeodora Ducke) in the Central Amazon" Forests 8, no. 9: 327. https://doi.org/10.3390/f8090327
APA StyleKrainovic, P., Almeida, D., & Sampaio, P. (2017). New Allometric Equations to Support Sustainable Plantation Management of Rosewood (Aniba rosaeodora Ducke) in the Central Amazon. Forests, 8(9), 327. https://doi.org/10.3390/f8090327

