Next Article in Journal
Temporal Variability of Soil Respiration in Experimental Tree Plantations in Lowland Costa Rica
Previous Article in Journal
Livelihoods and Land Uses in Environmental Policy Approaches: The Case of PES and REDD+ in the Lam Dong Province of Vietnam
 
 
Font Type:
Arial Georgia Verdana
Font Size:
Aa Aa Aa
Line Spacing:
Column Width:
Background:
Communication

Assessing Precision in Conventional Field Measurements of Individual Tree Attributes

1
Department of Forest Sciences, University of Helsinki, P.O.Box 27 (Latokartanonkaari 7), 00014 Helsinki, Finland
2
Canadian Forest Service (Pacific Forestry Centre), Natural Resources Canada, 506 West Burnside Road, Victoria, BC V8Z 1M5, Canada
3
Department of Remote Sensing and Photogrammetry, Finnish Geospatial Research Institute FGI, National Land Survey, Geodeetinrinne 2, 04310 Masala, Finland
4
Centre of Excellence in Laser Scanning Research, Finnish Geospatial Research Institute FGI, National Land Survey, 04310 Masala, Finland
*
Author to whom correspondence should be addressed.
Forests 2017, 8(2), 38; https://doi.org/10.3390/f8020038
Submission received: 16 December 2016 / Revised: 3 February 2017 / Accepted: 4 February 2017 / Published: 8 February 2017

Abstract

:
Forest resource information has a hierarchical structure: individual tree attributes are summed at the plot level and then in turn, plot-level estimates are used to derive stand or large-area estimates of forest resources. Due to this hierarchy, it is imperative that individual tree attributes are measured with accuracy and precision. With the widespread use of different measurement tools, it is also important to understand the expected degree of precision associated with these measurements. The most prevalent tree attributes measured in the field are tree species, stem diameter-at-breast-height (dbh), and tree height. For dbh and height, the most commonly used measuring devices are calipers and clinometers, respectively. The aim of our study was to characterize the precision of individual tree dbh and height measurements in boreal forest conditions when using calipers and clinometers. The data consisted of 319 sample trees at a study area in Evo, southern Finland. The sample trees were measured independently by four trained mensurationists. The standard deviation in tree dbh and height measurements was 0.3 cm (1.5%) and 0.5 m (2.9%), respectively. Precision was also assessed by tree species and tree size classes; however, there were no statistically significant differences between the mensurationists for dbh or height measurements. Our study offers insights into the expected precision of tree dbh and height as measured with the most commonly used devices. These results are important when using sample plot data in forest inventory applications, especially now, at a time when new tree attribute measurement techniques based on remote sensing are being developed and compared to the conventional caliper and clinometer measurements.

1. Introduction

Tree species, diameter-at-breast-height (dbh), and height are the most common individual tree attributes measured or determined in the field [1,2]. Dbh is the most fundamental of tree measurements and is defined as the outside-bark-stem diameter of a tree at a point on the stem that is 1.3 m above the ground from the base of the tree [1,3]. In forestry, the word “diameter” implies that the trees would have circular cross-sections. Yet, several studies have proved that exact circularity is rare and the form of a cross-section is more like a closed convex [4,5,6,7]. The most common methods for the field measurements of dbh are the use of calipers or diameter tapes. Diameter tapes are more commonly employed for permanent sample plots because they are perceived as being more consistent for repeated measures [8]. However, calipers are often used and preferred for dbh measurements in temporary plots or when measuring a large number of trees, as they are quick and efficient to use [9]. With calipers, the dbh is measured by placing the two arms of the caliper on perpendicular sides of the tree at the height of 1.3 m. One arm is fixed at the origin of the measurement scale and the other one can be moved along the scale beam of the caliper. When the two arms are pressed together against the tree trunk, a 90° angle must be formed with the scale beam. Thereafter, the diameter can be read from the scale. Although measurement of dbh using calipers is straightforward, it includes many sources of error that can cause variation in measurements. For example, when calipers are not oriented perpendicularly to the vertical axis of the stem, or when branches and other anomalies such as gnarls, wounds or branch bumps are located exactly at height of 1.3 m. Site conditions must also be considered, such as when there are steep slopes. In this context, dbh should be measured halfway between the measure at 1.3 m height on the slope’s upper and lower sides. In addition, there may be variation in how personnel use the calipers for the measurements. Conventionally, a minimum dbh threshold for measurement is specified and only those trees in a sample plot with a dbh greater than this minimum threshold are measured. The trees with a diameter less than the specified threshold often will have little effect on the derived forest attribute estimates, such as total volume or basal area, and the measurement of these small trees can be extremely time consuming and can substantially add to the plot costs [10].
Tree height is defined as the distance between the base and the top of a standing tree [1]. Clinometers are instruments used to measure individual tree height [1]. These instruments are based on simple trigonometric relationships between the known planimetric distance from the instrument to the tree and the angles from the instrument to the base and top of the tree, which must be clearly visible when performing measurements [11]. A vertex clinometer is one of the most popular instruments for measuring tree height because it is efficient, easy to calibrate, and automatically measures the distance to the tree [1]. Height measurements in sample plots are time consuming, so it is typical to measure a sub-sample of tree heights within the sample plot; e.g., [12,13,14,15], rather than all trees in the plot [16,17,18]. If only a sub-sample of tree heights is measured, the sample must be representative of the dbh frequency distribution within the plot. The heights of the unmeasured trees can then be estimated through species-specific dbh-height regression models developed from the measured sub-sample e.g., [19,20,21].
Attributes of individual trees, usually collected from sample plots, are used in many forest inventory and modeling applications. A forest inventory could—in principle—be based on measuring every tree in a given area, but this would be time consuming, expensive, and unnecessarily impractical for most applications in forestry [22]. Thus, the acquisition of forest resource information is often more efficiently based on sampling, measuring, and modeling [1]. The most common sample units are a single tree and a plot, while the most commonly measured tree attribute is stem dbh. Some examples of the most frequently used models in forest mensuration are models for tree height or stem volume; see e.g., [19,20,21,23]. To obtain estimates over large areas, individual tree measures are summed at the sample-plot level and then sample plots are used in deriving stand-, landscape-, regional- and even global-scale estimates of forest resources [22]. Due to this hierarchy and the capacity to propagate and exaggerate small errors through multipliers, it is highly important to measure individual tree attributes accurately and precisely. In addition, when new measurement techniques, such as terrestrial or mobile laser scanning [24,25,26,27], close-range photogrammetry [28,29] and mobile phone applications [30,31], for tree attributes are developed, their measurements are often compared to conventional caliper and clinometer measurements, which are considered as a baseline.
There have been several studies on the precision of tree dbh and height measurements. Different measurement techniques and tools have also been compared to each other. The precision and variation between several re-measurements of dbh and height have been reported for example in [32,33,34,35,36,37,38]. The results of these studies have been reported using various means (e.g., mean, absolute and relative standard deviation, and bias) and straightforward comparisons of the resulting precision are not possible in all cases. In addition, the amount of measured trees and the number of repeat measurements varied widely amongst the studies, and these studies all used diameter tapes for dbh measurements instead of calipers. When collecting reference data for research and in operational use, the calipers are often preferred instead of diameter tape and thus characterizing the precision of caliper measurements is useful information for benchmarking emerging alternative measurement tools.
In non-destructive measurements, there are no unambiguous instructions for determining the reference value for dbh or tree height and the problem has been approached differently in previous studies. For example, in [37], the author’s own measurements of dbh and height were used as the true value in the study and were assumed to be error free when compared to measurements conducted by others, whereas Hyppönen and Roiko-Jokela [33] admitted that measurement bias could not be calculated since it was not possible to obtain the exact dbh. Furthermore, Kitahara et al. [39] have noted that in tree height measurements, educated and experienced mensurationists provide more precise results than beginners with only basic knowledge.
In addition to studies where the measurements are repeated using the same instruments, there have been studies that have compared the measurements of the same trees using several devices, such as a caliper and diameter tape, or a laser height finder and a clinometer, but no major differences in precision have been reported; e.g., [4,40,41,42]. Guillemette and Lambert [43] found no significant difference in dbh measured with calipers and diameter tape and recommended against the mixing of models and databases developed using either instrument. They also stated that evaluation of the most precise method is extremely difficult without destructive sampling.
In forest mensuration, the vast majority of dbh and height measurements are carried out non-destructively with standing trees, which was the case in this study as well. In this context, and considering that the previous studies, especially in Finland, are dated and consequently were not carried out with modern versions of measurement devices, there is a need for a current investigation of the precision of individual tree dbh and height measurements in boreal forest conditions when caliper and clinometer measurements are used. The objective of this study was to determine the degree of precision for tree dbh and height measurements when four experienced mensurationists complete the same measurements on the same sample trees in conditions that are typical when collecting operational forest resource information in boreal Finland. In addition, we explore whether the use of dbh cross-measurements, where dbh is the mean of two dbh measurements from perpendicular directions (hereafter, dbhobs), would have an effect on the precision of the measurements.

2. Materials and Methods

2.1. Study Area

The study area is located in Evo, southern Finland (61.19° N, 25.11° E) approximately 100 km north of Helsinki. The area consists of ~2000 ha of forest land with a range of stand conditions from intensively managed to natural southern boreal forests. The average stand size is a little less than 1 ha and the stands are mainly even-aged and single layer. The elevation in the area varies from 125 m to 185 m above the sea level. The dominant tree species in the area are Scots Pine (Pinus sylvestris, L.) and Norway spruce (Picea Abies (L.) H. Karst.), covering 44.7% and 33.5% of the total stem volume, respectively. From the total stem volume, 21.8% are deciduous species. The site type varies from groves to barren heaths.

2.2. Workflow for Sampling of the Trees to Be Measured

Field measurements were carried out in the study area during the summer of 2014. In total, 120 field sample plots (32 m × 32 m) were mapped and measured. The aim of the field measurements was to provide reference data for many remote sensing focused research activities slated for implementation. The locations of the field sample plots were selected based on canopy density and height information derived from airborne laser scanning (ALS) data. Finally, field crews measured individual tree attributes for all the trees inside the selected 120 field sample plots (n = 9435). For this specific study, we selected a sub-sample of trees out of these 120 sample plots. Sample trees (n = 319) were selected based on tree attribute measurements to retain the maximal variation in dbh (range between 5.6 cm and 46.6 cm) and height (range between 5.0 m and 33.1 m). These steps are described in detail in the following subsections.

2.2.1. Sample Plot Measurements

The sampling of the field sample plots was based on forest height- and canopy-density metrics derived from ALS-data; e.g., [44]. First, a systematic grid (32 m × 32 m) was placed over the study area and ALS metrics describing forest height and density were calculated for each grid cell from a canopy height model (CHM). ALS metrics included mean height of vegetation and proportional vegetation cover at the height of 2 m. Then, 120 field sample plots were selected to represent the entire height–density variation within the study area (Figure 1) excluding sapling stands and very sparse seed-tree locations. The sample plots were square, with dimensions of 32 m × 32 m and an area of 1024 m2.
A preliminary stem map from the plot was used as guidance for the field measurements of tree attributes. The methods for producing the stem maps, based on terrestrial laser scanning (TLS) measurements, are described in more detail in [45,46]. The following variables were measured for all trees with a dbh larger than 5 cm within the field sample plots: tree species, dbhobs, and height. A Haglöf Mantax Blue calipers and a Haglöf Vertex IV Ultrasonic (Haglöf Sweden AB, Långsele, Sweden) clinometer were used for measuring dbhobs and height, respectively. The identity of the person doing the measurements was also recorded. The values for dbhobs were obtained in millimetre scale using cross measurements with calipers. The mensurationist determined the height of 1.3 m above the base of the tree with a standardized 1.3 m long measure and then measured dbh from two directions perpendicular to each other on two sides of the tree (i.e., cross measurement) without any predetermined directions. Before tree height measurements, the clinometer was calibrated to current weather conditions using a measuring tape to measure the distance between the transponder and the clinometer. The clinometer was always calibrated when the mensurationist moved to a new plot or if the weather conditions changed.
First, the transponder was fastened at the stem of the tree that was the subject of the measurement at the height of 1.3 m. Then, the mensurationist selected the position of the measurement with distance to the tree being approximately the same as the tree height for optimal view of the whole tree. The mensurationist had to also pay attention to the visibility of the tree top when selecting the measurement position in a dense forest. After finding a suitable position, the mensurationist aimed the device first at the transponder and then to the tree top. The tree height was given by the device as a result of these distance and angle measurements. The average dbhobs and height for all the trees on the sample plots was 19.1 cm (range between 5.0 cm and 73.1 cm) and 17.6 m (range between 1.4 m and 37.5 m), respectively.

2.2.2. Sample Trees

After measuring dbhobs and height once for all the 9435 trees on 120 field plots, a sub-sample of the 319 trees was selected for re-measurement of the dbhobs and height and to evaluate variability in the measurements. The sampling of the trees was based on tree species and dbhobs. These sample trees included 156 Scots pine, 81 Norway spruce and 82 birch (Betula pendula and B. pubescens). The sample trees were measured independently by three other mensurationists to obtain four independent dbhobs and height measures for each sample tree. Again, dbhobs was based on cross measurements without any predefined measurement direction. All the mensurationists used measurement devices of same brand and model (i.e., Haglöf Mantax Blue calipers and Haglöf Vertex IV Ultrasonic clinometer) throughout the measurements. The measurement accuracy of the devices was tested with reference measurements and no differences were observed between the measurement devices used. The dbhobs and height of the sample trees varied between 5.6 cm and 46.6 cm and from 5.0 m to 33.1 m, respectively (Table 1). These trees were located on 12 different field sample plots.

2.3. Evaluation of the Variance in the Field Measurements

Precision of dbhobs and height measurements were analyzed by tree species, and dbh- and height-based tree size classes. The sample trees were divided into five classes containing comparably sized trees for analyzing the precision for dbhobs and height measurements. The aim of this analysis was to investigate whether the variance in measurements changed between differently sized trees. For the dbh, the classes were 5.0–12.9 cm, 13.0–16.9 cm, 17.0–20.9 cm, 21.0–24.9 cm and over 25.0 cm. For the height, the classes were 5.0–14.9 m, 15.0–17.4 m, 17.5–19.9 m, 20.0–22.4 m and over 22.5 m. Classification of a tree into a size class was determined based on mean values of the four measurements. We tested whether the differences between the four measures were statistically significant on 95% level of significance using an analysis of variance (ANOVA). An ANOVA was performed for both dbhobs and height measurements.
Precision was evaluated using absolute and relative standard deviations. The standard deviation sn−1 of four dbhobs and height measurements for every sample tree was calculated using Equation (1).
s n 1 = i = 1 n ( x i x ¯ ) 2 n 1
where sn−1 is the unbiased estimator of standard deviation, n is the number of the measurements, x i the measured value and x ¯ the mean of the measurements. The relative standard deviation s% was calculated using Equation (2).
s % = s n 1 x ¯
where sn−1 is the standard deviation and x ¯ the mean of the measurements.
The means of the standard deviations for both dbhobs and height measurements of four separate measurements were calculated for the entire sample, as well as by tree species and for the dbh- and height-based size classes. We also investigated the size of the variation between the minimum and maximum value of the four dbhobs measurements from each tree. The same investigation was done for the four height measurements. In addition, and to satisfy one of our stated objectives of this study, we investigated how much the standard deviation of dbh measurements varied if only one dbh measurement would have been taken by each mensurationist from all of the trees instead of the dbhobs (i.e., cross measurements). For this part of the analysis, only the first of the two recorded dbh measurements from each mensurationist was used as the measured dbh value of the tree to simulate a scenario where each mensurationist recorded only one dbh value for each tree.

3. Results

Based on our analysis, there were no statistically significant differences between the measurements from the four members of the field crew for either dbhobs or height (α = 0.05). For dbhobs measurements, it was assumed that the means of the dbhobs measurements by all mensurationists (dbhobsm) are equal to each other (Equation (3)).
dbh o b s 1 ¯ = dbh o b s 2 ¯ = dbh o b s 3 ¯ = dbh o b s 4 ¯
The assumption of equality was supported by the results of the variance analysis (p = 0.911; Table 2). When performing the same analysis separately for tree species with the same assumptions of equal dbhobs-means, the p-values were 0.952, 0.975 and 0.993 for pine, spruce, and birch, respectively.
In measurements for tree height, it was assumed that the means of the height measurements by each mensurationist (heightm) were equal to each other:
h e i g h t 1 ¯ = h e i g h t 2 ¯ = h e i g h t 3 ¯ = h e i g h t 4 ¯
The assumption of equality was supported by the variance analysis with a p-value of 0.140 (Table 3). The p-values for tree species with the same assumption were 0.342, 0.686 and 0.647 for pine, spruce, and birch, respectively.
The largest difference between measured dbhobs (i.e., 0.55 cm) was observed for spruce, whereas the largest difference between measured height values was observed for birch (0.82 m), but the differences were not significant (Table 4).
The mean dbhobs and the mean height of all the sample trees were 20.5 cm and 18.8 m, respectively. The means of standard deviations for all dbhobs and height measurements were 0.3 cm (1.5%) and 0.5 m (2.9%), respectively (Table 5). Analyzed tree-by-tree, the standard deviation in dbhobs measurements varied from 0 cm to 1.0 cm and in height measurements from 0.1 m to 1.9 m (Figure 2). The relative standard deviation in the dbhobs and height measurements was smallest for Norway spruce although the absolute standard deviation was smallest for birch in dbhobs and Scots pine in height (Table 5).
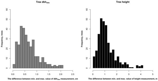
The difference between the lowest and highest dbhobs values from the same tree among the four measures varied in range from 0 cm to 2.1 cm (Figure 3). For 80.6% of the 319 trees measured, the range in variation remained less than 1.0 cm and for 94.0% less than 1.5 cm. For height, the difference between minimum and maximum values of the four individual measurements from the same tree was from 0.1 m to 4.2 m, respectively (Figure 3). For 73.3% of the trees, the largest difference within the height observations from the same tree was less than 1.5 m.
When only the first dbh measurement from each mensurationist was used for the analysis instead of the dbhobs, the standard deviation of the measurements was 0.5 cm (2.2%) (Figure 4). Likewise, the standard deviation was 0.5 cm for all tree species. The difference between the smallest and largest measured dbh value from the same tree varied from 0 cm to 6.6 cm; for 93.4% of the trees, the range of dbh measurements remained less than 2.0 cm.
The standard deviation of dbhobs measurements varied between 0.2 cm and 0.4 cm (from 1.4% to 1.9%) in the five dbh-classes and between 0.2 cm and 0.4 cm (from 1.3% to 1.9%) within the five height classes (Table 6 and Table 7). The absolute standard deviation values increased as the dbh increased. The reversed trend was detected with relative standard deviations (Table 6).
The standard deviation of the height measurements varied between 0.4 m and 0.7 m (from 2.6% to 3.1%) within the five dbh classes and from 0.4 m to 0.7 m (from 2.6% to 3.4%) between the five height classes (Table 6 and Table 7). The standard deviations of dbhobs and height measurements by tree size are plotted in Figure 5.

4. Discussion

There is a need to characterize the precision of field measurements, such as individual tree dbh and height, using modern calipers and a clinometer. These measurement devices are routinely used for collecting forest resource information in boreal forests. Currently, close-range remote sensing techniques such as terrestrial and mobile laser scanning techniques are actively being developed in conjunction with photogrammetry to provide fully automatic sample plot or tree measurements. To assess accuracy, these and other remote sensing-based modes of measurement are often compared to traditional caliper and clinometer measurements of dbh and height. Thus, our aim with this study was to characterize the precision afforded by these conventional measures in order to provide baseline information for assessment of these new measurement tools and methods.
In order to describe the possible variation between the mensurationists, both the amount of sample trees and the number of mensurationists used in this study are large. In earlier studies, attention has been paid to one of these factors, e.g., Elzinga et al. [32] studied the observed variation of dbh measurements with 879 sample trees and two mensurationists, whereas McRoberts et al. [35] investigated the variation with 61 sample trees and eight or nine repeat measurements. The aim in this study was to have several mensurationists (4) and a large number of sample trees (319).
Although we found no statistically significant differences in dbh or height as measured by our four mensurationists, the results showed variation. For example, the largest difference between two cross-measured dbh measurements (i.e., dbhobs) from the same tree was 2.1 cm. For tree height, the respective difference was 4.2 m. Despite the relatively large maximum differences, it should be noted that for 80.6% of the trees, the range in the dbhobs measurements was less than 1.0 cm.
In dbhobs measurements, there seemed to be very little variation over the entire data set, since the relative standard deviation was only 1.5% which is in line with the results of Hyppönen and Roiko-Jokela [33] who obtained 1.4% standard deviation in dbh measurements. Päivinen et al. [38] have also studied the precision of dbh measurements performed by several mensurationists; the standard deviation for dbh in their study was 0.69 cm (2.8%). In both of the previous studies mentioned, the number of unique trees in the data set was relatively small when compared to this study (n = 319 trees), since the data consisted of only 38 [33] and 64 [38] unique trees. In those studies, the measurements were then repeated several times, to get the total amount of dbh measurements to 540 and 520 measurements, respectively. In our study, spruce had the lowest relative standard deviation in dbh measurements which is supported by the findings of Päivinen et al. [38]. One possible reason for the greater precision found in this study can be related to the nature of spruce bark, since spruce bark is more homogenous than the outer surface of pine or birch trees. In [37], 95% of measured diameters were within 5 cm of the control measurements when the mean dbh was 52.7 cm, whereas Elzinga et al. [32] reported that in dbh measurements, errors greater than 5% may be expected in 5% of measurements. In general, the design of different studies may restrict the comparison of the results to each other if different kinds of measurement devices are used; if the diameter is acquired with single or cross measurement; or if the cardinal directions for caliper measurements are undefined, as it was in this study; or if the height of 1.3 m is marked on the tree or not.
The dbh values used in the analysis of this study are based on cross measurements, that is, two measurements from each tree from perpendicular directions. The results of this study indicate that even though cross measurements are slightly more time consuming than single caliper measurements, the greater precision they yield is worth the effort and the use of cross measurements is therefore recommended. The standard deviation of dbh measurements was approximately 1.5 times greater when using only one measurement from each tree (1.5% vs. 2.2%), and thus cross measurements improved precision notably.
Laser technology has also been used to measure dbh. In these studies, calipers have been used as a reference data and thus, comparison with these studies is not straightforward. The reported accuracy in dbh measurements has varied from 0.8 cm to 1.6 cm (standard error) with the laser-relascope [47], and from 0.88 cm to 1.43 cm with laser-dendrometers [48,49]. With camera-based systems, the accuracies have varied from 0.7 cm to 2.3 cm [30,50,51,52]. Terrestrial laser scanning (TLS) is also used for dbh measurements. Several studies have reported measurement accuracies (RMSE) between 0.9 cm and 8.9 cm [27,53,54,55,56,57,58,59]. Vastaranta et al. [60] compared several of the methods mentioned earlier and reported standard errors of 0.83 cm, 0.85 cm and 1.43 cm in dbh measurements with the TLS, laser-camera, and laser-relascope, respectively.
The standard deviation of 0.5 m (2.9%) reported for the height measurements is on the same level with the previous studies: Hyppönen and Roiko-Jokela [33] reported standard deviations of 0.8 m and 0.56 m for height measurements done with two different models of Suunto clinometers. Päivinen et al. [38] measured tree heights with Suunto clinometer as well, and reported standard deviation of 0.67 m. The advantage of our study is to report the precision of a modern clinometer, which is rather different from the viewpoint of a user than the clinometer used in earlier studies. The Vertex clinometer used in this study measures distance based on ultrasound, which allows flexible measuring distance. This is in contrast to the Suunto clinometer, which requires a fixed measuring distance. However, the Vertex clinometer requires calibration, and if a user fails to calibrate the instrument, the results may not be reliable and accurate. The laser-relascope has been found to measure the tree height with standard error between 0.49 m to 0.99 m [47,60]. In Omule [37], the variation in height measurements among the crew was reported to be 21.8% with a mean tree height of 32.3 m.
Based on our results, the precision of height measurements varied somewhat more between the three tree species than the dbh measurements did. For pine and spruce, the relative standard deviations in height measurements were within 0.1 percentage points (2.7% and 2.6%, respectively), but for birch, the value was 3.6%. Most probably, the reason for the lower precision of birch measurements is that when measuring the height of birch trees, observing the exact end point of the tree top can be more difficult than with the coniferous trees. In Päivinen et al. [38], the precision of pine, spruce and birch height measurements were 0.71 m, 0.55 m and 0.79 m, but no significant differences between the species were reported in the study.
We found that the size of the tree (dbh or height) did not impact the precision of field measurements (Figure 5). There was little variation in relative standard deviation for tree height between the groups of different sized trees in both dbh- and height-based size classes. However, the variation falls within one percentage point in both classifications and no trend can be seen from the results. Hyppönen and Roiko-Jokela [33] also noticed that the height of the tree had no effect on the standard deviation of tree height measurements.
In general, there was more imprecision in measuring tree height than dbh. According to Larjavaara and Muller-Landau [61], the tree height is difficult to measure accurately for standing trees in the field. When measuring the tree height, the mensurationist needs to operate from a distance, whereas for dbh measurements, the measurement is performed while standing next to the tree stem. When using clinometers for height measurements, it can also be difficult to see and define the exact end point of the tree top—especially in very dense forests or in other areas with restricted visibility. Moreover, there is always a risk of error from optical illusion if a tree is leaning, even if the mensurationist always selects the best possible measurement direction. Furthermore, there is always some randomness and variation when the measurements are performed by using steel calipers and by different mensurationists. Most importantly, for dbh measurements, different methods of defining the measuring height of 1.3 m above the base and the cardinal directions for the caliper cross-measurement cause variation between the observations. A standard measure can be used for determining the exact measuring height, as it was done in this study. In addition, the asymmetrical form of the tree stem and the occasional irregularity of the tree bark may cause differences in measurement results. Non-circular stem form was taken into account by utilizing two dbh measurements from perpendicular directions.
The measurements were carried out independently by the four mensurationist which could have caused bias as the sample trees were not identified together. Nevertheless, they had the stem maps of all sample plots for recognizing the sample trees to be measured. We did not determine one reference dbh and height value to which other measurements were compared. Therefore, the results do not reveal the possible bias in the measurements; however, this is a realistic scenario that is often encountered in operational context.

5. Conclusions

Four individual mensurationists each measured the same 319 trees in different plots using calipers and clinometers in order to characterize the precision of traditional field measurements of dbh and height. We found no statistically significant differences between independent measures of dbh or height. Overall, the standard deviation for dbh was 1.5%, whilst the standard deviation of measured height measures was 2.9%. It was possible to obtain greater precision in dbh than height measurements, while Norway spruce was measured with greater precision than Scots pine or birch. There were no clear differences in the precision of dbh or height measurements for different dbh- or height-based size classes. Based on the results presented herein, it can be stated that the traditional field-based methods tested in the study for tree dbh and height measurements provide precise and reliable information from forests. However, precision should be a stated objective, and must be explicitly considered when planning and implementing a field campaign. For example, in this study, we demonstrated that the use of dbh cross-measurements, instead of single dbh measurements, notably improved the precision of dbh measurements.
In addition, the low variation between repeated measurements from sample trees demonstrated that calipers and clinometers are not prone to outliers, which further supports the use of these traditional measuring tools as a useful benchmark for modern automatic or semi-automatic forest measurement applications and techniques. Calipers and clinometers remain an important source of forest measurement data and can be used to benchmark accuracy of the new forest measurement techniques, such as terrestrial laser scanning.

Acknowledgments

The study was funded by the Academy of Finland through the Centre of Excellence in Laser scanning research (project number 272195). The research leading to these results has also received funding from the European Community's Seventh Framework Programme ([FP7/2007-2013]) under grant agreement no. 606971. The authors would also like to thank Häme University of Applied Science for supporting our research activities at Evo study site.

Author Contributions

Ville Luoma was responsible for analyzing the data. Ninni Saarinen was responsible for the analysis and writing the article together with Ville Luoma. Michael A. Wulder and Joanne C. White wrote the paper together with Ville Luoma and Ninni Saarinen. Mikko Vastaranta designed the experiment together with Ville Luoma, Markus Holopainen and Juha Hyyppä. The article was improved by the contributions of all the co-authors at various stages of the analysis and writing process.

Conflicts of Interest

The authors declare no conflict of interest. The founding sponsors had no role in the design of the study; in the collection, analyses, or interpretation of data; in the writing of the manuscript, and in the decision to publish the results.

References

  1. Husch, B.; Beers, T.; Kershaw, J., Jr. Forest Mensuration, 4th ed.; John willey & Sons, Inc.: Hoboken, NJ, USA, 2003. [Google Scholar]
  2. Van Laar, A.; Akca, A. Forest Mensuration; Cuvillier Verlag: Goettingen, Germany, 1997. [Google Scholar]
  3. Avery, T.E.; Burkhart, H.E. Forest Measurements; McGraw-Hill Cop.: Boston, NY, USA, 2002. [Google Scholar]
  4. Clark, N.A.; Wynne, R.H.; Schmoldt, D.L. A review of past research on dendrometers. For. Sci. 2000, 46, 570–576. [Google Scholar]
  5. Kellogg, R.M.; Barber, F.J. Stem eccentricity in coastal western Hemlock. Can. J. For. Res. 1981, 11, 715–718. [Google Scholar] [CrossRef]
  6. Matérn, B. On the Shape of the Cross-Section of a Tree Stem. An Empirical Study of the Geometry of Mensurational Methods; Sveriges lantbruksuniversitet: Umea, Sweden, 1990. [Google Scholar]
  7. Williamson, R.L. Out-of-roundness in douglas-fir stems. For. Sci. 1975, 21, 365–370. [Google Scholar]
  8. Binot, J.-M.; Pothier, D.; Lebel, J. Comparison of relative accuracy and time requirement between the caliper, the diameter tape and an electronic tree measuring fork. For. Chron. 1995, 71, 197–200. [Google Scholar] [CrossRef]
  9. Tallant, B.; Pelkki, M. A comparison of four forest inventory tools in southeast Arkansas. In Competitiveness of Southern Forest Products Markets in a Global Economy: Trends and Predictions, Proceedings of the Southern Forest Economics Workshop, St. Augustine, FL, USA, 14–16 March 2004; Alavalapati, J.R.R., Carter, D.R., Eds.; Available online: http://sofew.cfr.msstate.edu/papers/0304tallant.pdf (accessed on 31 January 2017).
  10. Tomppo, E.; Kuusinen, N.; Mäkisara, K.; Katila, M.; McRoberts, R.E. Effects of field plot configurations on the uncertainties of ALS-assisted forest resource estimates. Scand. J. For. Res. 2016. [Google Scholar] [CrossRef]
  11. Andersen, H.-E.; Reutebuch, S.E.; McGaughey, R.J. A rigorous assessment of tree height measurements obtained using airborne lidar and conventional field methods. Can. J. Remote Sens. 2006, 32, 355–366. [Google Scholar] [CrossRef]
  12. Andersen, H.-E.; McGaughey, R.J.; Reutebuch, S.E. Estimating forest canopy fuel parameters using lidar data. Remote Sens. Environ. 2005, 94, 441–449. [Google Scholar] [CrossRef]
  13. Gobakken, T.; Næsset, E. Assessing effects of positioning errors and sample plot size on biophysical stand properties derived from airborne laser scanner data. Can. J. For. Res. 2009, 39, 1036–1052. [Google Scholar] [CrossRef]
  14. Holmgren, J.; Nilsson, M.; Olsson, H. Simulating the effects of lidar scanning angle for estimation of mean tree height and canopy closure. Can. J. Remote Sens. 2003, 29, 623–632. [Google Scholar] [CrossRef]
  15. Næsset, E. Practical large-scale forest stand inventory using a small-footprint airborne scanning laser. Scand. J. For. Res. 2004, 19, 164–179. [Google Scholar] [CrossRef]
  16. Maltamo, M.; Eerikäinen, K.; Pitkänen, J.; Hyyppä, J.; Vehmas, M. Estimation of timber volume and stem density based on scanning laser altimetry and expected tree size distribution functions. Remote Sens. Environ. 2004, 90, 319–330. [Google Scholar] [CrossRef]
  17. Popescu, S.C.; Wynne, R.H.; Nelson, R.F. Estimating plot-level tree heights with lidar: Local filtering with a canopy-height based variable window size. Comput. Electron. Agric. 2002, 37, 71–95. [Google Scholar] [CrossRef]
  18. Vastaranta, M.; Wulder, M.A.; White, J.C.; Pekkarinen, A.; Tuominen, S.; Ginzler, C.; Kankare, V.; Holopainen, M.; Hyyppä, J.; Hyyppä, H. Airborne laser scanning and digital stereo imagery measures of forest structure: Comparative results and implications to forest mapping and inventory update. Can. J. Remote Sens. 2013, 39, 382–395. [Google Scholar] [CrossRef]
  19. Näslund, M. Skogsförsöksanstaltens Gallringsförsök i Tallskog. Medd. Stat. Skogsförsöksanst. 1936, 29, pp. 1–136. Available online: http://pub.epsilon.slu.se/10159/1/medd_statens_skogsforskningsanst_029_01.pdf (accessed on 31 January 2017).
  20. Richards, F.J. A flexible growth function for empirical use. J. Exp. Bot. 1959, 10, 290–301. [Google Scholar] [CrossRef]
  21. Sharma, M.; Parton, J. Heightdiameter equations for boreal tree species in ontario using a mixed-effects modeling approach. For. Ecol. Manag. 2007, 249, 187–198. [Google Scholar] [CrossRef]
  22. Kangas, A.; Maltamo, M. Forest Inventory: Methodology and Applications; Springer Science & Business Media: Dordrecht, The Netherlands, 2006. [Google Scholar]
  23. Laasasenaho, J. Taper Curve and Volume Functions for Pine, Spruce and Birch [Pinus sylvestris, Picea abies, Betula pendula, Betula pubescens]. Commun. Inst. For. Fenn. 1982, 108, pp. 1–77. Available online: http://urn.fi/URN:ISBN:951-40-0589-9 (accessed on 31 January 2017).
  24. Liang, X.; Hyyppa, J.; Kukko, A.; Kaartinen, H.; Jaakkola, A.; Yu, X. The use of a mobile laser scanning system for mapping large forest plots. IEEE Geosci. Remote Sens. Lett. 2014, 11, 1504–1508. [Google Scholar] [CrossRef]
  25. Liang, X.; Kankare, V.; Yu, X.; Hyyppa, J.; Holopainen, M. Automated stem curve measurement using terrestrial laser scanning. IEEE Trans. Geosci. Remote Sens. 2014, 52, 1739–1748. [Google Scholar] [CrossRef]
  26. Raumonen, P.; Kaasalainen, M.; Åkerblom, M.; Kaasalainen, S.; Kaartinen, H.; Vastaranta, M.; Holopainen, M.; Disney, M.; Lewis, P. Fast automatic precision tree models from terrestrial laser scanner data. Remote Sens. 2013, 5, 491–520. [Google Scholar] [CrossRef]
  27. Hackenberg, J.; Morhart, C.; Sheppard, J.; Spiecker, H.; Disney, M. Highly Accurate Tree Models Derived from Terrestrial Laser Scan Data: A Method Description. Forests 2014, 5, 1069–1105. [Google Scholar] [CrossRef]
  28. Liang, X.; Jaakkola, A.; Wang, Y.; Hyyppä, J.; Honkavaara, E.; Liu, J.; Kaartinen, H. The use of a hand-held camera for individual tree 3d mapping in forest sample plots. Remote Sens. 2014, 6, 6587–6603. [Google Scholar] [CrossRef]
  29. Vastaranta, M.; Latorre, E.; Luoma, V.; Saarinen, N.; Holopainen, M.; Hyyppä, J. Evaluation of a smartphone app for forest sample plot measurements. Forests 2015, 6, 1179–1194. [Google Scholar] [CrossRef]
  30. Molinier, M.; Lopéz-Sánchez, C.A.; Toivanen, T.; Korpela, I.; Corral-Rivas, J.J.; Tergujeff, R.; Häme, T. Relasphone-Mobile and Participative In Situ Forest Biomass Measurements Supporting Satellite Image Mapping. Remote Sens 2016, 8, 869. [Google Scholar] [CrossRef]
  31. Pratihast, A.K.; DeVries, B.; Avitable, V.; De Bruin, S.; Lammert, K.; Tekle, M.; Herold, M. Combining Satellite Data and Community-Based Observations for Forest Monitoring. Forests 2014, 5, 2464–2489. [Google Scholar] [CrossRef]
  32. Elzinga, C.; Shearer, R.C.; Elzinga, G. Observer variation in tree diameter measurements. West J. Appl. For. 2005, 20, 134–137. [Google Scholar]
  33. Hyppönen, M.; Roiko-Jokela, P. Koepuiden Mittauksen Tarkkuus Ja Tehokkuus. Fol. For. 1978, 356, 1–25. Available online: http://urn.fi/URN:ISBN:951-40-0344-6 (accessed on 31 January 2017). [Google Scholar]
  34. Johnson, J.E.; Haag, C.L. Reliability of height and diameter remeasurements on Red Pine (Pinus resinosa ait.) seedlings. Tree Plant. Notes 1985, 36, 27–29. [Google Scholar]
  35. McRoberts, R.E.; Hahn, J.T.; Hefty, G.J.; Cleve, J.R.V. Variation in forest inventory field measurements. Can. J. For. Res. 1994, 24, 1766–1770. [Google Scholar] [CrossRef]
  36. Melson, S.; Azuma, D.; Fried, J.S. A first look at measurement error on fia plots using blind plots in the pacific northwest. In Proceedings of the Third Annual Forest Inventory and Analysis Sumposium, St. Paul, MN, USA, 2002; McRoberts, R.E., Reams, G.A., van Deusen, P.C., Moser, J.W., Eds.;
  37. Omule, S.A.Y. Personal bias in forest measurements. For. Chron. 1980, 56, 222–224. [Google Scholar] [CrossRef]
  38. Päivinen, R.; Nousiainen, M.; Korhonen, K.T. Puutunnusten Mittaamisen Luotettavuus. Accuracy of Certain Tree Measurements. Folia For. 1992, 787, 1–18. Available online: http://urn.fi/URN:ISBN:951-40-1197-X (accessed on 31 January 2017). [Google Scholar]
  39. Kitahara, F.; Mizoue, N.; Yoshida, S. Effects of training for inexperienced surveyors on data quality of tree diameter and height measurements. Silva Fenn. 2010, 44, 657–667. [Google Scholar] [CrossRef]
  40. Liu, S.; Bitterlich, W.; Cieszewski, C.J.; Zasada, M.J. Comparing the use of three dendrometers for measuring diameters at breast height. South. J. Appl. For. 2011, 35, 136–141. [Google Scholar]
  41. Moran, L.A.; Williams, R. Field note—Comparison of three dendrometers in measuring diameter at breast height field note. North. J. Appl. For. 2002, 19, 28–33. [Google Scholar]
  42. Williams, M.S.; Bechtold, W.A.; LaBau, V. Five instruments for measuring tree height: An evaluation. South. J. Appl. For. 1994, 18, 76–82. [Google Scholar]
  43. Guillemette, F.; Lambert, M.-C. Relative effects of dendrometers on the estimation of diameter at breast height, stand basal area and stand volume in uneven-aged northern hardwoods. For. Chron. 2009, 85, 446–452. [Google Scholar] [CrossRef]
  44. Maltamo, M.; Bollandsas, O.M.; Naesset, E.; Gobakken, T.; Packalen, P. Different plot selection strategies for field training data in als-assisted forest inventory. Forestry 2010, 84, 23–31. [Google Scholar] [CrossRef]
  45. Saarinen, N.; Vastaranta, M.; Kankare, V.; Tanhuanpää, T.; Holopainen, M.; Hyyppä, J.; Hyyppä, H. Urban-tree-attribute update using multisource single-tree inventory. Forests 2014, 5, 1032–1052. [Google Scholar] [CrossRef]
  46. Vastaranta, M.; Saarinen, N.; Kankare, V.; Holopainen, M.; Kaartinen, H.; Hyyppä, J.; Hyyppä, H. Multisource single-tree inventory in the prediction of tree quality variables and logging recoveries. Remote Sens. 2014, 6, 3475–3491. [Google Scholar] [CrossRef]
  47. Kalliovirta, J.; Laasasenaho, J.; Kangas, A. Evaluation of the laser-relascope. For. Ecol. Manag. 2005, 204, 181–194. [Google Scholar] [CrossRef]
  48. Parker, R.C.; Matney, T.G. Comparison of optical dendrometers for prediction of standing tree volume. South. J. Appl. For. 1999, 23, 100–107. [Google Scholar]
  49. Skovsgaard, J.P.; Johannsen, V.K.; Vanclay, J.K. Accuracy and precision of two laser dendrometers. Forestry 1998, 71, 131–139. [Google Scholar] [CrossRef]
  50. Ashley, M.; Roger, R. Tree heights and upper stem diameters. Photogramm. Eng. 1969, 35, 136. [Google Scholar]
  51. Bradshaw, F. Upper stem diameter measurements with the aid of 35 millimeter photographs. Aust. For. Res. 1972, 6, 17–20. [Google Scholar]
  52. Varjo, J.; Henttonen, H.; Lappi, J.; Heikkonen, J.; Juujärvi, J. Digital Horizontal Tree Measurements for Forest Inventory. Working Papers of the Finnish Forest Research Institute. 2006, 40, pp. 1–23. Available online: http://www.metla.fi/julkaisut/workingpapers/2006/mwp040.htm (accessed on 31 January 2017).
  53. Henning, J.G.; Radtke, P.J. Detailed stem measurements of standing trees from ground-based scanning lidar. For. Sci. 2006, 52, 67–80. [Google Scholar]
  54. Huang, H.; Li, Z.; Gong, P.; Cheng, X.; Clinton, N.; Cao, C.; Ni, W.; Wang, L. Automated methods for measuring DBH and tree heights with a commercial scanning lidar. Photogramm. Eng. Remote Sens. 2011, 77, 219–227. [Google Scholar] [CrossRef]
  55. Kankare, V.; Vauhkonen, J.; Tanhuanpää, T.; Holopainen, M.; Vastaranta, M.; Joensuu, M.; Krooks, A.; Hyyppä, J.; Hyyppä, H.; Alho, P.; et al. Accuracy in estimation of timber assortments and stem distribution—A comparison of airborne and terrestrial laser scanning techniques. ISPRS J. Photogramm. Remote Sens. 2014, 97, 89–97. [Google Scholar] [CrossRef]
  56. Liang, X.; Hyyppä, J. Automatic stem mapping by merging several terrestrial laser scans at the feature and decision levels. Sensors 2013, 13, 1614–1634. [Google Scholar] [CrossRef] [PubMed]
  57. Maas, H.G.; Bienert, A.; Scheller, S.; Keane, E. Automatic forest inventory parameter determination from terrestrial laser scanner data. Int. J. Remote Sens. 2008, 29, 1579–1593. [Google Scholar] [CrossRef]
  58. Simonse, M.; Aschoff, T.; Spiecker, H.; Thies, M. Automatic Determination of Forest Inventory Parameters Using Terrestrial Laser Scanning. In Proceedings of the ScandLaser Scientific Workshop on Airborne Laser Scanning of Forests, Umeå, Sweden, 3–4 Sptember 2003; Swedish University of Agricultural Sciences, Department of Forest Resource Management and Geomatics: Umeå, Sweden, 2003; pp. 252–258. [Google Scholar]
  59. Tansey, K.; Selmes, N.; Anstee, A.; Tate, N.J.; Denniss, A. Estimating tree and stand variables in a corsican pine woodland from terrestrial laser scanner data. Int. J. Remote Sens. 2009, 30, 5195–5209. [Google Scholar] [CrossRef]
  60. Vastaranta, M.; Melkas, T.; Holopainen, M.; Kaartinen, H.; Hyyppä, J.; Hyyppä, H. Laser-based field measurements in tree-level forest data acquisition. Photogramm. J. Finl. 2009, 21, 51–61. Available online: https://pdfs.semanticscholar.org/881a/2577fd02a960b7f2f3dbe825932f79cb198f.pdf (accessed on 31 January 2017). [Google Scholar]
  61. Larjavaara, M.; Muller-Landau, H.C. Measuring tree height: A quantitative comparison of two common field methods in a moist tropical forest. Method Ecol. Evol. 2013, 4, 793–801. [Google Scholar] [CrossRef]
Figure 1. Variation in forest density (Vegetation ratio) and height (Mean canopy height) in the Evo study area. Black dots represent all possible field plots and the red dots describe the 120 field sample plots that were selected.
Figure 1. Variation in forest density (Vegetation ratio) and height (Mean canopy height) in the Evo study area. Black dots represent all possible field plots and the red dots describe the 120 field sample plots that were selected.
Figure 2. Boxplots demonstrating the variation range of the standard deviation (std) of tree dbhobs (mean of cross measurements) and height measurements from the sample trees in cm and m, respectively. The standard deviations are presented for all the sample trees as well as separately for the tree species. In the figure, the bottom and the top of the box represent the first and third quartiles and the band inside the box is the median. The ends of the whiskers are within 1.5 interquartile of the lower and upper quartiles. The circles represent outliers.
Figure 2. Boxplots demonstrating the variation range of the standard deviation (std) of tree dbhobs (mean of cross measurements) and height measurements from the sample trees in cm and m, respectively. The standard deviations are presented for all the sample trees as well as separately for the tree species. In the figure, the bottom and the top of the box represent the first and third quartiles and the band inside the box is the median. The ends of the whiskers are within 1.5 interquartile of the lower and upper quartiles. The circles represent outliers.
Figure 3. Histograms describing the frequency of largest difference among the sample tree measurements. On left: within the dbhobs (mean of cross measurements) measurements from the same tree. On right: within the tree height measurements from the same tree.
Figure 3. Histograms describing the frequency of largest difference among the sample tree measurements. On left: within the dbhobs (mean of cross measurements) measurements from the same tree. On right: within the tree height measurements from the same tree.
Figure 4. Boxplot describing the standard deviations (std) of sample tree dbh (diameter-at-breast-height) measurements with two different methods. On left, the standard deviation is a result of dbh values acquired using cross-measurements (i.e., dbhobs), whereas on right, only one dbh measurement per mensurationist was used.
Figure 4. Boxplot describing the standard deviations (std) of sample tree dbh (diameter-at-breast-height) measurements with two different methods. On left, the standard deviation is a result of dbh values acquired using cross-measurements (i.e., dbhobs), whereas on right, only one dbh measurement per mensurationist was used.
Figure 5. Standard deviation of tree dbh (diameter at the breast height) and tree h (height) measurements represented as the function of dbh and h of the sample trees.
Figure 5. Standard deviation of tree dbh (diameter at the breast height) and tree h (height) measurements represented as the function of dbh and h of the sample trees.
Table 1. The mean and standard deviation (std) of dbhobs (diameter-at-breast-height) and height of the sample trees as well as the variation range of dbh and height among the sample trees.
Table 1. The mean and standard deviation (std) of dbhobs (diameter-at-breast-height) and height of the sample trees as well as the variation range of dbh and height among the sample trees.
Tree Speciesnmean dbhobs (cm)std dbhobs (cm)min dbhobs (cm)max dbhobs (cm)mean height (m)std height (m)min height (m)max height (m)
Scots pine15620.16.96.246.617.74.35.032.1
Norway spruce8124.87.85.644.521.75.75.233.1
Birch8217.07.16.242.718.04.46.933.1
All sample trees31920.57.75.646.618.85.05.033.1
n = number of trees.
Table 2. The results of ANOVA analysis for dbhobs measurements for all sample trees as well as for different tree species with degrees of freedom (Df), sum of squares (Sum Sq), mean squared error (Mean Sq), F-value and p-value.
Table 2. The results of ANOVA analysis for dbhobs measurements for all sample trees as well as for different tree species with degrees of freedom (Df), sum of squares (Sum Sq), mean squared error (Mean Sq), F-value and p-value.
dbhobs
SpeciesDfSum SqMean SqF-valuep-value
All sample trees331941064.80.1790.911
Scots pine316445480.1140.952
Norway spruce31320440.10.0720.975
Birch3459153.10.0310.993
Table 3. The results of ANOVA analysis for tree height measurements for all sample trees as well as for different tree species with degrees of freedom (Df), sum of squares (Sum Sq), mean squared error (Mean Sq), F-value and p-value.
Table 3. The results of ANOVA analysis for tree height measurements for all sample trees as well as for different tree species with degrees of freedom (Df), sum of squares (Sum Sq), mean squared error (Mean Sq), F-value and p-value.
Height
SpeciesDfSum SqMean SqF-valuep-value
All sample trees313,8194606.31.8320.140
Scots pine362622087.21.1170.342
Norway spruce348441614.60.4950.686
Birch332801093.30.5530.647
Table 4. Mean values of dbhobs (diameter-at-breast-height, cross measurement) and height (h) measurements by different mensurationists.
Table 4. Mean values of dbhobs (diameter-at-breast-height, cross measurement) and height (h) measurements by different mensurationists.
dbhobs (cm)
Mensurationist 1Mensurationist 2Mensurationist 3Mensurationist 4
Scots pine19.9520.0320.0920.38
Norway spruce24.5224.6824.8125.07
Birch16.8216.9717.0517.14
All sample trees20.3120.4220.5120.74
h (dm)
Mensurationist 1Mensurationist 2Mensurationist 3Mensurationist 4
Scots pine17.9118.0217.8317.21
Norway spruce21.7722.1221.6921.05
Birch18.2918.1618.0917.47
All sample trees18.9919.1018.8818.25
Table 5. The species specific means of the standard deviations (std) calculated from the four independent dbhobs (diameter-at-breast-height) and h (height) observations from each of the sample trees.
Table 5. The species specific means of the standard deviations (std) calculated from the four independent dbhobs (diameter-at-breast-height) and h (height) observations from each of the sample trees.
SpeciesnStd dbhobs (cm)Std dbhobs (%)Std h (m)Std h (%)
Scots pine1560.31.60.52.7
Norway spruce810.31.30.62.6
Birch820.31.50.73.6
All sample trees3190.31.50.52.9
Table 6. The mean dbhobs (mean of cross measurements) and h (height) of the five tree size classes that are based on the dbh, as well as the class-wise means of standard deviations (stdobs) calculated from the four observations of dbhobs and h.
Table 6. The mean dbhobs (mean of cross measurements) and h (height) of the five tree size classes that are based on the dbh, as well as the class-wise means of standard deviations (stdobs) calculated from the four observations of dbhobs and h.
Dbh classes
dbhobsh
dbh Classes (cm)nMean (cm)Stdobs (cm)Stdobs (%)Mean (m)Stdobs (m)Stdobs (%)
5.0–12.95710.30.21.912.50.42.9
13.0–16.96115.10.21.516.40.53.0
17.0–20.95619.10.31.618.20.52.6
21.0–24.96223.30.31.420.70.63.1
25.0+8330.30.41.423.90.72.8
All trees31920.50.31.518.80.52.9
Table 7. The mean dbhobs (mean of cross measurements) and h (height) of five tree size classes that are based on tree height, as well as the class-wise means of standard deviations (stdobs) calculated from the four measurements of dbhobs and h.
Table 7. The mean dbhobs (mean of cross measurements) and h (height) of five tree size classes that are based on tree height, as well as the class-wise means of standard deviations (stdobs) calculated from the four measurements of dbhobs and h.
Height classes
dbhobsh
Height Classes (m)nMean (cm)Stdobs (cm)Stdobs (%)Mean (m)Stdobs (m)Stdobs (%)
5.0–14.96311.60.21.912.00.43.0
15.0–17.46317.20.31.516.40.42.7
17.5–19.96420.10.31.518.20.52.6
20.0–22.44422.20.31.320.80.73.4
22.5+8529.00.41.425.00.72.9
All trees31920.50.31.518.80.52.9

Share and Cite

MDPI and ACS Style

Luoma, V.; Saarinen, N.; Wulder, M.A.; White, J.C.; Vastaranta, M.; Holopainen, M.; Hyyppä, J. Assessing Precision in Conventional Field Measurements of Individual Tree Attributes. Forests 2017, 8, 38. https://doi.org/10.3390/f8020038

AMA Style

Luoma V, Saarinen N, Wulder MA, White JC, Vastaranta M, Holopainen M, Hyyppä J. Assessing Precision in Conventional Field Measurements of Individual Tree Attributes. Forests. 2017; 8(2):38. https://doi.org/10.3390/f8020038

Chicago/Turabian Style

Luoma, Ville, Ninni Saarinen, Michael A. Wulder, Joanne C. White, Mikko Vastaranta, Markus Holopainen, and Juha Hyyppä. 2017. "Assessing Precision in Conventional Field Measurements of Individual Tree Attributes" Forests 8, no. 2: 38. https://doi.org/10.3390/f8020038

APA Style

Luoma, V., Saarinen, N., Wulder, M. A., White, J. C., Vastaranta, M., Holopainen, M., & Hyyppä, J. (2017). Assessing Precision in Conventional Field Measurements of Individual Tree Attributes. Forests, 8(2), 38. https://doi.org/10.3390/f8020038

Note that from the first issue of 2016, this journal uses article numbers instead of page numbers. See further details here.

Article Metrics

Back to TopTop